Analysis of Biochar Addition in Improving Tomato Morpho-Physiological Traits and Water Productivity in Greenhouse
Abstract
1. Introduction
2. Results and Discussion
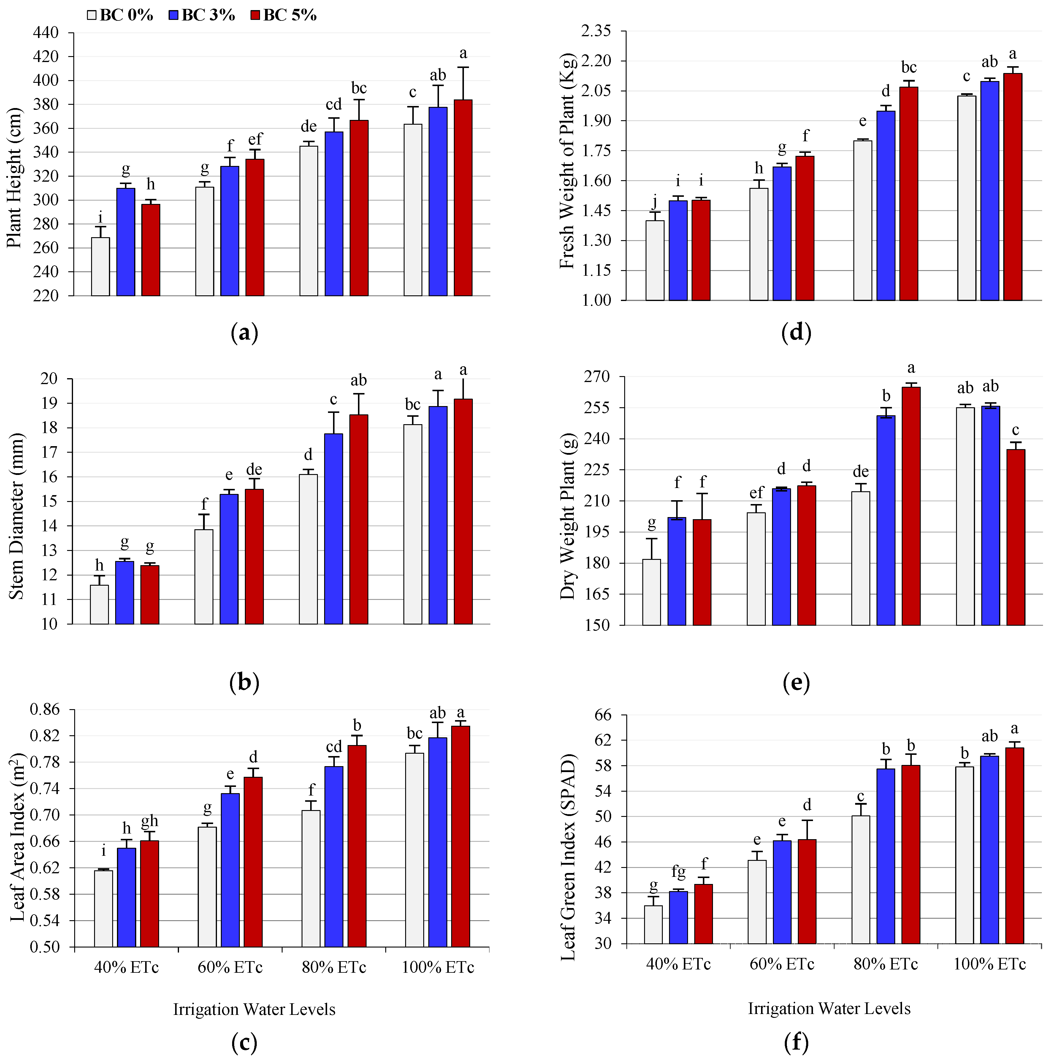
2.1. Effects of Biochar on Morphological Traits of Tomato Plants Grown Under Water Deficit Conditions
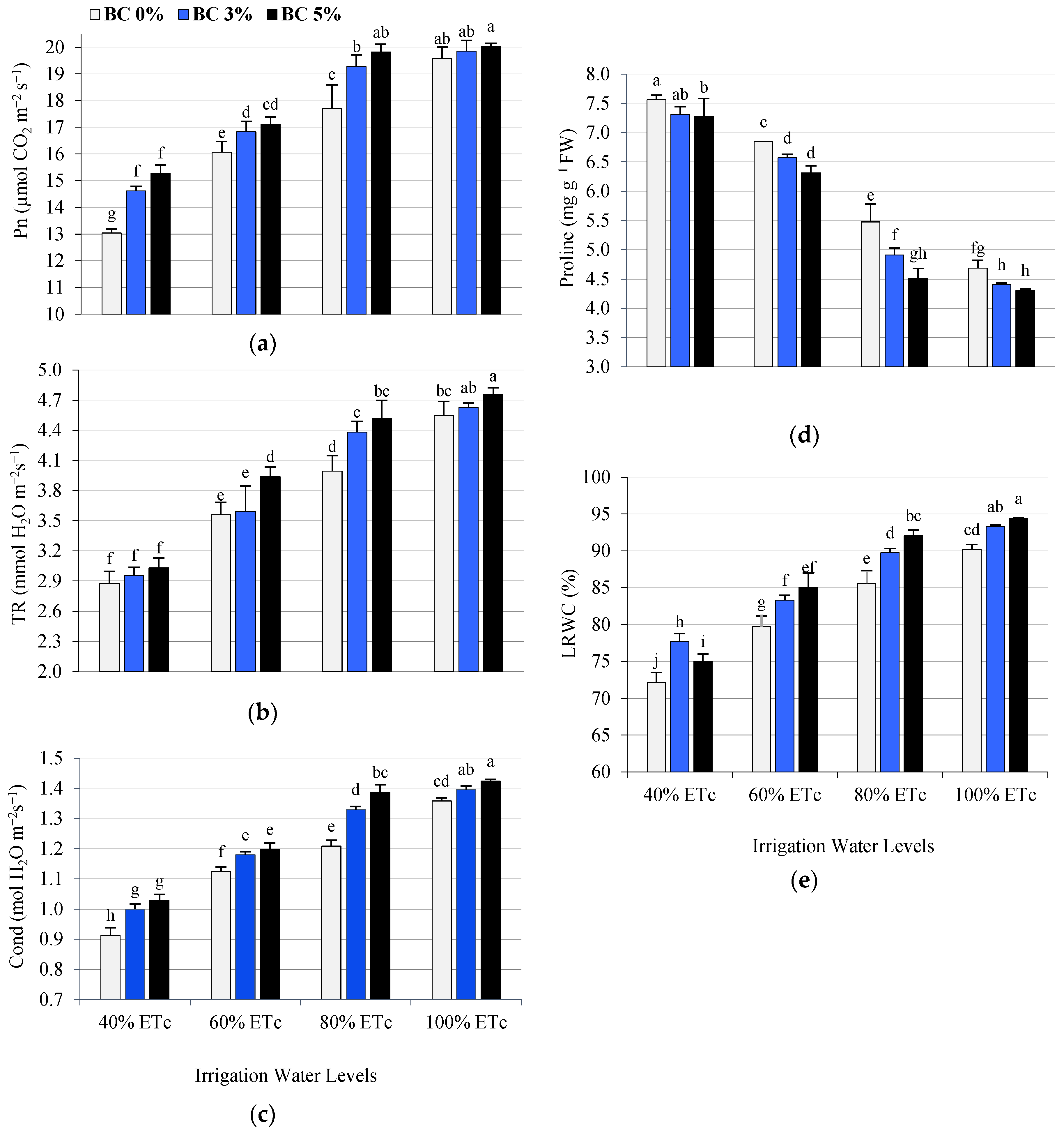
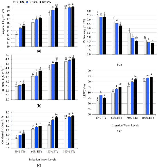
2.2. Effects of Biochar on Physiological Processes of Tomato Plants Grown Under Water Deficit Conditions
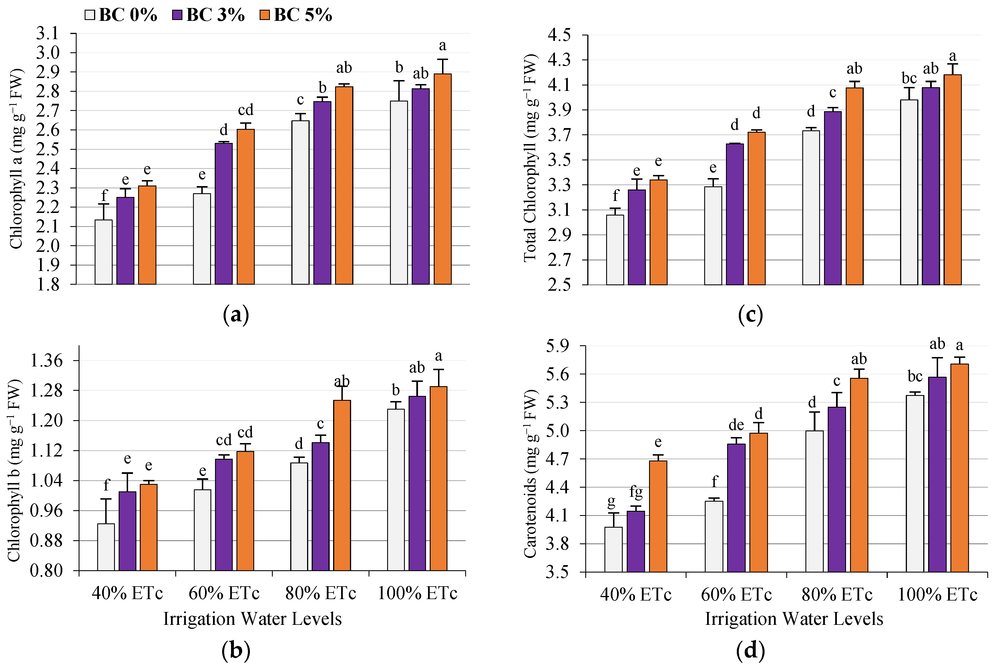
2.3. Effects of Biochar on Photosynthetic Pigments of Tomato Plants Grown Under Water Deficit Conditions
2.4. Effects of Biochar on Total Yield (kg m−2) and WP (kg m−3) of Tomato Plants Grown Under Water Deficit Conditions
2.5. Selection of the Best Treatments (IRBC) Through Their Association with the Studied Traits
3. Materials and Methods
3.1. Location and Design of Experiment
3.2. Biochar Preparation
3.3. The Measurements
3.3.1. Growth and Physiological Parameters
3.3.2. Total Yield and WP
3.4. Statistical Analysis
4. Conclusions
Author Contributions
Funding
Data Availability Statement
Acknowledgments
Conflicts of Interest
References
- Nikolaou, G.; Neocleous, D.; Christou, A.; Polycarpou, P.; Kitta, E.; Katsoulas, N. Energy and water related parameters in tomato and cucumber greenhouse crops in semiarid mediterranean regions. A review, part II: Irrigation and fertigation. Horticulturae 2021, 7, 548. [Google Scholar] [CrossRef]
- Ali, M.Y.; Sina, A.A.I.; Khandker, S.S.; Neesa, L.; Tanvir, E.; Kabir, A.; Khalil, M.I.; Gan, S.H. Nutritional composition and bioactive compounds in tomatoes and their impact on human health and disease: A review. Foods 2020, 10, 45. [Google Scholar] [CrossRef]
- Abdul-Hammed, M.; Bolarinwa, I.F.; Adebayo, L.O.; Akindele, S.L. Kinetics of the degradation of carotenoid antioxidants in tomato paste. Adv. J. Food Sci. Technol. 2016, 11, 734–741. [Google Scholar] [CrossRef]
- Gong, X.; Liu, H.; Sun, J.; Gao, Y.; Zhang, H. Comparison of Shuttleworth-Wallace model and dual crop coefficient method for estimating evapotranspiration of tomato cultivated in a solar greenhouse. Agric. Water Manag. 2019, 217, 141–153. [Google Scholar] [CrossRef]
- Khapte, P.; Kumar, P.; Burman, U.; Kumar, P. Deficit irrigation in tomato: Agronomical and physio-biochemical implications. Sci. Hortic. 2019, 248, 256–264. [Google Scholar] [CrossRef]
- FAO. The Future of Food and Agriculture: Alternative Pathways to 2050; Food and Agriculture Organization of the United Nations: Rome, Italy, 2018; Volume 228. [Google Scholar]
- Maja, M.M.; Ayano, S.F. The impact of population growth on natural resources and farmers’ capacity to adapt to climate change in low-income countries. Earth Syst. Environ. 2021, 5, 271–283. [Google Scholar] [CrossRef]
- Ingrao, C.; Strippoli, R.; Lagioia, G.; Huisingh, D. Water scarcity in agriculture: An overview of causes, impacts and approaches for reducing the risks. Heliyon 2023, 9, e18507. [Google Scholar] [CrossRef]
- UNESCO; Makarigakis, A.; Sohn, O.; Lee, B. Water Security and the Sustainable Development Goals; Global Water Security Issues (GWSI) Series; UNESCO: Paris, France, 2019. [Google Scholar]
- Kilemo, D.B. The review of water use efficiency and water productivity metrics and their role in sustainable water resources management. Open Access Libr. J. 2022, 9, 1–21. [Google Scholar] [CrossRef]
- Fernández, J.E.; Alcon, F.; Diaz-Espejo, A.; Hernandez-Santana, V.; Cuevas, M. Water use indicators and economic analysis for on-farm irrigation decision: A case study of a super high density olive tree orchard. Agric. Water Manag. 2020, 237, 106074. [Google Scholar] [CrossRef]
- Alomran, A.M.; Louki, I.I. Impact of irrigation systems on water saving and yield of greenhouse and open field cucumber production in Saudi Arabia. Agric. Water Manag. 2024, 302, 108974. [Google Scholar] [CrossRef]
- Molden, D.; Oweis, T.; Steduto, P.; Bindraban, P.; Hanjra, M.A.; Kijne, J. Improving agricultural water productivity: Between optimism and caution. Agric. Water Manag. 2010, 97, 528–535. [Google Scholar] [CrossRef]
- Pereira, L.S.; Oweis, T.; Zairi, A. Irrigation management under water scarcity. Agric. Water Manag. 2002, 57, 175–206. [Google Scholar] [CrossRef]
- Dariva, F.D.; Pessoa, H.P.; Copati, M.G.F.; de Almeida, G.Q.; de Castro Filho, M.N.; de Toledo Picoli, E.A.; da Cunha, F.F.; Nick, C. Yield and fruit quality attributes of selected tomato introgression lines subjected to long-term deficit irrigation. Sci. Hortic. 2021, 289, 110426. [Google Scholar] [CrossRef]
- Agbna, G.H.; Dongli, S.; Zhipeng, L.; Elshaikh, N.A.; Guangcheng, S.; Timm, L.C. Effects of deficit irrigation and biochar addition on the growth, yield, and quality of tomato. Sci. Hortic. 2017, 222, 90–101. [Google Scholar] [CrossRef]
- Guo, L.; Yu, H.; Kharbach, M.; Zhang, W.; Wang, J.; Niu, W. Biochar improves soil-tomato plant, tomato production, and economic benefits under reduced nitrogen application in northwestern China. Plants 2021, 10, 759. [Google Scholar] [CrossRef]
- Obadi, A.; AlHarbi, A.; Abdel-Razzak, H.; Al-Omran, A. Biochar and compost as soil amendments: Effect on sweet pepper (Capsicum annuum L.) growth under partial root zone drying irrigation. Arab. J. Geosci. 2020, 13, 508. [Google Scholar] [CrossRef]
- Tayyab, M.; Islam, W.; Khalil, F.; Ziqin, P.; Caifang, Z.; Arafat, Y.; Hui, L.; Rizwan, M.; Ahmad, K.; Waheed, S. Biochar: An efficient way to manage low water availability in plants. Appl. Ecol. Environ. Res. 2018, 16, 2565–2583. [Google Scholar] [CrossRef]
- Mohanty, S.K.; Valenca, R.; Berger, A.W.; Iris, K.; Xiong, X.; Saunders, T.M.; Tsang, D.C. Plenty of room for carbon on the ground: Potential applications of biochar for stormwater treatment. Sci. Total Environ. 2018, 625, 1644–1658. [Google Scholar] [CrossRef] [PubMed]
- Oni, B.A.; Oziegbe, O.; Olawole, O.O. Significance of biochar application to the environment and economy. Ann. Agric. Sci. 2019, 64, 222–236. [Google Scholar] [CrossRef]
- Obadi, A.; Alharbi, A.; Alomran, A.; Alghamdi, A.G.; Louki, I.; Alkhasha, A. Effect of biochar application on morpho-physiological traits, yield, and water use efficiency of tomato crop under water quality and drought stress. Plants 2023, 12, 2355. [Google Scholar] [CrossRef]
- Abideen, Z.; Koyro, H.W.; Huchzermeyer, B.; Ansari, R.; Zulfiqar, F.; Gul, B. Ameliorating effects of biochar on photosynthetic efficiency and antioxidant defence of Phragmites karka under drought stress. Plant Biol. 2020, 22, 259–266. [Google Scholar] [CrossRef] [PubMed]
- Adhikari, S.; Timms, W.; Mahmud, M.P. Optimising water holding capacity and hydrophobicity of biochar for soil amendment–A review. Sci. Total Environ. 2022, 851, 158043. [Google Scholar] [CrossRef]
- Faloye, O.; Alatise, M.; Ajayi, A.; Ewulo, B. Effects of biochar and inorganic fertiliser applications on growth, yield and water use efficiency of maize under deficit irrigation. Agric. Water Manag. 2019, 217, 165–178. [Google Scholar] [CrossRef]
- Zhang, C.; Li, X.; Yan, H.; Ullah, I.; Zuo, Z.; Li, L.; Yu, J. Effects of irrigation quantity and biochar on soil physical properties, growth characteristics, yield and quality of greenhouse tomato. Agric. Water Manag. 2020, 241, 106263. [Google Scholar] [CrossRef]
- Gao, Y.; Shao, G.; Yang, Z.; Zhang, K.; Lu, J.; Wang, Z.; Wu, S.; Xu, D. Influences of soil and biochar properties and amount of biochar and fertilizer on the performance of biochar in improving plant photosynthetic rate: A meta-analysis. Eur. J. Agron. 2021, 130, 126345. [Google Scholar] [CrossRef]
- de Castro Filho, M.N.; Melo, L.C.A.; de Castro Paes, É.; Lustosa Filho, J.F.; Caballero, R.I.C.; Gomes, J.L.; Gomes, C.N. Impact of the addition of biochar and foliar KNO3 on physiology, growth and root biometric parameters of tomato cultivated under different water regimes. Sci. Hortic. 2024, 332, 113186. [Google Scholar] [CrossRef]
- Shoaib, M.; Banerjee, B.P.; Hayden, M.; Kant, S. Roots’ drought adaptive traits in crop improvement. Plants 2022, 11, 2256. [Google Scholar] [CrossRef] [PubMed]
- Khan, Z.; Khan, M.N.; Zhang, K.; Luo, T.; Zhu, K.; Hu, L. The application of biochar alleviated the adverse effects of drought on the growth, physiology, yield and quality of rapeseed through regulation of soil status and nutrients availability. Ind. Crops Prod. 2021, 171, 113878. [Google Scholar] [CrossRef]
- Zhang, W.; Niu, W.; Luo, H. Effect of Biochar Amendment on the Growth and Photosynthetic Traits of Plants Under Drought Stress: A Meta-Analysis. Agronomy 2024, 14, 2952. [Google Scholar] [CrossRef]
- Zhang, J.; Liu, X.; Wang, Q. Effects of maize straw biochar application on soil physical properties, morph-physiological attributes, yield and water use efficiency of greenhouse tomato. Int. J. Agric. Biol. Eng. 2023, 16, 151–159. [Google Scholar] [CrossRef]
- Usman, M.; Ahmad, N.; Raza, W.; Zhao, Z.; Abubakar, M.; Rehman, S.U.; Ikram, S.; Tariq, H. Impact of biochar on the yield and nutritional quality of tomatoes (Solanum lycopersicum) under drought stress. J. Sci. Food Agric. 2023, 103, 3479–3488. [Google Scholar] [CrossRef]
- Ebrahimi, M.; Souri, M.K.; Mousavi, A.; Sahebani, N. Biochar and vermicompost improve growth and physiological traits of eggplant (Solanum melongena L.) under deficit irrigation. Chem. Biol. Technol. Agric. 2021, 8, 19. [Google Scholar] [CrossRef]
- Afaf, A.; ALosaimi, J.S.; Alharby, H.F.; Alayafi, A.A. The Importance of Initial Application of Biochar On Soil Fertility to Improve Growth and Productivity of Tomato Plants (Solanum lycopersicum L.) Under Drought Stress. Gesunde Pflanz. 2023, 75, 2515–2524. [Google Scholar] [CrossRef]
- Farooq, M.; Wahid, A.; Kobayashi, N.; Fujita, D.; Basra, S. Plant drought stress: Effects, mechanisms and management. In Sustainable Agriculture; Springer: Dordrecht, The Netherlands, 2009; pp. 153–188. [Google Scholar]
- Zhu, X.; Chen, B.; Zhu, L.; Xing, B. Effects and mechanisms of biochar-microbe interactions in soil improvement and pollution remediation: A review. Environ. Pollut. 2017, 227, 98–115. [Google Scholar] [CrossRef]
- Cui, Y.; Zeng, Y.; Hu, H.; Zhang, Y.; Wang, D.; Feng, D. Biochar, phosphate, and magnesium oxide in seaweed and cornstarch dregs co-composting: Enhancing organic matter degradation, humification, and nitrogen retention. Waste Manag. 2024, 187, 207–217. [Google Scholar] [CrossRef] [PubMed]
- Baiamonte, G.; De Pasquale, C.; Marsala, V.; Cimò, G.; Alonzo, G.; Crescimanno, G.; Conte, P. Structure alteration of a sandy-clay soil by biochar amendments. J. Soils Sediments 2015, 15, 816–824. [Google Scholar] [CrossRef]
- Schmidt, H.P.; Pandit, B.H.; Martinsen, V.; Cornelissen, G.; Conte, P.; Kammann, C.I. Fourfold increase in pumpkin yield in response to low-dosage root zone application of urine-enhanced biochar to a fertile tropical soil. Agriculture 2015, 5, 723–741. [Google Scholar] [CrossRef]
- Kammann, C.I.; Schmidt, H.-P.; Messerschmidt, N.; Linsel, S.; Steffens, D.; Müller, C.; Koyro, H.-W.; Conte, P.; Joseph, S. Plant growth improvement mediated by nitrate capture in co-composted biochar. Sci. Rep. 2015, 5, 11080. [Google Scholar] [CrossRef]
- Alkharabsheh, H.M.; Seleiman, M.F.; Battaglia, M.L.; Shami, A.; Jalal, R.S.; Alhammad, B.A.; Almutairi, K.F.; Al-Saif, A.M. Biochar and its broad impacts in soil quality and fertility, nutrient leaching and crop productivity: A review. Agronomy 2021, 11, 993. [Google Scholar] [CrossRef]
- Gaber, M.; Abdel Nasser, G.; Hussein, A. Positive Effects of Biochar on Pepper Growth, Yield, and Root Distribution under Water Stress Conditions. Alex. J. Soil Water Sci. 2024, 8, 57–75. [Google Scholar] [CrossRef]
- Jaaf, S.M.M.A.; Li, Y.; Günal, E.; El Enshasy, H.A.; Salmen, S.H.; Sürücü, A. The impact of corncob biochar and poultry litter on pepper (Capsicum annuum L.) growth and chemical properties of a silty-clay soil. Saudi J. Biol. Sci. 2022, 29, 2998–3005. [Google Scholar] [CrossRef]
- Agbna, G.H.; Talha, Z.; Siddig, N.; MMM, O. Biochar amendments improves tomato growth, yield and irrigation water use efficiency under poor silt loam soil. Int. J. Eng. Sci. Res. 2017, 5, 96–104. [Google Scholar]
- Nemeskéri, E.; Neményi, A.; Bőcs, A.; Pék, Z.; Helyes, L. Physiological factors and their relationship with the productivity of processing tomato under different water supplies. Water 2019, 11, 586. [Google Scholar] [CrossRef]
- Nankishore, A.; Farrell, A.D. The response of contrasting tomato genotypes to combined heat and drought stress. J. Plant Physiol. 2016, 202, 75–82. [Google Scholar] [CrossRef]
- Tombesi, S.; Frioni, T.; Poni, S.; Palliotti, A. Effect of water stress “memory” on plant behavior during subsequent drought stress. Environ. Exp. Bot. 2018, 150, 106–114. [Google Scholar] [CrossRef]
- Fang, X.; Li, Y.; Nie, J.; Wang, C.; Huang, K.; Zhang, Y.; Zhang, Y.; She, H.; Liu, X.; Ruan, R. Effects of nitrogen fertilizer and planting density on the leaf photosynthetic characteristics, agronomic traits and grain yield in common buckwheat (Fagopyrum esculentum M.). Field Crops Res. 2018, 219, 160–168. [Google Scholar]
- Song, J.; Xin, L.; Gao, F.; Liu, H.; Wang, X. Effects of foliar selenium application on oxidative damage and photosynthetic properties of greenhouse tomato under drought stress. Plants 2024, 13, 302. [Google Scholar] [CrossRef]
- Liang, G.; Liu, J.; Zhang, J.; Guo, J. Effects of drought stress on photosynthetic and physiological parameters of tomato. J. Am. Soc. Hortic. Sci. 2020, 145, 12–17. [Google Scholar] [CrossRef]
- Hao, S.; Cao, H.; Wang, H.; Pan, X. The physiological responses of tomato to water stress and re-water in different growth periods. Sci. Hortic. 2019, 249, 143–154. [Google Scholar] [CrossRef]
- Al-Harbi, A.; Al-Omran, A.; Alqardaeai, T.; Abdel-Rassak, H.; Alharbi, K.R.; Obadi, A.; Saad, M. Grafting affects tomato growth, productivity, and water use efficiency under different water regimes. J. Agric. Sci. Technol. 2018, 20, 1227–1241. [Google Scholar]
- Alhoshan, M.; Ramin, A.A.; Zahedi, M.; Sabzalian, M.R. Effects of water deficit on shoot, root and some physiological characteristics in some greenhouse grown potato cultivars. J. Crop Sci. Biotechnol. 2020, 23, 433–444. [Google Scholar] [CrossRef]
- Cakmakcı, T.; Sahın, U. Yield, physiological responses and irrigation water productivity of capia pepper (Capsicum annuum L.) at deficit irrigation and different biochar levels. Gesunde Pflanz. 2023, 75, 317–327. [Google Scholar] [CrossRef]
- Abdelghany, A.E.; Dou, Z.; Alashram, M.G.; Eltohamy, K.M.; Elrys, A.S.; Liu, X.; Wu, Y.; Cheng, M.; Fan, J.; Zhang, F. The joint application of biochar and nitrogen enhances fruit yield, quality and water-nitrogen productivity of water-stressed greenhouse tomato under drip fertigation. Agric. Water Manag. 2023, 290, 108605. [Google Scholar] [CrossRef]
- Gharred, J.; Derbali, W.; Derbali, I.; Badri, M.; Abdelly, C.; Slama, I.; Koyro, H.-W. Impact of biochar application at water shortage on biochemical and physiological processes in medicago ciliaris. Plants 2022, 11, 2411. [Google Scholar] [CrossRef] [PubMed]
- Zhang, W.; Wei, J.; Guo, L.; Fang, H.; Liu, X.; Liang, K.; Niu, W.; Liu, F.; Siddique, K.H. Effects of two biochar types on mitigating drought and salt stress in tomato seedlings. Agronomy 2023, 13, 1039. [Google Scholar] [CrossRef]
- Koyro, H.-W.; Huchzermeyer, B. Coordinated regulation of photosynthesis in plants increases yield and resistance to different types of environmental stress. In Plant Metabolites and Regulation Under Environmental Stress; Elsevier: Amsterdam, The Netherlands, 2018; pp. 281–309. [Google Scholar]
- Siddique, Z.; Jan, S.; Imadi, S.R.; Gul, A.; Ahmad, P. Drought stress and photosynthesis in plants. Water Stress Crop Plants A Sustain. Approach 2016, 1, 1–11. [Google Scholar]
- Liu, X.; Zhang, J.; Wang, Q.; Chang, T.; Shaghaleh, H.; Hamoud, Y.A. Improvement of photosynthesis by biochar and vermicompost to Enhance Tomato (Solanum lycopersicum L.) yield under greenhouse conditions. Plants 2022, 11, 3214. [Google Scholar] [CrossRef]
- Zeeshan, M.; Ahmad, W.; Hussain, F.; Ahamd, W.; Numan, M.; Shah, M.; Ahmad, I. Phytostabalization of the heavy metals in the soil with biochar applications, the impact on chlorophyll, carotene, soil fertility and tomato crop yield. J. Clean. Prod. 2020, 255, 120318. [Google Scholar] [CrossRef]
- Nadeem, S.M.; Imran, M.; Naveed, M.; Khan, M.Y.; Ahmad, M.; Zahir, Z.A.; Crowley, D.E. Synergistic use of biochar, compost and plant growth-promoting rhizobacteria for enhancing cucumber growth under water deficit conditions. J. Sci. Food Agric. 2017, 97, 5139–5145. [Google Scholar] [CrossRef]
- Qian, Z.; Kong, L.-J.; Shan, Y.-Z.; Yao, X.-D.; Zhang, H.-J.; Xie, F.-T.; Xue, A. Effect of biochar on grain yield and leaf photosynthetic physiology of soybean cultivars with different phosphorus efficiencies. J. Integr. Agric. 2019, 18, 2242–2254. [Google Scholar] [CrossRef]
- Younis, U.; Malik, S.A.; Rizwan, M.; Qayyum, M.F.; Ok, Y.S.; Shah, M.H.R.; Rehman, R.A.; Ahmad, N. Biochar enhances the cadmium tolerance in spinach (Spinacia oleracea) through modification of Cd uptake and physiological and biochemical attributes. Environ. Sci. Pollut. Res. 2016, 23, 21385–21394. [Google Scholar] [CrossRef] [PubMed]
- Ullah, I.; Hanping, M.; Chuan, Z.; Javed, Q.; Azeem, A. Optimization of irrigation and nutrient concentration based on economic returns, substrate salt accumulation and water use efficiency for tomato in greenhouse. Arch. Agron. Soil Sci. 2017, 63, 1748–1762. [Google Scholar] [CrossRef]
- Lei, Y.; Xu, L.; Wang, M.; Sun, S.; Yang, Y.; Xu, C. Effects of Biochar Application on Tomato Yield and Fruit Quality: A Meta-Analysis. Sustainability 2024, 16, 6397. [Google Scholar] [CrossRef]
- Akhtar, S.S.; Li, G.; Andersen, M.N.; Liu, F. Biochar enhances yield and quality of tomato under reduced irrigation. Agric. Water Manag. 2014, 138, 37–44. [Google Scholar] [CrossRef]
- Li, C.; Xiong, Y.; Qu, Z.; Xu, X.; Huang, Q.; Huang, G. Impact of biochar addition on soil properties and water-fertilizer productivity of tomato in semi-arid region of Inner Mongolia, China. Geoderma 2018, 331, 100–108. [Google Scholar] [CrossRef]
- Hou, J.; Zhang, J.; Liu, X.; Ma, Y.; Wei, Z.; Wan, H.; Liu, F. Effect of biochar addition and reduced irrigation regimes on growth, physiology and water use efficiency of cotton plants under salt stress. Ind. Crops Prod. 2023, 198, 116702. [Google Scholar] [CrossRef]
- Alomran, A.; Alharbi, A.; Obadi, A. Improving Water Productivity in Greenhouse and Open-Field Vegetable Crops. arXiv 2024. [Google Scholar] [CrossRef]
- Al-Omran, A.; Alkhasha, A.; Obadi, A. The Use of Biochar Can Improve the Hydro-Physical Properties of Sandy Soils in Arid Regions. In Catalytic Applications of Biochar for Environmental Remediation: Sustainable Strategies Towards a Circular Economy (Vol 2); ACS Publications: Washington, DC, USA, 2024; pp. 225–243. [Google Scholar]
- Diedhiou, S.; Maiga, A.; Himbane, P.B.; Iboko, M.P.; Ndiaye, L.G.; Diedhiou, I. The Biochar Amendment Improves Tomato Growth and Yield under Deficit Irrigation in Sandy Loam Soil in Senegal. Sci. World J. 2024, 2024, 9945354. [Google Scholar] [CrossRef]
- Guo, L.; Yu, H.; Niu, W.; Kharbach, M. Biochar promotes nitrogen transformation and tomato yield by regulating nitrogen-related microorganisms in tomato cultivation soil. Agronomy 2021, 11, 381. [Google Scholar] [CrossRef]
- Maiti, S. Handbook of Methods in Environmental Studies, 1: Water and Wastewater Analysis; ABD Publishers: Birmingham, UK, 2004. [Google Scholar]
- Sparks, D.L.; Page, A.L.; Helmke, P.A.; Loeppert, R.H. Methods of Soil Analysis, Part 3: Chemical Methods; John Wiley & Sons: Hoboken, NJ, USA, 2020; Volume 14. [Google Scholar]
- Allen, R.G.; Pereira, L.S.; Raes, D.; Smith, M. Crop Evapotranspiration—Guidelines for Computing Crop Water Requirements—FAO Irrigation and Drainage Paper 56; FAO: Rome, Italy, 1998; Volume 300, p. D05109. [Google Scholar]
- Usman, A.R.; Abduljabbar, A.; Vithanage, M.; Ok, Y.S.; Ahmad, M.; Ahmad, M.; Elfaki, J.; Abdulazeem, S.S.; Al-Wabel, M.I. Biochar production from date palm waste: Charring temperature induced changes in composition and surface chemistry. J. Anal. Appl. Pyrolysis 2015, 115, 392–400. [Google Scholar] [CrossRef]
- ASTM D1762-84; Standard Methods for Chemical Analysis of Wood Charcoal. American Society for Testing and Materials (ASTM): Philadelphia, PA, USA, 1989.
- Smart, R.E.; Bingham, G.E. Rapid estimates of relative water content. Plant Physiol. 1974, 53, 258–260. [Google Scholar] [CrossRef]
- Wellburn, A.R. The spectral determination of chlorophylls a and b, as well as total carotenoids, using various solvents with spectrophotometers of different resolution. J. Plant Physiol. 1994, 144, 307–313. [Google Scholar] [CrossRef]
- Arnon, D.I. Copper enzymes in isolated chloroplasts. Polyphenoloxidase in Beta vulgaris. Plant Physiol. 1949, 24, 1–15. [Google Scholar] [CrossRef] [PubMed]
- Claussen, W. Proline as a measure of stress in tomato plants. Plant Sci. 2005, 168, 241–248. [Google Scholar] [CrossRef]
- Foley, D.; Thenkabail, P.; Oliphant, A.; Aneece, I.; Teluguntla, P. Crop Water Productivity from Cloud-Based Landsat Helps Assess California’s Water Savings. Remote Sens. 2023, 15, 4894. [Google Scholar] [CrossRef]
- Ahmed, A.F.; Yu, H.; Yang, X.; Jiang, W. Deficit irrigation affects growth, yield, vitamin C content, and irrigation water use efficiency of hot pepper grown in soilless culture. HortScience 2014, 49, 722–728. [Google Scholar] [CrossRef]
- Steel, R.G.; Torrie, J.H. Principles and Procedures of Statistics: A Biometrical Approach; McGraw-Hill: New York, NY, USA, 1986. [Google Scholar]







| Treatments | Total Water Applied (m−3 m−2) | Total Yield (kg m−2) | Reduction in Yield (%) | WP (kg m−3) | Improvement in WP (%) |
|---|---|---|---|---|---|
| Irrigation Levels (%Etc) | |||||
| 100 | 0.74 | 19.83 ± 0.43 a | 0.00 | 26.87 ± 0.58 d | 0.00 |
| 80 | 0.59 | 18.66 ± 0.95 b | 5.91 | 31.60 ± 1.60 c | 17.61 |
| 60 | 0.44 | 16.62 ± 0.56 c | 16.16 | 37.55 ± 0.90 b | 39.76 |
| 40 | 0.30 | 13.70 ± 0.39 d | 30.88 | 46.42 ± 1.09 a | 72.80 |
| Biochar | Improvement in Yield (%) | ||||
| BC0% | ------- | 16.64 ± 2.27 c | 0.00 | 34.51 ± 7.67 c | 0.00 |
| BC3% | 17.26 ± 2.45 b | 3.75 | 35.76 ± 7.75 b | 3.61 | |
| BC5% | ------- | 17.70 ± 2.65 a | 6.39 | 36.55 ± 7.55 a | 5.91 |
| Chemical Analysis | ||||||||||
| Parameters | pH | EC (dSm−1) | Cations (meql−1) | Anions (meql−1) | SAR | |||||
| Ca2+ | Mg2+ | K+ | Na+ | CO32− | Cl− | HCO3− | ||||
| Water | 7.51 | 0.94 | 3.20 | 2.56 | 0.14 | 4.71 | 0.00 | 7.92 | 2.33 | 2.02 |
| Soil | 7.38 | 3.64 | 10.04 | 2.24 | 9.10 | 13.78 | 0.00 | 4.55 | 18.4 | 2.03 |
| Soil Physical Parameters | ||||||||||
| Parameters | ρb (g cm−3) | CaCO3 (%) | OM (%) | Mechanical Analysis (%) | θs % | θfc % | θWP% | |||
| Sand | Silt | Clay | Soil Texture | |||||||
| Soil | 1.42 | 18.8 | 0.7 | 85.5 | 17.9 | 7.1 | Loamy sand | 24.8 | 17.9 | 9.7 |
| Parameters | Moisture (%) | Resident Material (%) | SA m2 g−1 | OM % | Ash % | pH | EC dS m−1 | N % | P % | K % | C % | H % | Na % | C/N |
|---|---|---|---|---|---|---|---|---|---|---|---|---|---|---|
| biochar | 3.53 | 47.90 | 237.80 | 30.33 | 25.70 | 8.82 | 3.71 | 0.24 | 0.22 | 0.88 | 60 | 3.44 | 5.63 | 250:1 |
Disclaimer/Publisher’s Note: The statements, opinions and data contained in all publications are solely those of the individual author(s) and contributor(s) and not of MDPI and/or the editor(s). MDPI and/or the editor(s) disclaim responsibility for any injury to people or property resulting from any ideas, methods, instructions or products referred to in the content. |
© 2025 by the authors. Licensee MDPI, Basel, Switzerland. This article is an open access article distributed under the terms and conditions of the Creative Commons Attribution (CC BY) license (https://creativecommons.org/licenses/by/4.0/).
Share and Cite
Obadi, A.; Alharbi, A.; Alomran, A.; Alghamdi, A.G.; Alqardaeai, T.; Alkhasha, A.; Al-Swadi, H.A. Analysis of Biochar Addition in Improving Tomato Morpho-Physiological Traits and Water Productivity in Greenhouse. Plants 2025, 14, 3293. https://doi.org/10.3390/plants14213293
Obadi A, Alharbi A, Alomran A, Alghamdi AG, Alqardaeai T, Alkhasha A, Al-Swadi HA. Analysis of Biochar Addition in Improving Tomato Morpho-Physiological Traits and Water Productivity in Greenhouse. Plants. 2025; 14(21):3293. https://doi.org/10.3390/plants14213293
Chicago/Turabian StyleObadi, Abdullah, Abdulaziz Alharbi, Abdulrasoul Alomran, Abdulaziz G. Alghamdi, Thabit Alqardaeai, Arafat Alkhasha, and Hamed A. Al-Swadi. 2025. "Analysis of Biochar Addition in Improving Tomato Morpho-Physiological Traits and Water Productivity in Greenhouse" Plants 14, no. 21: 3293. https://doi.org/10.3390/plants14213293
APA StyleObadi, A., Alharbi, A., Alomran, A., Alghamdi, A. G., Alqardaeai, T., Alkhasha, A., & Al-Swadi, H. A. (2025). Analysis of Biochar Addition in Improving Tomato Morpho-Physiological Traits and Water Productivity in Greenhouse. Plants, 14(21), 3293. https://doi.org/10.3390/plants14213293

