Effect of Water Quality and Date Palm Biochar on Evaporation and Specific Hydrological Characteristics of Sandy Soil
Abstract
1. Introduction
2. Materials and Methods
2.1. Soil Amendment (Biochar)
2.2. Intermittent Evaporation
2.3. Experiment of Infiltration
2.4. Hydraulic Conductivity
2.5. Statistical Analysis
3. Results and Discussion
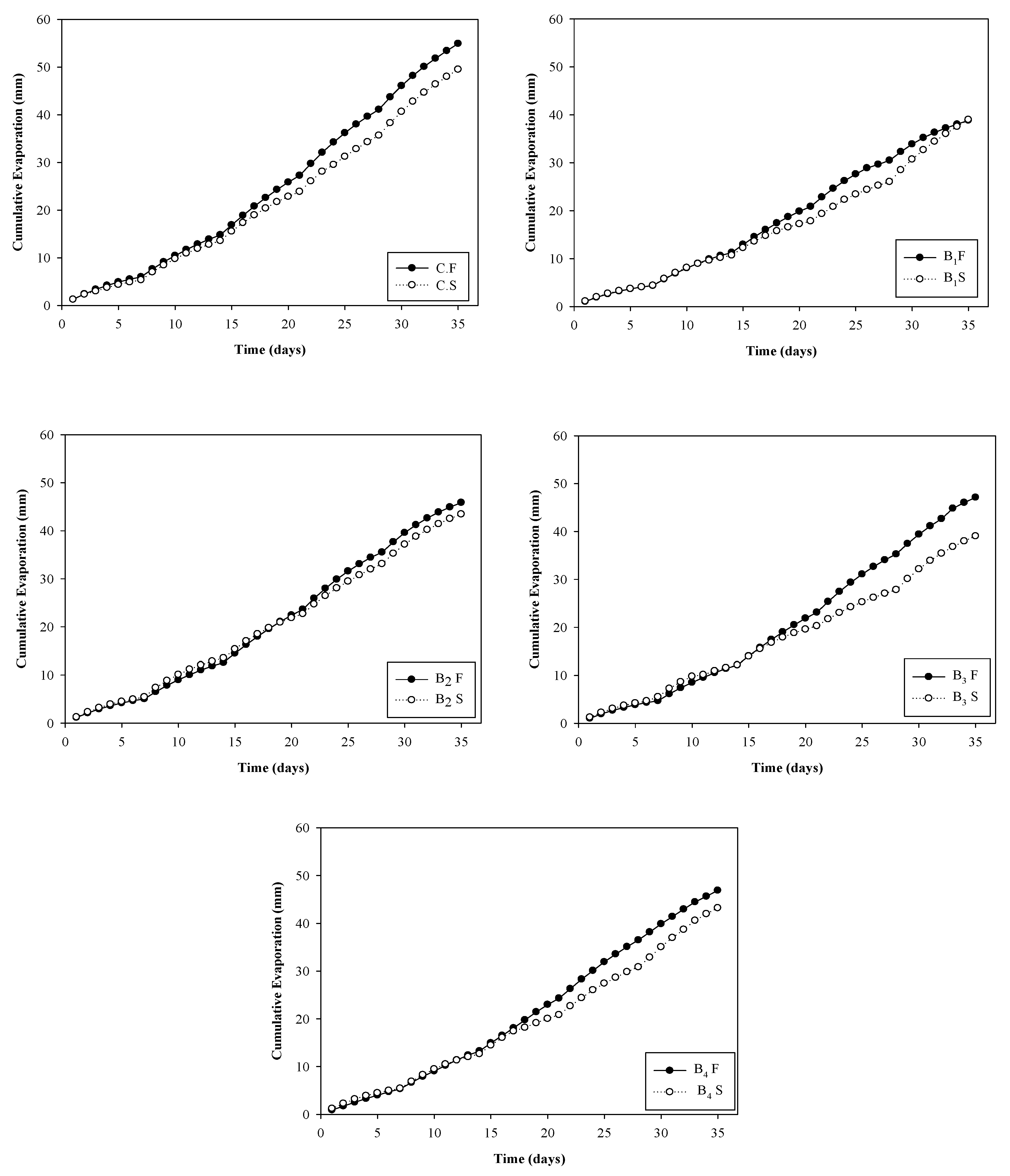
3.1. Intermittent Evaporation
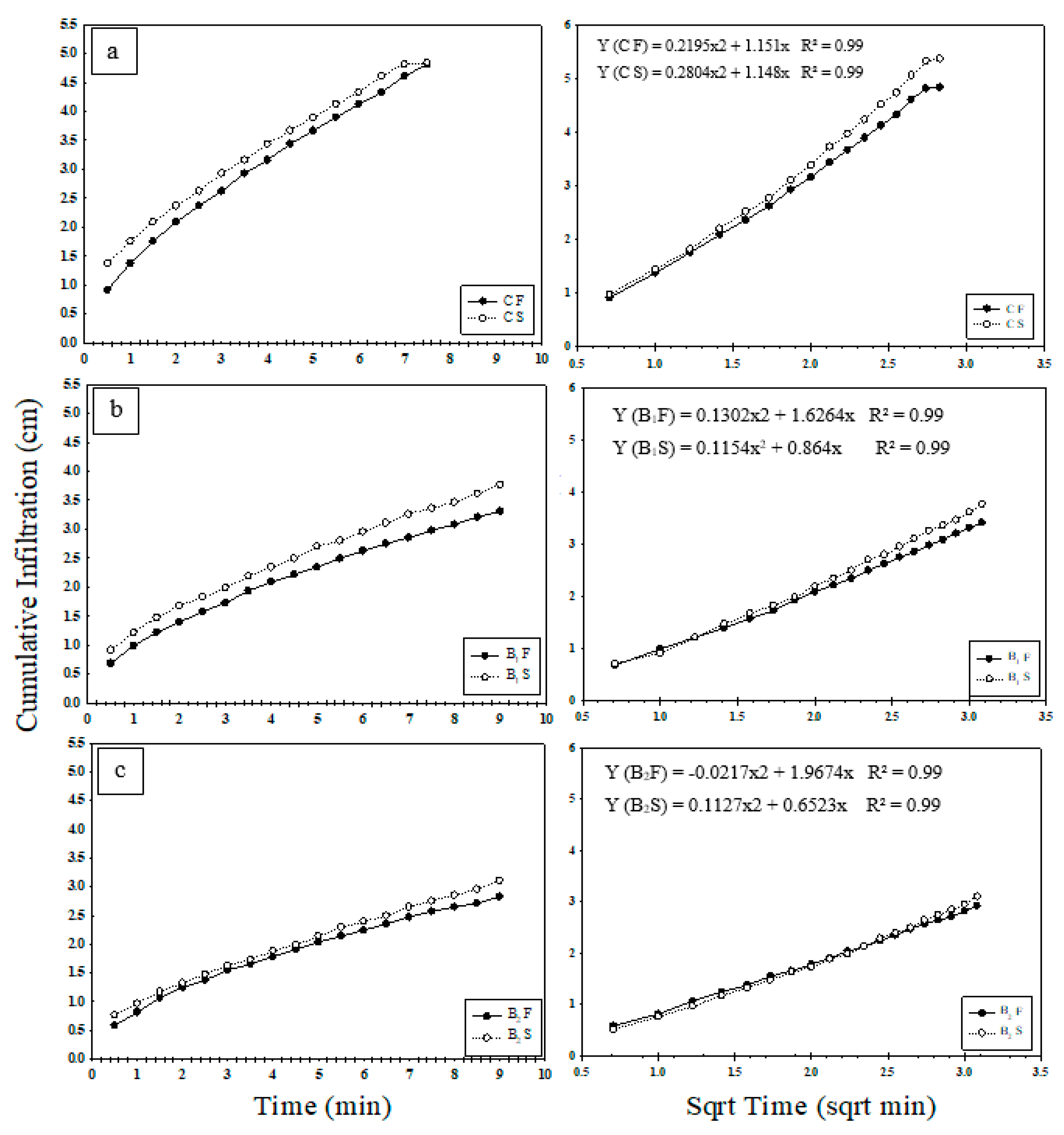
3.2. Infiltration
3.3. Saturated Hydraulic Conductivity
4. Conclusions
Author Contributions
Funding
Acknowledgments
Conflicts of Interest
References
- Qadir, M.; Oster, J.D. Crop and irrigation management strategies for saline-sodic soils and waters aimed at environmentally sustainable agriculture. Sci. Tot. Environ. 2004, 323, 1–19. [Google Scholar] [CrossRef] [PubMed]
- Chartzoulakis, K.S. Salinity and olive: Growth, salt tolerance, photosynthesis and yield. Agric. Water Manag. 2005, 78, 108–121. [Google Scholar] [CrossRef]
- Kang, Y.; Chen, M.; Wan, S. Effects of drip irrigation with saline water on waxy maize (Zea mays L. var. ceratina Kulesh) in North China Plain. Agric. Water Manag. 2010, 97, 1303–1309. [Google Scholar] [CrossRef]
- Li, C.; Lei, J.; Zhao, Y.; Xu, X.; Li, S. Effect of saline water irrigation on soil development and plant growth in the Taklimakan Desert Highway shelterbelt. Soil Tillage Res. 2015, 146, 99–107. [Google Scholar] [CrossRef]
- Ju, Z.; Du, Z.; Guo, K.; Liu, X. Irrigation with freezing saline water for 6 years alters salt ion distribution within soil aggregates. J. Soil Sediment. 2019, 19, 97–105. [Google Scholar] [CrossRef]
- Agbede, T.M.; Odoja, A.S.; Bayode, L.N.; Omotehinse, P.O.; Adepehin, I. Effects of biochar and poultry manure on soil properties, growth, yield and quality of cocoyam (Xanthosoma sagittifolium Schott) grown in sandy soil. Commun. Soil Sci. Plant Anal. 2020, 51, 932–947. [Google Scholar] [CrossRef]
- Chen, C.; Wang, R.; Shang, J.; Liu, K.; Irshad, M.K.; Hu, K.; Arthur, E. Effect of biochar application on hydraulic properties of sandy soil under dry and wet conditions. Vadose Zone J. 2018, 17, 180101. [Google Scholar] [CrossRef]
- She, D.; Sun, X.; Gamareldawla, A.H.D.; Nazar, E.A.; Hu, W.; Edith, K.; Yu, S. Benefits of soil biochar amendments to tomato growth under saline water irrigation. Sci. Rep. 2018, 8, 14743. [Google Scholar] [CrossRef]
- Wang, T.; Stewart, C.E.; Sun, C.; Wang, Y.; Zheng, J. Effects of biochar addition on evaporation in the five typical Loess Plateau soils. Catena 2018, 162, 29–39. [Google Scholar] [CrossRef]
- Agbna, H.D.; Ali, G.; Albashir, E.; Mohammed, M.; Bakir, M.; Osman, A.; Elshaikh, A. Effect of biochar on some soil properties and tomato growth under saline water conditions. Int. J. Sci. Eng. Res. 2017, 8, 24–28. [Google Scholar]
- Zhang, J.; Chen, Q.; You, C. Biochar effect on water evaporation and hydraulic conductivity in sandy soil. Pedosphere 2016, 26, 265–272. [Google Scholar] [CrossRef]
- Ibrahim, A.; Usman, A.R.A.; Al-Wabel, M.I.; Nadeem, M.; Ok, Y.S.; Al-Omran, A. Effects of conocarpus biochar on hydraulic properties of calcareous sandy soil: Influence of particle size and application depth. Arch. Agron. Soil Sci. 2017, 63, 185–197. [Google Scholar] [CrossRef]
- Xu, J.; Niu, W.Q.; Zhang, M.Z.; Li, Y.; Lyu, W.; Li, K.Y.; Liang, B.H. Effect of biochar addition on soil evaporation. J. Appl. Ecol. 2016, 27, 3505–3513. [Google Scholar]
- Saifullah, D.S.; Naeem, A.; Rengel, Z.; Naidu, R. Biochar application for the remediation of salt-affected soils: Challenges and opportunities. Sci. Total Environ. 2018, 625, 320–335. [Google Scholar] [CrossRef]
- Sun, J.; Yang, R.; Li, W.; Pan, Y.; Zheng, M.; Zhang, Z. Effect of biochar amendment on water infiltration in a coastal saline soil. J. Soil Sediments 2018, 18, 3271–3279. [Google Scholar] [CrossRef]
- Al-Omran, A.; Ibrahim, A.; Alharbi, A. Evaluating the impact of combined application of biochar and compost on hydro-physical properties of loamy sand soil. Commun. Soil Sci. Plant Anal. 2019, 50, 2442–2456. [Google Scholar] [CrossRef]
- Herath, H.M.S.K.; Camps-Arbestain, M.; Hedley, M. Effect of biochar on soil physical properties in two contrasting soils: An Alfisol and an Andisol. Geoderma 2013, 209, 188–197. [Google Scholar] [CrossRef]
- Ibrahim, H.M.; Al-Wabel, M.I.; Usman, A.R.; Al-Omran, A. Effect of Conocarpus biochar application on the hydraulic properties of a sandy loam soil. Soil Sci. 2013, 178, 165–173. [Google Scholar] [CrossRef]
- Mukherjee, A.; Lal, R.; Zimmerman, A.R. Effects of biochar and other amendments on the physical properties and greenhouse gas emissions of an artificially degraded soil. Sci. Total Environ. 2014, 487, 26–36. [Google Scholar] [CrossRef]
- George, C.; Wagner, M.; Kücke, M.; Rillig, M.C. Divergent consequences of hydrochar in the plant–soil system: Arbuscular mycorrhiza, nodulation, plant growth and soil aggregation effects. Appl. Soil Ecol. 2012, 59, 68–72. [Google Scholar] [CrossRef]
- Busscher, H.J.; Rinastiti, M.; Siswomihardjo, W.; van der Mei, H.C. Biofilm formation on dental restorative and implant materials. J. Dent. Res. 2010, 89, 657–665. [Google Scholar] [CrossRef] [PubMed]
- Jačka, L.; Trakal, L.; Ouředníček, P.; Pohořelý, M.; Šípek, V. Biochar presence in soil significantly decreased saturated hydraulic conductivity due to swelling. Soil Tillage Res. 2018, 184, 181–185. [Google Scholar] [CrossRef]
- Fatahi, B.; Khabbaz, M.H.; Basack, S. Effects of salinity and sand content on liquid limit and hydraulic conductivity. Aust. Geomech. J. 2011, 46, 67–76. [Google Scholar]
- Villagra-Mendoza, K.; Horn, R. Effect of biochar addition on hydraulic functions of two textural soils. Geoderma 2018, 326, 88–95. [Google Scholar] [CrossRef]
- Barnes, R.T.; Gallagher, M.E.; Masiello, C.A.; Liu, Z.; Dugan, B. Biochar-induced changes in soil hydraulic conductivity and dissolved nutrient fluxes constrained by laboratory experiments. PLoS ONE 2014, 9, e108340. [Google Scholar] [CrossRef] [PubMed]
- Brockhoff, S.R.; Christians, N.E.; Killorn, R.J.; Horton, R.; Davis, D.D. Physical and mineral-nutrition properties of sand-based turfgrass root zones amended with biochar. Agron. J. 2010, 102, 1627–1631. [Google Scholar] [CrossRef]






| Depth (cm) | pH | ECe (dS m−1) | Cations (mEq L−1) | Anions (mEq L−1) | SAR | |||||
|---|---|---|---|---|---|---|---|---|---|---|
| Ca+2 | Mg+2 | Na+ | K+ | CO3−2 | HCO3− | Cl− | ||||
| 0–30 | 7.46 | 2.81 | 14.5 | 9.15 | 2.78 | 1.885 | 0.115 | 18.8 | 7.95 | 0.795 |
| 30–60 | 7.44 | 1.97 | 8.45 | 6.2 | 3.51 | 0.97 | 0.057 | 13.05 | 6.85 | 1.26 |
| Freshwater | 7.1 | 0.9 | 4.2 | 2.4 | 7.3 | 0.13 | 0 | 2 | 7.2 | 4.02 |
| Saline water | 7.52 | 3.6 | 2.8 | 2.2 | 32.04 | 0.29 | 0 | 2.86 | 31.29 | 20.26 |
| Depth (cm) | Bulk Density (g cm−3) | Field Capacity (%) | Wilting Point (%) | Hydraulic Conductivity (cm Day−1) | Texture |
|---|---|---|---|---|---|
| 0–15 | 1.61 | 14.49 | 3.51 | 105.12 | Loamy sand |
| 15–30 | 1.64 | 13.2 | 1.99 | 501.2 | Sand |
| Parameter | Value | Units | Parameter | Value | Units |
|---|---|---|---|---|---|
| pH | 8.92 | - | K | 0.87 | % |
| Electrical conductivity (1:25) | 3.96 | dS m−1 | Ca | 5.63 | % |
| Organic matter (OM) | 30.32 | % | C/N ratio | 250:1 | - |
| Organic carbon (OC) | 60 | % | Moisture | 3.53 | % |
| H | 3.44 | % | Mobile material | 22.82 | % |
| N | 0.24 | % | Ash | 25.7 | % |
| P | 0.22 | % | Resident material | 47.95 | % |
| Surface area | 237.8 | m2 g−1 | Bulk density | 0.33 | g cm−3 |
| No. | Treatment | Application Rate |
|---|---|---|
| 1 | B1 | 2% (20 g kg−1) |
| 2 | B2 | 4% (40 g kg−1) |
| 3 | B3 | 6% (60 g kg−1) |
| 4 | B4 | 8% (80 g kg−1) |
| Water Quality | Treatment | Added Water (mm) | Evaporation (mm) | Cumulative Evaporation (mm) | Water Retained (mm) | Recovery (%) | ||||
|---|---|---|---|---|---|---|---|---|---|---|
| Week 1 | Week 2 | Week 3 | Week 4 | Week 5 | ||||||
| Freshwater | Control | 63.69 | 5.99 | 8.8 | 12.45 | 13.83 | 13.83 | 54.9 | 7.98 | 98.72 |
| B1 | 63.69 | 4.36 | 6.89 | 9.6 | 9.63 | 8.36 | 38.83 | 23.6 | 98.02 | |
| B2 | 63.69 | 5.04 | 7.56 | 11.02 | 11.9 | 10.33 | 45.86 | 16.6 | 98.06 | |
| B3 | 63.69 | 4.7 | 7.46 | 10.95 | 12.17 | 11.85 | 47.12 | 15.6 | 98.47 | |
| B4 | 63.69 | 5.35 | 7.91 | 11.05 | 12.18 | 10.39 | 46.88 | 15.8 | 98.41 | |
| LSD(0.05) | - | 0.289 | 0.289 | 0.034 | 0.577 | 0.188 | 1.76 | 0.275 | - | |
| Saline water | Control | 63.69 | 5.34 | 8.25 | 10.29 | 11.78 | 13.83 | 49.49 | 10.09 | 93.54 |
| B1 | 63.69 | 4.41 | 6.29 | 7.12 | 8.22 | 12.94 | 38.98 | 23.1 | 97.46 | |
| B2 | 63.69 | 5.44 | 8.08 | 9.19 | 10.40 | 10.33 | 43.44 | 18.9 | 97.88 | |
| B3 | 63.69 | 5.51 | 6.67 | 8.11 | 7.55 | 11.22 | 39.06 | 22.53 | 96.68 | |
| B4 | 63.69 | 5.45 | 7.24 | 8.15 | 10.01 | 12.37 | 43.22 | 19.16 | 97.91 | |
| LSD(0.05) | - | 0.151 | 0.171 | 0.191 | 0.659 | 0.046 | 1.96 | 0.319 | - | |
© 2020 by the authors. Licensee MDPI, Basel, Switzerland. This article is an open access article distributed under the terms and conditions of the Creative Commons Attribution (CC BY) license (http://creativecommons.org/licenses/by/4.0/).
Share and Cite
Alkhasha, A.; Al-Omran, A.; Alghamdi, A.G. Effect of Water Quality and Date Palm Biochar on Evaporation and Specific Hydrological Characteristics of Sandy Soil. Agriculture 2020, 10, 300. https://doi.org/10.3390/agriculture10070300
Alkhasha A, Al-Omran A, Alghamdi AG. Effect of Water Quality and Date Palm Biochar on Evaporation and Specific Hydrological Characteristics of Sandy Soil. Agriculture. 2020; 10(7):300. https://doi.org/10.3390/agriculture10070300
Chicago/Turabian StyleAlkhasha, Arafat, Abdulrasoul Al-Omran, and Abdulaziz G. Alghamdi. 2020. "Effect of Water Quality and Date Palm Biochar on Evaporation and Specific Hydrological Characteristics of Sandy Soil" Agriculture 10, no. 7: 300. https://doi.org/10.3390/agriculture10070300
APA StyleAlkhasha, A., Al-Omran, A., & Alghamdi, A. G. (2020). Effect of Water Quality and Date Palm Biochar on Evaporation and Specific Hydrological Characteristics of Sandy Soil. Agriculture, 10(7), 300. https://doi.org/10.3390/agriculture10070300

