Factors Associated with COVID-19 Vaccine Hesitancy
Abstract
:1. Introduction
2. Methods
2.1. Study Design
2.2. Outcome
2.3. Independent Variables
2.4. Statistical Analysis
3. Results
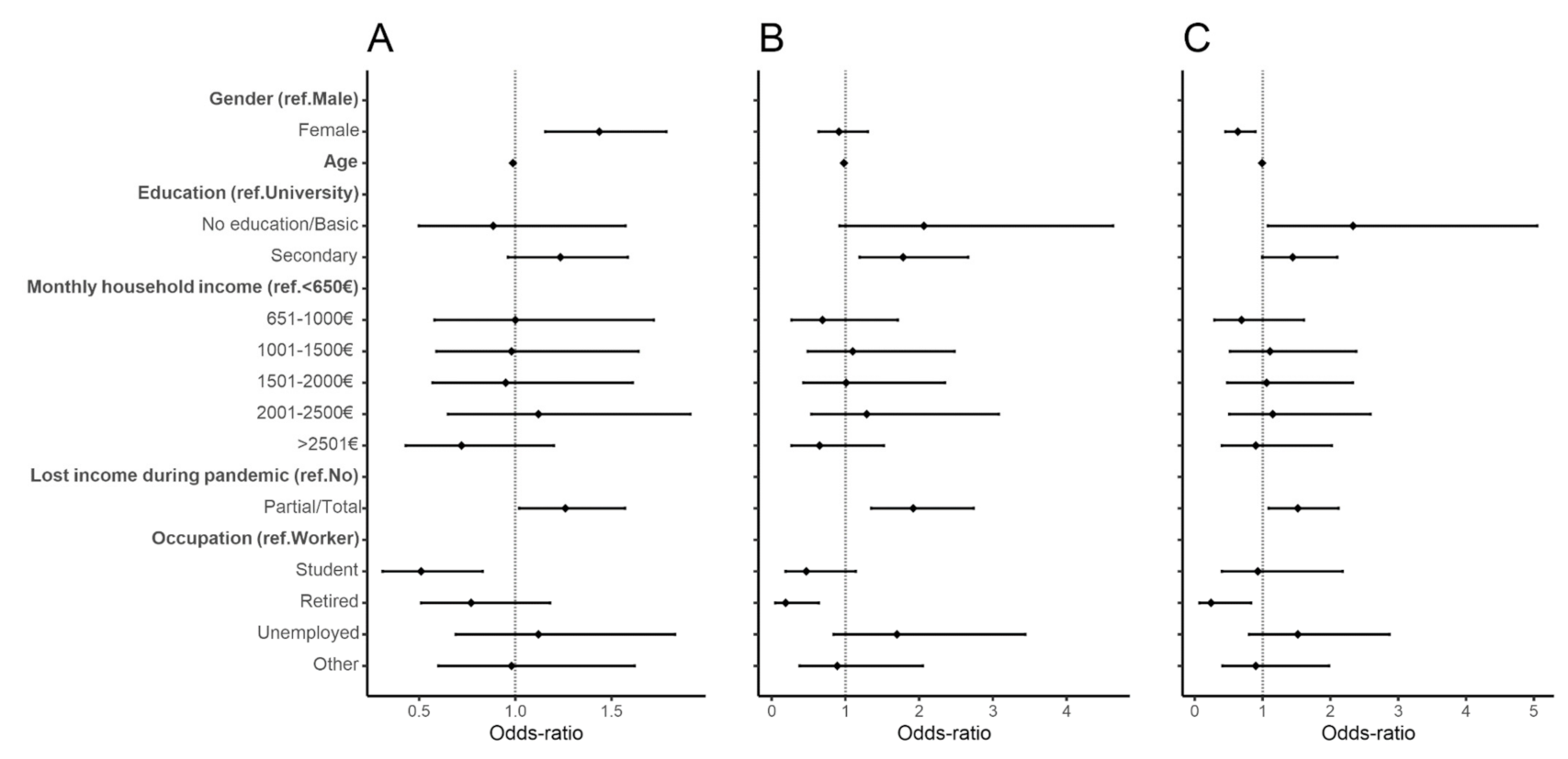
3.1. Determinants of Vaccine Hesitancy: Contextual Influences
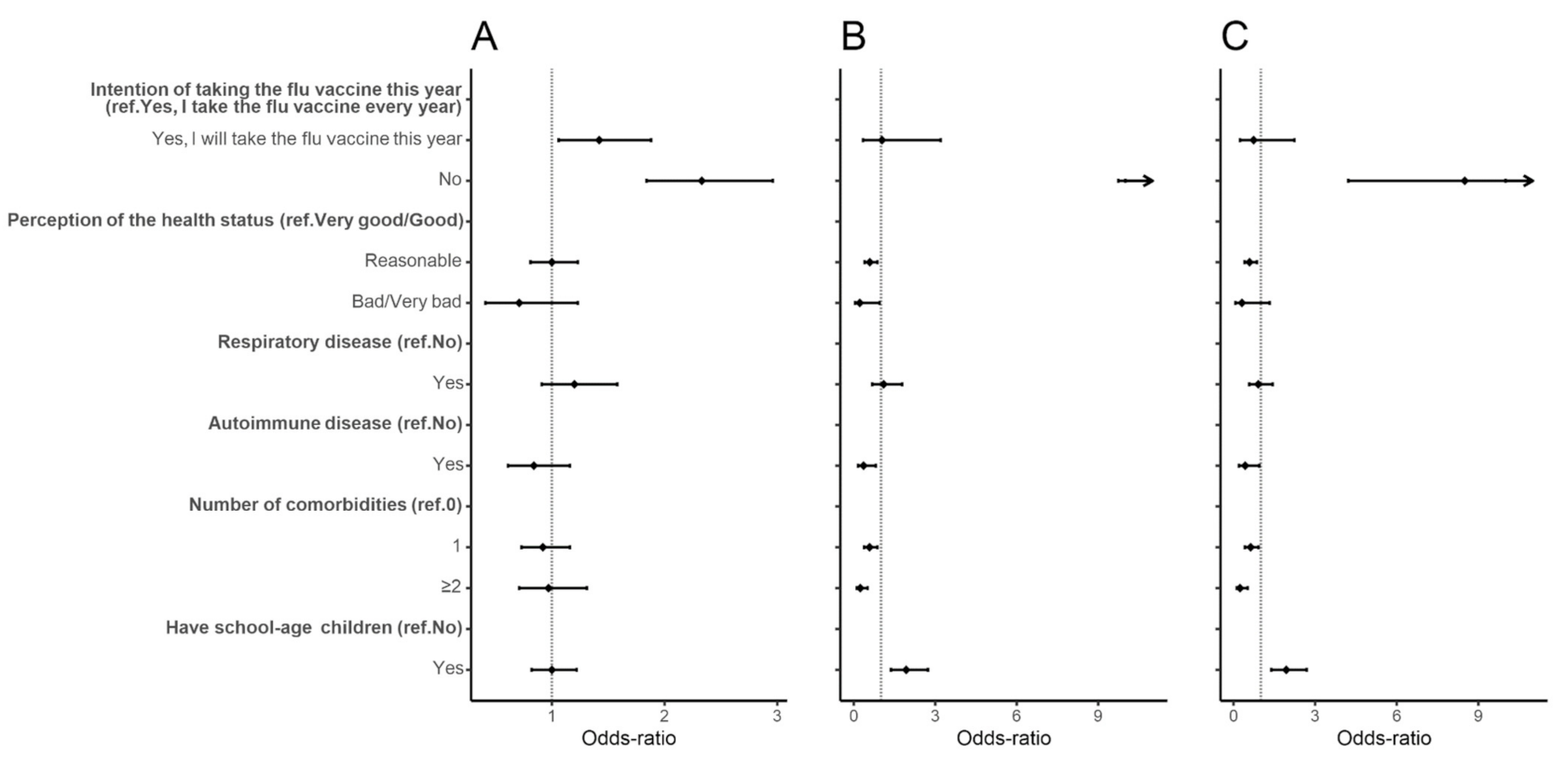
3.2. Determinants of Vaccine Hesitancy: Individual and Group Influences
3.3. Determinants of Vaccine Hesitancy: COVID-19 Influences
3.4. Determinants of Vaccine Hesitancy: COVID-19 Vaccine Influences
4. Discussion
Supplementary Materials
Author Contributions
Funding
Institutional Review Board Statement
Informed Consent Statement
Data Availability Statement
Acknowledgments
Conflicts of Interest
References
- European Centre for Disease Prevention and Control (ECDC). COVID-19 Situation Update Worldwide, as of Week 1 2021. 2021. Available online: https://www.ecdc.europa.eu/en/geographical-distribution-2019-ncov-cases (accessed on 19 January 2021).
- MacDonald, N.E.; Eskola, J.; Liang, X.; Chaudhuri, M.; Dube, E.; Gellin, B. Vaccine hesitancy: Definition, scope and determinants. Vaccine 2015, 33, 4161–4164. [Google Scholar] [CrossRef] [PubMed]
- World Health Organization (WHO). Ten Threats to Global Health in 2019. 2019. Available online: https://www.who.int/news-room/spotlight/ten-threats-to-global-health-in-2019 (accessed on 20 December 2020).
- De Figueiredo, A.; Simas, C.; Karafillakis, E.; Paterson, P.; Larson, H.J. Mapping global trends in vaccine confidence and investigating barriers to vaccine uptake: A large-scale retrospective temporal modelling study. Lancet 2020, 396, 898–908. [Google Scholar] [CrossRef]
- Wang, J.; Jing, R.; Lai, X.; Zhang, H.; Lyu, Y.; Knoll, M.D. Acceptance of covid-19 vaccination during the covid-19 pandemic in china. Vaccines 2020, 8, 482. [Google Scholar] [CrossRef]
- Harapan, H.; Wagner, A.L.; Yufika, A.; Winardi, W.; Anwar, S.; Gan, A.K.; Setiawan, A.M.; Rajamoorthy, Y.; Sofyan, H.; Mudatsir, M. Acceptance of a COVID-19 Vaccine in Southeast Asia: A Cross-Sectional Study in Indonesia. Front. Public Health 2020, 8, 1–8. [Google Scholar] [CrossRef]
- Biasio, L.R.; Bonaccorsi, G.; Lorini, C.; Pecorelli, S. Assessing COVID-19 vaccine literacy: A preliminary online survey. Hum. Vaccines Immunother. 2020, 1–9. [Google Scholar] [CrossRef]
- Murphy, J.; Vallières, F.; Bentall, R.P.; Shevlin, M.; Mcbride, O.; Hartman, T.K.; McKay, R.; Bennett, K.; Mason, L.; Gibson-Miller, J.; et al. Psychological characteristics associated with COVID-19 vaccine hesitancy and resistance in Ireland and the United Kingdom. Nat. Commun. 2021, 12, 1–15. [Google Scholar] [CrossRef] [PubMed]
- Yoda, T.; Katsuyama, H. Willingness to Receive COVID-19 Vaccination in Japan. Vaccines 2021, 9, 48. [Google Scholar] [CrossRef] [PubMed]
- Williams, L.; Flowers, P.; Mcleod, J.; Young, D.; Rollins, L. The Catalyst Project Team. Social Patterning and Stability of Intention to Accept a COVID-19 Vaccine in Scotland: Will Those Most at Risk Accept a Vaccine? Vaccines 2021, 9, 17. [Google Scholar] [CrossRef]
- Fisher, K.A.; Bloomstone, S.J.; Walder, J.; Crawford, S.; Fouayzi, H.; Mazor, K.M. Attitudes Toward a Potential SARS-CoV-2 Vaccine: A Survey of U.S. Adults. Ann. Intern. Med. 2020, 173, 964–973. [Google Scholar] [CrossRef]
- Reiter, P.L.; Pennell, M.L.; Katz, M.L. Acceptability of a COVID-19 vaccine among adults in the United States: How many people would get vaccinated? Vaccine 2020, 38, 6500–6507. [Google Scholar] [CrossRef]
- Head, K.J.; Kasting, M.L.; Sturm, L.A.; Hartsock, J.A.; Zimet, G.D. A National Survey Assessing SARS-CoV-2 Vaccination Intentions: Implications for Future Public Health Communication Efforts. Sci. Commun. 2020, 42, 698–723. [Google Scholar] [CrossRef]
- Mercadante, A.R.; Law, A.V. Will They, or Won’t They? Examining Patients’ Vaccine Intention for Flu and COVID-19 using the Health Belief Model. Res. Soc. Adm. Pharm. 2020. [Google Scholar] [CrossRef] [PubMed]
- Khubchandani, J.; Sharma, S.; Price, J.H.; Wiblishauser, M.J.; Sharma, M.; Webb, F.J. COVID-19 Vaccination Hesitancy in the United States: A Rapid National Assessment. J. Community Health 2021. [Google Scholar] [CrossRef] [PubMed]
- Lin, Y.; Hu, Z.; Zhao, Q.; Alias, H.; Danaee, M.; Wong, L.P. Understanding COVID-19 vaccine demand and hesitancy: A nationwide online survey in China. PLoS Negl. Trop. Dis. 2020, 14, e0008961. [Google Scholar] [CrossRef] [PubMed]
- Neumann-Böhme, S.; Varghese, N.E.; Sabat, I.; Barros, P.P.; Brouwer, W.; van Exel, J. Once we have it, will we use it? A European survey on willingness to be vaccinated against COVID-19. Eur. J. Heal Econ. 2020, 21, 977–982. [Google Scholar] [CrossRef] [PubMed]
- Sallam, M.; Dababseh, D.; Eid, H.; Al-mahzoum, K.; Al-haidar, A.; Taim, D. High Rates of COVID-19 Vaccine Hesitancy and Its Association with Conspiracy Beliefs: A Study in Jordan and Kuwait among Other Arab Countries. Vaccines. 2021, 19, 1–16. [Google Scholar]
- Lazarus, J.V.; Ratzan, S.C.; Palayew, A.; Gostin, L.O.; Larson, H.J.; Rabin, K.; Kimball, S.; El-Mohandes, A. A global survey of potential acceptance of a COVID-19 vaccine. Nat. Med. 2020. [Google Scholar] [CrossRef]
- Lin, C.; Tu, P.; Beitsch, L.M. Confidence and Receptivity for COVID-19 Vaccines: A Rapid Systematic Review. Vaccines. 2021, 9, 1–41. [Google Scholar]
- Direção-Geral da Saúde (DGS). Avaliação Programa Nacional de Vacinação. 2020. Available online: https://www.dgs.pt/paginas-de-sistema/saude-de-a-a-z/programa-nacional-de-vacinacao/avaliacao-pnv.aspx (accessed on 15 December 2020).
- Rechel, B.; Priaulx, J.; Richardson, E.; McKee, M. The organization and delivery of vaccination services in the European Union. Eur. J. Public Health 2019, 29 (Suppl. 4), 375. [Google Scholar] [CrossRef]
- European Centre for Disease Prevention and Control (ECDC). Key Aspects Regarding the Introduction and Prioritisation of COVID-19 Vaccination in the EU/EEA and the UK. 2020. Available online: https://www.ecdc.europa.eu/en/publications-data/key-aspects-regarding-introduction-and-prioritisation-covid-19-vaccination (accessed on 20 December 2020).
- Laires, P.A.; Dias, S.; Gama, A.; Moniz, A.M.; Pedro, A.R.; Soares, P. The Association of Chronic Diseases with COVID-19 Outcomes and its Role on Risk Perception: Nationwide COVID-19 Database & Online Community-Based Survey (Preprint). JMIR Public Heal Surveill. 2020, 7, 1–12. [Google Scholar]
- Portuguesa, R. Vacinação COVID19 FAQ’s. A Resposta de Portugal à COVID-19. 2020. Available online: https://covid19estamoson.gov.pt/vacinacao-faqs/ (accessed on 15 March 2021).
- Pfizer. Pfizer And Biontech Announce Vaccine Candidate against Covid-19 Achieved Success in First Interim Analysis from Phase 3 Study. 2020. Available online: https://www.pfizer.com/news/press-release/press-release-detail/pfizer-and-biontech-announce-vaccine-candidate-against (accessed on 27 November 2020).
- Moderna. Moderna’s COVID-19 Vaccine Candidate Meets its Primary Efficacy Endpoint in the First Interim Analysis of the Phase 3 COVE Study. 2020. Available online: https://investors.modernatx.com/news-releases/news-release-details/modernas-covid-19-vaccine-candidate-meets-its-primary-efficacy (accessed on 27 November 2020).
- Core, R.; Rdct, R.; Team, R.; Team, R. A Language and Environment for Statistical Computing; R Foundation for Statistical Computing: Vienna, Austria, 2020; Available online: https://www.r-project.org/ (accessed on 27 November 2020).
- Venables, W.N.; Ripley, B.D. Modern Applied Statistics with S, 4th ed.; Springer: New York, NY, USA, 2002; Available online: http://www.stats.ox.ac.uk/pub/MASS4 (accessed on 27 November 2020).
- Wickham, H. ggplot2: Elegant Graphics for Data Analysis. 2016. Available online: https://ggplot2.tidyverse.org (accessed on 27 November 2020).
- Robinson, E.; Jones, A.; Lesser, I.; Daly, M. International estimates of intended uptake and refusal of COVID-19 vaccines: A rapid systematic review and meta-analysis of large nationally representative samples. Vaccine 2021. [Google Scholar] [CrossRef] [PubMed]
- Pichon, M.; Gaymard, A.; Zamolo, H.; Bazire, C.; Valette, M.; Sarkozy, F.; Lina, B. Web-based analysis of adherence to influenza vaccination among French healthcare workers. J. Clin. Virol. 2019, 116, 29–33. [Google Scholar] [CrossRef] [PubMed]
- Hagemeister, M.H.; Stock, N.K.; Ludwig, T.; Heuschmann, P.; Vogel, U. Self-reported influenza vaccination rates and attitudes towards vaccination among health care workers: Results of a survey in a German university hospital. Public Health 2018, 154, 102–109. [Google Scholar] [CrossRef] [PubMed]
- Instituto Nacional de Estatística. Inquérito Nacional de Saúde: 2014. 2016. Available online: https://www.ine.pt/xurl/pub/263714091 (accessed on 15 January 2021).
- Comission, E. A United Front to Beat COVID-19. Brussels; 2021. Available online: https://ec.europa.eu/info/sites/info/files/communication-united-front-beat-covid-19_en.pdf (accessed on 5 March 2021).
- Randolph, H.E.; Barreiro, L.B. Herd Immunity: Understanding COVID-19. Immunity 2020, 52, 737–741. [Google Scholar] [CrossRef] [PubMed]



| Determinants of Vaccine Hesitancy | Variables |
|---|---|
| Contextual influences | Gender |
| Age | |
| Education | |
| Monthly household income | |
| Partial or total income loss during the pandemic | |
| Occupation | |
| Individual and group influences | Intention to take the flu vaccine |
| Perception of the health status | |
| Number of comorbidities | |
| Self-reported diabetes | |
| Self-reported respiratory disease | |
| Self-reported autoimmune disease | |
| Having school-age children | |
| COVID-19 disease-specific | Confidence in the capacity of health services to respond to the pandemic |
| View on the information provided by health authorities | |
| Perception of the adequacy of measures implemented by the government | |
| Self-perceived risk to get COVID-19 infection | |
| Self-perceived risk to develop severe disease following COVID-19 infection | |
| Frequency of agitation, sadness, or anxiety due to the physical distancing measures | |
| COVID-19 vaccine-specific | Confidence in the efficacy and safety of COVID-19 vaccines being developed |
| Period of the questionnaire |
| Yes (n = 686) | Wait (n = 1079) | No (n = 178) | |
|---|---|---|---|
| Contextual influences | |||
| Gender (n = 1935) | |||
| Male | 220 (32.3%) | 274 (25.5%) | 65 (36.5%) |
| Female | 462 (67.7%) | 801 (74.5%) | 113 (63.5%) |
| Age (in years) (n = 1943) | |||
| Mean (SD) | 47.7 (13.0) | 45.4 (12.1) | 44.9 (10.2) |
| Education (n = 1939) | |||
| No education/Basic education | 24 (3.50%) | 28 (2.60%) | 10 (5.62%) |
| Secondary | 129 (18.8%) | 224 (20.8%) | 47 (26.4%) |
| University | 533 (77.7%) | 823 (76.6%) | 121 (68.0%) |
| Monthly household income (n = 1766) | |||
| <650 € | 30 (4.73%) | 58 (5.88%) | 11 (7.59%) |
| 651–1000 € | 69 (10.9%) | 134 (13.6%) | 15 (10.3%) |
| 1001–1500 € | 136 (21.5%) | 225 (22.8%) | 37 (25.5%) |
| 1501–2000 € | 107 (16.9%) | 175 (17.7%) | 27 (18.6%) |
| 2001–2500 € | 85 (13.4%) | 163 (16.5%) | 25 (17.2%) |
| >2501 € | 207 (32.6%) | 232 (23.5%) | 30 (20.7%) |
| Lost of income due to the pandemic (n = 1913) | |||
| No | 491 (72.4%) | 708 (66.7%) | 98 (56.3%) |
| Partial/Total | 187 (27.6%) | 353 (33.3%) | 76 (43.7%) |
| Occupation (n = 1943) | |||
| Worker | 519 (75.7%) | 865 (80.2%) | 145 (81.5%) |
| Student | 40 (5.83%) | 51 (4.73%) | 8 (4.49%) |
| Retired | 27 (3.94%) | 48 (4.45%) | 8 (4.49%) |
| Unemployed | 73 (10.6%) | 63 (5.84%) | 3 (1.69%) |
| Other | 27 (3.94%) | 52 (4.82%) | 14 (7.87%) |
| Individual and group influences | |||
| Intention of taking the flu vaccine this year (n = 1924) | |||
| Yes, I take the flu vaccine every year | 272 (40.1%) | 255 (23.9%) | 9 (5.06%) |
| Yes, I will take the flu vaccine this year | 136 (20.0%) | 201 (18.8%) | 5 (2.81%) |
| No | 271 (39.9%) | 611 (57.3%) | 164 (92.1%) |
| Perception of the health status (n = 1941) | |||
| Very good/Good | 393 (57.3%) | 642 (59.6%) | 127 (71.8%) |
| Reasonable | 263 (38.3%) | 408 (37.8%) | 48 (27.1%) |
| Bad/Very bad | 30 (4.37%) | 28 (2.60%) | 2 (1.13%) |
| Respiratory disease (n = 1893) | |||
| No | 571 (85.1%) | 872 (83.0%) | 145 (84.8%) |
| Yes | 100 (14.9%) | 179 (17.0%) | 26 (15.2%) |
| Autoimmune disease (n = 1893) | |||
| No | 593 (88.4%) | 945 (89.9%) | 164 (95.9%) |
| Yes | 78 (11.6%) | 106 (10.1%) | 7 (4.09%) |
| Number of comorbidities (n = 1893) | |||
| 0 | 350 (52.2%) | 587 (55.9%) | 120 (70.2%) |
| 1 | 218 (32.5%) | 317 (30.2%) | 43 (25.1%) |
| ≥2 | 103 (15.4%) | 147 (14.0%) | 8 (4.68%) |
| Have school-age children (n = 1937) | |||
| No | 409 (59.7%) | 633 (58.8%) | 76 (43.2%) |
| Yes | 276 (40.3%) | 443 (41.2%) | 100 (56.8%) |
| COVID-19 influences | |||
| Confidence in the capacity of health services to respond to the pandemic (n = 1926) | |||
| Very confident | 64 (9.38%) | 70 (6.52%) | 17 (9.94%) |
| Confident | 420 (61.6%) | 609 (56.8%) | 53 (31.0%) |
| Not very confident | 174 (25.5%) | 347 (32.3%) | 46 (26.9%) |
| Not confident | 24 (3.52%) | 47 (4.38%) | 55 (32.2%) |
| View on the information provided by health authorities (n = 1401) | |||
| Clear and understandable | 334 (61.9%) | 417 (53.4%) | 18 (22.5%) |
| Unclear and confusing | 99 (18.3%) | 153 (19.6%) | 12 (15.0%) |
| Inconsistent and contradictory | 107 (19.8%) | 211 (27.0%) | 50 (62.5%) |
| Perception of the adequacy of measures implemented by the government (n = 1907) | |||
| Very adequate | 39 (5.77%) | 30 (2.84%) | 2 (1.14%) |
| Adequate | 386 (57.1%) | 540 (51.2%) | 25 (14.2%) |
| Not very adequate | 228 (33.7%) | 433 (41.0%) | 67 (38.1%) |
| Not adequate | 23 (3.40%) | 52 (4.93%) | 82 (46.6%) |
| Self-perceived risk to get COVID-19 infection (n = 1942) | |||
| High | 133 (19.4%) | 234 (21.7%) | 42 (23.6%) |
| Moderate | 392 (57.2%) | 582 (53.9%) | 67 (37.6%) |
| Low/No risk | 132 (19.3%) | 215 (19.9%) | 66 (37.1%) |
| Not sure | 28 (4.09%) | 48 (4.45%) | 3 (1.69%) |
| Self-perceived risk to develop severe disease following COVID-19 infection (n = 1940) | |||
| High | 156 (22.8%) | 184 (17.1%) | 13 (7.30%) |
| Moderate | 242 (35.3%) | 382 (35.5%) | 33 (18.5%) |
| Low/No risk | 229 (33.4%) | 390 (36.2%) | 126 (70.8%) |
| Not sure | 58 (8.47%) | 121 (11.2%) | 6 (3.37%) |
| Frequency of agitation, sadness, or anxiety due to the physical distancing measures (n = 1936) | |||
| Never | 121 (17.6%) | 214 (19.9%) | 39 (22.3%) |
| Some days | 1094 (56.5%) | 409 (59.6%) | 612 (56.9%) |
| Almost every day | 319 (16.5%) | 110 (16.0%) | 175 (16.3%) |
| Every day | 149 (7.70%) | 46 (6.71%) | 74 (6.88%) |
| COVID-19 vaccine-related influences | |||
| Confidence in the COVID-19 vaccines that are being developed (n = 1911) | |||
| Very confident | 191 (28.0%) | 26 (2.47%) | 0 (0.00%) |
| Confident | 424 (62.1%) | 453 (43.0%) | 12 (6.86%) |
| Not very confident | 61 (8.93%) | 493 (46.8%) | 31 (17.7%) |
| Not confident | 7 (1.02%) | 81 (7.69%) | 132 (75.4%) |
| Time (n = 1943) | |||
| Before | 414 (60.3%) | 463 (42.9%) | 43 (24.2%) |
| After | 272 (39.7%) | 616 (57.1%) | 135 (75.8%) |
Publisher’s Note: MDPI stays neutral with regard to jurisdictional claims in published maps and institutional affiliations. |
© 2021 by the authors. Licensee MDPI, Basel, Switzerland. This article is an open access article distributed under the terms and conditions of the Creative Commons Attribution (CC BY) license (http://creativecommons.org/licenses/by/4.0/).
Share and Cite
Soares, P.; Rocha, J.V.; Moniz, M.; Gama, A.; Laires, P.A.; Pedro, A.R.; Dias, S.; Leite, A.; Nunes, C. Factors Associated with COVID-19 Vaccine Hesitancy. Vaccines 2021, 9, 300. https://doi.org/10.3390/vaccines9030300
Soares P, Rocha JV, Moniz M, Gama A, Laires PA, Pedro AR, Dias S, Leite A, Nunes C. Factors Associated with COVID-19 Vaccine Hesitancy. Vaccines. 2021; 9(3):300. https://doi.org/10.3390/vaccines9030300
Chicago/Turabian StyleSoares, Patricia, João Victor Rocha, Marta Moniz, Ana Gama, Pedro Almeida Laires, Ana Rita Pedro, Sónia Dias, Andreia Leite, and Carla Nunes. 2021. "Factors Associated with COVID-19 Vaccine Hesitancy" Vaccines 9, no. 3: 300. https://doi.org/10.3390/vaccines9030300
APA StyleSoares, P., Rocha, J. V., Moniz, M., Gama, A., Laires, P. A., Pedro, A. R., Dias, S., Leite, A., & Nunes, C. (2021). Factors Associated with COVID-19 Vaccine Hesitancy. Vaccines, 9(3), 300. https://doi.org/10.3390/vaccines9030300

