A Highly Water-Soluble and Solid State Emissive 1,8-Naphthalimide as a Fluorescent PET Probe for Determination of pHs, Acid/Base Vapors, and Water Content in Organic Solvents
Abstract
:1. Introduction
2. Results and Discussion
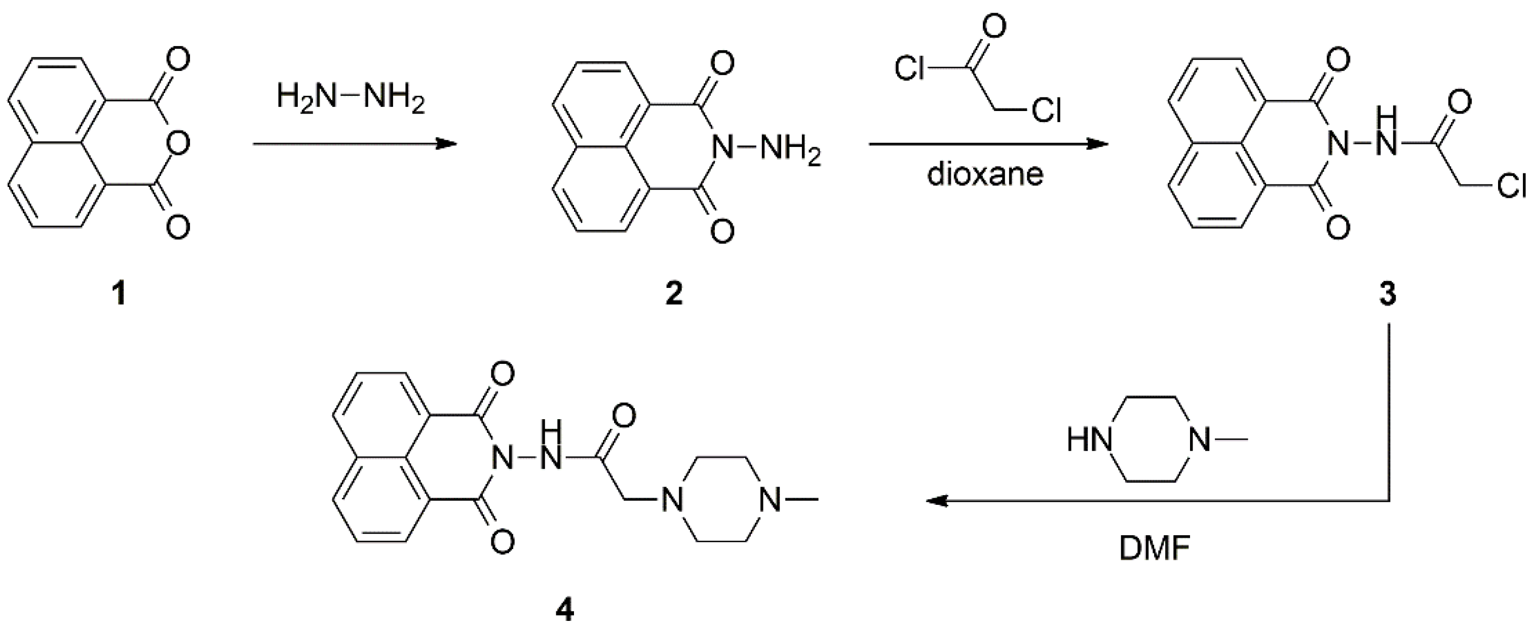
2.1. Design and Synthesis
2.2. Chemosensing Properties in Aqueous Solution
2.2.1. pH Sensing Properties
2.2.2. Detection of Water Content in Organic Solvents
2.2.3. Molecular Logic
2.2.4. Detection of Acid/Base Vapors in Solid State
3. Materials and Methods
3.1. Materials
3.2. Methods
3.3. Synthetic Procedures
3.3.1. Synthesis of N-Amino-1,8-Naphthalimide 2
3.3.2. Synthesis of N-Chloroacetamide-1,8-Naphthalimide 3
3.3.3. Synthesis of Probe 4
4. Conclusions
Author Contributions
Funding
Institutional Review Board Statement
Informed Consent Statement
Data Availability Statement
Conflicts of Interest
Sample Availability
References
- Steinegger, A.; Wolfbeis, O.S.; Borisov, S.M. Optical Sensing and Imaging of pH Values: Spectroscopies, Materials, and Applications. Chem. Rev. 2020, 120, 12357–12489. [Google Scholar] [CrossRef] [PubMed]
- García, Á.L.; Ochoa-Terán, A.; Tirado-Guízar, A.; Jara-Cortés, J.; Pina-Luis, G.; Santacruz Ortega, H.; Labastida-Galván, V.; Ordoñez, M.; Peón, J. Experimental and theoretical study of novel aminobenzamide–aminonaphthalimide fluorescent dyads with a FRET mechanism. RSC Adv. 2022, 12, 6192–6204. [Google Scholar] [CrossRef] [PubMed]
- Georgiev, N.I.; Bryaskova, R.G.; Ismail, S.R.; Philipova, N.D.; Uzunova, V.P.; Bakov, V.V.; Tzoneva, R.D.; Bojinov, V.B. Aggregation induced emission in 1,8-naphthalimide embedded nanomicellar architecture as a platform for fluorescent ratiometric pH-probe with biomedical applications. J. Photochem. Photobiol. A Chem. 2021, 418, 113380. [Google Scholar] [CrossRef]
- Aderinto, S.; Imhanria, S. Fluorescent and colourimetric 1,8-naphthalimide-appended chemosensors for the tracking of metal ions: Selected examples from the year 2010 to 2017. Chem. Pap. 2018, 72, 1823–1851. [Google Scholar] [CrossRef]
- Dian, J.; Jindřich, J.; Jelínek, I. Functionalized materials with fluorescent dyes for chemosensor applications. Monatsh. Chem. 2017, 148, 1929–1935. [Google Scholar] [CrossRef]
- Huang, J.; Chen, Y.; Qi, J.; Zhou, X.; Niu, L.; Yana, Z.; Wang, J.; Zhao, G. A dual-selective fluorescent probe for discriminating glutathione and homocysteine simultaneously. Spectrochim. Acta Part A 2018, 201, 105–111. [Google Scholar] [CrossRef]
- Huang, L.; Chen, Y.; Zhao, Y.; Wang, Y.; Xiong, J.; Zhang, J.; Wu, X.; Zhou, Y. A ratiometric near-infrared naphthalimide-based fluorescent probe with high sensitivity for detecting Fe2+ in vivo. Chin. Chem. Lett. 2020, 31, 2941–2944. [Google Scholar] [CrossRef]
- Yang, X.; Lovell, J.F.; Murthy, N.; Zhang, Y. Organic Fluorescent Probes for Diagnostics and Bio-Imaging. Top. Med. Chem. 2020, 34, 33–53. [Google Scholar]
- Georgiev, N.; Bryaskova, R.; Tzoneva, R.; Ugrinova, I.; Detrembleur, C.; Miloshev, S.; Asiri, A.; Qusti, A.; Bojinov, V. A novel pH sensitive water soluble fluorescent nanomicellar sensor for potential biomedical applications. Bioorg. Med. Chem. 2013, 21, 6292–6302. [Google Scholar] [CrossRef]
- Yang, Y.; Li, R.; Zhang, S.; Zhang, X. A fluorescent nanoprobe based on cell-penetrating peptides and quantum dots for ratiometric monitoring of pH fluctuation in lysosomes. Talanta 2021, 227, 122208. [Google Scholar] [CrossRef]
- Li, C.; Wang, Y.; Huang, S.; Zhang, X.; Kang, X.; Sun, Y.; Hu, Z.; Han, L.; Du, L.; Liu, Y. A photostable fluorescent probe for long-time imagining of lysosome in cell and nematode. Talanta 2018, 188, 316–324. [Google Scholar] [CrossRef] [PubMed]
- Chen, W.; Ma, X.; Chen, H.; Liu, S.; Yin, J. Fluorescent probes for pH and alkali metal ions. Coord. Chem. Rev. 2021, 427, 213584. [Google Scholar] [CrossRef]
- Hamilton, G.; Sahoo, S.; Kamila, S.; Singh, N.; Kaur, N.; Hyland, B.; Callan, J. Optical probes for the detection of protons, and alkali and alkaline earth metal cations. Chem. Soc. Rev. 2015, 44, 4415–4432. [Google Scholar] [CrossRef] [PubMed]
- Jain, N.; Kaur, N. A comprehensive compendium of literature of 1,8-naphthalimide based chemosensors from 2017 to 2021. Coord. Chem. Rev. 2022, 459, 214454. [Google Scholar] [CrossRef]
- Said, A.; Georgiev, N.; Hamdan, S.; Bojinov, V. A chemosensoring molecular lab for various analytes and its ability to execute a molecular logical digital comparator. J. Fluoresc. 2019, 29, 1431–1443. [Google Scholar] [CrossRef]
- Hayashi, Y.; Suzuki, N.; Maeda, T.; Fujiwara, H.; Yagi, S. Photophysical properties of 4-(5-methylthiophen-2-yl)pyridinium-cyclic enolate betaine dyes tuned by control of twisted intramolecular transfer. New J. Chem. 2021, 45, 9770–9779. [Google Scholar] [CrossRef]
- Zhang, H.; Xu, Z.; Tao, F.; Yu, W.W.; Cui, Y. Enhanced photostability of aggregation induced emission by hydrophobic groups. Anal. Chim. Acta 2021, 1186, 339076. [Google Scholar] [CrossRef]
- Zheng, P.; Abdurahman, A.; Zhang, Z.; Feng, Y.; Zhang, Y.; Ai, X.; Li, F.; Zhang, M. A simple organic multi-analyte fluorescent prober: One molecule realizes the detection to DNT, TATP and Sarin substitute gas. J. Hazard. Mater. 2021, 409, 124500. [Google Scholar] [CrossRef]
- Singh, H.; Bhargav, G.; Kumar, S.; Singh, P. Quadruple-signaling (PET, ICT, ESIPT, -C=N- rotation) mechanism-based dual chemosensor for detection of Cu2+ and Zn2+ ions: TRANSFER, INH and complimentary OR/NOR logic circuits. J. Photochem. Photobiol. A Chem. 2018, 357, 175–184. [Google Scholar] [CrossRef]
- Anand, T.; Kumar, S.K.A.; Sahoo, S.K. A new Al3+ selective fluorescent turn-on sensor based on hydrazide-naphthalic anhydride conjugate and its application in live cells imaging. Spectrochim. Acta Part A 2018, 204, 105–112. [Google Scholar] [CrossRef]
- Georgiev, N.; Asiri, A.; Qusti, A.; Alamry, K.; Bojinov, V. A pH sensitive and selective ratiometric PAMAM wavelength-shifting bichromophoric system based on PET, FRET and ICT. Dye. Pigment. 2014, 102, 35–45. [Google Scholar] [CrossRef]
- Li, S.; Zhao, B.; Kan, W.; Wang, L.; Song, B.; Chen, S. A off–on pH fluorescence probe derived from phenanthro[9,10-d]imidazol-fluorescein based on ESIPT and ICT. Res. Chem. Intermed. 2018, 44, 491–502. [Google Scholar] [CrossRef]
- Srivastava, P.; Srivastava, P.; Patra, A.K. Biological perspectives of a FRET based pH-probe exhibiting molecular logic gate operation with altering pH. New J. Chem. 2018, 42, 9543–9549. [Google Scholar] [CrossRef]
- Ozdemir, M. Two Colorimetric and Fluorescent Dual-Channel Chemosensors for the Selective Detection of pH in Aqueous Solutions. ChemistrySelect 2020, 5, 14340–14348. [Google Scholar] [CrossRef]
- Seraj, S.; Rouhani, S.; Faridbod, F. Naphthalimide-based optical turn-on sensor for monosaccharide recognition using boronic acid receptor. RSC Adv. 2019, 9, 17933–17940. [Google Scholar] [CrossRef] [Green Version]
- Yao, C.; Lin, H.; Crory, H.; de Silva, A.P. Supra-Molecular Agents Running Tasks Intelligently (SMARTI): Recent Developments in Molecular Logic-based Computation. Mol. Syst. Des. Eng. 2020, 5, 1325–1353. [Google Scholar] [CrossRef]
- Georgiev, N.I.; Dimitrova, M.D.; Krasteva, P.V.; Bojinov, V.B. A novel water-soluble 1,8-naphthalimide as a fluorescent pH-probe and a molecular logic circuit. J. Lumin. 2017, 187, 383–391. [Google Scholar] [CrossRef]
- Panchenko, P.A.; Fedorov, Y.V.; Fedorova, O.A. Selective fluorometric sensing of Hg2+ in aqueous solution by the inhibition of PET from dithia-15-crown-5 ether receptor conjugated to 4-amino-1,8-naphthalimide fluorophore. J. Photochem. Photobiol. A Chem. 2018, 364, 124–129. [Google Scholar] [CrossRef]
- Georgiev, N.I.; Sakr, A.R.; Bojinov, V.B. Design and synthesis of a novel PET and ICT based 1,8-naphthalimide FRET bichromophore as a four-input Disabled-Enabled-OR logic gate. Sens. Actuators B Chem. 2015, 221, 625–634. [Google Scholar] [CrossRef]
- Spiteri, J.C.; Johnson, A.D.; Denisov, S.A.; Jonusauskas, G.; McClenaghan, N.D.; Magri, D.C. A fluorescent AND logic gate based on a ferrocene-naphthalimide-piperazine format responsive to acidity and oxidizability. Dye. Pigment. 2018, 157, 278–283. [Google Scholar] [CrossRef] [Green Version]
- Wright, G.D.; Yao, C.; Moody, T.S.; de Silva, A.P. Fluorescent molecular logic gates based on photoinduced electron transfer (PET) driven by a combination of atomic and biomolecular inputs. Chem. Commun. 2020, 56, 6838–6841. [Google Scholar]
- Chi, W.; Chen, J.; Qiao, Q.; Gao, Y.; Xu, Z.; Liu, X. Revealing the switching mechanisms of an OFF-ON-OFF fluorescent logic gate system. Phys. Chem. Chem. Phys. 2019, 21, 16798–16803. [Google Scholar] [CrossRef] [PubMed]
- Johnson, A.D.; Zammit, R.; Vella, J.; Valentino, M.; Buhagiar, J.A.; Magri, D.C. Aminonaphthalimide hybrids of mitoxantrone and amonafide as anticancer and fluorescent cellular imaging agents. Bioorg. Chem. 2019, 93, 103287. [Google Scholar] [CrossRef] [PubMed]
- Jung, J.M.; Kang, J.H.; Han, J.; Lee, H.; Lim, M.H.; Kim, K.-T.; Kim, C. A novel “off-on” type fluorescent chemosensor for detection of Zn2+ and its zinc complex for “on-off” fluorescent sensing of sulfide in aqueous solution, in vitro and in vivo. Sens. Actuators B Chem. 2018, 267, 58–69. [Google Scholar] [CrossRef]
- Zhang, Y.; Zhao, Y.; Song, B.; Huang, C. Spectroscopic behavior and intracellular application of a highly sensitive UV-fluorescence double ratio probe based on water-soluble indole for detection acid pH. Dye. Pigment. 2021, 188, 109205. [Google Scholar] [CrossRef]
- Georgiev, N.I.; Said, A.I.; Toshkova, R.A.; Tzoneva, R.D.; Bojinov, V.B. A novel water-soluble perylenetetracarboxylic diimide as a fluorescent pH probe: Chemosensing, biocompatibility and cell imaging. Dye. Pigment. 2019, 160, 28–36. [Google Scholar] [CrossRef]
- Li, X.; Gao, X.; Shi, W.; Ma, H. Design strategies for water-soluble small molecular chromogenic and fluorogenic probes. Chem. Rev. 2014, 114, 590–659. [Google Scholar] [CrossRef]
- Georgiev, N.I.; Dimitrova, M.D.; Mavrova, A.T.; Bojinov, V.B. Synthesis, fluorescence-sensing and molecular logic of two water-soluble 1,8-naphthalimides. Spectrochim. Acta Part A 2017, 183, 7–16. [Google Scholar] [CrossRef]
- Mishra, S.; Singh, A.K. Optical sensors for water and humidity and their further applications. Coord. Chem. Rev. 2021, 445, 214063. [Google Scholar] [CrossRef]
- Jung, H.S.; Verwilst, P.; Kim, W.Y.; Kim, J.S. Fluorescent and colorimetric sensors for the detection of humidity or water content. Chem. Soc. Rev. 2016, 45, 1242–1256. [Google Scholar] [CrossRef]
- Jouyban, A.; Rahimpour, E. Optical sensors for determination of water in the organic solvents: A review. J. Iran. Chem. Soc. 2022, 19, 1–22. [Google Scholar] [CrossRef]
- Ooyama, Y.; Sumomogi, M.; Nagano, T.; Kushimoto, K.; Komaguchi, K.; Imae, I.; Harima, Y. Detection of water in organic solvents by photo-induced electron transfer method. Org. Biomol. Chem. 2011, 9, 1314–1316. [Google Scholar] [CrossRef] [PubMed]
- Ooyama, Y.; Egawa, H.; Yoshida, K. The design of a novel fluorescent PET sensor for proton and water: A phenylaminonaphtho[1,2-d]oxazol-2-yl-type fluorophore containing proton donor and acceptor groups. Dye. Pigment. 2009, 82, 58–64. [Google Scholar] [CrossRef] [Green Version]
- Ooyama, Y.; Furue, K.; Uenaka, K.; Ohshita, J. Development of highly-sensitive fluorescence PET (photo-induced electron transfer) sensor for water: Anthracene-boronic acid ester. RSC Adv. 2014, 4, 25330–25333. [Google Scholar] [CrossRef]
- Ooyama, Y.; Matsugasako, A.; Oka, K.; Nagano, T.; Sumomogi, M.; Komaguchi, K.; Imae, I.; Harima, Y. Fluorescence PET (photo-induced electron transfer) sensors for water based on anthracene-boronic acid esterw. Chem. Commun. 2011, 47, 4448–4450. [Google Scholar] [CrossRef]
- McKinney, B.O.; Daly, B.; Yao, C.; Schroeder, M.; de Silva, A.P. Consolidating Molecular Logic with New Solid-Bound YES and PASS1 Gates and Their Combinations. ChemPhysChem 2017, 18, 1760–1766. [Google Scholar] [CrossRef] [Green Version]
- Refalo, M.V.; Spiteri, J.C.; Magri, D.C. Covalent attachment of a fluorescent ‘Pourbaix sensor’ onto a polymer bead for sensing in water. New J. Chem. 2018, 42, 16474–16477. [Google Scholar] [CrossRef]
- de Silva, A.P.; James, M.R.; McKinney, B.O.; Pears, D.A.; Weir, S.M. Molecular computational elements encode large populations of small objects. Nat. Mater. 2006, 5, 787–790. [Google Scholar] [CrossRef]
- Georgiev, N.I.; Bakov, V.V.; Bojinov, V.B. A Solid-State-Emissive 1,8-Naphthalimide Probe Based on Photoinduced Electron Transfer and Aggregation-Induced Emission. ChemistrySelect 2019, 4, 4163–4167. [Google Scholar] [CrossRef]
- Tan, L.; Mo, S.; Fang, B.; Cheng, W.; Yin, M. Dual fluorescence switching of a Rhodamine 6G-naphthalimide conjugate with high contrast in the solid state. J. Mater. Chem. C 2018, 6, 10270–10275. [Google Scholar] [CrossRef]
- Georgiev, N.I.; Yaneva, I.; Surleva, A.; Asiri, A.; Bojinov, V.B. Synthesis, sensor activity and logic behavior of a highly water-soluble naphthalimide derivative. Sens. Actuators B Chem. 2013, 184, 54–63. [Google Scholar] [CrossRef]
- Xie, J.; Chen, Y.; Yang, W.; Xu, D.; Zhang, K. Water soluble 1,8-naphthalimide fluorescent pH probes and their application to bioimagings. J. Photochem. Photobiol. A Chem. 2011, 223, 111–118. [Google Scholar] [CrossRef]
- Georgiev, N.I.; Dimov, S.; Asiri, A.; Alamry, K.; Obaid, A.; Bojinov, V.B. Synthesis, selective pH-sensing activity and logic behavior of highly water-soluble 1,8-naphthalimide and dihydroimidazonaphthalimide derivatives. J. Lumin. 2014, 149, 325–332. [Google Scholar] [CrossRef]
- Wang, L.; Wang, G.; Shang, C.; Kang, R.; Fang, Y. Naphthalimide-Based Fluorophore for Soft Anionic Interface Monitoring. ACS Appl. Mater. Interfaces 2017, 9, 35419–35426. [Google Scholar] [CrossRef]
- Georgiev, N.I.; Marinova, N.V.; Bojinov, V.B. Design and synthesis of light-harvesting rotor based on 1,8-naphthalimide units. J. Photochem. Photobiol. 2020, 401, 112733. [Google Scholar] [CrossRef]
- Liu, J.; de Silva, A.P. Path-selective photoinduced electron transfer (PET) in a membrane-associated system studied by pH-dependent fluorescence. Inorg. Chim. Acta 2012, 381, 243–246. [Google Scholar] [CrossRef]
- Georgiev, N.I.; Bojinov, V.B.; Nikolov, P.S. The design, synthesis and photophysical properties of two novel 1,8-naphthalimide fluorescent pH sensors based on PET and ICT. Dye. Pigment. 2011, 88, 350–357. [Google Scholar] [CrossRef]
- de Silva, A.P.; Rice, T. A small supramolecular system which emulates the unidirectional, path-selective photoinduced electron transfer (PET) of the bacterial photosynthetic reaction centre (PRC). Chem. Commun. 1999, 1999, 163–164. [Google Scholar] [CrossRef]
- Dimov, S.M.; Georgiev, N.I.; Asiri, A.M.; Bojinov, V.B. Synthesis and Sensor Activity of a PET-based 1,8-naphthalimide Probe for Zn2+ and pH Determination. J. Fluoresc. 2014, 24, 1621–1628. [Google Scholar] [CrossRef]
- Jiao, C.; Pang, J.; Shen, L.; Lu, W.; Zhang, P.; Liu, Y.; Li, J.; Jia, X.; Wang, Y. A “weak acid and weak base” type fluorescent probe for sensing pH: Mechanism and application in living cells. RSC Adv. 2019, 9, 20982–20988. [Google Scholar] [CrossRef] [Green Version]
- Georgiev, N.I.; Lyulev, M.P.; Alamry, K.A.; El-Daly, S.A.; Taib, L.A.; Bojinov, V.B. Synthesis, sensor activity, and logic behavior of a highly water-soluble 9,10-dihydro-7H-imidazo[1,2-b]benz[d,e]isoqionolin-7-one dicarboxylic acid. J. Photochem. Photobiol. A Chem. 2014, 297, 31–38. [Google Scholar] [CrossRef]
- Daffy, L.; de Silva, A.P.; Gunaratne, H.; Huber, C.; Lynch, P.; Werner, T.; Wolfbeis, O. Arenedicarboximide building blocks for fluorescent photoinduced electron transfer pH sensors applicable with different media and communication wavelengths. Chem. Eur. J. 1998, 4, 1810–1815. [Google Scholar] [CrossRef]
- Zheng, S.; Lynch, P.L.; Rice, T.E.; Moody, T.S.; Gunaratne, H.Q.; de Silva, A.P. Structural effects on the pH-dependent fluorescence of naphthalenic derivatives and consequences for sensing/switching. Photochem. Photobiol. Sci. 2012, 11, 1675–1681. [Google Scholar] [CrossRef] [Green Version]
- Ooyama, Y.; Egawa, H.; Yoshida, K. A New Class of Fluorescent Dye for Sensing Water in Organic Solvents by Photo-Induced Electron Transfer—A (Phenylamino)naphtho[1,2-d]oxazol-2-yl-Type Fluorophore with both Proton-Binding and Proton-Donating Sites. Eur. J. Org. Chem. 2008, 2008, 5239–5243. [Google Scholar] [CrossRef] [Green Version]
- Kim, K.; Lee, W.; Kim, J.N.; Kim, H.J. An off-on Fluorescent Sensor for Detecting a Wide Range of Water Content in Organic Solvents. Bull. Korean Chem. Soc. 2013, 34, 2261–2266. [Google Scholar] [CrossRef] [Green Version]
- Ooyama, Y.; Matsugasako, A.; Nagano, T.; Oka, K.; Kushimoto, K.; Komaguchi, K.; Imae, I.; Harima, Y. Fluorescence PET (photo-induced electron transfer) sensor for water based on anthracene-amino acid. J. Photochem. Photobiol. A Chem. 2011, 222, 52–55. [Google Scholar] [CrossRef]
- Tang, J.; Li, C.; Li, Y.; Lu, X.; Qi, H. A highly sensitive and selective fluorescent probe for trivalent aluminum ion based on rhodamine derivative in living cells. Anal. Chim. Acta 2015, 888, 155–161. [Google Scholar] [CrossRef]
- Marinova, N.V.; Georgiev, N.I.; Bojinov, V.B. Facile synthesis, sensor activity and logic behaviour of 4-aryloxy substituted 1,8-naphthalimide. J. Photochem. Photobiol. A: Chem. 2013, 254, 54–61. [Google Scholar] [CrossRef]
- Balzani, V.; Credi, A.; Venturi, M. Molecular Logic Circuits. ChemPhysChem 2003, 3, 49–59. [Google Scholar] [CrossRef]
- Qian, J.; Qian, X.; Xu, Y.; Zhang, S. Multiple molecular logic functions and molecular calculations facilitated by surfactant’s versatility. Chem. Commun. 2008, 2008, 4141–4143. [Google Scholar] [CrossRef]
- Morris, J.; Mahaney, M.; Huber, J. Fluorescence quantum yield determinations 9,10-diphenylanthracene as a reference-standard in different solvents. J. Phys. Chem. 1976, 80, 969–974. [Google Scholar] [CrossRef]









Publisher’s Note: MDPI stays neutral with regard to jurisdictional claims in published maps and institutional affiliations. |
© 2022 by the authors. Licensee MDPI, Basel, Switzerland. This article is an open access article distributed under the terms and conditions of the Creative Commons Attribution (CC BY) license (https://creativecommons.org/licenses/by/4.0/).
Share and Cite
Georgiev, N.I.; Krasteva, P.V.; Bakov, V.V.; Bojinov, V.B. A Highly Water-Soluble and Solid State Emissive 1,8-Naphthalimide as a Fluorescent PET Probe for Determination of pHs, Acid/Base Vapors, and Water Content in Organic Solvents. Molecules 2022, 27, 4229. https://doi.org/10.3390/molecules27134229
Georgiev NI, Krasteva PV, Bakov VV, Bojinov VB. A Highly Water-Soluble and Solid State Emissive 1,8-Naphthalimide as a Fluorescent PET Probe for Determination of pHs, Acid/Base Vapors, and Water Content in Organic Solvents. Molecules. 2022; 27(13):4229. https://doi.org/10.3390/molecules27134229
Chicago/Turabian StyleGeorgiev, Nikolai I., Paoleta V. Krasteva, Ventsislav V. Bakov, and Vladimir B. Bojinov. 2022. "A Highly Water-Soluble and Solid State Emissive 1,8-Naphthalimide as a Fluorescent PET Probe for Determination of pHs, Acid/Base Vapors, and Water Content in Organic Solvents" Molecules 27, no. 13: 4229. https://doi.org/10.3390/molecules27134229
APA StyleGeorgiev, N. I., Krasteva, P. V., Bakov, V. V., & Bojinov, V. B. (2022). A Highly Water-Soluble and Solid State Emissive 1,8-Naphthalimide as a Fluorescent PET Probe for Determination of pHs, Acid/Base Vapors, and Water Content in Organic Solvents. Molecules, 27(13), 4229. https://doi.org/10.3390/molecules27134229

