Sign in to use this feature.

Years

Between: -

Article Types

Countries / Regions

remove_circle_outline
remove_circle_outline
remove_circle_outline
remove_circle_outline

Search Results (976)

Search Parameters:
Journal = Entropy
Section = Thermodynamics

Order results
Result details
Results per page
Select all
Export citation of selected articles as:
5 pages, 152 KB  
Editorial
The First Fifty Years of Finite-Time Thermodynamics
by Bjarne Andresen and Peter Salamon
Entropy 2026, 28(1), 49; https://doi.org/10.3390/e28010049 - 30 Dec 2025
Viewed by 183
Abstract
The year 1975 marked the beginning of an entirely new direction for thermodynamics with the publication of Curzon and Ahlborn’s innocent-looking short paper “Efficiency of a Carnot engine at maximum power output” [...] Full article
(This article belongs to the Special Issue The First Half Century of Finite-Time Thermodynamics)
12 pages, 513 KB  
Article
A Pedagogical Reinforcement of the Ideal (Hard Sphere) Gas Using a Lattice Model: From Quantized Volume to Mechanical Equilibrium
by Rodrigo de Miguel
Entropy 2026, 28(1), 45; https://doi.org/10.3390/e28010045 - 30 Dec 2025
Viewed by 224
Abstract
Due to their simplicity and ease of visualization, lattice models can be useful to illustrate basic concepts in thermodynamics. The recipe to obtain classical thermodynamic expressions from lattice models is usually based on invoking the thermodynamic limit, and the ideal gas law can [...] Read more.
Due to their simplicity and ease of visualization, lattice models can be useful to illustrate basic concepts in thermodynamics. The recipe to obtain classical thermodynamic expressions from lattice models is usually based on invoking the thermodynamic limit, and the ideal gas law can easily be obtained as the density of non-interacting particles vanishes. We present a lattice-based analysis that shows that, when a gas consisting of non-interacting particles evolves towards mechanical equilibrium with the environment, the ideal gas law can be obtained with no recourse to unnecessary assumptions regarding the size or particle density of the lattice. We also present a statistical mechanical analysis that considers a quantized volume and reproduces the process obtained for the discrete lattice model. We show how the alternative use of a well-known and accessible model (the non-interacting lattice gas) can give microscopic insights into thermal systems and the assumptions that underlie the laws used to describe them, including local vs. global equilibrium, irreversible processes, and the sometimes subtle difference between physical assumptions and mathematically convenient approximations. Full article
(This article belongs to the Section Thermodynamics)
Show Figures

Figure 1

16 pages, 365 KB  
Article
Disentangling Brillouin’s Negentropy Law of Information and Landauer’s Law on Data Erasure
by Didier Lairez
Entropy 2026, 28(1), 37; https://doi.org/10.3390/e28010037 - 27 Dec 2025
Viewed by 224
Abstract
The link between information and energy introduces the observer and their knowledge into the understanding of a fundamental quantity in physics. Two approaches compete to account for this link—Brillouin’s negentropy law of information and Landauer’s law on data erasure—which are often confused. The [...] Read more.
The link between information and energy introduces the observer and their knowledge into the understanding of a fundamental quantity in physics. Two approaches compete to account for this link—Brillouin’s negentropy law of information and Landauer’s law on data erasure—which are often confused. The first, based on Clausius’ inequality and Shannon’s mathematical results, is very robust, whereas the second, based on the simple idea that information requires a material embodiment (data bits), is now perceived as more physical and therefore prevails. In this paper, we show that Landauer’s idea results from a confusion between information (a global emergent concept) and data (a local material object). This confusion leads to many inconsistencies and is incompatible with thermodynamics and information theory. The reason it prevails is interpreted as being due to a frequent tendency of materialism towards reductionism, neglecting emergence and seeking to eliminate the role of the observer. A paradoxical trend, considering that it is often accompanied by the materialist idea that all scientific knowledge, nevertheless, originates from observation. Information and entropy are actually emergent quantities introduced in the theory by convention. Full article
Show Figures

Figure 1

30 pages, 5743 KB  
Article
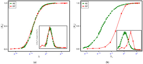
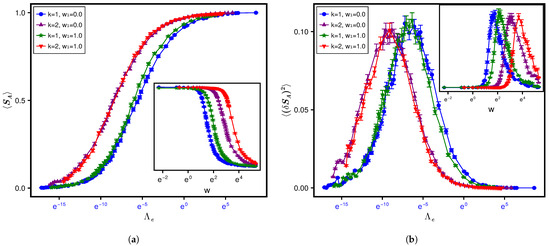
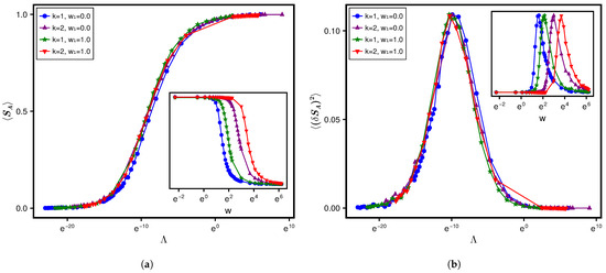
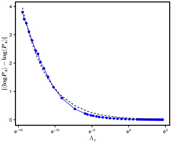
Single-Particle Entanglement Dynamics in Complex Systems
by Devanshu Shekhar and Pragya Shukla
Entropy 2026, 28(1), 29; https://doi.org/10.3390/e28010029 - 25 Dec 2025
Viewed by 205
Abstract
We analyze the effect of varying system conditions on the single-particle entanglement entropy for an arbitrary eigenstate of a complex system that can be described by a multiparametric Gaussian ensemble. Our theoretical analysis leads to the identification of a single functional of the [...] Read more.
We analyze the effect of varying system conditions on the single-particle entanglement entropy for an arbitrary eigenstate of a complex system that can be described by a multiparametric Gaussian ensemble. Our theoretical analysis leads to the identification of a single functional of the system parameters that governs the entropy dynamics. This reveals a sensitivity of the entropy to collective information content, characterized by the functional, instead of the individual system details. The functional can further be used to identify the universality classes as well as a deep web of connection underlying different quantum states. Full article
(This article belongs to the Special Issue Geometry in Thermodynamics, 4th Edition)
Show Figures

Figure 1

25 pages, 4458 KB  
Article
Quantifying Knowledge Production Efficiency with Thermodynamics: A Data-Driven Study of Scientific Concepts
by Artem Chumachenko and Brett Buttliere
Entropy 2026, 28(1), 11; https://doi.org/10.3390/e28010011 - 22 Dec 2025
Viewed by 396
Abstract
We develop a data-driven framework for analyzing how scientific concepts evolve through their empirical in-text frequency distributions in large text corpora. For each concept, the observed distribution is paired with a maximum entropy equilibrium reference, which takes a generalized Boltzmann form determined by [...] Read more.
We develop a data-driven framework for analyzing how scientific concepts evolve through their empirical in-text frequency distributions in large text corpora. For each concept, the observed distribution is paired with a maximum entropy equilibrium reference, which takes a generalized Boltzmann form determined by two measurable statistical moments. Using data from more than 500,000 physics papers (about 13,000 concepts, 2000–2018), we reconstruct the temporal trajectories of the associated MaxEnt parameters and entropy measures, and we identify two characteristic regimes of concept dynamics, stable and driven, separated by a transition point near criticality. Departures from equilibrium are quantified using a residual-information measure that captures how much structure a concept exhibits beyond its equilibrium baseline. To analyze temporal change, we adapt the Hatano–Sasa and Esposito–Van den Broeck decomposition to discrete time and separate maintenance-like contributions from externally driven reorganization. The proposed efficiency indicators describe how concepts sustain or reorganize their informational structure under a finite representational capacity. Together, these elements provide a unified and empirically grounded description of concept evolution in scientific communication, based on equilibrium references, nonequilibrium structure, and informational work. Full article
(This article belongs to the Special Issue The Thermodynamics of Social Processes)
Show Figures

Figure 1

24 pages, 12479 KB  
Article
A Physics-Informed Neural Network (PINN) Approach to Over-Equilibrium Dynamics in Conservatively Perturbed Linear Equilibrium Systems
by Abhishek Dutta, Bitan Mukherjee, Sk Aftab Hosen, Meltem Turan, Denis Constales and Gregory Yablonsky
Entropy 2026, 28(1), 9; https://doi.org/10.3390/e28010009 - 20 Dec 2025
Viewed by 382
Abstract
Conservatively perturbed equilibrium (CPE) experiments yield transient concentration extrema that surpass steady-state equilibrium values. A physics-informed neural network (PINN) framework is introduced to simulate these over-equilibrium dynamics in linear chemical reaction networks without reliance on extensive time-series data. The PINN incorporates the reaction [...] Read more.
Conservatively perturbed equilibrium (CPE) experiments yield transient concentration extrema that surpass steady-state equilibrium values. A physics-informed neural network (PINN) framework is introduced to simulate these over-equilibrium dynamics in linear chemical reaction networks without reliance on extensive time-series data. The PINN incorporates the reaction kinetics, stoichiometric invariants, and equilibrium constraints directly into its loss function, ensuring that the learned solution strictly satisfies physical conservation laws. Applied to three- and four-species reversible mechanisms (both acyclic and cyclic), the PINN surrogate matches conventional ODE integration results, reproducing the characteristic early concentration extrema (maxima or minima) in unperturbed species and the subsequent relaxation to equilibrium. It captures the timing and magnitude of these extrema with high accuracy while inherently preserving total mass. Through the physics-informed approach, the model achieves accurate results with minimal data and a compact network architecture, highlighting its parameter efficiency. Full article
(This article belongs to the Special Issue The First Half Century of Finite-Time Thermodynamics)
Show Figures

Figure 1

24 pages, 2173 KB  
Article
Quantum Dot Thermal Machines—A Guide to Engineering
by Eugenia Pyurbeeva and Ronnie Kosloff
Entropy 2026, 28(1), 2; https://doi.org/10.3390/e28010002 - 19 Dec 2025
Viewed by 221
Abstract
Continuous particle exchange thermal machines require no time-dependent driving, can be realised in solid-state electronic devices, and can be miniaturised to nanometre scale. Quantum dots, providing a narrow energy filter and allowing to manipulate particle flow between the hot and cold reservoirs are [...] Read more.
Continuous particle exchange thermal machines require no time-dependent driving, can be realised in solid-state electronic devices, and can be miniaturised to nanometre scale. Quantum dots, providing a narrow energy filter and allowing to manipulate particle flow between the hot and cold reservoirs are at the heart of such devices. It has been theoretically shown that through mitigating passive heat flow, Carnot efficiency can be approached arbitrarily closely in a quantum dot heat engine, and experimentally, values of 0.7ηC have been reached. However, for practical applications, other parameters of a thermal machine, such as maximum power, efficiency at maximum power, and noise—stability of the power output or heat extraction—take precedence over maximising efficiency. We explore the effect of the internal microscopic dynamics of a quantum dot on these quantities and demonstrate that its performance as a thermal machine depends on few parameters—the overall conductance and three inherent asymmetries of the dynamics: entropy difference between the charge states, tunnel coupling asymmetry, and the degree of detailed balance breaking. These parameters act as a guide to engineering the quantum states of the quantum dot, allowing to optimise its performance beyond that of the simplest case of a two-fold spin-degenerate transmission level. Full article
(This article belongs to the Special Issue Thermodynamics at the Nanoscale)
Show Figures

Figure 1

15 pages, 3214 KB  
Article
Transfer Irreversibilities in the Lenoir Cycle: FTT Design Criteria with εNTU
by Ricardo T. Páez-Hernández, Juan Carlos Pacheco-Paez, Juan Carlos Chimal-Eguía, Delfino Ladino-Luna and Javier Contreras-Sánchez
Entropy 2025, 27(12), 1262; https://doi.org/10.3390/e27121262 - 18 Dec 2025
Viewed by 176
Abstract
This work extends the steady flow Lenoir cycle within finite-time thermodynamics (FTT) by incorporating heat transfer irreversibilities through the εNTU formalism and a non-isentropic expansion modeled via the expander isentropic efficiency ηE. The total conductance UT [...] Read more.
This work extends the steady flow Lenoir cycle within finite-time thermodynamics (FTT) by incorporating heat transfer irreversibilities through the εNTU formalism and a non-isentropic expansion modeled via the expander isentropic efficiency ηE. The total conductance UT (sum for the two heat exchangers) is partitioned between hot and cold units using uL=UL/UT, with UT=UH+UL. For each triplet (τ=TH/TL, UL, UT), we closed the cycle by determining T1, the working fluid temperature at the cooler outlet and heater inlet, T2, the heater outlet and expander inlet, and T3, the expander outlet and cooler inlet. Using these states, we compute the heat rates Q˙12, Q˙31 and the net power P. In addition to the thermal efficiency η, the following extended objective functions are evaluated: the efficient power EF, the ecological efficiency ϕ, and the second law efficiency ηII. Parametric sweeps on uL for τ ϵ 3.25,3.75 and UT ϵ 2.5,5.0,7.5,10 kW show unimodal curves for P(uL) and maxima. A robust result places the optima of P, η, EF, ϕ, and ηII in a distribution band at uL~0.6. This guideline offers clear design guidance for allocating exchange area in heat recovery and microgeneration, maximizing power, high η, and exergetic utilization with contained entropic penalty. Full article
(This article belongs to the Special Issue The First Half Century of Finite-Time Thermodynamics)
Show Figures

Figure 1

15 pages, 1015 KB  
Article
Accumulation Function for the Ideal Air-Standard Brayton Cycle Based on Serrin’s Thermodynamics
by Vidal Aquiles de Jesus Sanchez-Sanchez and Pedro Quinto Diez
Entropy 2025, 27(12), 1228; https://doi.org/10.3390/e27121228 - 4 Dec 2025
Viewed by 304
Abstract
Serrin’s works provided a new perspective on classical thermodynamics through his statements of the first law and the accumulation function, and of the second law and the accumulation theorem, as well as the subsequent result by Huilgol that the work accomplished in a [...] Read more.
Serrin’s works provided a new perspective on classical thermodynamics through his statements of the first law and the accumulation function, and of the second law and the accumulation theorem, as well as the subsequent result by Huilgol that the work accomplished in a thermal cycle implies an inequality where the important temperatures of the thermal cycle and an integral similar to that of Clausius appears. Based on these pioneering works, explicit forms of the accumulation function have been derived for the Otto, Diesel, Stirling and Ericsson cycles. In this paper, a more straightforward derivation than that made by Huilgol is presented to obtain the inequality for the work accomplished in a cycle, following the theoretical framework of Serrin and Huilgol, and explicitly introducing that the temperature ranges in which the system exchanges heat are finite. This paper clearly shows the natural physical fact that heat exchange processes in a system have two defined extreme temperatures, corresponding to the beginning and end of the process, which can be equal in the isothermal limiting case. The derivation of the accumulation function for the ideal air-standard Brayton cycle is provided for the first time, extending Serrin’s thermodynamic framework, where the temperature constraints of the adiabatic compression and expansion processes under which it operates are analyzed. Finally, a practical example is included to illustrate the behavior of the accumulation function of the ideal air-standard Brayton cycle. Full article
(This article belongs to the Section Thermodynamics)
Show Figures

Figure 1

18 pages, 35382 KB  
Article
Stabilized Radial Basis Function Finite Difference Schemes with Mass Conservation for the Cahn–Hilliard Equation on Surfaces
by Jinwei Qiao, Yuanyang Qiao and Yinnian He
Entropy 2025, 27(12), 1206; https://doi.org/10.3390/e27121206 - 28 Nov 2025
Viewed by 423
Abstract
It is well known that the Cahn–Hilliard equation satisfies the energy dissipation law and the mass conservation property. Recently, the radial basis function–finite difference (RBF–FD) approach and its numerous variants have garnered significant attention for the numerical solution of surface-related problems, owing to [...] Read more.
It is well known that the Cahn–Hilliard equation satisfies the energy dissipation law and the mass conservation property. Recently, the radial basis function–finite difference (RBF–FD) approach and its numerous variants have garnered significant attention for the numerical solution of surface-related problems, owing to their intrinsic advantage in handling complex geometries. However, existing RBF–FD schemes generally fail to preserve mass conservation when solving the Cahn–Hilliard equation on smooth closed surfaces. In this paper, based on an L2 projection method, two numerically efficient RBF–FD schemes are proposed to achieve mass-conservative numerical solutions, which are demonstrated to preserve the mass conservation law under relatively mild time-step constraints. Spatial discretization is performed using the RBF–FD method, while based on the convex splitting method and a linear stabilization technique, the first-order backward Euler formula (BDF1) and the second-order Crank–Nicolson (CN) scheme are employed for temporal integration. Extensive numerical experiments not only validate the performance of the proposed numerical schemes but also demonstrate their ability to utilize mild time steps for long-term phase-separation simulations. Full article
(This article belongs to the Section Thermodynamics)
Show Figures

Figure 1

11 pages, 263 KB  
Article
The Knudsen Layer in the Heat Transport Beyond the Fourier Law: Application to the Wave Propagation at Nanoscale
by Isabella Carlomagno and Antonio Sellitto
Entropy 2025, 27(11), 1172; https://doi.org/10.3390/e27111172 - 20 Nov 2025
Viewed by 459
Abstract
In agreement with the second law of thermodynamics, a new theoretical model for the description of the heat transfer at nanoscale in a rigid body is derived. The model introduces the concept of the Knudsen layer into non-equilibrium thermodynamics in order to better [...] Read more.
In agreement with the second law of thermodynamics, a new theoretical model for the description of the heat transfer at nanoscale in a rigid body is derived. The model introduces the concept of the Knudsen layer into non-equilibrium thermodynamics in order to better investigate how phonon–boundary scattering may influence the heat propagation at nanoscale. This paper, in particular, deepens the influence of the Knudsen layer on the speed of propagation of thermal waves. Full article
(This article belongs to the Section Thermodynamics)
27 pages, 1621 KB  
Article
Dynamic Behavior Analysis of Complex-Configuration Organic Rankine Cycle Systems Using a Multi-Time-Scale Dynamic Modeling Framework
by Jinao Shen and Youyi Li
Entropy 2025, 27(11), 1170; https://doi.org/10.3390/e27111170 - 19 Nov 2025
Viewed by 465
Abstract
Organic Rankine Cycle (ORC) systems with complex configurations exhibit strong thermo-mechanical–electrical–magnetic coupling, making dynamic analysis computationally demanding. This study proposes a multi-time-scale modeling framework that partitions the system into second-, decisecond-, and hybrid-scale subsystems for separate computation, reducing simulation time while maintaining accuracy. [...] Read more.
Organic Rankine Cycle (ORC) systems with complex configurations exhibit strong thermo-mechanical–electrical–magnetic coupling, making dynamic analysis computationally demanding. This study proposes a multi-time-scale modeling framework that partitions the system into second-, decisecond-, and hybrid-scale subsystems for separate computation, reducing simulation time while maintaining accuracy. Dynamic models are developed for heat exchangers, expanders, pumps, generators, and converters. The method is validated on a basic ORC system using operational data, achieving a mean absolute error of 2.12%, well within the ±5% tolerance. It is then applied to a series dual-loop ORC and a multi-heat-source ORC with series heat exchangers. Results indicate that the dual-loop configuration enhances disturbance rejection to both sink and heat-source fluctuations, while dual-heat-source system dynamics are predominantly governed by the second heat source. The framework enables efficient, accurate simulation of complex ORC architectures and provides a robust basis for advanced control strategy development. Full article
(This article belongs to the Section Thermodynamics)
Show Figures

Figure 1

25 pages, 2149 KB  
Article
A Multi-Objective Framework for Biomethanol Process Integration in Sugarcane Biorefineries Under a Multiperiod MILP Superstructure
by Victor Fernandes Garcia, Reynaldo Palacios-Bereche and Adriano Viana Ensinas
Entropy 2025, 27(11), 1162; https://doi.org/10.3390/e27111162 - 15 Nov 2025
Viewed by 391
Abstract
The growing demand for renewable energy positions biorefineries as key to enhancing biofuel competitiveness. This study proposes a novel MILP superstructure integrating resource seasonality, process selection, and heat integration to optimize biomethanol production in a sugarcane biorefinery. A multi-objective optimization balancing net present [...] Read more.
The growing demand for renewable energy positions biorefineries as key to enhancing biofuel competitiveness. This study proposes a novel MILP superstructure integrating resource seasonality, process selection, and heat integration to optimize biomethanol production in a sugarcane biorefinery. A multi-objective optimization balancing net present value (NPV) and avoided CO2 emissions reveals that energy integration improves environmental performance with limited economic impact. The model estimates the production of up to 66.85 kg of biomethanol/ton sugarcane from bagasse gasification, 40.7 kg e-methanol/ton sugarcane via CO2 hydrogenation, and 3.68 kg of biomethane/ton sugarcane from biogas upgrading. Hydrogen production through biomethane reforming and photovoltaic-powered electrolysis increases methanol output without raising emissions. The integrated system achieves energy efficiencies of up to 57.3% and enables the avoidance of up to 493 kg of CO2/ton sugarcane over the planning horizon. When thermal integration is excluded, efficiency drops by 8% and net energy production per area falls by 11%, due to the need to divert bagasse to cogeneration. Although economic challenges remain, CO2 remuneration ranging from USD 3.27 to USD 129.79 per ton could ensure project viability. These findings highlight the role of integrated energy systems in enabling sustainable and economically feasible sugarcane biorefineries. Full article
(This article belongs to the Special Issue Thermodynamic Optimization of Energy Systems)
Show Figures

Figure 1

22 pages, 3322 KB  
Article
Research on Integrated Modularization of Supercritical Carbon Dioxide System for Aircraft Carrier Nuclear Power
by Shengya Hou, Junren Chen, Fengyuan Zhang and Qiguo Yang
Entropy 2025, 27(11), 1154; https://doi.org/10.3390/e27111154 - 14 Nov 2025
Viewed by 836
Abstract
This paper innovatively presents an integrated nuclear-powered supercritical carbon dioxide (S-CO2) system for aircraft carriers, replacing the conventional secondary-loop steam Rankine cycle with a regenerative S-CO2 power cycle. The system comprises two modules: a nuclear reactor module and a S-CO [...] Read more.
This paper innovatively presents an integrated nuclear-powered supercritical carbon dioxide (S-CO2) system for aircraft carriers, replacing the conventional secondary-loop steam Rankine cycle with a regenerative S-CO2 power cycle. The system comprises two modules: a nuclear reactor module and a S-CO2 power module. Comprehensive thermodynamic, economic, and compactness analyses were conducted, using exergy efficiency, levelized energy cost (LEC), and heat transfer area per unit power output (APR) as objective functions for optimization. Parameter analysis revealed the influence of key operating parameters on system performance, and a multi-objective optimization approach based on genetic algorithms was employed to determine optimal system parameters. The results indicate that the system achieves an exergy efficiency of 45%, an APR of 0.168 m2 kW−1, and an LEC of 2.1 cents/(kW·h). This high compactness, combined with superior thermodynamic and economic performance, underscores the feasibility of the S-CO2 system for integration into nuclear-powered aircraft carriers, offering significant potential to enhance their overall performance and operational efficiency. Full article
(This article belongs to the Special Issue Thermodynamic Optimization of Energy Systems)
Show Figures

Figure 1

14 pages, 1067 KB  
Article
Thermodynamic Theory of Macrosystems: Entropy Production as a Metric
by Sergey Amelkin
Entropy 2025, 27(11), 1136; https://doi.org/10.3390/e27111136 - 5 Nov 2025
Viewed by 505
Abstract
The article considers the description of a macrosystem in terms that do not depend on the nature of the macrosystem. The results obtained can be used to describe macrosystem models of thermodynamic processes, and to create interdisciplinary models that take into account interactions [...] Read more.
The article considers the description of a macrosystem in terms that do not depend on the nature of the macrosystem. The results obtained can be used to describe macrosystem models of thermodynamic processes, and to create interdisciplinary models that take into account interactions of various natures. The macrosystem model is based on its representation in the form of a self-similar oriented weighted graph where the equation of state is fulfilled for each node, which connects extensive variables. One of the extensive variables is entropy, the maximum of which corresponds to the state of equilibrium. For processes in which fluxes are linearly dependent on driving forces, Onsager’s relations are shown to be true, which makes it possible to prove that in the space of stationary processes, entropy production in a closed macrosystem is a metric similar to the Mahalanobis metric, which determines the distance between processes. Zero in such a space indicates reversible processes, and thus the production of entropy shows the degree of irreversibility as the distance from a researched process to a reversible one. Full article
(This article belongs to the Special Issue The First Half Century of Finite-Time Thermodynamics)
Show Figures

Figure 1

Back to TopTop