Sign in to use this feature.

Years

Between: -

Subjects

remove_circle_outline
remove_circle_outline
remove_circle_outline
remove_circle_outline
remove_circle_outline

Journals

Article Types

Countries / Regions

Search Results (11)

Search Parameters:
Keywords = 2′,3′-cyclic nucleotide 3′-phosphodiesterase (CNPase)

Order results
Result details
Results per page
Select all
Export citation of selected articles as:
19 pages, 5453 KB  
Article
Alzheimer’s Disease-Associated Molecular Abnormalities in White Matter Glia and Related Pathologies Detected in Unfractionated and O4-Selected Serum Exosomes Using a Liquid Biopsy Approach
by Suzanne M. de la Monte and Ming Tong
Biomedicines 2026, 14(1), 251; https://doi.org/10.3390/biomedicines14010251 (registering DOI) - 22 Jan 2026
Abstract
Background/Objectives: White matter degeneration is a significant and early mediator of cognitive impairment in Alzheimer’s disease (AD), yet the critical pathologic features remain poorly understood, under-detected, and therapeutically untargeted. Herein, we characterize molecular features of white matter glial cells in AD brains [...] Read more.
Background/Objectives: White matter degeneration is a significant and early mediator of cognitive impairment in Alzheimer’s disease (AD), yet the critical pathologic features remain poorly understood, under-detected, and therapeutically untargeted. Herein, we characterize molecular features of white matter glial cells in AD brains and assess the utility of non-invasive approaches for detecting related abnormalities in extracellular vesicles (EVs) isolated from serum (SEV). In addition, results from unfractionated (SEV-T) and O4 sulfatide-selected SEVs were compared to determine whether white matter abnormalities were detected with greater sensitivity in oligodendrocyte-specific SEVs (SEV-O4). Methods: Oligodendrocyte glycoprotein and astrocyte mRNA levels were measured in postmortem human AD and control frontal lobe white matter by RT-PCR. Immunoreactivity to oligodendrocyte glycoproteins, astrocyte structural proteins, neurofilament light chain (NfL), and aspartyl-asparaginyl-β-hydroxylase (ASPH) was measured by ELISA in SEV-T and SEV-O4 from patients with moderate AD or normal aging. Results: AD brain pathology was associated with significantly reduced mRNA expression of multiple oligodendrocyte glycoproteins and increased mRNA expression of astrocytic structural genes. SEV analyses demonstrated significantly increased immunoreactivity to 2′,3′-cyclic nucleotide 3′ phosphodiesterase (CNPase), myelin-associated glycoprotein 1 (MAG1), astrocyte proteins, and ASPH, a potent activator of Notch and myelin-regulated homeostatic functions. There were no significant benefits of measuring SEV-O4 compared with SEV-T immunoreactivity. Conclusions: AD is associated with significant molecular abnormalities in oligodendrocyte and astrocyte function in brain tissue. The abnormalities detected in SEVs likely reflect oligodendrocyte injury and degeneration, as well as astrocytic activation. The findings suggest that low-invasive SEV approaches, including the novel analysis of ASPH upregulation, can be used to detect and monitor AD white matter degeneration. Full article
Show Figures

Figure 1

25 pages, 2418 KB  
Article
Brain and Serum Membrane Vesicle (Exosome) Profiles in Experimental Alcohol-Related Brain Degeneration: Forging the Path to Non-Invasive Liquid Biopsy Diagnostics
by Suzanne M. De La Monte, Yiwen Yang and Ming Tong
J. Mol. Pathol. 2024, 5(3), 360-384; https://doi.org/10.3390/jmp5030025 - 10 Sep 2024
Cited by 6 | Viewed by 2343
Abstract
Background: Alcohol-related brain degeneration (ARBD) is associated with cognitive–motor impairments that can progress to disability and dementia. White matter (WM) is prominently targeted in ARBD due to chronic neurotoxic and degenerative effects on oligodendrocytes and myelin. Early detection and monitoring of WM pathology [...] Read more.
Background: Alcohol-related brain degeneration (ARBD) is associated with cognitive–motor impairments that can progress to disability and dementia. White matter (WM) is prominently targeted in ARBD due to chronic neurotoxic and degenerative effects on oligodendrocytes and myelin. Early detection and monitoring of WM pathology in ARBD could lead to therapeutic interventions. Objective: This study examines the potential utility of a non-invasive strategy for detecting WM ARBD using exosomes isolated from serum. Comparative analyses were made with paired tissue (Tx) and membrane vesicles (MVs) from the temporal lobe (TL). Methods: Long Evans rats were fed for 8 weeks with isocaloric liquid diets containing 37% or 0% caloric ethanol (n = 8/group). TL-Tx, TL-MVs, and serum exosomes (S-EVs) were used to examine ethanol’s effects on oligodendrocyte glycoprotein, astrocyte, and oxidative stress markers. Results: Ethanol significantly decreased the TL-Tx expression of platelet-derived growth factor receptor alpha (PDGFRA), 2′,3′-cyclic nucleotide 3′ phosphodiesterase (CNPase), proteolipid protein (PLP), myelin oligodendrocyte glycoprotein (MOG), glial fibrillary acidic protein (GFAP), and 8-OHdG, whereas in the TL-MVs, ethanol increased CNPase, PDGFRA, and 8-OHdG, but decreased MOG and GFAP concordantly with TL-Tx. Ethanol modulated the S-EV expression by reducing PLP, nestin, GFAP, and 4-hydroxynonenal (HNE). Conclusion: Chronic ethanol exposures differentially alter the expression of oligodendrocyte/myelin, astrocyte, and oxidative stress markers in the brain, brain MVs, and S-EVs. However, directionally concordant effects across all three compartments were limited. Future studies should advance these efforts by characterizing the relationship between ABRD and molecular pathological changes in brain WM-specific exosomes in serum. Full article
Show Figures

Figure 1

20 pages, 12261 KB  
Article
Melatonin Prevents Depression but Not Anxiety-like Behavior Produced by the Chemotherapeutic Agent Temozolomide: Implication of Doublecortin Cells and Hilar Oligodendrocytes
by Edith Araceli Cabrera-Muñoz, Gerardo Bernabé Ramírez-Rodríguez, Lizeth Díaz-Yañez, Verónica Reyes-Galindo, David Meneses-San Juan and Nelly Maritza Vega-Rivera
Int. J. Mol. Sci. 2023, 24(17), 13376; https://doi.org/10.3390/ijms241713376 - 29 Aug 2023
Cited by 4 | Viewed by 2485
Abstract
Melatonin is a hormone synthesized by the pineal gland with neuroprotective and neurodevelopmental effects. Also, melatonin acts as an antidepressant by modulating the generation of new neurons in the dentate gyrus of the hippocampus. The positive effects of melatonin on behavior and neural [...] Read more.
Melatonin is a hormone synthesized by the pineal gland with neuroprotective and neurodevelopmental effects. Also, melatonin acts as an antidepressant by modulating the generation of new neurons in the dentate gyrus of the hippocampus. The positive effects of melatonin on behavior and neural development may suggest it is used for reverting stress but also for the alterations produced by chemotherapeutic drugs influencing behavior and brain plasticity. In this sense, temozolomide, an alkylating/anti-proliferating agent used in treating brain cancer, is associated with decreased cognitive functions and depression. We hypothesized that melatonin might prevent the effects of temozolomide on depression- and anxiety-like behavior by modulating some aspects of the neurogenic process in adult Balb/C mice. Mice were treated with temozolomide (25 mg/kg) for three days of two weeks, followed by melatonin (8 mg/kg) for fourteen days. Temozolomide produced short- and long-term decrements in cell proliferation (Ki67-positive cells: 54.89% and 53.38%, respectively) and intermediate stages of the neurogenic process (doublecortin-positive cells: 68.23% and 50.08%, respectively). However, melatonin prevented the long-term effects of temozolomide with the increased number of doublecortin-positive cells (47.21%) and the immunoreactivity of 2′ 3′-Cyclic-nucleotide-3 phosphodiesterase (CNPase: 82.66%), an enzyme expressed by mature oligodendrocytes, in the hilar portion of the dentate gyrus. The effects of melatonin in the temozolomide group occurred with decreased immobility in the forced swim test (45.55%) but not anxiety-like behavior. Thus, our results suggest that melatonin prevents the harmful effects of temozolomide by modulating doublecortin cells, hilar oligodendrocytes, and depression-like behavior tested in the forced swim test. Our study could point out melatonin’s beneficial effects for counteracting temozolomide’s side effects. Full article
Show Figures

Figure 1

23 pages, 3032 KB  
Article
Adipose-Derived Stem Cells Spontaneously Express Neural Markers When Grown in a PEG-Based 3D Matrix
by Neus Gomila Pelegri, Aleksandra M. Stanczak, Amy L. Bottomley, Bruce K. Milthorpe, Catherine A. Gorrie, Matthew P. Padula and Jerran Santos
Int. J. Mol. Sci. 2023, 24(15), 12139; https://doi.org/10.3390/ijms241512139 - 28 Jul 2023
Cited by 6 | Viewed by 3489
Abstract
Neurological diseases are among the leading causes of disability and death worldwide and remain difficult to treat. Tissue engineering offers avenues to test potential treatments; however, the development of biologically accurate models of brain tissues remains challenging. Given their neurogenic potential and availability, [...] Read more.
Neurological diseases are among the leading causes of disability and death worldwide and remain difficult to treat. Tissue engineering offers avenues to test potential treatments; however, the development of biologically accurate models of brain tissues remains challenging. Given their neurogenic potential and availability, adipose-derived stem cells (ADSCs) are of interest for creating neural models. While progress has been made in differentiating ADSCs into neural cells, their differentiation in 3D environments, which are more representative of the in vivo physiological conditions of the nervous system, is crucial. This can be achieved by modulating the 3D matrix composition and stiffness. Human ADSCs were cultured for 14 days in a 1.1 kPa polyethylene glycol-based 3D hydrogel matrix to assess effects on cell morphology, cell viability, proteome changes and spontaneous neural differentiation. Results showed that cells continued to proliferate over the 14-day period and presented a different morphology to 2D cultures, with the cells elongating and aligning with one another. The proteome analysis revealed 439 proteins changed in abundance by >1.5 fold. Cyclic nucleotide 3′-phosphodiesterase (CNPase) markers were identified using immunocytochemistry and confirmed with proteomics. Findings indicate that ADSCs spontaneously increase neural marker expression when grown in an environment with similar mechanical properties to the central nervous system. Full article
(This article belongs to the Special Issue Mesenchymal Stem Cells in Neurological Disorder)
Show Figures

Figure 1

17 pages, 3637 KB  
Article
Sigma-1 Receptor Activation Improves Oligodendrogenesis and Promotes White-Matter Integrity after Stroke in Mice with Diabetic Mellitus
by Wenjing Song, Yang Yao, Heling Zhang, Xin Hao, Liping Zhou, Zhixiao Song, Tiantian Wei, Tianyan Chi, Peng Liu, Xuefei Ji and Libo Zou
Molecules 2023, 28(1), 390; https://doi.org/10.3390/molecules28010390 - 2 Jan 2023
Cited by 6 | Viewed by 4111
Abstract
Diabetes mellitus (DM) is a major risk factor for stroke and exacerbates white-matter damage in focal cerebral ischemia. Our previous study showed that the sigma-1 receptor agonist PRE084 ameliorates bilateral common-carotid-artery occlusion-induced brain damage in mice. However, whether this protective effect can extend [...] Read more.
Diabetes mellitus (DM) is a major risk factor for stroke and exacerbates white-matter damage in focal cerebral ischemia. Our previous study showed that the sigma-1 receptor agonist PRE084 ameliorates bilateral common-carotid-artery occlusion-induced brain damage in mice. However, whether this protective effect can extend to white matter remains unclear. In this study, C57BL/6 mice were treated with high-fat diets (HFDs) combined with streptozotocin (STZ) injection to mimic type 2 diabetes mellitus (T2DM). Focal cerebral ischemia in T2DM mice was established via injection of the vasoconstrictor peptide endothelin-1 (ET-1) into the hippocampus. Three different treatment plans were used in this study. In one plan, 1 mg/kg of PRE084 (intraperitoneally) was administered for 7 d before ET-1 injection; the mice were sacrificed 24 h after ET-1 injection. In another plan, PRE084 treatment was initiated 24 h after ET-1 injection and lasted for 7 d. In the third plan, PRE084 treatment was initiated 24 h after ET-1 injection and lasted for 21 d. The Y-maze, novel object recognition, and passive avoidance tests were used to assess neurobehavioral outcomes. We found no cognitive dysfunction or white-matter damage 24 h after ET-1 injection. However, 7 and 21 d after ET-1 injection, the mice showed significant cognitive impairment and white-matter damage. Only PRE084 treatment for 21 d could improve this white-matter injury; increase axon and myelin density; decrease demyelination; and increase the expressions of myelin regulator 2‘-3‘-cyclic nucleotide 3‘-phosphodiesterase (CNpase) and myelin oligodendrocyte protein (MOG) (which was expressed by mature oligodendrocytes), the number of nerve/glial-antigen 2 (NG2)-positive cells, and the expression of platelet-derived growth factor receptor-alpha (PDGFRα), all of which were expressed by oligodendrocyte progenitor cells in mice with diabetes and focal cerebral ischemia. These results indicate that maybe there was more severe white-matter damage in the focal cerebral ischemia of the diabetic mice than in the mice with normal blood glucose levels. Long-term sigma-1 receptor activation may promote oligodendrogenesis and white-matter functional recovery in patients with stroke and with diabetes. Full article
(This article belongs to the Special Issue Chemical Agents for Neurodegenerative Diseases)
Show Figures

Figure 1

15 pages, 5343 KB  
Communication
CNPase, a 2′,3′-Cyclic-nucleotide 3′-phosphodiesterase, as a Therapeutic Target to Attenuate Cardiac Hypertrophy by Enhancing Mitochondrial Energy Production
by Keai Sinn Tan, Dongfang Wang, Ziqiang Lu, Yihan Zhang, Sixu Li, Yue Lin and Wen Tan
Int. J. Mol. Sci. 2021, 22(19), 10806; https://doi.org/10.3390/ijms221910806 - 6 Oct 2021
Cited by 5 | Viewed by 3798
Abstract
Heart failure is the end-stage of all cardiovascular diseases with a ~25% 5-year survival rate, and insufficient mitochondrial energy production to meet myocardial demand is the hallmark of heart failure. Mitochondrial components involved in the regulation of ATP production remain to be fully [...] Read more.
Heart failure is the end-stage of all cardiovascular diseases with a ~25% 5-year survival rate, and insufficient mitochondrial energy production to meet myocardial demand is the hallmark of heart failure. Mitochondrial components involved in the regulation of ATP production remain to be fully elucidated. Recently, roles of 2′,3′-cyclic nucleotide-3′-phosphodiesterase (CNPase) in the pathophysiological processes of heart diseases have emerged, implicated by evidence that mitochondrial CNPase proteins are associated with mitochondrial integrity under metabolic stress. In this study, a zebrafish heart failure model was established, by employing antisense morpholino oligonucleotides and the CRISPR-Cas9 gene-editing system, which recapitulates heart failure phenotypes including heart dysfunction, pericardial edema, ventricular enlargement, bradycardia, and premature death. The translational implications of CNPase in the pathophysiological process of heart failure were tested in a pressure overload-induced heart hypertrophy model, which was carried out in rats through transverse abdominal aorta constriction (TAAC). AAV9-mediated myocardial delivery of CNPase mitigated the hypertrophic response through the specific hydrolysis of 2′-3′-cyclic nucleotides, supported by the decrease of cardiac hypertrophy and fibrosis, the integrity of mitochondrial ultrastructure, and indicators of heart contractility in the AAV9-TAAC group. Finally, the biometrics of a mitochondrial respiration assay carried out on a Seahorse cellular energy analyzer demonstrated that CNPase protects mitochondrial respiration and ATP production from AngII-induced metabolic stress. In summary, this study provides mechanistic insights into CNPase-2′,3′-cyclic nucleotide metabolism that protects the heart from energy starvation and suggests novel therapeutic approaches to treat heart failure by targeting CNPase activity. Full article
Show Figures

Graphical abstract

5 pages, 675 KB  
Communication
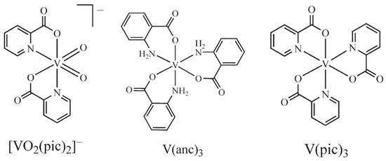
2′-3′-Cyclic Nucleotide 3′-Phosphodiesterase Inhibition by Organometallic Vanadium Complexes: A Potential New Paradigm for Studying CNS Degeneration
by David C. Platt, Jonathan Rink, Kamaljit Braich, Craig C. McLauchlan and Marjorie A. Jones
Brain Sci. 2021, 11(5), 588; https://doi.org/10.3390/brainsci11050588 - 30 Apr 2021
Cited by 3 | Viewed by 2317
Abstract
The enzyme, 2′-3′-cyclic nucleotide 3′-phosphodiesterase (CNPase) has been known for over fifty years. Nevertheless, the roles this membrane-bound enzyme play have yet to be described completely. Recently, there has been renewed interest in the study of this enzyme due to studies that suggest [...] Read more.
The enzyme, 2′-3′-cyclic nucleotide 3′-phosphodiesterase (CNPase) has been known for over fifty years. Nevertheless, the roles this membrane-bound enzyme play have yet to be described completely. Recently, there has been renewed interest in the study of this enzyme due to studies that suggest that CNPase plays a role in the mediation of cellular inflammatory responses in renal and nervous system tissues. Also, this enzyme, found in oligodendrocytes of the nervous system, has been reported to participate in significant regulatory changes associated with age which may be involved in age-related CNS degeneration. Consequently, development of CNPase inhibitors is of interest and should aid in the study of this, as yet, poorly understood enzyme. In this work we utilized a spectrophotometric enzyme assay to determine the effect a panel of organo-vanadium complexes had on isolated hamster myelin CNPase activity. Our group has now identified several potent in vitro CNPase inhibitors that could prove useful in clarifying the important roles of this enzyme. Full article
(This article belongs to the Section Molecular and Cellular Neuroscience)
Show Figures

Graphical abstract

20 pages, 2911 KB  
Article
The Effects of PK11195 and Protoporphyrin IX Can Modulate Chronic Alcohol Intoxication in Rat Liver Mitochondria under the Opening of the Mitochondrial Permeability Transition Pore
by Yulia Baburina, Irina Odinokova and Olga Krestinina
Cells 2020, 9(8), 1774; https://doi.org/10.3390/cells9081774 - 24 Jul 2020
Cited by 8 | Viewed by 3296
Abstract
Decades of active research have shown that mitochondrial dysfunction, the associated oxidative stress, impaired anti-stress defense mechanisms, and the activation of the proapoptotic signaling pathways underlie pathological changes in organs and tissues. Pathologies caused by alcohol primarily affect the liver. Alcohol abuse is [...] Read more.
Decades of active research have shown that mitochondrial dysfunction, the associated oxidative stress, impaired anti-stress defense mechanisms, and the activation of the proapoptotic signaling pathways underlie pathological changes in organs and tissues. Pathologies caused by alcohol primarily affect the liver. Alcohol abuse is the cause of many liver diseases, such as steatosis, alcoholic steatohepatitis, fibrosis, cirrhosis, and, potentially, hepatocellular cancer. In this study, the effect of chronic alcohol exposure on rat liver mitochondria was investigated. We observed an ethanol-induced increase in sensitivity to calcium, changes in the level of protein kinase Akt and GSK-3β phosphorylation, an induction of the mitochondrial permeability transition pore (mPTP), and strong alterations in the expression of mPTP regulators. Moreover, we also showed an enhanced effect of PK11195 and PPIX, on the parameters of the mPTP opening in rat liver mitochondria (RLM) isolated from ethanol-treated rats compared to the RLM from control rats. We suggest that the results of this study could help elucidate the mechanisms of chronic ethanol action on the mitochondria and contribute to the development of new therapeutic strategies for treating the effects of ethanol-related diseases. Full article
(This article belongs to the Section Mitochondria)
Show Figures

Figure 1

18 pages, 1647 KB  
Review
The Functions of Mitochondrial 2′,3′-Cyclic Nucleotide-3′-Phosphodiesterase and Prospects for Its Future
by Krestinina Olga, Baburina Yulia and Papadopoulos Vassilios
Int. J. Mol. Sci. 2020, 21(9), 3217; https://doi.org/10.3390/ijms21093217 - 1 May 2020
Cited by 17 | Viewed by 5568
Abstract
2′,3′-cyclic nucleotide-3′-phosphodiesterase (CNPase) is a myelin-associated enzyme that catalyzes the phosphodiester hydrolysis of 2’,3’-cyclic nucleotides to 2’-nucleotides. However, its presence is also found in unmyelinated cells and other cellular structures. Understanding of its specific physiological functions, particularly in unmyelinated cells, is still incomplete. [...] Read more.
2′,3′-cyclic nucleotide-3′-phosphodiesterase (CNPase) is a myelin-associated enzyme that catalyzes the phosphodiester hydrolysis of 2’,3’-cyclic nucleotides to 2’-nucleotides. However, its presence is also found in unmyelinated cells and other cellular structures. Understanding of its specific physiological functions, particularly in unmyelinated cells, is still incomplete. This review concentrates on the role of mitochondrial CNPase (mtCNPase), independent of myelin. mtCNPase is able to regulate the functioning of the mitochondrial permeability transition pore (mPTP), and thus is involved in the mechanisms of cell death, both apoptosis and necrosis. Its participation in the development of various diseases and pathological conditions, such as aging, heart disease and alcohol dependence, is also reviewed. As such, mtCNPase can be considered as a potential target for the development of therapeutic strategies in the treatment of mitochondria-related diseases. Full article
(This article belongs to the Section Biochemistry)
Show Figures

Figure 1

14 pages, 1534 KB  
Article
Possible Involvement of 2′,3′-Cyclic Nucleotide-3′-Phosphodiesterase in the Protein Phosphorylation-Mediated Regulation of the Permeability Transition Pore
by Yulia Baburina, Irina Odinokova, Tamara Azarashvili, Vladimir Akatov, Linda Sotnikova and Olga Krestinina
Int. J. Mol. Sci. 2018, 19(11), 3499; https://doi.org/10.3390/ijms19113499 - 7 Nov 2018
Cited by 11 | Viewed by 3368
Abstract
Calcium as a secondary messenger regulates the phosphorylation of several membrane-bound proteins in brain and liver mitochondria. Regulation of the activity of different protein kinases and phosphatases by Ca2+ occurs through its binding with calmodulin. The protein phosphorylation is strongly dependent on [...] Read more.
Calcium as a secondary messenger regulates the phosphorylation of several membrane-bound proteins in brain and liver mitochondria. Regulation of the activity of different protein kinases and phosphatases by Ca2+ occurs through its binding with calmodulin. The protein phosphorylation is strongly dependent on the Ca2+-induced mitochondrial permeability transition pore (mPTP) opening. 2′,3′-Cyclic nucleotide-3′-phosphodiesterase (CNPase) was phosphorylated by protein kinases A and C. CNPase and melatonin (MEL) might interact with calmodulin. The effects of the calmodulin antagonist calmidazolium and the inhibitor of protein kinase A H89 on mPTP opening in rat brain mitochondria of male Wistar rats were investigated. In addition, the role of CNPase, serine/threonine kinases, and MEL in the mPTP opening was examined. The anti-CNPase antibody added to rat brain mitochondria (RBM) reduced the content of CNPase in mitochondria. The threshold [Ca2+] decreased, and mitochondrial swelling was accelerated in the presence of the anti-CNPase antibody. H89 enhanced the effect of anti-CNPase antibody and accelerated the swelling of mitochondria, while CmZ abolished the effect of anti-CNPase antibody under mPTP opening. The levels of phospho-Akt and phospho-GSK3β increased, while the MEL content did not change. It can be assumed that CNPase may be involved in the regulation of these kinases, which in turn plays an important role in mPTP functioning. Full article
(This article belongs to the Special Issue Protein Phosphorylation in Health and Disease)
Show Figures

Figure 1

16 pages, 2728 KB  
Article
Effect of Melatonin on Rat Heart Mitochondria in Acute Heart Failure in Aged Rats
by Irina Odinokova, Yulia Baburina, Alexey Kruglov, Irina Fadeeva, Alena Zvyagina, Linda Sotnikova, Vladimir Akatov and Olga Krestinina
Int. J. Mol. Sci. 2018, 19(6), 1555; https://doi.org/10.3390/ijms19061555 - 23 May 2018
Cited by 40 | Viewed by 8782
Abstract
Excessive generation of reactive oxygen species (ROS) in mitochondria and the opening of the nonselective mitochondrial permeability transition pore are important factors that promote cardiac pathologies and dysfunction. The hormone melatonin (MEL) is known to improve the functional state of mitochondria via an [...] Read more.
Excessive generation of reactive oxygen species (ROS) in mitochondria and the opening of the nonselective mitochondrial permeability transition pore are important factors that promote cardiac pathologies and dysfunction. The hormone melatonin (MEL) is known to improve the functional state of mitochondria via an antioxidant effect. Here, the effect of MEL administration on heart mitochondria from aged rats with acute cardiac failure caused by isoprenaline hydrochloride (ISO) was studied. A histological analysis revealed that chronic intake of MEL diminished the age-dependent changes in the structure of muscle fibers of the left ventricle, muscle fiber swelling, and injury zones characteristic of acute cardiac failure caused by ISO. In acute heart failure, the respiratory control index (RCI) and the Ca2+ retention capacity in isolated rat heart mitochondria (RHM) were reduced by 30% and 40%, respectively, and mitochondrial swelling increased by 34%. MEL administration abolished the effect of ISO. MEL partially prevented ISO-induced changes at the subunit level of respiratory complexes III and V and drastically decreased the expression of complex I subunit NDUFB8 both in control RHM and in RHM treated with ISO, which led to the inhibition of ROS production. MEL prevents the mitochondrial dysfunction associated with heart failure caused by ISO. It was shown that the level of 2′,3′-cyclicnucleotide-3′-phosphodiasterase (CNPase), which is capable of protecting cells in aging, increased in acute heart failure. MEL also retained the CNPase content in RHM both in control experiments and after ISO-induced heart damage. We concluded that an increase in the CNPase level promotes cardioprotection. Full article
Show Figures

Graphical abstract

Back to TopTop