Carbodiimide-Mediated Beckmann Rearrangement of Oxyma-B as a Side Reaction in Peptide Synthesis
Abstract
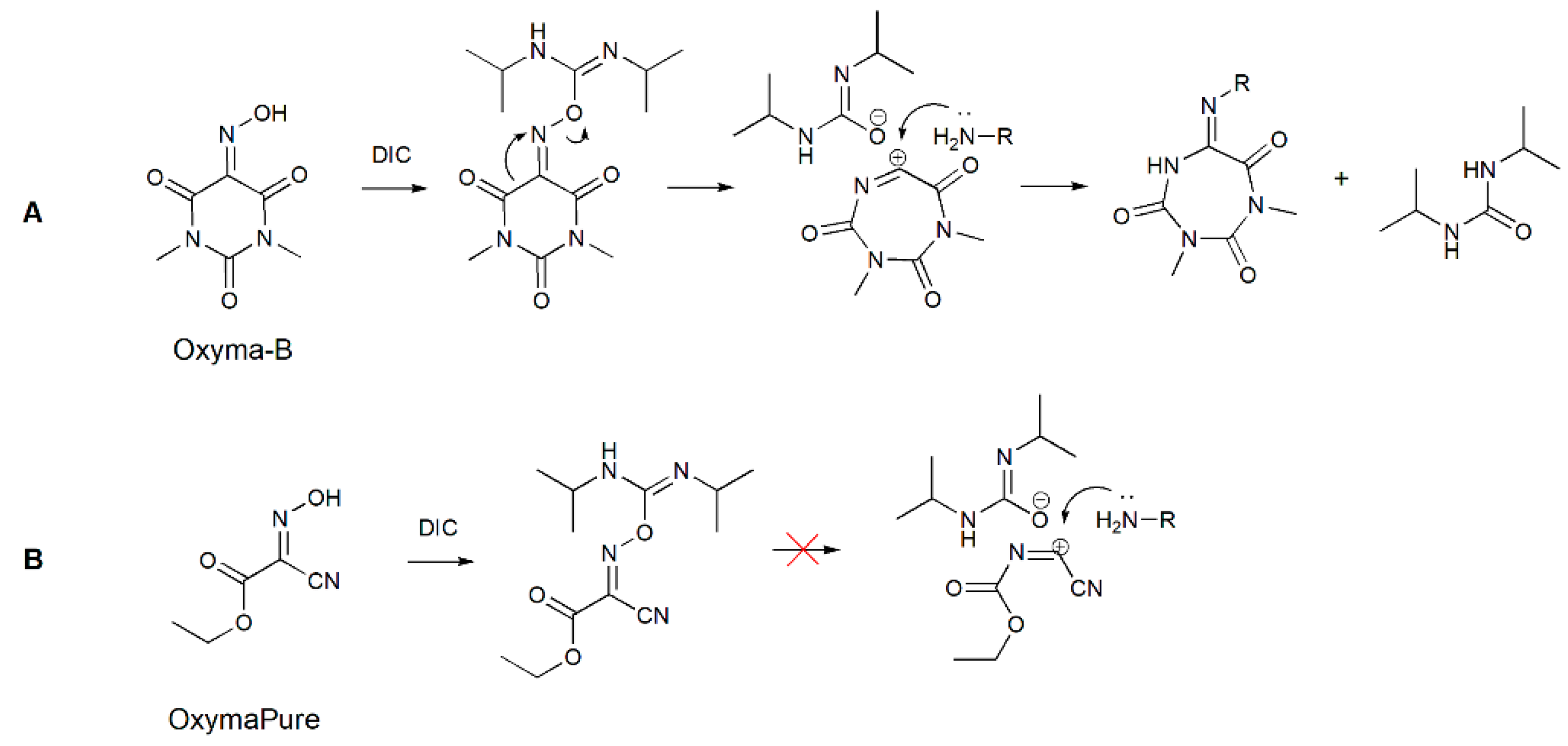
:1. Introduction
2. Results and Discussion
3. Materials and Methods
3.1. Materials
3.2. Methods
4. Conclusions
Supplementary Materials
Author Contributions
Funding
Institutional Review Board Statement
Informed Consent Statement
Data Availability Statement
Conflicts of Interest
Sample Availability
References
- Wu, L. Regulatory considerations for peptide therapeutics. In Peptide Therapeutics: Strategy and Tactics for Chemistry, Manufacturing, and Controls; Srivastava, V., Ed.; RSC Publisher: London, UK, 2019. [Google Scholar]
- De Luca, C.; Lievore, G.; Bozza, D.; Buratti, A.; Cavazzini, A.; Ricci, A.; Macis, M.; Cabri, W.; Felletti, S.; Catani, M. Downstream processing of therapeutic peptides by means of preparative liquid chromatography. Molecules 2021, 26, 4688. [Google Scholar] [CrossRef] [PubMed]
- Wu, L.C.; Chen, F.; Lee, S.L.; Raw, A.; Yu, L.X. Building parity between brand and generic peptide products: Regulatory and scientific considerations for quality of synthetic peptides. Int. J. Pharm. 2017, 518, 320–334. [Google Scholar] [CrossRef] [PubMed] [Green Version]
- Benoiton, N.L. Chemistry of Peptide Synthesis; CRC Press, Tailor and Frensis Group: Boca Raton, FL, USA, 2006. [Google Scholar]
- Yang, Y. Side Reactions in Peptide Synthesis; Tsinghua University Press, Elsevier Inc.: London, UK, 2016. [Google Scholar]
- Isidro-Llobet, A.; Álvarez, M.; Albericio, F. Amino acid-protecting groups. Chem. Rev. 2009, 109, 2455–2504. [Google Scholar] [CrossRef] [PubMed] [Green Version]
- Spears, R.J.; McMahon, C.; Chudasama, V. Cysteine protecting groups: Applications in peptide and protein science. Chem. Soc. Rev. 2021, 50, 11098. [Google Scholar] [CrossRef]
- Hibino, H.; Nishiuchi, Y. 4-Methoxybenzyloxymethyl group, a racemization-resistant protecting group for cysteine in Fmoc solid phase peptide synthesis. Org. Lett. 2012, 14, 1926–1929. [Google Scholar] [CrossRef]
- Park, J.H.; Carlin, K.P.; Wu, G.; Ilyin, V.I.; Kyle, D.J. Cysteine racemization during the Fmoc solid phase peptide synthesis of the Nav1.7-selective peptide-Protoxin II. J. Pept. Sci. 2012, 18, 442–448. [Google Scholar] [CrossRef]
- Hibino, H.; Nishiuchi, Y. 4-Methoxybenzyloxymethyl group as an Nπ-protecting group for histidine to eliminate side-chain-induced racemization in the Fmoc strategy. Tetrahedron Lett. 2011, 52, 4947–4949. [Google Scholar] [CrossRef]
- Torikai, K.; Yanagimoto, R.; Watanabe, L.A. N(π)-2-naphthylmethoxymethyl-protected histidines: Scalable, racemization-free building blocks for peptide synthesis. Org. Proc. Res. Dev. 2020, 24, 448–453. [Google Scholar] [CrossRef]
- Sieber, P.; Riniker, B. Protection of histidine in peptide synthesis: A reassessment of the trityl group. Tetrahedron Lett. 1987, 28, 6031–6034. [Google Scholar] [CrossRef]
- Manne, S.R.; El-Faham, A.; de la Torre, B.G.; Albericio, F. Minimizing side reactions during amide formation using DIC and Oxymapure in solid-phase peptide synthesis. Tetrahedron Lett. 2021, 85, 153462. [Google Scholar] [CrossRef]
- Manne, S.R.; Sharma, A.; El-Faham, A.; Sazonovas, A.; de la Torre, B.G.; Albericio, F. Understanding OxymaPure as a peptide coupling additive: A guide to new oxyma derivatives. ACS Omega 2022, 7, 6007–6023. [Google Scholar] [CrossRef] [PubMed]
- Jad, Y.E.; Sherine, N.; Khattab, S.N.; de la Torre, B.G.; Govender, T.; Kruger, H.G.; El-Faham, A.; Albericio, F. Oxyma-B, an excellent racemization suppressor for peptide synthesis. Org. Biomol. Chem. 2014, 12, 8379–8385. [Google Scholar] [CrossRef] [PubMed]
- Jad, Y.E.; Khattab, S.N.; de la Torre, B.G.; Govender, T.; Kruger, H.G.; El-Faham, A.; Albericio, F. EDC·HCl and potassium salts of Oxyma and Oxyma-B as superior coupling cocktails for peptide synthesis. Eur. J. Org. Chem. 2015, 14, 3116–3120. [Google Scholar] [CrossRef]
- Kumar, A.; Jad, Y.E.; El-Faham, A.; de la Torre, B.G.; Albericio, F. Diethylphosphoryl-OxymaB (DEPO-B) as a solid coupling reagent for amide bond formation. Lett. Org. Chem. 2019, 16, 30–33. [Google Scholar] [CrossRef]
- Jad, Y.E.; Khattab, S.N.; de la Torre, B.G.; Govender, T.; Kruger, H.G.; El-Faham, A.; Albericio, F. TOMBU and COMBU as novel uronium-type peptide coupling reagents derived from Oxyma-B. Molecules 2014, 19, 18953–18965. [Google Scholar] [CrossRef]
- Blatt A., H. The Beckmann rearrangement. Chem. Rev. 1933, 12, 215–260. [Google Scholar] [CrossRef]
- Debnath, P. Recent advances in the synthesis of amides via oxime rearrangements and its applications. Curr. Org. Synth. 2018, 15, 666–706. [Google Scholar] [CrossRef]
- Subirós-Funosas, R.; Prohens, R.; Barbas, R.; El-Faham, A.; Albericio, F. Oxyma: An efficient additive for peptide synthesis to replace the benzotriazole-based HOBt and HOAt with a lower risk of explosion. Chem. Eur. J. 2009, 15, 9394–9403. [Google Scholar] [CrossRef]
- Kedia, N. Treatment of severe diabetic hypoglycemia with glucagon: An underutilized therapeutic approach. Diabetes Metab. Syndr. Obes. 2011, 4, 337–346. [Google Scholar] [CrossRef] [Green Version]
- Nauck, M.A.; Quast, D.R.; Wefers, J.; Meier, J.J. GLP-1 receptor agonists in the treatment of type 2 diabetes-state-of-the-art. Mol. Metab. 2021, 46, 101102. [Google Scholar] [CrossRef]
- Carbajo, D.; El-Faham, A.; Royo, M.; Albericio, F. Optimized stepwise synthesis of the API Liraglutide using BAL resin and pseudoprolines. ACS Omega 2019, 4, 8674–8680. [Google Scholar] [CrossRef] [PubMed] [Green Version]
- Orlandin, A.; Ricci, A.; Cabri, W.; McIntyre, S.; Saunders, A. Process for the preparation of high purity glucagon. U.S. Pantent 20200399339A1, 24 December 2020. [Google Scholar]
- Guryanov, I.; Orlandin, A.; De Paola, A.; Viola, A.; Biondi, B.; Badocco, D.; Formaggio, F.; Ricci, A.; Cabri, W. Copper(II) lysinate and pseudoproline assistance in the convergent synthesis of the GLP-1 receptor agonists liraglutide and semaglutide. Org. Pros. Res. Dev. 2021, 25, 1598–1611. [Google Scholar] [CrossRef]
- Merrifield, R.B.; Gisin, B.F.; Bach, A.N. The limits of reaction of radioactive dicyclohexylcarbodiimide with amino groups during solid-phase peptide synthesis. J. Org. Chem. 1977, 42, 1291–1295. [Google Scholar] [CrossRef] [PubMed]
- Pi, H.-G.; Li-Feng Liu, L.-F.; Jiang, S.-S.; Du, W.; Deng, W.-P. The facile one-pot synthesis of N-imidoylbenzotriazoles via a Beckmann rearrangement of ketoximes. Tetrahedron 2010, 66, 6097–6100. [Google Scholar] [CrossRef]
- Mocci, R.; Colacino, E.; De Luca, L.; Fattuoni, C.; Porcheddu, A.; Delogu, F. The mechanochemical Beckmann rearrangement: An eco-efficient “cut-and-paste” strategy to design the “good old amide bond”. ACS Sustainable Chem. Eng. 2021, 9, 2100–2114. [Google Scholar] [CrossRef]
- Hu, H.; Cai, X.; Xu, Z.; Yan, X.; Zhao, S. Beckmann rearrangement of ketoxime catalyzed by N-methyl-imidazolium hydrosulfate. Molecules 2018, 23, 1764. [Google Scholar] [CrossRef] [Green Version]
- Kuo, C.-W.; Hsieh, M.-T.; Gao, S.; Shao, Y.-M.; Yao, C.-F.; Shia, K.-S. Beckmann rearrangement of ketoximes induced by phenyl dichlorophosphate at ambient temperature. Molecules 2012, 17, 13662–13672. [Google Scholar] [CrossRef]
- Kaur, K.; Srivastava, S. Beckmann rearrangement catalysis: A review of recent advances. New J. Chem. 2020, 44, 18530. [Google Scholar] [CrossRef]
- Kamijo, T.; Harada, H.; Iizuka, K. A Useful reagent for the Beckmann rearrangement and the synthesis of nitriles from carboxamides: N,N’-carbonyldiimidazole and reactive halides. Chem. Pharm. Bull. 1984, 32, 2560–2564. [Google Scholar] [CrossRef] [Green Version]
- El-Faham, A.; Subirós-Funosas, R.; Albericio, F. A novel family of onium salts based upon isonitroso Meldrum’s acid proves useful as peptide coupling reagents. Eur. J. Org. Chem. 2010, 19, 3641–3649. [Google Scholar] [CrossRef]
- Lorenz, V.; Liebing, P.; Engelhardt, F.; Stein, F.; Kühling, M.; Schröder, L.; Edelmann, F.T. Review: The multicolored coordination chemistry of violurate anions. J. Coord. Chem. 2019, 72, 1–34. [Google Scholar] [CrossRef]
- Liebing, P.; Stein, F.; Hilfert, L.; Lorenz, V.; Oliynyk, K.; Edelmann, F.T. Synthesis and structural investigation of brightly colored organoammonium violurates. Z. Anorg. Allg. Chem. 2019, 645, 36–43. [Google Scholar] [CrossRef] [Green Version]
- Banik, R.; Roy, S.; Bauza, A.; Frontiera, A.; Das, S. Cadmium(II) complexes containing N,N’-dimethylvioluric acid as ligand or counteranion: Synthesis, characterization, crystal structures and DFT study. RCS Adv. 2015, 5, 10826–10836. [Google Scholar] [CrossRef]
- Midyana, G.G.; Makitra, R.G.; Pal’chikova, E.Y. Solvent effect on the kinetics of Beckmann rearrangement. Russ. J. Gen. Chem. 2010, 80, 31–34. [Google Scholar] [CrossRef]
- Bax, A.; Davis, D.G. MLEV-17-based two-dimensional homonuclear magnetization transfer spectroscopy. J. Magn. Reson. 1985, 65, 355–360. [Google Scholar] [CrossRef]
- Griesinger, C.; Otting, G.; Wüthrich, K.; Ernst, R.R. Clean TOCSY for proton spin system identification in macromolecules. J. Am. Chem. Soc. 1988, 110, 7870–7872. [Google Scholar] [CrossRef]
- Willker, W.; Leibfritz, D.; Kerssebaum, R.; Bermel, W. Gradient selection in inverse heteronuclear correlation spectroscopy. Magn. Reson. Chem. 1993, 31, 287–292. [Google Scholar] [CrossRef]
- Bax, A.; Summers, M.F. Proton and carbon-13 assignments from sensitivity-enhanced detection of heteronuclear multiple-bond connectivity by 2D multiple quantum NMR. J. Am. Chem. Soc. 1986, 108, 2093–2094. [Google Scholar] [CrossRef]
- Dolomanov, O.V.; Bourhis, L.J.; Gildea, R.J.; Howard, J.A.K.; Puschmann, H. OLEX2: A complete structure solution, refinement and analysis program. J. Appl. Crystallogr. 2009, 42, 339–341. [Google Scholar] [CrossRef]
- Sheldrick, G.M. SHELXT-Integrated space-group and crystal-structure determination. Acta Crystallogr. Sect. A Found. Crystallogr. 2015, 71, 3–8. [Google Scholar] [CrossRef] [Green Version]
- Sheldrick, G.M. Crystal structure refinement with SHELXL. Acta Crystallogr. Sect. C Struct. Chem. 2015, 71, 3–8. [Google Scholar] [CrossRef] [PubMed]
- The Data Are Provided Free of Charge by the Joint Cambridge Crystallographic Data Centre and Fachinfor-Mationszentrum Karlsruhe Access Structures Service. Available online: https://doi.org/https://www.ccdc.cam.ac.uk/structures/ (accessed on 3 June 2020).










Publisher’s Note: MDPI stays neutral with regard to jurisdictional claims in published maps and institutional affiliations. |
© 2022 by the authors. Licensee MDPI, Basel, Switzerland. This article is an open access article distributed under the terms and conditions of the Creative Commons Attribution (CC BY) license (https://creativecommons.org/licenses/by/4.0/).
Share and Cite
Orlandin, A.; Guryanov, I.; Ferrazzano, L.; Biondi, B.; Biscaglia, F.; Storti, C.; Rancan, M.; Formaggio, F.; Ricci, A.; Cabri, W. Carbodiimide-Mediated Beckmann Rearrangement of Oxyma-B as a Side Reaction in Peptide Synthesis. Molecules 2022, 27, 4235. https://doi.org/10.3390/molecules27134235
Orlandin A, Guryanov I, Ferrazzano L, Biondi B, Biscaglia F, Storti C, Rancan M, Formaggio F, Ricci A, Cabri W. Carbodiimide-Mediated Beckmann Rearrangement of Oxyma-B as a Side Reaction in Peptide Synthesis. Molecules. 2022; 27(13):4235. https://doi.org/10.3390/molecules27134235
Chicago/Turabian StyleOrlandin, Andrea, Ivan Guryanov, Lucia Ferrazzano, Barbara Biondi, Francesca Biscaglia, Claudia Storti, Marzio Rancan, Fernando Formaggio, Antonio Ricci, and Walter Cabri. 2022. "Carbodiimide-Mediated Beckmann Rearrangement of Oxyma-B as a Side Reaction in Peptide Synthesis" Molecules 27, no. 13: 4235. https://doi.org/10.3390/molecules27134235
APA StyleOrlandin, A., Guryanov, I., Ferrazzano, L., Biondi, B., Biscaglia, F., Storti, C., Rancan, M., Formaggio, F., Ricci, A., & Cabri, W. (2022). Carbodiimide-Mediated Beckmann Rearrangement of Oxyma-B as a Side Reaction in Peptide Synthesis. Molecules, 27(13), 4235. https://doi.org/10.3390/molecules27134235

