Sign in to use this feature.

Years

Between: -

Subjects

remove_circle_outline
remove_circle_outline
remove_circle_outline
remove_circle_outline
remove_circle_outline
remove_circle_outline
remove_circle_outline
remove_circle_outline
remove_circle_outline

Journals

Article Types

Countries / Regions

Search Results (68)

Search Parameters:
Keywords = 2011 Great East Japan Earthquake

Order results
Result details
Results per page
Select all
Export citation of selected articles as:
18 pages, 3872 KB  
Article
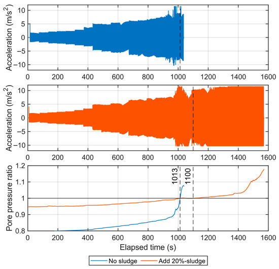
Liquefaction-Resistant Backfill Soil Using Slag and Dried Sludge
by Hiroyuki Ishimori
Urban Sci. 2026, 10(1), 48; https://doi.org/10.3390/urbansci10010048 - 13 Jan 2026
Abstract
Liquefaction in urban areas has repeatedly caused severe damage to infrastructure, including manhole uplift, road subsidence, and failure of buried utility lines, as evidenced by reports during major earthquakes such as the 1964 Niigata earthquake and the 2011 Great East Japan Earthquake. Although [...] Read more.
Liquefaction in urban areas has repeatedly caused severe damage to infrastructure, including manhole uplift, road subsidence, and failure of buried utility lines, as evidenced by reports during major earthquakes such as the 1964 Niigata earthquake and the 2011 Great East Japan Earthquake. Although natural sand has been widely used as backfill, excess pore water pressure leads to rapid loosening. This study evaluates slag–dried sludge mixed soil as a new liquefaction-resistant backfill that improves disaster mitigation while promoting resource recycling. Compaction, cone penetration, and shaking table tests were conducted with sludge mixing ratios of 0–30%, identifying 20% as optimal. Liquefaction in slag-only soil occurred at 1013 s (7 m/s2), whereas the 20% mixture delayed it to 1380 s (11 m/s2), increasing the acceleration threshold by 1.5 times and extending the onset time by 36%. Therefore, the acceleration required for liquefaction to begin was approximately 1.5 times higher, and the occurrence time was extended by approximately 36%. Also, the cone index reached 7750 kPa, exceeding the traffic load requirement of 1200 kN/m2, while still allowing for sufficient permeability and workability compared to the use of natural clay particles. The improved backfill material proposed is promising as a sustainable urban infrastructure technology that simultaneously reduces liquefaction damage, improves the resilience of urban infrastructure, and reduces environmental impact through waste recycling. Full article
Show Figures

Figure 1

14 pages, 5899 KB  
Article
The Digital Unconscious and Post-Disaster Recovery in the Cinema of Haruka Komori
by Aya Motegi
Arts 2026, 15(1), 10; https://doi.org/10.3390/arts15010010 - 3 Jan 2026
Viewed by 245
Abstract
How does digital technology mediate decision-making and shape our understanding of disaster recovery? I address this question by examining both the administrative and cinematic uses of digital images in the reconstruction process following the 2011 Great East Japan Earthquake. Post-disaster digital mediation is [...] Read more.
How does digital technology mediate decision-making and shape our understanding of disaster recovery? I address this question by examining both the administrative and cinematic uses of digital images in the reconstruction process following the 2011 Great East Japan Earthquake. Post-disaster digital mediation is characterized by the administrative use of what has been termed “operational images,” designed not for interpretation but for action, particularly in disaster response and prevention. I connect the social and ethical dimensions of post-disaster recovery with the ontological dimensions of the technological characteristics of digital photography. By comparing Japanese independent filmmaker Haruka Komori’s digital filmmaking practice with the operational images utilized by administrative and research bodies, I aim to demonstrate how her particular digital aesthetics elicit the latent capacity of the “digital unconscious” and offer new modes of perceiving post-disaster recovery, in contrast to both other forms of post-disaster digital mediation and to analog photography. Through close analyses, I argue that her work articulates an alternative vision of recovery—one rooted not in spatial management or predictive planning, but in physical attachment to place, trust in the future, and imaginative engagement with survivors and the dead. Full article
(This article belongs to the Special Issue Film and Visual Studies: The Digital Unconscious)
Show Figures

Figure 1

18 pages, 3718 KB  
Article
Population Estimation and Scanning System Using LEO Satellites Based on Wireless LAN Signals for Post-Disaster Areas
by Futo Noda and Gia Khanh Tran
Future Internet 2025, 17(12), 570; https://doi.org/10.3390/fi17120570 - 12 Dec 2025
Viewed by 275
Abstract
Many countries around the world repeatedly suffer from natural disasters such as earthquakes, tsunamis, floods, and hurricanes due to geographical factors, including plate boundaries, tropical cyclone zones, and coastal regions. Representative examples include Hurricane Katrina, which struck the United States in 2005, and [...] Read more.
Many countries around the world repeatedly suffer from natural disasters such as earthquakes, tsunamis, floods, and hurricanes due to geographical factors, including plate boundaries, tropical cyclone zones, and coastal regions. Representative examples include Hurricane Katrina, which struck the United States in 2005, and the Great East Japan Earthquake in 2011. Both were large-scale disasters that occurred in developed countries and caused enormous human and economic losses regardless of disaster type or location. As the occurrence of such catastrophic events remains inevitable, establishing effective preparedness and rapid response systems for large-scale disasters has become an urgent global challenge. One of the critical issues in disaster response is the rapid estimation of the number of affected individuals required for effective rescue operations. During large-scale disasters, terrestrial communication infrastructure is often rendered unusable, which severely hampers the collection of situational information. If the population within a disaster-affected area can be estimated without relying on ground-based communication networks, rescue resources can be more appropriately allocated based on the estimated number of people in need, thereby accelerating rescue operations and potentially reducing casualties. In this study, we propose a population-estimation system that remotely senses radio signals emitted from smartphones in disaster areas using Low Earth Orbit (LEO) satellites. Through numerical analysis conducted in MATLAB R2023b, the feasibility of the proposed system is examined. The numerical results demonstrate that, under ideal conditions, the proposed system can estimate the number of smartphones within the observation area with an average error of 2.254 devices. Furthermore, an additional evaluation incorporating a 3D urban model demonstrates that the proposed system can estimate the number of smartphones with an average error of 19.03 devices. To the best of our knowledge, this is the first attempt to estimate post-disaster population using wireless LAN signals sensed by LEO satellites, offering a novel remote-sensing-based approach for rapid disaster response. Full article
(This article belongs to the Section Internet of Things)
Show Figures

Figure 1

14 pages, 3004 KB  
Article
Application of Dynamic PRA to Nuclear Power Plant Operation Support—Evaluation of Plant Operation Support Using a Simple Plant Model
by Nami Yamamoto, Mami Kagimoto, Yohei Ueno, Takafumi Narukawa and Takashi Takata
J. Nucl. Eng. 2025, 6(4), 46; https://doi.org/10.3390/jne6040046 - 4 Nov 2025
Viewed by 681
Abstract
Following the Great East Japan Earthquake in 2011, there has been an increased focus on risk assessment and the practical application of its findings to safety enhancement. In particular, dynamic probabilistic risk assessment (PRA) used in conjunction with plant dynamics analysis is being [...] Read more.
Following the Great East Japan Earthquake in 2011, there has been an increased focus on risk assessment and the practical application of its findings to safety enhancement. In particular, dynamic probabilistic risk assessment (PRA) used in conjunction with plant dynamics analysis is being considered for accident management (AM) and operational support. Determining countermeasure priorities in AM can be challenging due to the diversity of accident scenarios. In multi-unit operations, the complexity of scenarios increases in cases of simultaneous disasters, which makes establishing response operations priorities more difficult. Dynamic PRA methods can efficiently generate and assess complex scenarios by incorporating changes in plant state. This paper introduces the continuous Markov chain Monte Carlo (CMMC) method, a dynamic PRA approach, as a tool for prioritizing countermeasures to support nuclear power plant operations. The proposed method involves three steps: (1) generating exhaustive scenarios that include events, operator actions, and system responses; (2) classifying scenarios according to countermeasure patterns; and (3) assigning priority based on risk data for each pattern. An evaluation was conducted using a simple plant model to analyze event countermeasure patterns for addressing steam generator tube rupture during single-unit operation. The generated scenario patterns included depressurization by opening a pressurizer relief valve (DP), depressurization via heat removal through the steam generator (DSG), and both operations combined (DP + DSG). The timing of the response operations varied randomly, resulting in multiple scenarios. The assessment, based on reactor pressure vessel water level and the potential for core damage, showed that the time margin to core damage depended on the countermeasure pattern. The findings indicate that the effectiveness of each countermeasure can be evaluated and that it is feasible to identify which countermeasure should be prioritized. Full article
(This article belongs to the Special Issue Probabilistic Safety Assessment and Management of Nuclear Facilities)
Show Figures

Figure 1

18 pages, 1181 KB  
Article
Expediting Recovery: Lessons and Challenges from the Great East Japan Earthquake to War-Torn Ukraine
by Mikio Ishiwatari, Akiko Sakamoto and Mikiyasu Nakayama
Sustainability 2025, 17(3), 1210; https://doi.org/10.3390/su17031210 - 2 Feb 2025
Cited by 1 | Viewed by 4227
Abstract
The ongoing war in Ukraine poses an uncertain future, highlighting the need to prioritize reconstruction efforts even before the war ends. Japan’s recovery mechanisms have developed based on the experiences and lessons learned from natural disasters such as the Great Kanto Earthquake in [...] Read more.
The ongoing war in Ukraine poses an uncertain future, highlighting the need to prioritize reconstruction efforts even before the war ends. Japan’s recovery mechanisms have developed based on the experiences and lessons learned from natural disasters such as the Great Kanto Earthquake in 1923 and from war damage by World War II. This study aims to draw practical insights and lessons from the 2011 Great East Japan Earthquake for Ukraine’s postwar recovery and help achieve rapid and high-quality results. This study reviews the literature, policy documents, and reports on recovery from the disaster. It was found that streamlining environmental impact assessments, land use regulations, and land acquisition could accelerate recovery. Engaging the private sector promoted the reconstruction of critical infrastructure and housing projects. This Japanese case study highlights the importance of ensuring sustained commitment and avoiding setbacks in the recovery process by establishing legislative, planning, and institutional frameworks, as well as financial mechanisms. Protecting human health is paramount, even if more resources are needed to manage hazardous materials. Applying these valuable lessons to Ukraine requires careful consideration, including leveraging foreign investments to supplement limited domestic resources and establishing effective governance structures that promote transparency, accountability, and coordination. Full article
Show Figures

Figure 1

20 pages, 12268 KB  
Article
Long-Term Structural Health Monitoring of Kashima Lighthouse
by Takayoshi Aoki, Minami Kawase, Jingyao Zhang, Donato Sabia, Giacomo Vincenzo Demarie, Antonino Quattrone and Daisuke Sato
Buildings 2025, 15(3), 436; https://doi.org/10.3390/buildings15030436 - 30 Jan 2025
Viewed by 1266
Abstract
The Kashima Lighthouse, one of the lighthouses that suffered damage in the 2011 Great East Japan Earthquake, required a careful investigation to estimate its long-term behavior and seismic vulnerability. This study, therefore, undertook a meticulous process of the dynamic testing, dynamic identification, and [...] Read more.
The Kashima Lighthouse, one of the lighthouses that suffered damage in the 2011 Great East Japan Earthquake, required a careful investigation to estimate its long-term behavior and seismic vulnerability. This study, therefore, undertook a meticulous process of the dynamic testing, dynamic identification, and long-term structural health monitoring of the Kashima Lighthouse. The results of dynamic tests reveal that the fundamental frequencies of the Kashima Lighthouse are estimated to be around 2.60 Hz and 2.63 Hz in the east–west and north–south directions, respectively. The natural modes and damping factors are identified using an SSIM (Stochastic Subspace Identification Method). This paper also discusses the result of long-term structural health monitoring, where machine learning techniques were applied for data processing, highlighting the rigor and thoroughness of this research. Full article
(This article belongs to the Section Building Structures)
Show Figures

Figure 1

9 pages, 199 KB  
Case Report
Feasibility of Schema Therapy for Recurrent Depression in a Disaster Relief Worker with Prior Post-Traumatic Stress Disorder Treatment Using Prolonged Exposure Therapy
by Arinobu Hori, Michio Murakami, Fumiyo Oshima and Remco van der Wijngaart
Behav. Sci. 2024, 14(12), 1156; https://doi.org/10.3390/bs14121156 - 2 Dec 2024
Cited by 2 | Viewed by 2755
Abstract
This report presents the follow-up treatment course of a previously published case that demonstrated the effectiveness of prolonged exposure (PE) therapy for a disaster relief worker. The patient, a municipal employee in Fukushima Prefecture, developed post-traumatic stress disorder (PTSD) and mood disorders after [...] Read more.
This report presents the follow-up treatment course of a previously published case that demonstrated the effectiveness of prolonged exposure (PE) therapy for a disaster relief worker. The patient, a municipal employee in Fukushima Prefecture, developed post-traumatic stress disorder (PTSD) and mood disorders after the 2011 Great East Japan Earthquake and subsequent disasters. This follow-up focuses on the period from 2021 to early 2024, during which the patient experienced symptom recurrence after his father’s death. This event revealed psychological patterns similar to his disaster-related responses. Schema therapy was introduced to address over-adaptive work behaviors and vulnerabilities in relationships, identified as relapse risk factors. Combined with antidepressants, schema therapy achieved sustained improvement. This longitudinal perspective demonstrates schema therapy’s effectiveness in addressing underlying vulnerabilities when symptoms re-emerge after trauma-focused treatment. The findings underscore how initial trauma responses may interact with subsequent life events and suggest schema therapy’s potential as a secondary intervention for disaster relief workers facing complex challenges. Full article
(This article belongs to the Section Psychiatric, Emotional and Behavioral Disorders)
19 pages, 7809 KB  
Article
Investigating Post-Disaster Reconstruction since the 2011 Great East Japan Earthquake: A Study on the Ōtsuchi-chō, Iwate Prefecture through Timelines
by Daqian Yang, Masaaki Minami, Kosuke Sato and Ashraf Uddin Fahim
Sustainability 2024, 16(10), 3907; https://doi.org/10.3390/su16103907 - 7 May 2024
Cited by 1 | Viewed by 2336
Abstract
Since the 2011 Great East Japan Earthquake, 13 years have passed, and many areas have completed post-disaster reconstruction. Therefore, it is necessary to further summarise and analyse the experiences gained from this post-disaster reconstruction. This study conducted door-to-door interviews with residents of Ōtsuchi-chō, [...] Read more.
Since the 2011 Great East Japan Earthquake, 13 years have passed, and many areas have completed post-disaster reconstruction. Therefore, it is necessary to further summarise and analyse the experiences gained from this post-disaster reconstruction. This study conducted door-to-door interviews with residents of Ōtsuchi-chō, Iwate Prefecture, in the 13 years following the earthquake. It recorded the residents’ perspectives on post-disaster reconstruction and its shortcomings. By collecting locally published materials like newspapers, and local government records and integrating them with interview records, the first “Great East Japan Earthquake Timeline” for Ōtsuchi-chō was compiled. We primarily divided this timeline into the following three phases: the disaster and early reconstruction period (2011), the mid-reconstruction period (2012–2015), and the late reconstruction period (2016–Present). This timeline has yielded the following results: firstly, some issues have arisen during this prolonged reconstruction process. For example, continuous relocation hinders community rebuilding, especially in the context of an ageing society. Secondly, the “Ōtsuchi-chō Reconstruction Timeline” was created, which can be used for post-disaster reconstruction in contemporary Japanese villages facing severe ageing. This timeline provides a clear understanding of how disaster-affected areas can rebuild housing and infrastructure, and recover economically. It offers guidance for the reconstruction of Japanese villages after a disaster. Therefore, post-disaster reconstruction in the region should accelerate infrastructure development and continuously listen to residents’ voices, providing corresponding services to make reconstruction comprehensive and specific. At the same time, it also contributes to the post-disaster reconstruction of villages in other developed countries. Full article
Show Figures

Figure 1

20 pages, 12511 KB  
Article
Integration of Smart City Technologies with Advanced Predictive Analytics for Geotechnical Investigations
by Yuxin Cong and Shinya Inazumi
Smart Cities 2024, 7(3), 1089-1108; https://doi.org/10.3390/smartcities7030046 - 6 May 2024
Cited by 15 | Viewed by 4676
Abstract
This paper addresses challenges and solutions in urban development and infrastructure resilience, particularly in the context of Japan’s rapidly urbanizing landscape. It explores the integration of smart city concepts to combat land subsidence and liquefaction, phenomena highlighted by the 2011 Great East Japan [...] Read more.
This paper addresses challenges and solutions in urban development and infrastructure resilience, particularly in the context of Japan’s rapidly urbanizing landscape. It explores the integration of smart city concepts to combat land subsidence and liquefaction, phenomena highlighted by the 2011 Great East Japan Earthquake. Additionally, it examines the current situation and lack of geoinformation and communication technology in the concept of smart cities in Japan. Consequently, this study employs advanced technologies, including smart sensing and predictive analytics through kriging and ensemble learning, with the objective of enhancing the precision of geotechnical investigations and urban planning. By analyzing data in Setagaya, Tokyo, it develops predictive models to accurately determine the depth of bearing layers that are critical to urban infrastructure. The results demonstrate the superiority of ensemble learning in predicting the depth of bearing layers. Two methods have been developed to predict undetected geographic data and prepare ground reality and digital smart maps for the construction industry to build smart cities. This study is useful for real-time analysis of existing data, for the government to make new urban plans, for construction companies to conduct risk assessments before doing their jobs, and for individuals to obtain real-time geographic data and hazard warnings through mobile phones and other means in the future. To the best of our knowledge, this is the first instance of predictive analysis of geographic information being conducted through geographic information, big data technology, machine learning, integrated learning, and artificial intelligence. Full article
(This article belongs to the Section Physical Infrastructures and Networks in Smart Cities)
Show Figures

Figure 1

22 pages, 6834 KB  
Article
Prediction and Factor Analysis of Liquefaction Ground Subsidence Based on Machine-Learning Techniques
by Kazuki Karimai, Wen Liu and Yoshihisa Maruyama
Appl. Sci. 2024, 14(7), 2713; https://doi.org/10.3390/app14072713 - 23 Mar 2024
Cited by 11 | Viewed by 3446
Abstract
Liquefaction is a significant challenge in the fields of earthquake risk assessment and soil dynamics, as it has the potential to cause extensive damage to buildings and infrastructure through ground failure. During the 2011 Great East Japan Earthquake, Urayasu City in the Chiba [...] Read more.
Liquefaction is a significant challenge in the fields of earthquake risk assessment and soil dynamics, as it has the potential to cause extensive damage to buildings and infrastructure through ground failure. During the 2011 Great East Japan Earthquake, Urayasu City in the Chiba Prefecture experienced severe soil liquefaction, leading to evacuation losses due to the effect of the liquefaction on roads. Therefore, developing quantitative predictions of ground subsidence caused by liquefaction and understanding its contributing factors are imperative in preparing for potential future mega-earthquakes. This research is novel because previous research primarily focused on developing predictive models for determining the presence or absence of liquefaction, and there are few examples available of quantitative liquefaction magnitude after liquefaction has occurred. This research study extracts features from existing datasets and builds a predictive model, supplemented by factor analysis. Using the Cabinet Office of Japan’s Nankai Trough Megathrust Earthquake model, liquefaction-induced ground subsidence was designated as the dependent variable. A gradient-boosted decision-tree (GDBT) prediction model was then developed. Additionally, the Shapley additive explanations (SHAP) method was employed to analyze the contribution of each feature to the prediction results. The study found that the XGBoost model outperformed the LightGBM model in terms of predictive accuracy, with the predicted values closely aligned with the actual measurements, thereby proving its effectiveness in predicting ground subsidence due to liquefaction. Furthermore, it was demonstrated that liquefaction assessments, which were previously challenging, can now be interpreted using SHAP factors. This enables accountable wide-area prediction of liquefaction-induced ground subsidence. Full article
Show Figures

Figure 1

12 pages, 996 KB  
Article
Eight-Year Trends in the Effect of the Great East Japan Earthquake on Obstetrics Outcomes: A Study from the Fukushima Health Management Survey
by Hyo Kyozuka, Tetsuya Ohhira, Tsuyoshi Murata, Shun Yasuda, Kayoko Ishii, Seiji Yasumura, Keiya Fujimori, Hitoshi Ohto and Kenji Kamiya
Life 2023, 13(8), 1702; https://doi.org/10.3390/life13081702 - 8 Aug 2023
Cited by 3 | Viewed by 3047
Abstract
Information regarding the longitudinal effects of natural/environmental disasters on obstetrics outcomes is limited. This study aimed to analyze the longitudinal changes in obstetrics outcomes over 8 years after the Great East Japan Earthquake and the Fukushima power plant accident. We used data from [...] Read more.
Information regarding the longitudinal effects of natural/environmental disasters on obstetrics outcomes is limited. This study aimed to analyze the longitudinal changes in obstetrics outcomes over 8 years after the Great East Japan Earthquake and the Fukushima power plant accident. We used data from the first 8 years of the Pregnancy and Birth Survey by the Fukushima prefectural government, launched in 2011. We compared data on obstetrics outcomes by year and divided Fukushima Prefecture into six districts based on administrative districts. Longitudinal changes in the occurrence of preterm birth before 37 gestational weeks, low birth weight, and anomalies in newborns were accessed using the Mantel–Haenszel test for trends in all six districts. Overall, 57,537 participants were included. In 8 years, maternal age, conception rate after sterility treatment, and cesarean section delivery incidence increased. Although significant differences were observed in preterm birth and low birth weight occurrence among districts, there was no significant trend in the occurrence of preterm birth, low birth weight, and anomalies in newborns in all six districts of Fukushima Prefecture. The Great East Japan Earthquake and Fukushima power plant accident were associated with increased cesarean section delivery incidence but had no significant adverse effects on obstetrics outcomes. Full article
(This article belongs to the Special Issue Research Update in Pregnancy Complications)
Show Figures

Figure 1

15 pages, 2330 KB  
Article
Regional Agriculture and Social Capital after Massive Natural Disasters: The Case of Miyagi Prefecture after the Great East Japan Earthquake
by Eriko Miyama
Sustainability 2023, 15(15), 11725; https://doi.org/10.3390/su151511725 - 29 Jul 2023
Cited by 5 | Viewed by 3227
Abstract
This study aimed to clarify how local agriculture and social capital in disaster-affected areas were transformed by the Great East Japan Earthquake and tsunami in March 2011 and to identify the factors that influenced the transformation of social capital—especially trust—after the disaster. A [...] Read more.
This study aimed to clarify how local agriculture and social capital in disaster-affected areas were transformed by the Great East Japan Earthquake and tsunami in March 2011 and to identify the factors that influenced the transformation of social capital—especially trust—after the disaster. A questionnaire survey was conducted in the Miyagi prefecture’s disaster-affected areas. Survey responses were analyzed using descriptive statistics and linear regression analysis with ordinary least squares; the trust index was used for explained variables and personal-attribute disaster-related variables as explanatory variables. The results indicate that regional agriculture was integrated into agricultural corporations or communal management as individual farmers were unable to recover their disaster-related losses. After the disaster, participation in collaborative efforts to manage community resources decreased, while participation in community activities, such as volunteering, increased. Respondents lost trust in the people around them owing to relocation after the disaster and exposure to crime. Steps necessary to maintain or improve social capital in disaster areas include maintaining public safety in the disaster area, securing sources of income, and providing people with interaction opportunities, such as hobby groups. The findings offer practical applications for post-disaster agricultural resource management in developed countries. Full article
(This article belongs to the Special Issue Post-disaster Recovery from a Sustainability Perspective)
Show Figures

Figure 1

9 pages, 565 KB  
Brief Report
Personality Traits and Types of Housing Recovery after the 2011 Great East Japan Earthquake and Tsunami
by Akio Honda, Shosuke Sato, Motoaki Sugiura, Tsuneyuki Abe and Fumihiko Imamura
Sustainability 2023, 15(7), 5679; https://doi.org/10.3390/su15075679 - 24 Mar 2023
Cited by 2 | Viewed by 2667
Abstract
The Great East Japan Earthquake and Tsunami struck the northeastern coastal area of Japan on 11 March 2011, resulting in the relocation of 329,000 households and the repair of 572,000 houses. Previous studies predominantly addressed the impact of demographic factors on housing recovery. [...] Read more.
The Great East Japan Earthquake and Tsunami struck the northeastern coastal area of Japan on 11 March 2011, resulting in the relocation of 329,000 households and the repair of 572,000 houses. Previous studies predominantly addressed the impact of demographic factors on housing recovery. However, the types of housing recoveries and the impact of individual psycho-behavioral factors have been poorly addressed. This study examined the impact of survivors’ demographic and personality-trait factors using a discriminant analysis of five types of housing recovery among 573 survivors in the five years after the disaster. The results revealed two important axes. One axis discriminated self-procured (rebuilt, repaired, and chartered housing) houses from those that were publicly available (emergency temporary and public disaster housing) affected by three personality traits (stubbornness, problem-solving, and active well-being) and survivors’ age. The other axis represented rebuilt houses affected by household size. These results demonstrate that personality traits and not just demographic factors impact three types of self-procured housing recoveries. Further exploration of personality traits that impact housing recovery can improve post-disaster reconstruction and recovery practices. Full article
Show Figures

Figure 1

12 pages, 1907 KB  
Article
Major Causes of Death among Older Adults after the Great East Japan Earthquake: A Retrospective Study
by Takako Fujimaki, Yuko Ohno, Anna Tsutsui, Yuta Inoue, Ling Zha, Makoto Fujii, Tetsuya Tajima, Satoshi Hattori and Tomotaka Sobue
Int. J. Environ. Res. Public Health 2023, 20(6), 5058; https://doi.org/10.3390/ijerph20065058 - 13 Mar 2023
Cited by 2 | Viewed by 3419
Abstract
This retrospective study investigated the 3-year impact of the Great East Japan Earthquake (GEJE) of 2011 on deaths due to neoplasm, heart disease, stroke, pneumonia, and senility among older adults in the primarily affected prefectures compared with other prefectures, previous investigations having been [...] Read more.
This retrospective study investigated the 3-year impact of the Great East Japan Earthquake (GEJE) of 2011 on deaths due to neoplasm, heart disease, stroke, pneumonia, and senility among older adults in the primarily affected prefectures compared with other prefectures, previous investigations having been more limited as regards mortality causes and geographic areas. Using death certificates issued between 2006 and 2015 (n = 7,383,253), mortality rates (MRs) and risk ratios (RRs) were calculated using a linear mixed model with the log-transformed MR as the response variable. The model included interactions between the area category and each year of death from 2010 to 2013. The RRs in the interaction significantly increased to 1.13, 1.17, and 1.28 for deaths due to stroke, pneumonia, and senility, respectively, in Miyagi Prefecture in 2011, but did not significantly increase for any of the other areas affected by the GEJE. Moreover, increased RRs were not reported for any of the other years. The risk of death increased in 2011; however, this was only significant for single-year impact. In 2013, decreased RRs of pneumonia in the Miyagi and Iwate prefectures and of senility in Fukushima Prefecture were observed. Overall, we did not find evidence of strong associations between the GEJE and mortality. Full article
Show Figures

Figure 1

16 pages, 1018 KB  
Article
Relationship between the Effects of Perceived Damage Caused by Harmful Rumors about Fukushima after the Nuclear Accident and Information Sources and Media
by Chihiro Nakayama, Hajime Iwasa, Nobuaki Moriyama and Seiji Yasumura
Int. J. Environ. Res. Public Health 2023, 20(3), 2077; https://doi.org/10.3390/ijerph20032077 - 23 Jan 2023
Cited by 1 | Viewed by 3513
Abstract
The nuclear accident that accompanied the Great East Japan Earthquake of 11 March, 2011, was also an information disaster. A serious problem that arose after the accident and persisted for a long time was the damage caused by harmful rumors (DCBHR). In 2016, [...] Read more.
The nuclear accident that accompanied the Great East Japan Earthquake of 11 March, 2011, was also an information disaster. A serious problem that arose after the accident and persisted for a long time was the damage caused by harmful rumors (DCBHR). In 2016, a cross-sectional questionnaire survey on health and information was conducted in Fukushima. The eligible population of this survey was 2000 Fukushima residents, which included those in the evacuated areas. We received 861 responses. Data were analyzed using the responses to the question about perceived DCBHR as the objective variable and the sources of information residents trusted and the media they used as explanatory variables. A multiple logistic regression analysis revealed that those who trusted government ministries and local commercial TV were significantly associated with no effect. In contrast, those who used Internet sites and blogs were significantly associated with a negative effect. This study underlines the pivotal importance of media and information, literacy, and education and discusses how these should be improved to avoid DCBHR in the future. Furthermore, accurate information should be made available to all sections of the population to diminish DCBHR. Full article
Show Figures

Figure 1

Back to TopTop