Sign in to use this feature.

Years

Between: -

Subjects

remove_circle_outline
remove_circle_outline
remove_circle_outline
remove_circle_outline
remove_circle_outline
remove_circle_outline
remove_circle_outline
remove_circle_outline

Journals

Article Types

Countries / Regions

Search Results (14)

Search Parameters:
Authors = Arafat Alkhasha

Order results
Result details
Results per page
Select all
Export citation of selected articles as:
17 pages, 2987 KB  
Article
Analysis of Biochar Addition in Improving Tomato Morpho-Physiological Traits and Water Productivity in Greenhouse
by Abdullah Obadi, Abdulaziz Alharbi, Abdulrasoul Alomran, Abdulaziz G. Alghamdi, Thabit Alqardaeai, Arafat Alkhasha and Hamed A. Al-Swadi
Plants 2025, 14(21), 3293; https://doi.org/10.3390/plants14213293 - 28 Oct 2025
Viewed by 1627
Abstract
Enhancing the utilization of water in desert areas, including Saudi Arabia, has become essential for achieving agricultural sustainability. Biochar effectively mitigates ecological stresses through retaining water, altering soil properties, and providing nutrients for plant growth. This study aimed to examine the impacts of [...] Read more.
Enhancing the utilization of water in desert areas, including Saudi Arabia, has become essential for achieving agricultural sustainability. Biochar effectively mitigates ecological stresses through retaining water, altering soil properties, and providing nutrients for plant growth. This study aimed to examine the impacts of biochar addition on morpho-physiological characteristics, yield, and water productivity (WP) in greenhouses under drought stress conditions. The experiment combined three levels of deficit irrigation (DI)—40, 60, and 80% ETc—as well as two rates of biochar (BC)—BC3% and BC5% w/w (1.28 and 2.13 kg m−2, respectively, for planted area); the control was 100% ETc and untreated soil (BC0%). The results indicated that water deficit hurt the plants’ morpho-physiological characteristics and crop yield. For instance, irrigation water shortage decreased yield by 30.88% at 40% ETc compared to the control (100% ETc). However, DI improved WP by 72.80% at 40% ETc compared to the control. The interaction between DI and BC positively affected morphological, physiological, yield, and WP. For instance, the highest rate of biochar (BC5%) increased yield by 11.92% at 80% ETc compared to untreated plants (BC0%). Similarly, tomato plants treated with 5% biochar under the lowest irrigation level of 40% ETc achieved the highest increase in WP (79.33%) compared to the control (100% ETc and BC0%). In general, DI combined with BC could improve morpho-physiological attributes and yield while increasing the WP of tomato plants in arid and semi-arid regions. Full article
(This article belongs to the Section Plant Physiology and Metabolism)
Show Figures

Figure 1

22 pages, 3827 KB  
Article
Species Richness of Arbuscular Mycorrhizal Fungi in Heterogenous Saline Environments
by Jahangir A. Malik, Basharat A. Dar, Abdulaziz A. Alqarawi, Abdulaziz M. Assaeed, Fahad Alotaibi, Arafat Alkhasha, Abdelmalik M. Adam and Ahmed M. Abd-ElGawad
Diversity 2025, 17(3), 183; https://doi.org/10.3390/d17030183 - 4 Mar 2025
Cited by 3 | Viewed by 1664
Abstract
Sabkha (inland and coastal—saline beds or saline lands) are widespread in Saudi Arabia and are distinguished by their hypersaline nature. These hypersaline habitats are commonly covered by halophytic vegetation. Moreover, Arbuscular mycorrhizal fungi (AMF) are an essential component of these habitats and exhibit [...] Read more.
Sabkha (inland and coastal—saline beds or saline lands) are widespread in Saudi Arabia and are distinguished by their hypersaline nature. These hypersaline habitats are commonly covered by halophytic vegetation. Moreover, Arbuscular mycorrhizal fungi (AMF) are an essential component of these habitats and exhibit a unique adaptation and contribute significantly to ecosystem variability, diversity, and function. Additionally, AMF from saline habitats are an essential component for the successful rehabilitation of salinity-affected areas. Despite their importance, little is known about the distribution and abundance of AMF along inland and coastal sabkhat of Saudi Arabia. Therefore, the main objective of this study was to investigate the abundance and diversity of AMF in the coastal and inland sabkhat of Saudi Arabia. Five soil samples, each from five randomly selected spots (considering the presence of dominant and co-dominant halophytic species), were collected from every location and were used to assess the AMF abundance and diversity. The study indicated that the highest number of AMF spores was recorded from Jouf, averaging ≈ 346 spores 100 g−1 dry soil, and the lowest from Uqair, averaging ≈ 96 spores 100 g−1 dry soil. A total of 25 AMF species were identified, belonging to eight identified genera viz., Acaulospora, Diversispora, Gigaspora, Scutellospora, Claroideoglomus, Funneliformis, Glomus, and Rhizophagus and five families. Of the total identified species, 52% belonged to the family Glomeraceae. Moreover, the highest number of species was isolated from the sabkha in Qasab. Additionally, Glomeraceae was abundant in all the studied locations with the highest relative abundance in Uqair (48.34%). AMF species Claroideoglomus etunicatum, Funneliformis mosseae, Glomus ambisporum, and Rhizophagus intraradices were the most frequently isolated species from all the Sabkha locations with isolation frequency (IF) ≥ 60%, and Claroideoglomus etunicatum (Ivi ≥ 50%) was the dominant species in all the studied locations. Furthermore, data on the Shannon–Wiener diversity index showed that the highest AMF species diversity was in Qaseem and Qasab habitats. The highest Pielou’s evenness index was recorded in Jouf. Moreover, the soil parameters that positively affected the diversity of identified species included Clay%, Silt%, HCO31−, OM, MC, N, and P, while some soil parameters such as EC, Na+, SO42−, and Sand% had a significant negative correlation with the isolated AMF species. This study revealed that AMF can adapt and survive the harshest environments, such as hypersaline sabkhas, and thus can prove to be a vital component in the potential restoration of salinity-inflicted/degraded ecosystems. Full article
(This article belongs to the Special Issue Microbial Community Dynamics in Soil Ecosystems)
Show Figures

Figure 1

21 pages, 4073 KB  
Article
Date Palm Waste-Derived Biochar for Improving Hydrological Properties of Sandy Soil Under Saturated and Unsaturated Conditions
by Abdulaziz G. Alghamdi, Abdulrasoul Alomran, Hesham M. Ibrahim, Arafat Alkhasha and Zafer Alasmary
Sustainability 2024, 16(24), 11081; https://doi.org/10.3390/su162411081 - 17 Dec 2024
Cited by 2 | Viewed by 2635
Abstract
Water conservation and effective irrigation management are vital for sustainable agriculture in arid regions. While organic soil amendments have been widely used to enhance water retention in sandy soils, research on the use of date palm waste-derived biochar remains limited. Thus, this study [...] Read more.
Water conservation and effective irrigation management are vital for sustainable agriculture in arid regions. While organic soil amendments have been widely used to enhance water retention in sandy soils, research on the use of date palm waste-derived biochar remains limited. Thus, this study aimed to explore the innovative application of biochar produced from date palm waste, focusing on its effects on the hydrological properties of sandy soil. Biochars of varying particle sizes (0.5, 1, and 2 mm) and pyrolysis temperatures (300 °C, 450 °C, and 600 °C) were produced and their impacts were assessed under both saturated and unsaturated conditions on soil hydrological properties. The biochar was incorporated into soil columns at application rates of 0%, 1%, 3%, and 5% (w/w) within a 10 cm layer on top of 35 cm deep soil columns. The soil columns were placed vertically into water basins for saturation. Evaporation, infiltration, and saturated hydraulic conductivity were measured. The findings revealed that the application of 1%, 3%, and 5% biochar significantly increased soil water retention by 36.80%, 34.18%, and 29.66%, while cumulative evaporation decreased by 7.30%, 2.00%, and 1.35%, respectively, as compared to the control. Water retained at the end of the experiment was increased by 100.63%, 112.29%, and 101.68%, while unsaturated hydraulic conductivity decreased by 21.27%, 26.15%, and 26.17% after amending the soil with 1%, 3%, and 5% biochar, respectively, as compared to the control. The water retention ranged between 30.34 and 42.51%, 22.59 and 43.20%, and 22.48 and 38.81% for biochar produced at 300 °C, 450 °C, and 600 °C, respectively. Water infiltration rate and pore size was decreased with the increased pyrolysis temperature. Overall, the application rates of 3% and 5% with particle sizes of 1 and 0.5 mm and low pyrolysis temperature were most efficient for improving soil properties such as water retention, reducing unsaturated hydraulic conductivity, reducing the rate and volume of infiltration, and enhancing the micro-porosity reduction of sandy soils. In a nutshell, this study highlights the potential of date palm waste-derived biochar as an effective soil amendment, significantly enhancing water retention by up to 112.29% and reducing evaporation. By optimizing irrigation management in sandy soils, these findings contribute to more sustainable agricultural practices. Full article
(This article belongs to the Section Soil Conservation and Sustainability)
Show Figures

Figure 1

14 pages, 3366 KB  
Article
Enhancement in Tomato Yield and Quality Using Biochar Amendments in Greenhouse under Salinity and Drought Stress
by Abdullah Obadi, Abdulaziz Alharbi, Abdulrasoul Alomran, Abdulaziz G. Alghamdi, Ibrahim Louki, Arafat Alkhasha and Thabit Alqardaeai
Plants 2024, 13(12), 1634; https://doi.org/10.3390/plants13121634 - 13 Jun 2024
Cited by 9 | Viewed by 3758
Abstract
Enhancing saline water productivity in arid regions is essential for sustainable agriculture. Adding biochar can improve the quantity and quality of tomato yield under higher levels of salinity and lower levels of irrigation. The experiment aimed to evaluate the effects of biochar on [...] Read more.
Enhancing saline water productivity in arid regions is essential for sustainable agriculture. Adding biochar can improve the quantity and quality of tomato yield under higher levels of salinity and lower levels of irrigation. The experiment aimed to evaluate the effects of biochar on enhancing tomato fruit quality and yield under salinity and drought stress. The experiment combines two treatments for irrigation water quality (0.9 and 2.3 dS m−1), four irrigation levels (40, 60, 80, and 100%) of crop evapotranspiration (ETc), and the addition of 5% of biochar to treated soil (BC5%) and untreated soil (BC0%). The results showed that the decrease in the water quality and irrigation levels negatively impacted the yield and properties of tomato fruit, while 5% of biochar application positively improved the yield. Adding biochar decreased the tomato yield by 29.33% and 42.51% under lower-saline-irrigation water than the control, negatively affecting the fruit’s physical parameters and mineral content. In contrast, adding biochar and irrigating with saline water at 60% of ETc improved the firmness and quality characteristics of the fruit by 56.60%, 67.19, 99.75, and 73.57% for vitamin C (VC), total titratable acidity (TA), total soluble solids (TSS), and total sugars (TS), respectively, compared to the control, and also reduced the sodium content of the fruits under all irrigation levels compared to untreated plants by biochar. Generally, biochar with saline water under deficit irrigation with 80 and 60% of ETc could be an excellent strategy to enhance the qualitative characteristics of tomato fruits and save approximately 20–40% of the applied water. Full article
Show Figures

Figure 1

24 pages, 22436 KB  
Article
Evaluating Tomato Performance: A Novel Approach of Combining Full and Deficit Irrigation with Saline Water
by Abdulaziz G. Alghamdi, Akram K. Alshami, Ahmed El-Shafei, Abdulrasoul M. Al-Omran, Arafat Alkhasha, Anwar A. Aly and Abdulaziz R. Alharbi
Agronomy 2024, 14(3), 559; https://doi.org/10.3390/agronomy14030559 - 10 Mar 2024
Cited by 9 | Viewed by 3195
Abstract
The tomato is a vital component of agriculture and is the second-most important vegetable globally. Maintaining a high tomato production requires both water quality and quantity. Water-scarce regions like Saudi Arabia still lack an understanding of the impact of deficit irrigation and the [...] Read more.
The tomato is a vital component of agriculture and is the second-most important vegetable globally. Maintaining a high tomato production requires both water quality and quantity. Water-scarce regions like Saudi Arabia still lack an understanding of the impact of deficit irrigation and the use of a blend of saline and freshwater, especially their nuanced impact across growth stages. The purpose of this study was to evaluate the effects of six different irrigation amounts: full irrigation with 100% ETc (FI), regulated deficit irrigation with 60% ETc (DI), and deficit irrigation with 60% ETc, except for the initial (DI-int), development (DI-dev), mid-season (DI-mid), and late-season (DI-lat) stages. This was performed with three different water qualities: fresh (FW), saline (SW), and fresh-saline blend (1:1) (MW) water. FW and MW enhanced the growth, physiology, morphology, yield, and quality, while SW had the lowest values. DI reduced these parameters and lowered yields by 13.7%, significantly improving water use efficiency (WUE) by 44% and fruit quality. DI-mid or DI-lat slightly improved yields while remarkably decreasing WUE and fruit quality. DI outperforms deficit irrigation in all growth stages except one, and countries with limited freshwater resources can benefit from a mix of fresh and saline water with a 60% ETc deficit irrigation, resulting in greater water savings. Full article
Show Figures

Figure 1

19 pages, 3215 KB  
Article
Responses of Tomato Crop and Water Productivity to Deficit Irrigation Strategies and Salinity Stress in Greenhouse
by Akram K. Alshami, Ahmed El-Shafei, Abdulrasoul M. Al-Omran, Abdulaziz G. Alghamdi, Ibrahim Louki and Arafat Alkhasha
Agronomy 2023, 13(12), 3016; https://doi.org/10.3390/agronomy13123016 - 8 Dec 2023
Cited by 15 | Viewed by 3815
Abstract
Saudi Arabia faces water scarcity and inadequate sustainable sources, particularly in agriculture, necessitating efficient irrigation water management to improve productivity amidst rising demand. The study investigated the impact of irrigation levels and water salinity on tomato plants in greenhouses, covering four irrigation levels [...] Read more.
Saudi Arabia faces water scarcity and inadequate sustainable sources, particularly in agriculture, necessitating efficient irrigation water management to improve productivity amidst rising demand. The study investigated the impact of irrigation levels and water salinity on tomato plants in greenhouses, covering four irrigation levels (100%, 80%, 60%, and 40% of ETc) and three water sources (FW (0.9 dS·m−1), SW (3.6 dS·m−1) and MW (2.25 dS·m−1)). Salinity impacts crop yield, physiological responses, and fruit quality. The photosynthesis, stomatal conductance, transpiration, and chlorophyll content decrease with MW and SW, negatively affecting morphological characteristics. For MW, it was recommended to apply 60% deficit irrigation with a yield of 98 kg·ha−1, and water productivity (WP) improved to 21.93 kg·m−3 compared to 13.65 kg·m−3 at full irrigation (FI). In SW, 80% irrigation was suggested, as there was no significant difference in yield compared to FI. For FW, 60% deficit irrigation produced the best water conservation (104.58 kg·ha−1 yield and 23.19 kg·m−3 WP), while FI produced the highest yield per unit area (123.48 kg·ha−1 yield and 16.51 kg·m−3 WP). Nonetheless, greater water and salinity stress was associated with increased fruit quality measures such as total acidity, vitamin C, and soluble solids. The results show that implementing deficit irrigation with salinity strategies in greenhouse tomatoes could improve crop adaptability, yield, and water productivity in the face of water scarcity and salinity variability. Full article
Show Figures

Figure 1

13 pages, 3008 KB  
Article
Tomato Yield Responses to Deficit Irrigation and Partial Root Zone Drying Methods Using Biochar: A Greenhouse Experiment in a Loamy Sand Soil Using Fresh and Saline Irrigation Water
by Abdulaziz G. Alghamdi, Anwar A. Aly, Abdulrasoul M. Al-Omran, Ibrahim I. Louki and Arafat Alkhasha
Water 2023, 15(15), 2797; https://doi.org/10.3390/w15152797 - 2 Aug 2023
Cited by 7 | Viewed by 2946
Abstract
The impacts of regulated deficit irrigation (RDI) and partial root zone drying irrigation (PRD) on water productivity (WP), crop water response factor (Ky), and yield of tomato crop (Solanum lycopersicum) were explored in this study using fresh (0.9 dS m−1 [...] Read more.
The impacts of regulated deficit irrigation (RDI) and partial root zone drying irrigation (PRD) on water productivity (WP), crop water response factor (Ky), and yield of tomato crop (Solanum lycopersicum) were explored in this study using fresh (0.9 dS m−1) and saline (3.6 dS m−1) water under greenhouse conditions. RDI had four ETc (crop evapotranspiration) levels, i.e., 40, 60, 80, and 100%. PRD adopted 100% ETc for all treatments with changes in its application time (first, second, third, and fourth growth stages). Biochar pyrolyzed at 450–500 °C and added at rate of 4%. The results revealed that the Ky ranged between 0.21 and 0.37, indicating that tomato can tolerate a shortage of irrigation water. The highest value of WP (191 kg m−3) was found in 40% ETc using fresh water with biochar. The highest yield (20.0 kg m−2) was obtained with the application of 100% ETc with fresh water and biochar. Biochar application did not result in favorable yields with saline water due to its high salinity (7.8 dS m−1). The use of PRD in the fourth stage with biochar and fresh water led to the highest yield (20.6 kg m−2). Finally, this study recommends the application of biochar only when fresh irrigation water is available in adequate amounts. Full article
(This article belongs to the Special Issue Sustainable Management of Agricultural Water)
Show Figures

Figure 1

13 pages, 1929 KB  
Article
Impact of Nanoparticles from Ball-Milled Date Palm Biochar on the Hydro-Physical Characteristics of Sandy Soils
by Abdulrasoul M. Al-Omran, Mohammed Awad Mousa, Abdulaziz G. Alghamdi and Arafat Alkhasha
Appl. Sci. 2023, 13(13), 7781; https://doi.org/10.3390/app13137781 - 30 Jun 2023
Cited by 3 | Viewed by 2450
Abstract
Water management in sandy soils (Typic Torripsamments) is crucial in sustaining agricultural production. The main goal of this research was to assess the impact of date palm biochar on the physical properties of sandy soil with different particle sizes of biochar [...] Read more.
Water management in sandy soils (Typic Torripsamments) is crucial in sustaining agricultural production. The main goal of this research was to assess the impact of date palm biochar on the physical properties of sandy soil with different particle sizes of biochar (macro and nano). For nano-biochar preparation, stick chips were established into a tubular furnace with nitrogen air and heated to 400–450 °C, which was accompanied by a holding period of 4 h. The ball-milled biochar was inclined via ball grinding in a model number PQN2.110 planetary mill and within jars (500 mL), and the biochar-to-sphere mass ratio was 1:100. The sphere-milling apparatus was processed at a speed of 300 rpm for 13 h. Laboratory experiments were carried out at one rate—biochar 5%—and three depths (0.0–5, 5–10, and 10–15 cm). Applying macro-biochar reduced cumulative evaporation compared to the control by 4%, 24%, and 14% for the macro-biochar particles at soil depths. In contrast, biochar reduced cumulative evaporation compared to the control by 8%, 12%, and 4% for the nano-biochar particles at the soil depths tested. Adding biochar significantly raised the amount of retained water, with the highest level recorded at the 5–10 cm depth, while the variations were significantly lower between the macro and nano-biochar when in the direction of the soil surface (0–5 cm), indicating the significance of mixing biochar with the top 10 cm of the soil to increase its ability to reduce evaporation and increase the amount of water retained in the soils. It could be concluded that applying at the top of the coarse soil can positively impact soil hydro-physical properties and increase soil water availability to plants. Full article
Show Figures

Figure 1

16 pages, 1867 KB  
Article
Effect of Biochar Application on Morpho-Physiological Traits, Yield, and Water Use Efficiency of Tomato Crop under Water Quality and Drought Stress
by Abdullah Obadi, Abdulaziz Alharbi, Abdulrasoul Alomran, Abdulaziz G. Alghamdi, Ibrahim Louki and Arafat Alkhasha
Plants 2023, 12(12), 2355; https://doi.org/10.3390/plants12122355 - 17 Jun 2023
Cited by 34 | Viewed by 4714
Abstract
The use of saline water under drought conditions is critical for sustainable agricultural development in arid regions. Biochar is used as a soil amendment to enhance soil properties such as water-holding capacity and the source of nutrition elements of plants. Therefore, the experiment [...] Read more.
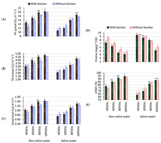
The use of saline water under drought conditions is critical for sustainable agricultural development in arid regions. Biochar is used as a soil amendment to enhance soil properties such as water-holding capacity and the source of nutrition elements of plants. Therefore, the experiment was conducted to evaluate the effects of biochar application on the morpho-physiological traits and yield of tomatoes under combined salinity and drought stress in greenhouses. There were 16 treatments consist two water quality fresh and saline (0.9 and 2.3 dS m−1), three deficit irrigation levels (DI) 80, 60, and 40% addition 100% of Evapotranspiration (ETc), and biochar application by rate 5% (BC5%) (w/w) and untreated soil (BC0%). The results indicated that the salinity and water deficit negatively affected morphological, physiological, and yield traits. In contrast, the application of biochar improved all traits. The interaction between biochar and saline water leads to decreased vegetative growth indices, leaf gas exchange, the relative water content of leaves (LRWC), photosynthetic pigments, and yield, especially with the water supply deficit (60 and 40% ETc), where the yield decreased by 42.48% under the highest water deficit at 40% ETc compared to the control. The addition of biochar with freshwater led to a significantly increased vegetative growth, physiological traits, yield, water use efficiency (WUE), and less proline content under all various water treatments compared to untreated soil. In general, biochar combined with DI and freshwater could improve morpho-physiological attributes, sustain the growth of tomato plants, and increase productivity in arid and semi-arid regions. Full article
Show Figures

Figure 1

15 pages, 4383 KB  
Article
Impacts of Biochar on Hydro-Physical Properties of Sandy Soil under Different Irrigation Regimes for Enhanced Tomato Growth
by Abdulaziz G. Alghamdi, Abdulrasoul Al-Omran, Arafat Alkhasha and Abdulaziz R. Alharbi
Agronomy 2022, 12(8), 1762; https://doi.org/10.3390/agronomy12081762 - 27 Jul 2022
Cited by 9 | Viewed by 2781
Abstract
The performance of biochar application in water conservation, salt distribution, water infiltration, and tomato growth was evaluated under regulated deficit irrigation (RDI) (40%, 60% and 80% of ETc) and partial root drying (PRD) systems by using different quality irrigation water. Date palm derived [...] Read more.
The performance of biochar application in water conservation, salt distribution, water infiltration, and tomato growth was evaluated under regulated deficit irrigation (RDI) (40%, 60% and 80% of ETc) and partial root drying (PRD) systems by using different quality irrigation water. Date palm derived biochar was applied to sandy soil at 4% (w/w) in pots, and tomato was grown as the test crop under greenhouse conditions. The results indicated that soil moisture was decreased by 27.38% to 24.95% without biochar application at different levels of irrigation, whereas it increased by 8.11% and 5.48% with biochar application, compared with control treatment of 100% of ETc. Soil moisture was decreased by 12.78%, 15.82% and 12.78% for the 1st stage, 2nd stage and 3rd growth stage, respectively, while it increased by 37.93% at the 4th growth stage compared with full irrigation. Soil salinity ranged between 0.5 and 1.4 dS·m−1 with biochar application, while 0.7–2.1 dS·m−1. Cumulative infiltration at one minute varied between 1.89 and 2.79 cm and 1.74 and 2.79 cm for biochar and non-biochar treatments, respectively. Infiltration rate varied from 0.98 to 2.63 cm min−1 and 1.48 to 1.68 cm·min−1 for fresh and saline water, respectively. Overall, the results revealed that biochar application substantially improved the characteristics of sandy soil, subsequently resulting in water conservation. Full article
Show Figures

Figure 1

16 pages, 2211 KB  
Article
Significance of Pyrolytic Temperature, Particle Size, and Application Rate of Biochar in Improving Hydro-Physical Properties of Calcareous Sandy Soil
by Abdulaziz G. Alghamdi, Abdulrasoul Al-Omran, Arafat Alkhasha, Zafer Alasmary and Anwar A. Aly
Agriculture 2021, 11(12), 1293; https://doi.org/10.3390/agriculture11121293 - 19 Dec 2021
Cited by 9 | Viewed by 3280
Abstract
Water management and irrigation conservation in calcareous sandy soil are of significant importance for sustaining agricultural production, especially in arid and semi-arid region that facing scarcity of water resources. The changes in hydro-physical characteristics of calcareous sand soil were investigated after date palm [...] Read more.
Water management and irrigation conservation in calcareous sandy soil are of significant importance for sustaining agricultural production, especially in arid and semi-arid region that facing scarcity of water resources. The changes in hydro-physical characteristics of calcareous sand soil were investigated after date palm waste-derived biochar application in column trials. Significance of pyrolysis temperature (300 °C, 500 °C, and 700 °C), particle size [<0.5 mm (D0.5), 0.5–1 mm (D1), and 1–2 mm (D2)], and application rate (1%, 2.5%, and 5%) were studied. Variations in infiltration rate, intermittent evaporation, and saturated hydraulic conductivity as a function of aforementioned factors were investigated. After amending the top 10-cm soil layer with different biochar and application rates, the columns were subjected to six wetting and drying cycles by applying 25 cm3 tap water per week over a 6-week period. Overall, biochar application resulted in decreased saturated hydraulic conductivity, while improved cumulative evaporation. Specifically, biochar produced at 300 °C and 500 °C demonstrated 10.2% and 13.3% higher cumulative evaporation, respectively., whereas, biochar produced at 700 °C with 5% application rate resulted in decreased cumulative evaporation. Cumulative evaporation increased by 5.0%, 7.7% and, 7.8% for D0.5, D1 and D2 (mm) on average, respectively, as compared with the untreated soil. Thus, biochar with particle size 0.5–1 mm significantly improved hydro-physical properties when applied at 1%. Generally, using biochar produced at medium temperature and small particle size with appropriate application rates could improve the soil hydro-physical properties. Full article
Show Figures

Figure 1

25 pages, 4068 KB  
Article
Water Saving and Yield of Potatoes under Partial Root-Zone Drying Drip Irrigation Technique: Field and Modelling Study Using SALTMED Model in Saudi Arabia
by Abdulrasoul Al-Omran, Ibrahim Louki, Arafat Alkhasha, Mohamed Hassan Abd El-Wahed and Abdullah Obadi
Agronomy 2020, 10(12), 1997; https://doi.org/10.3390/agronomy10121997 - 19 Dec 2020
Cited by 14 | Viewed by 4035
Abstract
This study aims to evaluate the Partial Root Zone Drying Irrigation System (PRD) as one of the modern technologies that provide irrigation water and increase the efficiency of its use on potato crop. The effect of applying the PRD conventional deficit irrigation (CDI) [...] Read more.
This study aims to evaluate the Partial Root Zone Drying Irrigation System (PRD) as one of the modern technologies that provide irrigation water and increase the efficiency of its use on potato crop. The effect of applying the PRD conventional deficit irrigation (CDI) on the efficiency and water saving in potato crops using the drip surface (S) and subsurface (SS) irrigation methods were investigated. SALTMED model used to predict soil moisture and salinity distribution, soil nitrogen dynamics, and yield of potato crop using the different irrigation levels (150%, 100%, and 50% of Crop evapotranspiration (ETc)). The study showed that the water use efficiency (WUE) decreases with increasing levels of irrigation water, as it ranged between 2.96 and 8.38 kgm−3, 2.77 and 7.01 kgm−3 for surface irrigation PRD and CDI, respectively, when the amounts of irrigation water varied from 308 mm to 1174 mm, respectively. The study showed that the irrigation efficiencies were the highest when using PRD system in all treatments when irrigating the potato crop during the spring season, and it was more efficient in the case of using subsurface irrigation method. The results show that the soil moisture (SM) was high in 25–45 cm at 150% of ETc was 0.166 and 0.263 m3m−3 for the first and last stages of growth, respectively. 100% of ETc, (SM) was 0.296 m3m−3 at 0–25 cm, 0.195 m3m−3 at 25–45 cm, 0.179 m3m−3 at 45–62 cm, depths, respectively. whereas 50% of ETc, (SM) was 0.162 m3m−3 at 0–25 cm, 0.195 m3m−3 at 25–85 cm, depths. At 100% of ETc, soil salinity was 5.15, 4.37, 3.3, and 4.5 dSm−1, whereas at 50%, ETc, these values were 5.64, 9.6, 3.3, and 4.2 dSm−1. Statistical indicators showed that the model underestimated yield, for 150%, 100%, and 50% of ETc. Therefore, it can be concluded that yield and WUE using PRD systems were the highest in the potato crop compare to CDI surface and sub-surface, and SALTMED model can predict the moisture distribution, salinity, and yield of potatoes after accurate adjustment. Full article
(This article belongs to the Special Issue Water Saving in Irrigated Agriculture)
Show Figures

Figure 1

13 pages, 1326 KB  
Article
Effect of Water Quality and Date Palm Biochar on Evaporation and Specific Hydrological Characteristics of Sandy Soil
by Arafat Alkhasha, Abdulrasoul Al-Omran and Abdulaziz G. Alghamdi
Agriculture 2020, 10(7), 300; https://doi.org/10.3390/agriculture10070300 - 15 Jul 2020
Cited by 4 | Viewed by 3711
Abstract
Experiments were conducted in a soil laboratory using transparent columns (5 and 40 cm in diameter and length, respectively) to evaluate the effects of water quality (i.e., fresh or saline water) with the addition of biochar on soil moisture characteristics. Soil and biochar [...] Read more.
Experiments were conducted in a soil laboratory using transparent columns (5 and 40 cm in diameter and length, respectively) to evaluate the effects of water quality (i.e., fresh or saline water) with the addition of biochar on soil moisture characteristics. Soil and biochar were gently combined and added into the top 10 cm of each column at a rate of 2%, 4%, 6%, and 8% (w/w). The results show a decrease in cumulative evaporation by 29.27%, 16.47%, 14.17%, and 14.61% with freshwater, and by 21.24%, 12.22%, 21.08%, and 12.67% with saline water for B1, B2, B3, and B4, respectively, compared with unamended soil (B1, B2, B3 and B4 represent the treatments with the biochar rate of 2, 4, 6, and 8%, respectively). Cumulative infiltration was reduced by 34.38%, 43.37%, 58.89%, and 57.07% with freshwater, and by 30.18%, 44.38%, 54.44%, and 49.11% with saline water for B1, B2, B3, and B4, respectively. The infiltration rate was reduced by 32.73%, 42.17%, 57.82%, and 56.85% with freshwater, and 42.09%, 54.61%, 62.68%, and 58.41% with saline water for T1, T2, T3, and T4, respectively, compared with the control. The saturated hydraulic conductivity of B1 decreased significantly by 92.8% and 67.72% with fresh and saline water, respectively. Biochar, as a soil conditioner, could be used in arid conditions with fresh and saline water to enhance the hydrological properties of sandy soils. Full article
(This article belongs to the Special Issue Effects of Biochar and Compost Amendments on Soil Fertility)
Show Figures

Figure 1

18 pages, 2821 KB  
Article
Effects of Biochar and Synthetic Polymer on the Hydro-Physical Properties of Sandy Soils
by Arafat Alkhasha, Abdulrasoul Al-Omran and Anwar Aly
Sustainability 2018, 10(12), 4642; https://doi.org/10.3390/su10124642 - 6 Dec 2018
Cited by 46 | Viewed by 4847
Abstract
Synthetic polymers, such as polyacrylamide (PAM), and biochar are generally used as soil amendments to improve soil properties. This paper explores a laboratory column experiment conducted to investigate the effects of biochar (pyrolysis at 400–450 °C) and polymers, with different application rates, on [...] Read more.
Synthetic polymers, such as polyacrylamide (PAM), and biochar are generally used as soil amendments to improve soil properties. This paper explores a laboratory column experiment conducted to investigate the effects of biochar (pyrolysis at 400–450 °C) and polymers, with different application rates, on the hydro-physical properties of sandy soil. The experiment evaluated four rates each of biochar (0.0% (C), 2% (B1), 4% (B2), 6% (B3) and 8% (B4)) and polymers (0.0% (C), 0.2% (P1), 0.4% (P2), 0.6% (P3), and 0.8%(P4)), as well as a mixture of them. The infiltration rate decreased significantly when a mixture of biochar and polymers was adopted. B1 showed a decrease of 32.73% while a mixture of 8% (B4) and (0.8%) P4 exhibited a decrease of 57.31%. The polymers increased the infiltration rate at low concentrations (P1 and P2) and reduced it at high concentrations (P3 and P4). The cumulative evaporation decreased significantly for most treatments. B1 recorded the highest decrease in cumulative evaporation with a percentage decrease of 31.9%. The highest decrease in hydraulic conductivity (Ks) was for B1. However, the mixture of B4 and P4 resulted in the highest increase in soil moisture content at field capacity compared to the control and other treatments. P4 and the mixture of B2 and P2 showed significant (p < 0.05) increases in the percentage of stable aggregate (SA) in fraction size (0.25–0.125 mm). Although the mixture of B4 and P4 had the highest increase in soil moisture content, this study recommends using the B1 treatment on sandy soil in arid environments due to its strong hydro-physical properties and affordability. Full article
(This article belongs to the Section Sustainable Agriculture)
Show Figures

Figure 1

Back to TopTop