Euphormins A and B, New Pyranocoumarin Derivatives from Euphorbia formosana Hayata, and Their Anti-Inflammatory Activity
Abstract
:1. Introduction
2. Results and Discussion
2.1. Purification and Structure Elucidation of Isolated Compounds
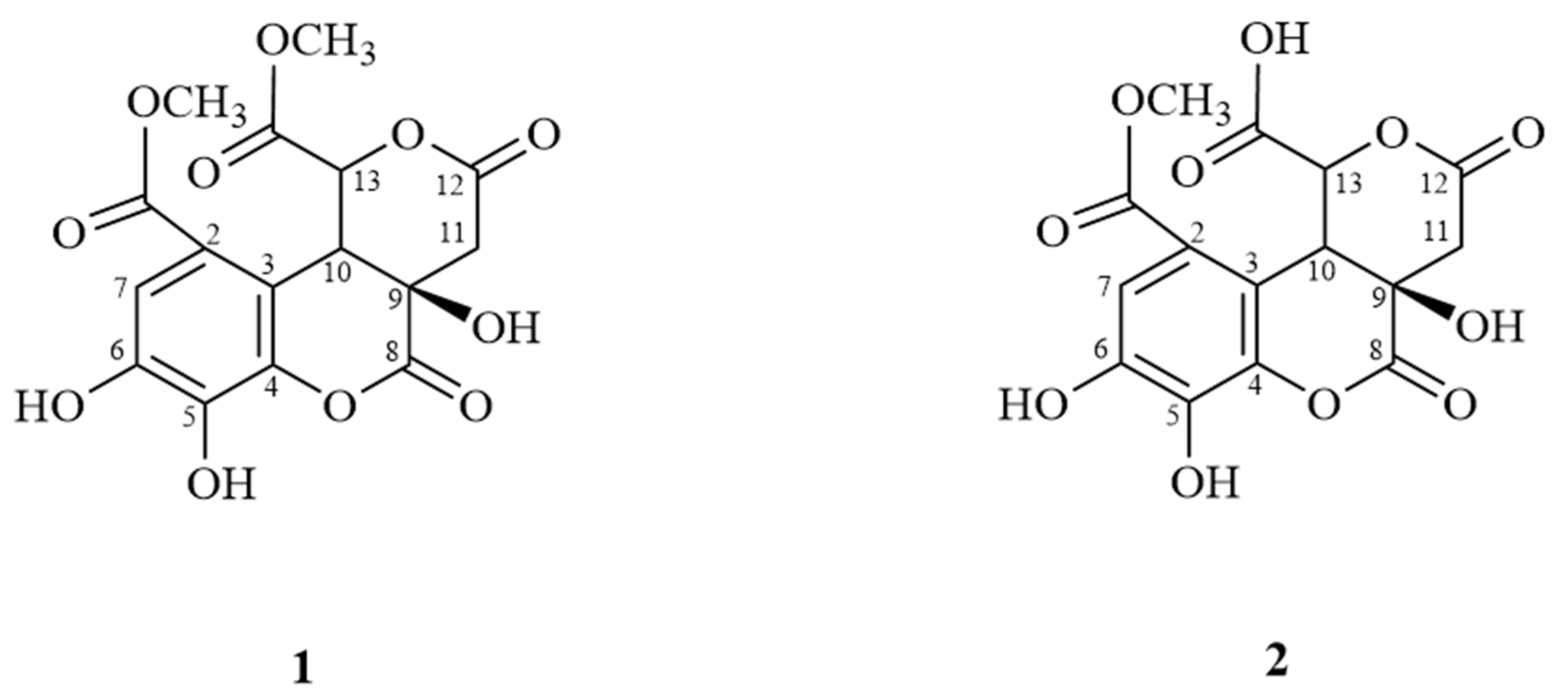
2.1.1. Euphormin-A (Compound 1)
2.1.2. Euphormin-B (Compound 2)
2.2. Anti-Inflammatory Activity
3. Materials and Methods
3.1. General Experimental Procedures
3.2. Plant Material
3.3. Extraction and Isolation
3.4. Bioassay Methods
3.4.1. Preparation of Human Neutrophils
3.4.2. Measurement of Superoxide Anion Generation
3.4.3. Measurement of Elastase Release
3.4.4. Statistical Analysis
4. Conclusions
Supplementary Materials
Author Contributions
Funding
Institutional Review Board Statement
Informed Consent Statement
Data Availability Statement
Acknowledgments
Conflicts of Interest
Sample Availability
References
- Jassbi, A.R. Chemistry and biological activity of secondary metabolites in Euphorbia from Iran. Phytochemistry 2006, 67, 1977–1984. [Google Scholar] [CrossRef] [PubMed]
- Shi, Q.W.; Su, X.S.; Kiyota, H. Chemical and pharmacological research of the plants in genus Euphorbia. Chem. Rev. 2008, 108, 4295–4327. [Google Scholar] [CrossRef] [PubMed]
- Saleem, H.; Zengin, G.; Locatelli, M.; Mollica, A.; Ahmad, I.; Mahomoodally, F.M.; Abidin, S.A.Z.; Ahemad, N. In vitro biological propensities and chemical profiling of Euphorbia milii Des Moul (Euphorbiaceae): A novel source for bioactive agents. Ind. Crop Prod. 2019, 130, 9–15. [Google Scholar] [CrossRef]
- Yang, Z.G.; Jia, L.N.; Shen, Y.; Ohmura, A.; Kitanaka, S. Inhibitory effects of constituents from Euphorbia lunulata on differentiation of 3T3-L1 cells and nitric oxide production in RAW264.7 Cells. Molecules 2011, 16, 8305–8318. [Google Scholar] [CrossRef] [Green Version]
- Tanaka, R.; Kasubuchi, K.; Kita, S.; Tokuda, H.; Nishino, H.; Matsunaga, S. Bioactive steroids from the whole herb of Euphorbia chamaesyce. J. Nat. Prod. 2000, 63, 99–103. [Google Scholar] [CrossRef]
- Shi, J.G.; Shi, Y.P.; Jia, Z.J. Sesquiterpenoids from Euphorbia wangii. Phytochemistry 1997, 45, 343–347. [Google Scholar]
- Appendino, G.; Jakupovic, S.; Tron, G.C.; Jakupovic, J.; Milon, V.; Ballero, M. Macrocyclic diterpenoids from Euphorbia semiperfoliata. J. Nat. Prod. 1998, 61, 749–756. [Google Scholar] [CrossRef]
- Cateni, F.; Zilic, J.; Zacchigna, M.; Procida, G. Cerebrosides with antiproliferative activity from Euphorbia peplis L. Fitoterapia 2010, 81, 97–103. [Google Scholar] [CrossRef]
- Mahmoud, Z.F.; Abdel Salam, N.A. Coumarins of Euphorbia terracina L. and Euphorbia paralias L. growing in Egypt. Pharmazie 1979, 34, 446–447. [Google Scholar]
- Liao, C.C.; Chen, S.C.; Huang, H.P.; Wang, C.J. Gallic acid inhibits bladder cancer cell proliferation and migration via regulating fatty acid synthase (FAS). J. Food Drug Anal. 2018, 26, 620–627. [Google Scholar] [CrossRef]
- Ranganathan, S.; Halagowder, D.; Sivasithambaram, N.D. Quercetin suppresses twist to induce apoptosis in MCF-7 breast cancer cells. PLoS ONE 2015, 10, e0141370. [Google Scholar] [CrossRef] [Green Version]
- Fang, Z.; Jeong, S.Y.; Jung, H.A.; Choi, J.S.; Min, B.S.; Woo, M.H. Anticholinesterase and antioxidant constituents from Gloiopeltis furcata. Chem. Pharm. Bull. 2010, 58, 1236–1239. [Google Scholar] [CrossRef] [PubMed] [Green Version]
- Tatewaki, N.; Konishi, T.; Nakajima, Y.; Nishida, M.; Saito, M.; Eitsuka, T.; Sakamaki, T.; Ikekawa, N.; Nishida, H. Squalene inhibits ATM-dependent signaling in γIR-induced DNA damage response through induction of Wip1 phosphatase. PLoS ONE 2016, 11, e0147570. [Google Scholar] [CrossRef] [PubMed] [Green Version]
- Yu, C.C.; Hsieh, C.R.; Hsiao, G.; Chen, P.Y.; Chang, M.L.; Yin, H.W.; Lee, T.H.; Lee, C.K. Regulated expressions of MMP-2, -9 by diterpenoids from Euphorbia formosana Hayata. Molecules 2012, 17, 2082–2090. [Google Scholar] [CrossRef] [Green Version]
- Lan, Y.H.; Yen, C.H.; Leu, Y.L. Chemical constituents from the aerial parts of Euphorbia formosana Hayata and their chemotaxonomic significance. Biochem. Syst. Ecol. 2020, 88, 103967. [Google Scholar] [CrossRef]
- Li, X.C.; Elsohly, H.N.; Hufford, C.D.; Clark, A.M. NMR assignments of ellagic acid derivatives. Magn. Reson. Chem. 1999, 37, 856–859. [Google Scholar] [CrossRef]
- Olea, R.S.G.; Torres, L.M.B.; Roque, L.C.; Roque, N.F. 13C NMR spectroscopic data for glutinol and derivatives. Magn. Reson. Chem. 1994, 32, 378–379. [Google Scholar] [CrossRef]
- Lago, J.H.G.; Brochini, C.B.; Roque, N.F. Terpenes from leaves of Guarea macrophylla (Meliaceae). Phytochemistry 2000, 55, 727–731. [Google Scholar] [CrossRef]
- Baldé, A.M.; Apers, S.; Bruyne, T.E.D.; Heuvel, H.V.D.; Claeys, M.; Vlietinck, A.J.; Pieters, L.A.C. Steroids from Harrisonia abyssinica. Planta Med. 2000, 66, 67–69. [Google Scholar] [CrossRef] [PubMed]
- Leong, Y.W.; Harrison, L.J. (20R,23E)-Eupha-8,23-diene-3β,25-diol from Tripetalum cymosum. Phytochemistry 1999, 50, 849–857. [Google Scholar] [CrossRef]
- Ruan, H.L.; Zhou, X.F.; Zhang, Y.H.; Pi, H.F.; Wu, J.Z.; Sun, H.D. Ferulic acid esters from Euphorbia hylonoma. Fitoterapia 2007, 78, 72–73. [Google Scholar] [CrossRef] [PubMed]
- Chang, Y.C.; Chang, F.R.; Wu, Y.C. The constituents of Lindera glauca. J. Chin. Chem. Soc. 2000, 47, 373–378. [Google Scholar] [CrossRef]
- Bolster, M.G.; Jansen, B.J.M.; Groot, A.D. The synthesis of ambrox®-like compounds starting from (+)-larixol. Tetrahedron 2001, 57, 5663–5679. [Google Scholar] [CrossRef]
- Xu, W.; Zhu, C.; Cheng, W.; Fan, X.; Chen, X.; Yang, S.; Guo, Y.; Ye, F.; Shi, J. Chemical constituents of the roots of Euphorbia micractina. J. Nat. Prod. 2009, 72, 1620–1626. [Google Scholar] [CrossRef] [PubMed]
- Khan, M.T.H.; Khan, S.B.; Ather, A. Tyrosinase inhibitory cycloartane type triterpenoids from the methanol extract of the whole plant of Amberboa ramosa Jafri and their structure-activity relationship. Bioorg. Med. Chem. 2006, 14, 938–943. [Google Scholar] [CrossRef]
- Duarte, N.; Lage, H.; Ferreira, M.J.U. Three new jatrophane polyesters and antiproliferative constituents from Euphorbia tuckeyana. Planta Med. 2008, 74, 61–68. [Google Scholar] [CrossRef] [PubMed] [Green Version]
- Lee, J.S.; Ma, C.M.; Park, D.K.; Yoshimi, Y.; Hatanaka, M.; Hattori, M. Transformation of ergosterol peroxide to cytotoxic substances by rat intestinal bacteria. Biol. Pharm. Bull. 2008, 31, 949–954. [Google Scholar] [CrossRef] [Green Version]
- Pakulski, G.; Budzianowski, J. Ellagic acid derivatives and naphthoquinones of Dionaea muscipula from in vitro cultures. Phytochemistry 1996, 41, 775–778. [Google Scholar] [CrossRef]
- Park, B.Y.; Min, B.S.; Oh, S.R.; Kim, J.H.; Bae, K.H.; Lee, H.K. Isolation of flavonoids, a biscoumarin and an amide from the flower buds of Daphne genkwa and the evaluation of their anti-complement activity. Phytother. Res. 2006, 20, 610–613. [Google Scholar] [CrossRef]
- Mezache, N.; Akkal, S.; Laouar, H.; Seguin, E. Flavonoids from Chrysanthemum myconis and their antibacterial activity. Chem. Nat. Compd. 2009, 45, 715–716. [Google Scholar] [CrossRef]
- Shintani, R.; Hayashi, T. Rhodium-catalyzed asymmetric 1,4-addition of sodium tetraarylborates to β,β-disubstituted α,β-unsaturated esters. Org. Lett. 2011, 13, 350–352. [Google Scholar] [CrossRef] [PubMed]
- Silva, O.; Gomes, E.T.; Wolfender, J.L.; Marston, A.; Hostettmann, K. Application of high performance liquid chromatography coupled with ultraviolet spectroscopy and electrospray mass spectrometry to the characterisation of ellagitannins from Terminalia macroptera roots. Pharm. Res. 2000, 17, 1396–1401. [Google Scholar] [CrossRef] [PubMed]
- Khallouki, F.; Haubner, R.; Hull, W.E.; Erben, G.; Spiegelhalder, B.; Bartsch, H.; Owen, R.W. Isolation, purification and identification of ellagic acid derivatives, catechins, and procyanidins from the root bark of Anisophyllea dichostyla R. Br. Food Chem. Toxicol. 2007, 45, 472–485. [Google Scholar] [CrossRef] [PubMed]
- Nishioka, T.; Kawabata, J.; Aoyama, Y. Baicalein, an α-glucosidase inhibitor from Scutellaria baicalensis. J. Nat. Prod. 1998, 61, 1413–1415. [Google Scholar] [CrossRef]
- Camacho-Luis, A.; Gayosso-De-Lucio, J.A.; Torres-Valencia, J.M.; Muñoz-Sánchez, J.L.; Alarcón-Hernández, E.; López, R.; Barrón, B.L. Antioxidant constituents of Geranium bellum rose. J. Mex. Chem. Soc. 2008, 52, 103–107. [Google Scholar]
- Fang, S.H.; Rao, Y.K.; Tzeng, Y.M. Anti-oxidant and inflammatory mediator’s growth inhibitory effects of compounds isolated from Phyllanthus urinaria. J. Ethnopharmacol. 2008, 116, 333–340. [Google Scholar] [CrossRef]
- Wu, T.S.; Chang, F.C.; Wu, P.L.; Kuoh, C.S.; Chen, I.S. Constituents of leaves of Tetradium glabrifolium. J. Chin. Chem. Soc. 1995, 42, 929–934. [Google Scholar] [CrossRef]
- Yoshida, T.; Itoh, H.; Matsunaga, S.; Tanaka, R.; Okuda, T. Tannins and related polyphenols of Euphorbiaceous plant. IX. Hydrolysable tannins with 1C4 glucose core from Phyllanthus flexosus MUELL. ARG. Chem. Pharm. Bull. 1992, 40, 53–60. [Google Scholar] [CrossRef] [Green Version]
- Wang, X.W.; Mao, Y.; Wang, N.L.; Yao, X.S. A new phloroglucinol diglycoside derivative from Hypericum japonicum Thunb. Molecules 2008, 13, 2796–2803. [Google Scholar] [CrossRef]
- Garcez, W.S.; Yoshida, M.; Gottlieb, O.R. Benzylisoquinoline alkaloids and flavonols from Ocotea vellosiana. Phytochemistry 1995, 39, 815–816. [Google Scholar] [CrossRef]
- Tanaka, T.; Fukumori, M.; Ochi, T.; Kouno, I. Paeonianins A-E, new dimeric and monomeric ellagitannins from the fruits of Paeonia lactiflora. J. Nat. Prod. 2003, 66, 759–763. [Google Scholar] [CrossRef] [PubMed]
- Liu, P.; Guo, H.; Tian, Y.; Wang, Q.; Guo, D. Benzoic acid allopyranosides from the bark of Pseudolarix kaempferi. Phytochemistry 2006, 67, 1395–1398. [Google Scholar] [CrossRef] [PubMed]
- Tantray, M.A.; Shawl, A.S.; Khuroo, M.A.; Bhat, B.A. Two new coumarins from Euonymus hamiltonianus. Fitoterapia 2008, 79, 234–235. [Google Scholar] [CrossRef] [PubMed]
- Nawwar, M.A.M.; Hussein, S.A.M.; Merfort, I. NMR Spectral analysis of polyphenols from Punica granatum. Phytochemistry 1994, 36, 793–798. [Google Scholar] [CrossRef]
- Kayser, O.; Kolodziej, H. Highly oxygenated coumarins from Pelargonium sidoides. Phytochemistry 1995, 39, 1181–1185. [Google Scholar] [CrossRef]
- Matsui, T.; Kudo, A.; Tokuda, S.; Matsumoto, K.; Hosoyama, H. Identification of a new natural vasorelaxatant compound, (+)-osbeckic acid, from rutin-free tartary buckwheat extract. J. Agric. Food. Chem. 2010, 58, 10876–10879. [Google Scholar] [CrossRef]
- Isono, F.; Sakaida, Y.; Takahashi, S.; Kinoshita, T.; Nakamura, T.; Inukai, M. Mureidomycins E and F, minor components of mureidomycins. J. Antibiot. 1993, 46, 1203–1207. [Google Scholar] [CrossRef]
- Muller, P.; Schutte, H.R. 1-Methyl-6-hydroxy-1,2,3,4-tetrahydroiso-qulinoline-3-carboxylic acid in the milky juice of Euphorbia myrsinites L. Z. Naturforsch. B J. Chem. Sci. 1968, 23, 491–493. [Google Scholar] [CrossRef]
- Miyake, Y.; Ebata, M. The structures of a β-galactosidase inhibitor, galactostatin, and its derivatives. Agric. Biol. Chem. 1988, 52, 661–666. [Google Scholar]
- Whitlock, H.W. The Aldrich Library of 13C and 1H FT NMR Spectra; Aldrich Chemical, Co.: St. Louis, MO, USA, 1993; Volume I, p. 311. [Google Scholar]
- Gattuso, G.; Barreca, D.; Caristi, C.; Gargiulli, C.; Leuzzi, U. Distribution of flavonoids and furocoumarins in juices from cultivars of Citrus bergamia Risso. J. Agric. Food. Chem. 2007, 55, 9921–9927. [Google Scholar] [CrossRef]
- Malech, H.L.; Gallin, J.I. Current concepts: Immunology neutrophils in human diseases. N. Engl. J. Med. 1987, 317, 687–694. [Google Scholar] [CrossRef]
- Witko-Sarsat, V.; Rieu, P.; Descamps-Latscha, B.; Lesavre, P.; Halbwachs-Mecarelli, L. Neutrophils: Molecules, functions and pathophysiological aspects. Lab. Investig. 2000, 80, 617–653. [Google Scholar] [CrossRef] [Green Version]
- Okajima, K.; Harada, N.; Uchiba, M. Ranitidine reduces ischemia/reperfusion-induced liver injury in rats by inhibiting neutrophil activation. J. Pharmacol. Exp. Ther. 2002, 301, 1157–1165. [Google Scholar] [CrossRef] [PubMed] [Green Version]
- Ennis, M. Neutrophils in asthma pathophysiology. Curr. Allergy Asthma Rep. 2003, 3, 159–165. [Google Scholar] [CrossRef] [PubMed]
- Vinten-Johansen, J. Involvement of neutrophils in the pathogenesis of lethal myocardial reperfusion Injury. Cardiovasc. Res. 2004, 61, 481–497. [Google Scholar] [CrossRef] [PubMed] [Green Version]
- Hwang, T.L.; Li, G.L.; Lan, Y.H.; Chia, Y.C.; Hsieh, P.W.; Wu, Y.H.; Wu, Y.C. Potent inhibition of superoxide anion production in activated human neutrophils by isopedicin, a bioactive component of the Chinese medicinal herb Fissistigma oldhamii. Free Radic. Biol. Med. 2009, 46, 520–528. [Google Scholar] [CrossRef] [PubMed]
- Leu, Y.L.; Hwang, T.L.; Kuo, P.C.; Liou, K.P.; Huang, B.S.; Chen, G.F. Constituents from Vigna vexillata and their anti-inflammatory activity. Int. J. Mol. Sci. 2012, 13, 9754–9768. [Google Scholar] [CrossRef] [PubMed] [Green Version]




| 1 | 2 | |||
|---|---|---|---|---|
| Position | δ (H) | δ (C) | uδ (H) | δ (C) |
| 1 | 166.5 | 168.1 | ||
| 2 | 116.8 | 117.6 | ||
| 3 | 119.9 | 122.2 | ||
| 4 | 147.9 | 148.8 | ||
| 5 | 134.9 | 133.9 | ||
| 6 | 147.2 | 145.8 | ||
| 7 | 7.19, s | 112.1 | 7.30, s | 112.0 |
| 8 | 169.1 | 176.6 | ||
| 9 | 88.0 | 90.0 | ||
| 10 | 4.80, d, J = 1.2 Hz | 48.3 | 4.97, d, J = 1.6 Hz | 49.3 |
| 11 | 3.16, d, J = 16.8 Hz | 36.3 | 2.96, d, J = 16.4 Hz | 37.7 |
| 3.29, d, J = 16.8 Hz | 3.15, d, J = 16.4 Hz | |||
| 12 | 170.9 | 174.6 | ||
| 13 | 5.41, d, J = 1.2 Hz | 79.1 | 4.65, d, J = 1.6 Hz | 82.1 |
| 14 | 170.5 | 176.6 | ||
| 1-OCH3 | 3.89, s | 53.0 | 3.74, s | 52.7 |
| 14-OCH3 | 3.79, s | 51.1 | ||
| Compounds | Superoxide Anion | Elastase |
|---|---|---|
| IC50 (μM) a | IC50 (μM) a or (Inh %) b | |
| 1 | 4.51 ± 0.45 | >10 |
| 2 | 3.68 ± 0.05 | >10 |
| 10 | 3.81 ± 0.43 | >10 |
| 18 | - | 8.07 ± 1.40 |
| 25 | 0.68 ± 0.18 | (17.65 ± 1.14) *** |
| 33 | 1.39 ± 0.12 | >10 |
| LY294002 c | 2.01 ± 0.06 | 3.24 ± 0.34 |
Publisher’s Note: MDPI stays neutral with regard to jurisdictional claims in published maps and institutional affiliations. |
© 2022 by the authors. Licensee MDPI, Basel, Switzerland. This article is an open access article distributed under the terms and conditions of the Creative Commons Attribution (CC BY) license (https://creativecommons.org/licenses/by/4.0/).
Share and Cite
Lan, Y.-H.; Chen, I.-H.; Lu, H.-H.; Guo, T.-J.; Hwang, T.-L.; Leu, Y.-L. Euphormins A and B, New Pyranocoumarin Derivatives from Euphorbia formosana Hayata, and Their Anti-Inflammatory Activity. Molecules 2022, 27, 1885. https://doi.org/10.3390/molecules27061885
Lan Y-H, Chen I-H, Lu H-H, Guo T-J, Hwang T-L, Leu Y-L. Euphormins A and B, New Pyranocoumarin Derivatives from Euphorbia formosana Hayata, and Their Anti-Inflammatory Activity. Molecules. 2022; 27(6):1885. https://doi.org/10.3390/molecules27061885
Chicago/Turabian StyleLan, Yu-Hsuan, I-Hsiao Chen, Hsin-Hung Lu, Ting-Jing Guo, Tsong-Long Hwang, and Yann-Lii Leu. 2022. "Euphormins A and B, New Pyranocoumarin Derivatives from Euphorbia formosana Hayata, and Their Anti-Inflammatory Activity" Molecules 27, no. 6: 1885. https://doi.org/10.3390/molecules27061885
APA StyleLan, Y.-H., Chen, I.-H., Lu, H.-H., Guo, T.-J., Hwang, T.-L., & Leu, Y.-L. (2022). Euphormins A and B, New Pyranocoumarin Derivatives from Euphorbia formosana Hayata, and Their Anti-Inflammatory Activity. Molecules, 27(6), 1885. https://doi.org/10.3390/molecules27061885

