Research on the Effects of Drying Temperature for the Detection of Soil Nitrogen by Near-Infrared Spectroscopy
Abstract
:1. Introduction
2. Results
2.1. Soil Original NIR Spectral Characterization
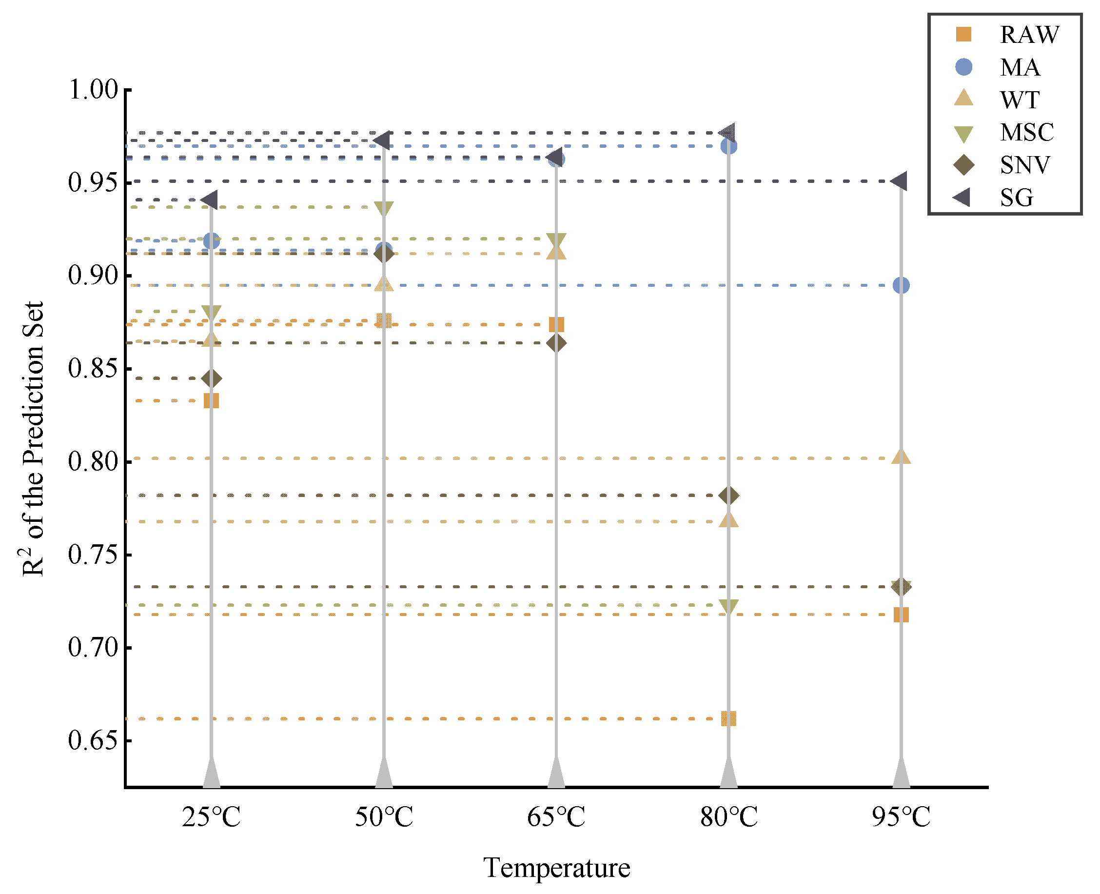
2.2. Full-Band Data Analysis
2.3. Feature Wavelength Selection
2.4. Prediction Model and Analysis of Soil Nitrogen Content under Different Drying Temperatures
2.4.1. Partial Least Squares Modeling
2.4.2. Prediction Model of Soil Nitrogen Content Based on Support Vector Machine
2.4.3. Prediction Model of Soil Nitrogen Content Based on Artificial Neural Network
3. Discussion
3.1. Comparison of the Three Modeling Methods
3.2. Correlation Analysis of Soil-Drying Temperature and Model Accuracy
4. Materials and Methods
4.1. Experiment Design
4.2. Spectrum Measurements
4.3. Spectral Analysis
4.4. Feature Band Selection Methods
4.4.1. Random Forest Feature Selection Algorithm
4.4.2. Competitive Adaptive Reweighted Sampling Algorithm
4.4.3. Successive Projections Algorithm
4.5. Model Evaluation Index
5. Conclusions
- (1)
- The analysis of soil reflectance spectral characteristics showed that the whole soil spectral curve shifted along the vertical direction with the change of drying temperature, which indicated that the varying of temperature and nitrate–nitrogen content of the drying soil would lead to a change in soil NIR reflectance. However, the spectral curved near 1400 nm at each drying temperature exhibited a very clear downward trend, indicating that hydrogen-containing groups of nitrogen, such as N-H, have stronger absorption in this band.
- (2)
- PLS, SVM, and ANN regression models for predicting the soil nitrate–nitrogen content were developed using three feature selection algorithms, RFFS, CARS, and SPA, respectively. The results revealed that the PLS and SVM models could better estimate the soil nitrate–nitrogen concentration, but the accuracy and stability were inferior to that of the ANN model. Therefore, the authors concluded that they were not applicable to this study. The best accuracy of both the SPA-based ANN model and the highest correlation coefficient was reached at a drying temperature of 80 °C, indicating that the accuracy of ANN modeling based on deep learning was greatly improved and had a great advantage in predicting soil nitrate–nitrogen content in real-time.
- (3)
- The soil-drying temperature has a significant effect on the detection of soil nitrate–nitrogen in NIR. As the drying temperature increased, the accuracy became better, while the accuracy dropped after the temperature reached 80 °C −95 °C, illustrating that high drying temperatures were not conducive to the NIR detection of soil nitrate–nitrogen. In summary, the selection of a suitable drying temperature was of great relevance to improve the accuracy of NIR detection of soil nitrogen. In future research, it may be possible to explore additional preprocessing algorithms and feature selection methods, as well as to investigate the effect of drying time in addition to temperature.
Author Contributions
Funding
Institutional Review Board Statement
Informed Consent Statement
Data Availability Statement
Conflicts of Interest
Sample Availability
References
- Potdar, R.P.; Shirolkar, M.M.; Verma, A.J.; More, P.S.; Kulkarni, A. Determination of soil nutrients (NPK) using optical methods: A mini review. J. Plant Nutr. 2021, 44, 1826–1839. [Google Scholar] [CrossRef]
- Liu, J.; Cai, H.; Chen, S.; Pi, J.; Zhao, L. A Review on Soil Nitrogen Sensing Technologies: Challenges, Progress and Perspectives. Agriculture 2023, 13, 743. [Google Scholar] [CrossRef]
- Ma, X.; Bifano, L.; Fischerauer, G. Evaluation of Electrical Impedance Spectra by Long Short-Term Memory to Estimate Nitrate Concentrations in Soil. Sensors 2023, 23, 2172. [Google Scholar] [CrossRef] [PubMed]
- Ward, M.; Jones, R.; Brender, J.; De Kok, T.; Weyer, P.; Nolan, B.; Villanueva, C.; Van Breda, S. Drinking Water Nitrate and Human Health: An Updated Review. Int. J. Environ. Res. Public Health 2018, 15, 1557. [Google Scholar] [CrossRef] [PubMed]
- Su, R.; Wu, J.; Hu, J.; Ma, L.; Ahmed, S.; Zhang, Y.; Abdulraheem, M.I.; Birech, Z.; Li, L.; Li, C.; et al. Minimalizing Non-Point Source Pollution Using a Cooperative Ion-Selective Electrode System for Estimating Nitrate Nitrogen in Soil. Front. Plant Sci. 2022, 12, 810214. [Google Scholar] [CrossRef] [PubMed]
- Yu, J.; Yin, X.; Raper, T.B.; Jagadamma, S.; Chi, D. Nitrogen Consumption and Productivity of Cotton under Sensor-based Variable-rate Nitrogen Fertilization. Agron. J. 2019, 111, 3320–3328. [Google Scholar] [CrossRef]
- Qi, J.; Tian, X.; Li, Y.; Fan, X.; Yuan, H.; Zhao, J.; Jia, H. Design and Experiment of a Subsoiling Variable Rate Fertilization Machine. Int. J. Agric. Biol. Eng. 2020, 13, 118–124. [Google Scholar] [CrossRef]
- Nogueira Martins, R.; Magalhães Valente, D.S.; Fim Rosas, J.T.; Souza Santos, F.; Lima Dos Santos, F.F.; Nascimento, M.; Campana Nascimento, A.C. Site-Specific Nutrient Management Zones in Soybean Field Using Multivariate Analysis: An Approach Based on Variable Rate Fertilization. Commun. Soil Sci. Plant Anal. 2020, 51, 687–700. [Google Scholar] [CrossRef]
- Mouazen, A.M.; Kuang, B. On-Line Visible and near Infrared Spectroscopy for in-Field Phosphorous Management. Soil Tillage Res. 2016, 155, 471–477. [Google Scholar] [CrossRef]
- Xiao, S.; He, Y. Application of Near-Infrared Spectroscopy and Multiple Spectral Algorithms to Explore the Effect of Soil Particle Sizes on Soil Nitrogen Detection. Molecules 2019, 24, 2486. [Google Scholar] [CrossRef]
- Xu, S.; Wang, M.; Shi, X.; Yu, Q.; Zhang, Z. Integrating Hyperspectral Imaging with Machine Learning Techniques for the High-Resolution Mapping of Soil Nitrogen Fractions in Soil Profiles. Sci. Total Environ. 2021, 754, 142135. [Google Scholar] [CrossRef]
- Zhang, Y.; Li, M.; Zheng, L.; Qin, Q.; Lee, W.S. Spectral Features Extraction for Estimation of Soil Total Nitrogen Content Based on Modified Ant Colony Optimization Algorithm. Geoderma 2019, 333, 23–34. [Google Scholar] [CrossRef]
- Nocita, M.; Stevens, A.; Noon, C.; Van Wesemael, B. Prediction of Soil Organic Carbon for Different Levels of Soil Moisture Using Vis-NIR Spectroscopy. Geoderma 2013, 199, 37–42. [Google Scholar] [CrossRef]
- Sorenson, P.T.; Quideau, S.A.; Rivard, B. High Resolution Measurement of Soil Organic Carbon and Total Nitrogen with Laboratory Imaging Spectroscopy. Geoderma 2018, 315, 170–177. [Google Scholar] [CrossRef]
- Wang, Y.; Cui, B.; Zhou, Y.; Sun, X. Advances in monitoring soil nutrients by near infrared spectroscopy. In Computer and Computing Technologies in Agriculture XI; Li, D., Zhao, C., Eds.; IFIP Advances in Information and Communication Technology; Springer International Publishing: Cham, Switzerland, 2019; Volume 546, pp. 94–99. ISBN 978-3-030-06178-4. [Google Scholar]
- Li, M. Spectral Analysis Technique and Its Application, 1st ed.; Science Press: Beijing, China, 2006. [Google Scholar]
- Debaene, G.; Niedźwiecki, J.; Pecio, A.; Żurek, A. Effect of the Number of Calibration Samples on the Prediction of Several Soil Properties at the Farm-Scale. Geoderma 2014, 214–215, 114–125. [Google Scholar] [CrossRef]
- Wang, Y.; Li, M.; Ji, R.; Wang, M.; Zheng, L. A Deep Learning-Based Method for Screening Soil Total Nitrogen Characteristic Wavelengths. Comput. Electron. Agric. 2021, 187, 106228. [Google Scholar] [CrossRef]
- Xiao, S.; He, Y.; Dong, T.; Nie, P. Spectral Analysis and Sensitive Waveband Determination Based on Nitrogen Detection of Different Soil Types Using Near Infrared Sensors. Sensors 2018, 18, 523. [Google Scholar] [CrossRef]
- Wang, Q.; Zhang, H.; Li, F.; Gu, C.; Qiao, Y.; Huang, S. Assessment of Calibration Methods for Nitrogen Estimation in Wet and Dry Soil Samples with Different Wavelength Ranges Using Near-Infrared Spectroscopy. Comput. Electron. Agric. 2021, 186, 106181. [Google Scholar] [CrossRef]
- He, Y.; Xiao, S.; Nie, P.; Dong, T.; Qu, F.; Lin, L. Research on the Optimum Water Content of Detecting Soil Nitrogen Using Near Infrared Sensor. Sensors 2017, 17, 2045. [Google Scholar] [CrossRef]
- An, X.; Li, M.; Zheng, L.; Sun, H. Eliminating the Interference of Soil Moisture and Particle Size on Predicting Soil Total Nitrogen Content Using a NIRS-Based Portable Detector. Comput. Electron. Agric. 2015, 112, 47–53. [Google Scholar] [CrossRef]
- Zhou, P.; Yang, W.; Li, M.; Wang, W. A New Coupled Elimination Method of Soil Moisture and Particle Size Interferences on Predicting Soil Total Nitrogen Concentration through Discrete NIR Spectral Band Data. Remote Sens. 2021, 13, 762. [Google Scholar] [CrossRef]
- Nie, P.; Dong, T.; He, Y.; Xiao, S.; Qu, F.; Lin, L. The Effects of Drying Temperature on Nitrogen Concentration Detection in Calcium Soil Studied by NIR Spectroscopy. Appl. Sci. 2018, 8, 269. [Google Scholar] [CrossRef]
- Cartes, P.; Jara, A.A.; Demanet, R.; Mora, M.D.L.L. Urease Activity and Nitrogen Mineralization Kinetics as Affected by Temperature and Urea Input Rate in Southern Chilean Andisols. Rev. Cienc. Suelo Nutr. Veg. 2009, 9, 69–82. [Google Scholar] [CrossRef]
- Fystro, G. The Prediction of C and N Content and Their Potential Mineralisation in Heterogeneous Soil Samples Using Vis–NIR Spectroscopy and Comparative Methods. Plant Soil 2002, 246, 139–149. [Google Scholar] [CrossRef]
- Stenberg, B. Effects of Soil Sample Pretreatments and Standardised Rewetting as Interacted with Sand Classes on Vis-NIR Predictions of Clay and Soil Organic Carbon. Geoderma 2010, 158, 15–22. [Google Scholar] [CrossRef]
- Nie, P.; Dong, T.; He, Y.; Xiao, S. Research on the Effects of Drying Temperature on Nitrogen Detection of Different Soil Types by Near Infrared Sensors. Sensors 2018, 18, 391. [Google Scholar] [CrossRef]
- Nie, P.; Dong, T.; He, Y.; Qu, F. Detection of Soil Nitrogen Using Near Infrared Sensors Based on Soil Pretreatment and Algorithms. Sensors 2017, 17, 1102. [Google Scholar] [CrossRef]
- Wang, Y.; Li, M.; Ji, R.; Wang, M.; Zheng, L. Comparison of Soil Total Nitrogen Content Prediction Models Based on Vis-NIR Spectroscopy. Sensors 2020, 20, 7078. [Google Scholar] [CrossRef]
- Solihat, N.N.; Son, S.; Williams, E.K.; Ricker, M.C.; Plante, A.F.; Kim, S. Assessment of Artificial Neural Network to Identify Compositional Differences in Ultrahigh-Resolution Mass Spectra Acquired from Coal Mine Affected Soils. Talanta 2022, 248, 123623. [Google Scholar] [CrossRef]
- Feng, Y.; Cui, N.; Hao, W.; Gao, L.; Gong, D. Estimation of Soil Temperature from Meteorological Data Using Different Machine Learning Models. Geoderma 2019, 338, 67–77. [Google Scholar] [CrossRef]
- Dhar, N.R. Improvement of the Nitrogen Status of Soils and the Origin of Soil Nitrogen. Nature 1943, 151, 590–592. [Google Scholar] [CrossRef]
- Dettmann, U.; Kraft, N.N.; Rech, R.; Heidkamp, A.; Tiemeyer, B. Analysis of Peat Soil Organic Carbon, Total Nitrogen, Soil Water Content and Basal Respiration: Is There a ‘Best’ Drying Temperature? Geoderma 2021, 403, 115231. [Google Scholar] [CrossRef]
- Wang, W.; Yang, W.; Zhou, P.; Cui, Y.; Wang, D.; Li, M. Development and Performance Test of a Vehicle-Mounted Total Nitrogen Content Prediction System Based on the Fusion of near-Infrared Spectroscopy and Image Information. Comput. Electron. Agric. 2022, 192, 106613. [Google Scholar] [CrossRef]
- Mouazen, A.M.; De Baerdemaeker, J.; Ramon, H. Towards Development of On-Line Soil Moisture Content Sensor Using a Fibre-Type NIR Spectrophotometer. Soil Tillage Res. 2005, 80, 171–183. [Google Scholar] [CrossRef]
- Zhang, Z.; Ding, J.; Zhu, C.; Wang, J.; Ma, G.; Ge, X.; Li, Z.; Han, L. Strategies for the Efficient Estimation of Soil Organic Matter in Salt-Affected Soils through Vis-NIR Spectroscopy: Optimal Band Combination Algorithm and Spectral Degradation. Geoderma 2021, 382, 114729. [Google Scholar] [CrossRef]
- Wu, C.; Zheng, Y.; Yang, H.; Yang, Y.; Wu, Z. Effects of Different Particle Sizes on the Spectral Prediction of Soil Organic Matter. CATENA 2021, 196, 104933. [Google Scholar] [CrossRef]
- Divya, Y.; Sanjeevi, S.; Ilamparuthi, K. A Study on the Hyperspectral Signatures of Sandy Soils with Varying Texture and Water Content. Arab. J. Geosci. 2014, 7, 3537–3545. [Google Scholar] [CrossRef]
- Gorry, P.A. General Least-Squares Smoothing and Differentiation by the Convolution (Savitzky-Golay) Method. Anal. Chem. 1990, 62, 570–573. [Google Scholar] [CrossRef]
- Chen, J.; Jönsson, P.; Tamura, M.; Gu, Z.; Matsushita, B.; Eklundh, L. A Simple Method for Reconstructing a High-Quality NDVI Time-Series Data Set Based on the Savitzky–Golay Filter. Remote Sens. Environ. 2004, 91, 332–344. [Google Scholar] [CrossRef]
- Isaksson, T.; Næs, T. The Effect of Multiplicative Scatter Correction (MSC) and Linearity Improvement in NIR Spectroscopy. Appl. Spectrosc. 1988, 42, 1273–1284. [Google Scholar] [CrossRef]
- Hsu, H.-P.; Binder, K.; Paul, W. How to Define Variation of Physical Properties Normal to an Undulating One-Dimensional Object. Phys. Rev. Lett. 2009, 103, 198301. [Google Scholar] [CrossRef] [PubMed]
- Daubechies, I. The Wavelet Transform, Time-Frequency Localization and Signal Analysis. IEEE Trans. Inf. Theory 1990, 36, 961–1005. [Google Scholar] [CrossRef]
- Zhang, Y.; Li, M.; Zheng, L.; Zhao, Y.; Pei, X. Soil Nitrogen Content Forecasting Based on Real-Time NIR Spectroscopy. Comput. Electron. Agric. 2016, 124, 29–36. [Google Scholar] [CrossRef]
- Hutengs, C.; Ludwig, B.; Jung, A.; Eisele, A.; Vohland, M. Comparison of Portable and Bench-Top Spectrometers for Mid-Infrared Diffuse Reflectance Measurements of Soils. Sensors 2018, 18, 993. [Google Scholar] [CrossRef] [PubMed]
- Vohland, M.; Ludwig, M.; Thiele-Bruhn, S.; Ludwig, B. Determination of Soil Properties with Visible to Near- and Mid-Infrared Spectroscopy: Effects of Spectral Variable Selection. Geoderma 2014, 223–225, 88–96. [Google Scholar] [CrossRef]
- Breiman, L. Random Forests. Mach. Learn. 2001, 45, 5–32. [Google Scholar] [CrossRef]
- Xu, Y.; Bao, S.; Pradhan, A.K. Modeling Drivers’ Reaction When Being Tailgated: A Random Forests Method. J. Saf. Res. 2021, 78, 28–35. [Google Scholar] [CrossRef]
- Yun, Y.-H.; Wang, W.-T.; Deng, B.-C.; Lai, G.-B.; Liu, X.; Ren, D.-B.; Liang, Y.-Z.; Fan, W.; Xu, Q.-S. Using Variable Combination Population Analysis for Variable Selection in Multivariate Calibration. Anal. Chim. Acta 2015, 862, 14–23. [Google Scholar] [CrossRef]
- Krakowska, B.; Custers, D.; Deconinck, E.; Daszykowski, M. The Monte Carlo Validation Framework for the Discriminant Partial Least Squares Model Extended with Variable Selection Methods Applied to Authenticity Studies of Viagra® Based on Chromatographic Impurity Profiles. Analyst 2016, 141, 1060–1070. [Google Scholar] [CrossRef]
- Yang, H.; Kuang, B.; Mouazen, A.M. Quantitative Analysis of Soil Nitrogen and Carbon at a Farm Scale Using Visible and near Infrared Spectroscopy Coupled with Wavelength Reduction. Eur. J. Soil Sci. 2012, 63, 410–420. [Google Scholar] [CrossRef]
- Araújo, M.C.U.; Saldanha, T.C.B.; Galvão, R.K.H.; Yoneyama, T.; Chame, H.C.; Visani, V. The Successive Projections Algorithm for Variable Selection in Spectroscopic Multicomponent Analysis. Chemom. Intell. Lab. Syst. 2001, 57, 65–73. [Google Scholar] [CrossRef]
- Mouazen, A.M.; De Baerdemaeker, J.; Ramon, H. Effect of Wavelength Range on the Measurement Accuracy of Some Selected Soil Constituents Using Visual-Near Infrared Spectroscopy. J. Infrared Spectrosc. 2006, 14, 189–199. [Google Scholar] [CrossRef]









| Methods | Group | Calibration Set | Prediction Set | N | |||
|---|---|---|---|---|---|---|---|
| RMSEC (g/kg) | RMSEP (g/kg) | RPD | |||||
| RAW | 25 °C | 0.907 | 0.428 | 0.833 | 0.509 | 1.244 | 7 |
| 50 °C | 0.944 | 0.380 | 0.876 | 0.472 | 1.341 | 7 | |
| 65 °C | 0.929 | 0.402 | 0.874 | 0.474 | 1.336 | 7 | |
| 80 °C | 0.867 | 0.464 | 0.662 | 0.607 | 1.043 | 8 | |
| 95 °C | 0.877 | 0.456 | 0.718 | 0.580 | 1.091 | 9 | |
| MA | 25 °C | 0.977 | 0.308 | 0.919 | 0.425 | 1.490 | 6 |
| 50 °C | 0.954 | 0.362 | 0.914 | 0.431 | 1.468 | 5 | |
| 65 °C | 0.975 | 0.315 | 0.963 | 0.349 | 1.815 | 6 | |
| 80 °C | 0.960 | 0.351 | 0.970 | 0.331 | 1.913 | 6 | |
| 95 °C | 0.951 | 0.369 | 0.895 | 0.453 | 1.396 | 6 | |
| WT | 25 °C | 0.966 | 0.339 | 0.865 | 0.482 | 1.313 | 9 |
| 50 °C | 0.948 | 0.374 | 0.895 | 0.453 | 1.396 | 7 | |
| 65 °C | 0.979 | 0.300 | 0.912 | 0.433 | 1.461 | 9 | |
| 80 °C | 0.925 | 0.407 | 0.768 | 0.552 | 1.146 | 9 | |
| 95 °C | 0.931 | 0.400 | 0.802 | 0.531 | 1.192 | 10 | |
| MSC | 25 °C | 0.976 | 0.311 | 0.881 | 0.467 | 1.354 | 10 |
| 50 °C | 0.985 | 0.275 | 0.937 | 0.399 | 1.587 | 10 | |
| 65 °C | 0.985 | 0.276 | 0.920 | 0.423 | 1.495 | 10 | |
| 80 °C | 0.929 | 0.403 | 0.723 | 0.577 | 1.096 | 9 | |
| 95 °C | 0.932 | 0.398 | 0.733 | 0.572 | 1.107 | 10 | |
| SG | 25 °C | 0.959 | 0.353 | 0.941 | 0.392 | 1.615 | 5 |
| 50 °C | 0.976 | 0.311 | 0.973 | 0.322 | 1.967 | 6 | |
| 65 °C | 0.977 | 0.306 | 0.964 | 0.347 | 1.824 | 5 | |
| 80 °C | 0.975 | 0.312 | 0.977 | 0.309 | 2.05 | 7 | |
| 95 °C | 0.964 | 0.343 | 0.951 | 0.375 | 1.689 | 7 | |
| SNV | 25 °C | 0.944 | 0.383 | 0.845 | 0.491 | 1.245 | 8 |
| 50 °C | 0.968 | 0.336 | 0.912 | 0.426 | 1.435 | 8 | |
| 65 °C | 0.966 | 0.341 | 0.864 | 0.474 | 1.287 | 8 | |
| 80 °C | 0.959 | 0.354 | 0.782 | 0.543 | 1.164 | 10 | |
| 95 °C | 0.932 | 0.398 | 0.733 | 0.572 | 1.107 | 10 | |
| Methods | Temperature | Variable Number | Proportion |
|---|---|---|---|
| RFFS | 25 °C | 11 | 2.75% |
| 50 °C | 31 | 7.75% | |
| 65 °C | 16 | 4% | |
| 80 °C | 28 | 7% | |
| 95 °C | 16 | 4% | |
| CARS | 25 °C | 24 | 6% |
| 50 °C | 24 | 6% | |
| 65 °C | 30 | 7.5% | |
| 80 °C | 30 | 7.5% | |
| 95 °C | 33 | 8.25% | |
| SPA | 25 °C | 18 | 4.5% |
| 50 °C | 8 | 2% | |
| 65 °C | 14 | 3.5% | |
| 80 °C | 14 | 3.5% | |
| 95 °C | 12 | 3% |
| Methods | Temperature | RMSEC (g/kg) | RMSEP (g/kg) | RPD | ||
|---|---|---|---|---|---|---|
| RFFS-PLS | 25 °C | 0.847 | 0.479 | 0.868 | 0.479 | 1.320 |
| 50 °C | 0.932 | 0.401 | 0.914 | 0.423 | 1.444 | |
| 65 °C | 0.971 | 0.326 | 0.956 | 0.364 | 1.737 | |
| 80 °C | 0.976 | 0.313 | 0.957 | 0.356 | 1.716 | |
| 95 °C | 0.896 | 0.439 | 0.852 | 0.493 | 1.283 | |
| CARS-PLS | 25 °C | 0.973 | 0.320 | 0.959 | 0.358 | 1.766 |
| 50 °C | 0.983 | 0.286 | 0.975 | 0.315 | 2.088 | |
| 65 °C | 0.981 | 0.294 | 0.974 | 0.320 | 1.979 | |
| 80 °C | 0.985 | 0.278 | 0.982 | 0.292 | 2.170 | |
| 95 °C | 0.975 | 0.313 | 0.960 | 0.356 | 1.777 | |
| SPA-PLS | 25 °C | 0.972 | 0.321 | 0.952 | 0.372 | 1.700 |
| 50 °C | 0.967 | 0.335 | 0.969 | 0.334 | 1.896 | |
| 65 °C | 0.981 | 0.292 | 0.972 | 0.326 | 1.939 | |
| 80 °C | 0.984 | 0.284 | 0.975 | 0.312 | 1.959 | |
| 95 °C | 0.976 | 0.336 | 0.957 | 0.362 | 1.750 |
| Methods | Temperature | RMSEC (g/kg) | RMSEP (g/kg) | RPD | ||
|---|---|---|---|---|---|---|
| RFFS-SVM | 25 °C | 0.832 | 0.488 | 0.850 | 0.487 | 1.255 |
| 50 °C | 0.988 | 0.267 | 0.946 | 0.378 | 1.619 | |
| 65 °C | 0.970 | 0.327 | 0.951 | 0.368 | 1.663 | |
| 80 °C | 0.939 | 0.393 | 0.950 | 0.370 | 1.652 | |
| 95 °C | 0.867 | 0.463 | 0.867 | 0.472 | 1.294 | |
| CARS-SVM | 25 °C | 0.949 | 0.378 | 0.941 | 0.385 | 1.587 |
| 50 °C | 0.969 | 0.343 | 0.953 | 0.365 | 1.675 | |
| 65 °C | 0.976 | 0.308 | 0.961 | 0.348 | 1.755 | |
| 80 °C | 0.976 | 0.311 | 0.962 | 0.346 | 1.767 | |
| 95 °C | 0.838 | 0.463 | 0.880 | 0.460 | 1.330 | |
| SPA-SVM | 25 °C | 0.978 | 0.307 | 0.956 | 0.359 | 1.705 |
| 50 °C | 0.965 | 0.340 | 0.962 | 0.346 | 1.770 | |
| 65 °C | 0.977 | 0.311 | 0.969 | 0.329 | 1.860 | |
| 80 °C | 0.985 | 0.280 | 0.970 | 0.325 | 1.880 | |
| 95 °C | 0.959 | 0.351 | 0.953 | 0.363 | 1.683 |
| Methods | Temperature | RMSEC (g/kg) | RMSEP (g/kg) | RPD | ||
|---|---|---|---|---|---|---|
| RFFS-ANN | 25 °C | 0.985 | 0.280 | 0.964 | 0.350 | 1.847 |
| 50 °C | 0.996 | 0.198 | 0.984 | 0.282 | 2.196 | |
| 65 °C | 0.994 | 0.215 | 0.986 | 0.272 | 2.279 | |
| 80 °C | 0.993 | 0.229 | 0.981 | 0.294 | 2.107 | |
| 95 °C | 0.983 | 0.282 | 0.898 | 0.434 | 1.360 | |
| CARS-ANN | 25 °C | 0.984 | 0.291 | 0.927 | 0.407 | 1.502 |
| 50 °C | 0.990 | 0.249 | 0.982 | 0.287 | 2.128 | |
| 65 °C | 0.997 | 0.181 | 0.983 | 0.280 | 2.181 | |
| 80 °C | 0.998 | 0.166 | 0.988 | 0.260 | 2.378 | |
| 95 °C | 0.993 | 0.224 | 0.876 | 0.467 | 1.325 | |
| SPA-ANN | 25 °C | 0.996 | 0.199 | 0.984 | 0.279 | 2.221 |
| 50 °C | 0.998 | 0.173 | 0.987 | 0.267 | 2.323 | |
| 65 °C | 0.993 | 0.228 | 0.987 | 0.267 | 2.314 | |
| 80 °C | 0.998 | 0.178 | 0.989 | 0.257 | 2.411 | |
| 95 °C | 0.997 | 0.176 | 0.986 | 0.281 | 2.352 |
Disclaimer/Publisher’s Note: The statements, opinions and data contained in all publications are solely those of the individual author(s) and contributor(s) and not of MDPI and/or the editor(s). MDPI and/or the editor(s) disclaim responsibility for any injury to people or property resulting from any ideas, methods, instructions or products referred to in the content. |
© 2023 by the authors. Licensee MDPI, Basel, Switzerland. This article is an open access article distributed under the terms and conditions of the Creative Commons Attribution (CC BY) license (https://creativecommons.org/licenses/by/4.0/).
Share and Cite
Zhou, L.; Yao, J.; Xu, H.; Zhang, Y.; Nie, P. Research on the Effects of Drying Temperature for the Detection of Soil Nitrogen by Near-Infrared Spectroscopy. Molecules 2023, 28, 6507. https://doi.org/10.3390/molecules28186507
Zhou L, Yao J, Xu H, Zhang Y, Nie P. Research on the Effects of Drying Temperature for the Detection of Soil Nitrogen by Near-Infrared Spectroscopy. Molecules. 2023; 28(18):6507. https://doi.org/10.3390/molecules28186507
Chicago/Turabian StyleZhou, Ling, Jiangjun Yao, Honggang Xu, Yahui Zhang, and Pengcheng Nie. 2023. "Research on the Effects of Drying Temperature for the Detection of Soil Nitrogen by Near-Infrared Spectroscopy" Molecules 28, no. 18: 6507. https://doi.org/10.3390/molecules28186507
APA StyleZhou, L., Yao, J., Xu, H., Zhang, Y., & Nie, P. (2023). Research on the Effects of Drying Temperature for the Detection of Soil Nitrogen by Near-Infrared Spectroscopy. Molecules, 28(18), 6507. https://doi.org/10.3390/molecules28186507

