Sign in to use this feature.

Years

Between: -

Article Types

Countries / Regions

Search Results (286)

Search Parameters:
Journal = Remote Sensing
Section = Earth Observation Data

Order results
Result details
Results per page
Select all
Export citation of selected articles as:
19 pages, 13205 KB  
Article
Static Stress Transfer and Fault Interaction Within the 2008–2020 Yutian Earthquake Sequence Constrained by InSAR-Derived Slip Models
by Xiaoran Fan, Guohong Zhang and Xinjian Shan
Remote Sens. 2026, 18(2), 288; https://doi.org/10.3390/rs18020288 - 15 Jan 2026
Viewed by 266
Abstract
The Yutian region at the southwestern termination of the Altyn Tagh Fault has experienced four moderate-to-strong earthquakes since 2008, providing an opportunity to investigate fault interactions within a transtensional tectonic setting. In this study, we derive the coseismic deformation and slip model of [...] Read more.
The Yutian region at the southwestern termination of the Altyn Tagh Fault has experienced four moderate-to-strong earthquakes since 2008, providing an opportunity to investigate fault interactions within a transtensional tectonic setting. In this study, we derive the coseismic deformation and slip model of the 2020 Mw 6.3 Yutian earthquake using ascending and descending Sentinel-1 InSAR data. The deformation field exhibits a characteristic subsidence–uplift pattern consistent with normal faulting, and the preferred slip model indicates a north–south-striking fault with slip concentrated at depths of 6–9 km. To place this event in a broader tectonic context, we incorporate published slip models for the 2008 and 2014 earthquakes together with a simplified finite-fault model for the 2012 event to construct a unified four-event source framework. Static Coulomb stress calculations reveal complex interactions among the four earthquakes. Localized positive loading from the 2012 event partially counteracts the negative ΔCFS imposed by the 2008 and 2014 earthquakes, reshaping the stress field rather than simply promoting or inhibiting failure. The cumulative stress evolution shows persistent unclamping and repeated shear-stress reversals, indicating that the 2020 earthquake resulted from long-term extensional loading superimposed on multi-stage coseismic stress redistribution. These results demonstrate that multi-event stress analysis provides a more reliable framework for assessing seismic hazards in regions with complex local stress fields. Full article
(This article belongs to the Special Issue Advanced Satellite Remote Sensing for Geohazards)
Show Figures

Figure 1

24 pages, 3218 KB  
Article
Analysis of Ionospheric TEC Anomalies Using BDS High-Orbit Satellite Data: A Regional Statistical Study and a Case Study of the 2023 Jishishan Ms6.2 Earthquake
by Xiao Gao, Hanyi Cao, Ranran Shen, Meiting Xin, Penggang Tian and Lin Pan
Remote Sens. 2025, 17(24), 4032; https://doi.org/10.3390/rs17244032 - 14 Dec 2025
Viewed by 417
Abstract
This study presents a comprehensive analysis of pre- and co-seismic ionospheric disturbances associated with the 2023 Ms6.2 Jishishan earthquake by leveraging the unique observational strengths of BDS, particularly its high-orbit satellites. A multi-parameter space weather index was employed to effectively isolate seismogenic signals [...] Read more.
This study presents a comprehensive analysis of pre- and co-seismic ionospheric disturbances associated with the 2023 Ms6.2 Jishishan earthquake by leveraging the unique observational strengths of BDS, particularly its high-orbit satellites. A multi-parameter space weather index was employed to effectively isolate seismogenic signals from geomagnetic disturbances, confirming that the main shock occurred during geomagnetically quiet conditions. Statistical analysis of 41 historical earthquakes (Mw ≥ 5.5) reveals that 47.2% were associated with detectable Total Electron Content (TEC) anomalies. An inverse correlation between earthquake magnitude and anomaly detectability within a 31-day window suggests prolonged precursor durations for larger events may produce longer-duration precursory signals, which challenge conventional detection methods. The synergistic capabilities of BDS Geostationary Earth Orbit (GEO) and Inclined Geosynchronous Orbit (IGSO) satellites were demonstrated: GEO satellites provide unprecedented temporal stability for continuous TEC monitoring, while IGSO satellites enable high-resolution spatial mapping of Co-seismic Ionospheric Disturbances (CIDs). The detected CIDs propagated at velocities below 1.6 km/s, consistent with acoustic gravity wave (AGW) mechanisms. A case study during a geomagnetically active period further reveals modulated CID propagation characteristics, indicating potential coupling between seismic forcing and space weather. Our findings validate BDS as a powerful and precise tool for ionospheric seismology and provide critical insights into Lithosphere–Atmosphere–Ionosphere Coupling (LAIC) dynamics. Full article
(This article belongs to the Section Earth Observation Data)
Show Figures

Figure 1

28 pages, 14066 KB  
Article
Evaluating Global and National Datasets in an Ensemble Approach to Estimating Carbon Emissions as Part of SERVIR’s CArbon Pilot
by Christine Evans, Emil A. Cherrington, Lauren Carey, Ashutosh Limaye, Sajana Maharjan, Diego Incer Nuñez, Eric R. Anderson, Kelsey Herndon and Africa I. Flores-Anderson
Remote Sens. 2025, 17(24), 3975; https://doi.org/10.3390/rs17243975 - 9 Dec 2025
Viewed by 972
Abstract
Understanding where forest loss occurs and the resulting carbon emissions is a critical component of assessing national carbon budgets. To complement existing greenhouse gas (GHG) guidance and evaluate input datasets used in emissions estimation, SERVIR—a joint USAID and NASA initiative—implemented the SERVIR CArbon [...] Read more.
Understanding where forest loss occurs and the resulting carbon emissions is a critical component of assessing national carbon budgets. To complement existing greenhouse gas (GHG) guidance and evaluate input datasets used in emissions estimation, SERVIR—a joint USAID and NASA initiative—implemented the SERVIR CArbon Pilot (S-CAP) project. This study focuses on the variability and reliability of land cover and biomass datasets that serve as inputs for such calculations. Seventeen aboveground biomass and twelve land cover change datasets were analyzed to characterize the variability in forest cover loss and biomass estimates for Guatemala, Nepal, and Zambia. Forest loss estimates varied substantially, ranging from 20,733 to 441,227 ha/yr in Guatemala, 1738 to 385,087 ha/yr in Nepal, and 6141 to 1,902,957 ha/yr in Zambia. Biomass estimates also differed widely depending on the dataset and forest mask applied: mean values ranged from 54.6 to 293.3 tons/ha across countries and periods. Accuracy assessments using national reference data for forest changes ranged from 67 to 97%, while National Forest Inventory biomass estimates diverged notably from global products. The ensemble approach highlights how differences in input datasets, particularly in forest extent and biomass magnitude, can propagate through emissions calculations. These findings underscore the importance of understanding and evaluating dataset variability prior to national carbon reporting and emissions estimation. Full article
(This article belongs to the Section Earth Observation Data)
Show Figures

Figure 1

27 pages, 5276 KB  
Article
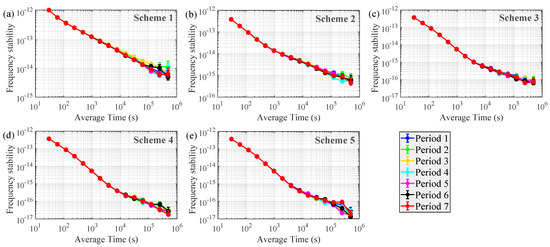
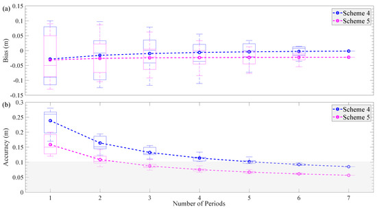
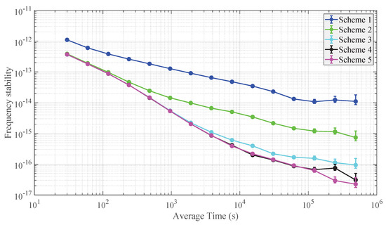
Precise Cross-Sea Orthometric Height Determination Using GNSS Carrier-Phase Time-Frequency Transfer
by Kuangchao Wu, Wen-Bin Shen, Ziyu Shen, Hok Sum Fok, Yanming Guo, Kezhao Li, Weitao Yan, Zengzeng Lian, Jinjiang Wang and Huijia Guo
Remote Sens. 2025, 17(24), 3949; https://doi.org/10.3390/rs17243949 - 6 Dec 2025
Viewed by 351
Abstract
State-of-the-art atomic clocks, in combination with high-precision time-frequency transfer techniques, have established a novel relativistic geodetic approach for determining the Earth’s geopotential. By exploiting ultra-stable atomic clocks and GNSS Precise Point Positioning (PPP) time-frequency transfer, this study investigates the cross-sea Orthometric Height (OH) [...] Read more.
State-of-the-art atomic clocks, in combination with high-precision time-frequency transfer techniques, have established a novel relativistic geodetic approach for determining the Earth’s geopotential. By exploiting ultra-stable atomic clocks and GNSS Precise Point Positioning (PPP) time-frequency transfer, this study investigates the cross-sea Orthometric Height (OH) determination between two remote stations separated by over 8000 km, corresponding to an OH difference of approximately 2260 m. Simulation results indicate that, when employing clocks with a frequency stability of 1 × 10−18, the remote OH determination could achieve a limiting accuracy of approximately 20 cm. This limitation is primarily attributed to the finite precision of the PPP time-frequency transfer, which constrains the ultimate performance of the OH determination. Furthermore, aggregating multiple observation periods could further enhance the accuracy to approximately 6 cm. These findings demonstrate that the PPP time-frequency transfer facilitates high-precision OH determination over intercontinental distances and thereby provides a feasible pathway toward the realization of a centimeter-level International Height Reference System (IHRS). Full article
(This article belongs to the Section Earth Observation Data)
Show Figures

Graphical abstract

45 pages, 54738 KB  
Article
A Deep Learning Approach to Downscaling Microwave Land Surface Temperatures for a Clear-Sky Merged Infrared-Microwave Product
by Abigail Marie Waring, Darren Ghent, David Moffat, Carlos Jimenez and John Remedios
Remote Sens. 2025, 17(23), 3893; https://doi.org/10.3390/rs17233893 - 30 Nov 2025
Viewed by 539
Abstract
Reliable land surface temperature (LST) data are required for monitoring climate variability, hydrological processes, and land–atmosphere interactions. Yet existing satellite-derived LST products, such as those from thermal infrared (TIR) sensors, are limited by gaps due to clouds, while passive microwave (PMW) observations, though [...] Read more.
Reliable land surface temperature (LST) data are required for monitoring climate variability, hydrological processes, and land–atmosphere interactions. Yet existing satellite-derived LST products, such as those from thermal infrared (TIR) sensors, are limited by gaps due to clouds, while passive microwave (PMW) observations, though less affected by atmospheric interference, suffer from coarse resolution and larger uncertainty. This study presents the first validated clear-sky merged LST product for the USA and combines downscaled PMW data from AMSR-E and AMSR2 with MODIS TIR observations, using a modified U-Net deep learning network. The merged dataset covers 2004–2021 at 5 km resolution, providing a compromise between spatial detail and robustness. The model performs well, with low mean squared errors and R2 values of 0.80 (day) and 0.75 (night). The merged time series captures seasonal trends and shows a marked reduction in cloud-contamination artefacts compared to MODIS and AMSR signals. Spatially, the product is consistent across sensor transitions and reduces artefacts from TIR cloud contamination. Validation against ground stations shows results between those of TIR and PMW, with better accuracy at night and moderate positive biases influenced by land cover and terrain. Although the merged product does not match the fine resolution of TIR data by choice, it enhances spatial coverage over AMSR alone and temporal completeness over MODIS alone, where single-sensor products are limited. Residual temporal and seasonal biases are moderate, with systematic warm and cold deviations linked to land cover, propagation of emissivity errors, and sampling differences. Strong positive biases remain over terrain with complex surface properties as the downscaled AMSR is closer to MODIS temperatures. Results demonstrate the combined benefits of PMW’s broader coverage and cloud tolerance with TIR’s spatial detail. Overall, results demonstrate the potential of sensor fusion for producing spatially consistent LST records suitable for long-term environmental and climate monitoring. Full article
(This article belongs to the Section Earth Observation Data)
Show Figures

Figure 1

31 pages, 17949 KB  
Article
Domain-Unified Adaptive Detection Framework for Small Vehicle Targets in Monostatic/Bistatic SAR Images
by Zheng Ye and Peng Zhou
Remote Sens. 2025, 17(22), 3671; https://doi.org/10.3390/rs17223671 - 7 Nov 2025
Viewed by 726
Abstract
Benefiting from the advantages of unmanned aerial vehicle (UAV) platforms such as low cost, rapid deployment capability, and miniaturization, the application of UAV-borne synthetic aperture radar (SAR) has developed rapidly. Utilizing a self-developed monostatic Miniaturized SAR (MiniSAR) system and a bistatic MiniSAR system, [...] Read more.
Benefiting from the advantages of unmanned aerial vehicle (UAV) platforms such as low cost, rapid deployment capability, and miniaturization, the application of UAV-borne synthetic aperture radar (SAR) has developed rapidly. Utilizing a self-developed monostatic Miniaturized SAR (MiniSAR) system and a bistatic MiniSAR system, our team conducted multiple imaging missions over the same vehicle equipment display area at different times. However, system disparities and time-varying factors lead to a mismatch between the distributions of the training and test data. Additionally, small ground vehicle targets under complex background clutter exhibit limited size and weak scattering characteristics. These two issues pose significant challenges to the precise detection of small ground vehicle targets. To address these issues, this article proposes a domain-unified adaptive target detection framework (DUA-TDF). The approach consists of two stages: image-to-image translation and feature extraction and target detection. In the first stage, a multi-scale detail-aware CycleGAN (MSDA-CycleGAN) is proposed to align the source and target domains at the image level by achieving unpaired image style transfer while emphasizing both global structure and local details of the generated images. In the second stage, a cross-window axial self-attention target detection network (CWASA-Net) is proposed. This network employs a hybrid backbone centered on the cross-window axial self-attention mechanism to enhance feature representation, coupled with a convolution-based stacked cross-scale feature fusion network to strengthen multi-scale feature interaction. To validate the effectiveness and generalization capability of the proposed algorithm, comprehensive experiments are conducted on both self-developed monostatic/bistatic SAR datasets and public dataset. Experimental results demonstrate that our method achieves an mAP50 exceeding 90% in within-domain tests and maintains over 80% in cross-domain scenarios, demonstrating exceptional and robust detection performance as well as cross-domain adaptability. Full article
Show Figures

Figure 1

29 pages, 8917 KB  
Technical Note
Generating Accurate De-Noising Vectors for Sentinel-1: 10 Years of Continuous Improvements
by Andrea Recchia, Beatrice Mai, Laura Fioretti, Riccardo Piantanida, Martin Steinisch, Niccolò Franceschi, Guillaume Hajduch, Pauline Vincent, Muriel Pinheiro, Nuno Miranda and Antonio Valentino
Remote Sens. 2025, 17(20), 3474; https://doi.org/10.3390/rs17203474 - 17 Oct 2025
Viewed by 975
Abstract
The Copernicus Programme is a joint European initiative developed by the European Commission (EC) and the European Space Agency (ESA) to provide accurate, up-to-date, and comprehensive Earth observation data for environmental monitoring, climate change analysis, disaster management, and security. The Copernicus program comprises [...] Read more.
The Copernicus Programme is a joint European initiative developed by the European Commission (EC) and the European Space Agency (ESA) to provide accurate, up-to-date, and comprehensive Earth observation data for environmental monitoring, climate change analysis, disaster management, and security. The Copernicus program comprises a series of dedicated satellite missions, i.e., the Sentinels spanning a wide range of the electromagnetic spectrum with different sensing techniques. Sentinel-1 is the radar imaging component of Copernicus. It is a two-satellite constellation placed in the same orbit and spaced 180° apart. The all-weather, day-and-night images of Earth’s surface are systematically provided by Sentinel-1 to the Copernicus service component and to scientific users. The Sentinel-1 SAR data are suitable for interferometric and radiometric applications, whose performance depends on the thermal noise level in the data. The paper provides a comprehensive overview of the activities spanning 10 years, focused on properly measuring, characterizing, and removing the thermal noise from S-1 data. Full article
(This article belongs to the Section Earth Observation Data)
Show Figures

Graphical abstract

36 pages, 9276 KB  
Article
Understanding Landslide Expression in SAR Backscatter Data: Global Study and Disaster Response Application
by Erin Lindsay, Alexandra Jarna Ganerød, Graziella Devoli, Johannes Reiche, Steinar Nordal and Regula Frauenfelder
Remote Sens. 2025, 17(19), 3313; https://doi.org/10.3390/rs17193313 - 27 Sep 2025
Viewed by 1794
Abstract
Cloud cover can delay landslide detection in optical satellite imagery for weeks, complicating disaster response. Synthetic Aperture Radar (SAR) backscatter imagery, which is widely used for monitoring floods and avalanches, remains underutilised for landslide detection due to a limited understanding of landslide signatures [...] Read more.
Cloud cover can delay landslide detection in optical satellite imagery for weeks, complicating disaster response. Synthetic Aperture Radar (SAR) backscatter imagery, which is widely used for monitoring floods and avalanches, remains underutilised for landslide detection due to a limited understanding of landslide signatures in SAR data. We developed a conceptual model of landslide expression in SAR backscatter (σ°) change images through iterative investigation of over 1000 landslides across 30 diverse study areas. Using multi-temporal composites and dense time series Sentinel-1 C-band SAR data, we identified characteristic patterns linked to land cover, terrain, and landslide material. The results showed either increased or decreased backscatter depending on environmental conditions, with reduced visibility in urban or mixed vegetation areas. Detection was also hindered by geometric distortions and snow cover. The diversity of landslide expression illustrates the need to consider local variability and multi-track (ascending and descending) satellite data in designing representative training datasets for automated detection models. The conceptual model was applied to three recent disaster events using the first post-event Sentinel-1 image, successfully identifying previously unknown landslides before optical imagery became available in two cases. This study provides a theoretical foundation for interpreting landslides in SAR imagery and demonstrates its utility for rapid landslide detection. The findings support further exploration of rapid landslides in SAR backscatter data and future development of automated detection models, offering a valuable tool for disaster response. Full article
Show Figures

Graphical abstract

24 pages, 9524 KB  
Article
Portable Self-Calibrating Absolute Radiation Source for Field Calibration of Ground-Based Lunar Observation System
by Ye Jiang, Kai Wang, Yuwei Wang, Yuchen Lin, Dongjun Yang, Wei Fang and Xin Ye
Remote Sens. 2025, 17(18), 3212; https://doi.org/10.3390/rs17183212 - 17 Sep 2025
Viewed by 639
Abstract
To enhance the field calibration capability of ground-based lunar observation instruments for long-term continuous monitoring and to optimize the stability and traceability of lunar observation data, this manuscript presents the development of a SI traceable Portable Self-calibrating Absolute Radiation Source (PSARS) based on [...] Read more.
To enhance the field calibration capability of ground-based lunar observation instruments for long-term continuous monitoring and to optimize the stability and traceability of lunar observation data, this manuscript presents the development of a SI traceable Portable Self-calibrating Absolute Radiation Source (PSARS) based on an electrical substitute radiometer. A self-calibrating radiation transfer model has been established. The system features a “+” structure layout centered around an integrating sphere, which ensures uniformity of the light source while improving system integration. Preliminary performance testing results indicate that PSARS achieves excellent radiative planar uniformity and angular uniformity within the targeted area, both exceeding 99%. During the self-calibration cycle of PSARS, the detector demonstrates high measurement stability for the built-in light source. Ultimately, through comparative validation and uncertainty assessment, the self-calibration accuracy of spectral irradiance for PSARS in the 400–1000 nm wavelength range is better than 2%, meeting the demands for high-frequency, high-stability, and high-precision real-time on-site radiometric calibration under ground-based lunar observation field test conditions. This provides technical support for the construction of high-precision lunar models and the widespread application of lunar calibration technologies. Full article
(This article belongs to the Section Earth Observation Data)
Show Figures

Figure 1

25 pages, 5278 KB  
Article
Developing a Quality Flag for SAR Ocean Wave Spectrum Partitioning with Machine Learning
by Amine Benchaabane, Romain Husson, Muriel Pinheiro and Guillaume Hajduch
Remote Sens. 2025, 17(18), 3191; https://doi.org/10.3390/rs17183191 - 15 Sep 2025
Cited by 1 | Viewed by 868
Abstract
Synthetic Aperture Radar (SAR) is one of the few instruments capable of providing high-resolution global two-dimensional (2D) measurements of ocean waves. Since 2014 and then 2016, the Sentinel-1A/B satellites, whenever operating in a specific wave mode (WV), have been providing ocean swell spectrum [...] Read more.
Synthetic Aperture Radar (SAR) is one of the few instruments capable of providing high-resolution global two-dimensional (2D) measurements of ocean waves. Since 2014 and then 2016, the Sentinel-1A/B satellites, whenever operating in a specific wave mode (WV), have been providing ocean swell spectrum data as Level-2 (L2) OCeaN products (OCN), derived through a quasi-linear inversion process. This WV acquires small SAR images of 20 × 20 km footprints alternating between two sub-beams, WV1 and WV2, with incidence angles of approximately 23° and 36°, respectively, to capture ocean surface dynamics. The SAR imaging process is influenced by various modulations, including hydrodynamic, tilt, and velocity bunching. While hydrodynamic and tilt modulations can be approximated as linear processes, velocity bunching introduces significant distortion due to the satellite’s relative motion with respect to the ocean surface and leads to constructive but also destructive effects on the wave imaging process. Due to the associated azimuth cut-off, the quasi-linear inversion primarily detects ocean swells with, on average, wavelengths longer than 200 m in the SAR azimuth direction, limiting the resolution of smaller-scale wave features in azimuth but reaching 10 m resolution along range. The 2D spectral partitioning technique used in the Sentinel-1 WV OCN product separates different swell systems, known as partitions, based on their frequency, directional, and spectral characteristics. The accuracy of these partitions can be affected by several factors, including non-linear effects, large-scale surface features, and the relative direction of the swell peak to the satellite’s flight path. To address these challenges, this study proposes a novel quality control framework using a machine learning (ML) approach to develop a quality flag (QF) parameter associated with each swell partition provided in the OCN products. By pairing collocated data from Sentinel-1 (S1) and WaveWatch III (WW3) partitions, the QF parameter assigns each SAR-derived swell partition one of five quality levels: “very good,” “good,” “medium,” “low,” or “poor”. This ML-based method enhances the accuracy of wave partitions, especially in cases where non-linear effects or large-scale oceanic features distort the data. The proposed algorithm provides a robust tool for filtering out problematic partitions, improving the overall quality of ocean wave measurements obtained from SAR. Moreover, the variability in the accuracy of swell partitions, depending on the swell direction relative to the satellite’s flight heading, is effectively addressed, enabling more reliable data for oceanographic studies. This work contributes to a better understanding of ocean swell dynamics derived from SAR observations and supports the numerical swell modeling community by aiding in the refinement of models and their integration into operational systems, thereby advancing both theoretical and practical aspects of ocean wave forecasting. Full article
(This article belongs to the Special Issue Calibration and Validation of SAR Data and Derived Products)
Show Figures

Figure 1

20 pages, 453 KB  
Article
Towards Comprehensive Characterization of GaoFen-3: Polarimetric Radar Performance and Data Quality Assessment
by Weibin Liang, Lihong Kang and Shijie Ren
Remote Sens. 2025, 17(17), 3016; https://doi.org/10.3390/rs17173016 - 30 Aug 2025
Cited by 1 | Viewed by 834
Abstract
Although synthetic aperture radar (SAR) performance and polarimetric data quality are closely related, they represent fundamentally different concepts. This paper delineates their distinctions, investigates their interdependence, and introduces a comprehensive set of technical metrics for evaluating radar system performance and assessing polarimetric data [...] Read more.
Although synthetic aperture radar (SAR) performance and polarimetric data quality are closely related, they represent fundamentally different concepts. This paper delineates their distinctions, investigates their interdependence, and introduces a comprehensive set of technical metrics for evaluating radar system performance and assessing polarimetric data quality. Specifically, radar performance is quantified by seven independent parameters, whereas data quality is characterized by a three-component channel imbalance vector and a twelve-element channel crosstalk matrix. The paper details the measurement methods for these parameters and outlines the associated technical requirements, including calibrator specifications and test-site conditions. To improve operational applicability, an approximate method for data quality assessment is proposed, and its associated errors are analyzed. Special attention is given to the γ factor, which is highlighted as a critical and irreplaceable indicator of radar performance. Using field data from the GaoFen-3 (GF-3) satellite, the proposed metrics are applied to evaluate both radar performance and data quality. The results provide insights into the polarimetric characteristics of the system and offer practical guidance for the calibration and application of GF-3 polarimetric SAR data. Full article
(This article belongs to the Special Issue Cutting-Edge PolSAR Imaging Applications and Techniques)
Show Figures

Figure 1

18 pages, 7108 KB  
Article
Improved Determination of Particle Backscattering Coefficient Using Four-Angle Volume Scattering Measurements
by Chang Han, Bangyi Tao, Yunzhou Li, Qingjun Song, Haiqing Huang and Zhihua Mao
Remote Sens. 2025, 17(17), 2990; https://doi.org/10.3390/rs17172990 - 28 Aug 2025
Viewed by 719
Abstract
The backscattering coefficient of aquatic particles (bbp(λ)) is one of the most important inherent optical properties in remote sensing. Due to the practical difficulties associated with measurements of the volume scattering function (VSF) over the whole [...] Read more.
The backscattering coefficient of aquatic particles (bbp(λ)) is one of the most important inherent optical properties in remote sensing. Due to the practical difficulties associated with measurements of the volume scattering function (VSF) over the whole backward hemisphere (90°–180°), bbp(λ) is estimated using either a single-angle approach, which employs the VSF at a fixed angle multiplied by a conversion factor χp(θ;λ), or a multi-angle approach, which uses the VSF at multiple angles with polynomial fitting. The angular variation in the VSF in the backward angles introduces uncertainties into bbp(λ) estimation. In this study, 178 VSF datasets from the global ocean were investigated. χp exhibited wavelength, regional, and angular variations. Although χp exhibited the lowest variability, at 120° (χp(120°;λ)), the single-angle approach exhibited a 12.71% mean absolute percent difference (MAPD) and a root mean squared error (RMSE) of approximately 4.02×103m1. χp(140°;λ) exhibited larger variations at different wavelengths and in coastal regions. The three-angle approach exhibits wavelength independence and lower uncertainties, but the uncertainty of the polynomial fitting results at angles greater than 150° is relatively large, and the MAPD is still up to 10.92%. A better four-angle approach (100°, 120°, 140°, and 160°) was proposed, which could accurately determine bbp(λ) with the lowest MAPD (3.12%) and RMSE (0.86×103m1). Notably, expanding to five angles provided minimal additional improvements, with the reduction in the MAPD being less than 1% compared to that under the four-angle approach. This study provides valuable insights into developing advanced optical sensors with better angular configurations for measuring bbp(λ). Full article
(This article belongs to the Section Earth Observation Data)
Show Figures

Figure 1

20 pages, 29547 KB  
Technical Note
Air Moving-Target Detection Based on Sub-Aperture Segmentation and GoDec+ Decomposition with Spaceborne SAR Time-Series Imagery
by Yanping Wang, Yunzhen Jia, Wenjie Shen, Yun Lin, Yang Li, Lei Liu, Aichun Wang, Hongyu Liu and Qingjun Zhang
Remote Sens. 2025, 17(16), 2918; https://doi.org/10.3390/rs17162918 - 21 Aug 2025
Cited by 1 | Viewed by 1433
Abstract
Air moving-target detection is crucial for national defense, civil aviation, and airspace supervision. Spaceborne synthetic aperture radar (SAR) provides high-resolution, continuous observations for this task, but faces challenges including target attitude variation-induced weak signals and Doppler defocusing from targets’ high-speed motion, which hinder [...] Read more.
Air moving-target detection is crucial for national defense, civil aviation, and airspace supervision. Spaceborne synthetic aperture radar (SAR) provides high-resolution, continuous observations for this task, but faces challenges including target attitude variation-induced weak signals and Doppler defocusing from targets’ high-speed motion, which hinder target-background separation. To address this, we propose a novel method combining sub-aperture segmentation with GoDec+ low-rank decomposition to enhance signal-to-noise ratio and suppress defocusing. Critically, ADS-B flight data is integrated as ground truth for spatio-temporal validation. Experiments using Sentinel-1 SM mode SLC imagery across farmland, forest, and mountainous regions confirm the method’s effectiveness and robustness in real airspace scenarios. Full article
Show Figures

Figure 1

22 pages, 9740 KB  
Article
A Novel Error Correction Method for Airborne HRWS SAR Based on Azimuth-Variant Attitude and Range-Variant Doppler Domain Pattern
by Yihao Xu, Fubo Zhang, Longyong Chen, Yangliang Wan and Tao Jiang
Remote Sens. 2025, 17(16), 2831; https://doi.org/10.3390/rs17162831 - 14 Aug 2025
Cited by 2 | Viewed by 896
Abstract
In high-resolution and wide-swath (HRWS) synthetic aperture radar (SAR) imaging, the azimuth multi-channel technique effectively suppresses azimuth ambiguity, serving as a reliable approach for achieving wide-swath imaging. However, due to mechanical vibrations of the platform and airflow instabilities, airborne SAR may experience errors [...] Read more.
In high-resolution and wide-swath (HRWS) synthetic aperture radar (SAR) imaging, the azimuth multi-channel technique effectively suppresses azimuth ambiguity, serving as a reliable approach for achieving wide-swath imaging. However, due to mechanical vibrations of the platform and airflow instabilities, airborne SAR may experience errors in attitude and flight path during operation. Furthermore, errors also exist in the antenna patterns, frequency stability, and phase noise among the azimuth multi-channels. The presence of these errors can cause azimuth multi-channel reconstruction failure, resulting in azimuth ambiguity and significantly degrading the quality of HRWS images. This article presents a novel error correction method for airborne HRWS SAR based on azimuth-variant attitude and range-variant Doppler domain pattern, which simultaneously considers the effects of various errors, including channel attitude errors and Doppler domain antenna pattern errors, on azimuth reconstruction. Attitude errors are the primary cause of azimuth-variant errors between channels. This article uses the vector method and attitude transformation matrix to calculate and compensate for the attitude errors of azimuth multi-channels, and employs the two-dimensional frequency-domain echo interferometry method to calculate the fixed delay errors and fixed phase errors. To better achieve channel error compensation, this scheme also considers the estimation and compensation of Doppler domain antenna pattern errors in wide-swath scenes. Finally, the effectiveness of the proposed scheme is confirmed through simulations and processing of airborne real data. Full article
Show Figures

Figure 1

30 pages, 9948 KB  
Article
A Linear Feature-Based Method for Signal Photon Extraction and Bathymetric Retrieval Using ICESat-2 Data
by Zhenwei Shi, Jianzhong Li, Ze Yang, Hui Long, Hongwei Cui, Shibin Zhao, Xiaokai Li and Qiang Li
Remote Sens. 2025, 17(16), 2792; https://doi.org/10.3390/rs17162792 - 12 Aug 2025
Cited by 1 | Viewed by 958
Abstract
The ATL03 data from the photon-counting LiDAR onboard the Ice, Cloud, and Land Elevation Satellite-2 (ICESat-2) holds substantial potential for shallow-water bathymetry due to its high sensitivity and broad spatial coverage. However, distinguishing signal photons from noise in low-photon-density and complex terrain environments [...] Read more.
The ATL03 data from the photon-counting LiDAR onboard the Ice, Cloud, and Land Elevation Satellite-2 (ICESat-2) holds substantial potential for shallow-water bathymetry due to its high sensitivity and broad spatial coverage. However, distinguishing signal photons from noise in low-photon-density and complex terrain environments remains a significant challenge. This study proposes an adaptive photon extraction algorithm based on linear feature analysis, incorporating resolution adjustment, segmented Gaussian fitting, and linear feature-based signal identification. To address the reduction in signal photon density with increasing water depth, the method employs a depth-dependent adaptive neighborhood search radius, which dynamically expands into deeper regions to ensure reliable local feature computation. Experiments using eight ICESat-2 datasets demonstrated that the proposed method achieves average precision and recall values of 0.977 and 0.958, respectively, with an F1 score of 0.967 and an overall accuracy of 0.972. The extracted bathymetric depths demonstrated strong agreement with the reference Continuously Updated Digital Elevation Model (CUDEM), achieving a coefficient of determination of 0.988 and a root mean square error of 0.829 m. Compared to conventional methods, the proposed approach significantly improves signal photon extraction accuracy, adaptability, and parameter stability, particularly in sparse photon and complex terrain scenarios. In comparison with the DBSCAN algorithm, the proposed method achieves a 30.0% increase in precision, 17.3% improvement in recall, 24.3% increase in F1 score, and 22.2% improvement in overall accuracy. These findings confirm the effectiveness and robustness of the proposed algorithm for ICESat-2 shallow-water bathymetry applications. Full article
(This article belongs to the Section Earth Observation Data)
Show Figures

Figure 1

Back to TopTop