Chemistry of Substituted Thiazinanes and Their Derivatives
Abstract
1. Introduction
2. Chemistry of Thiazinanes
2.1. Synthesis of Thiazinanes
2.1.1. Synthesis of 1,2-thiazinanes
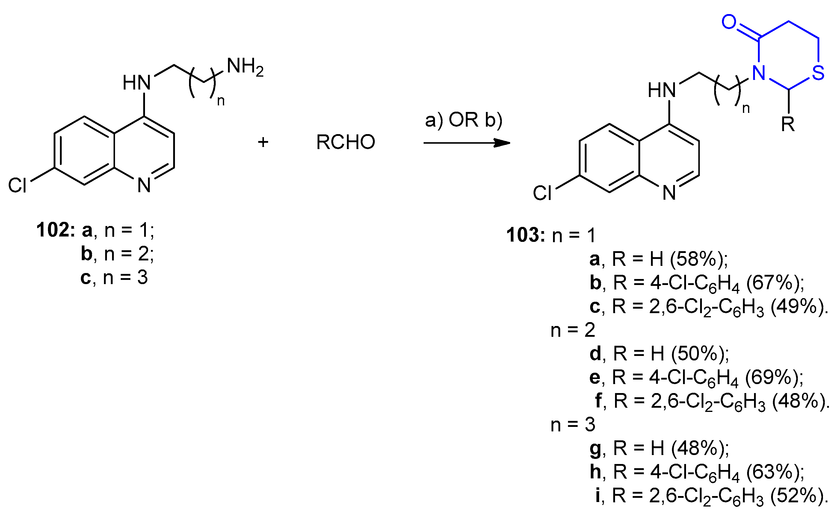
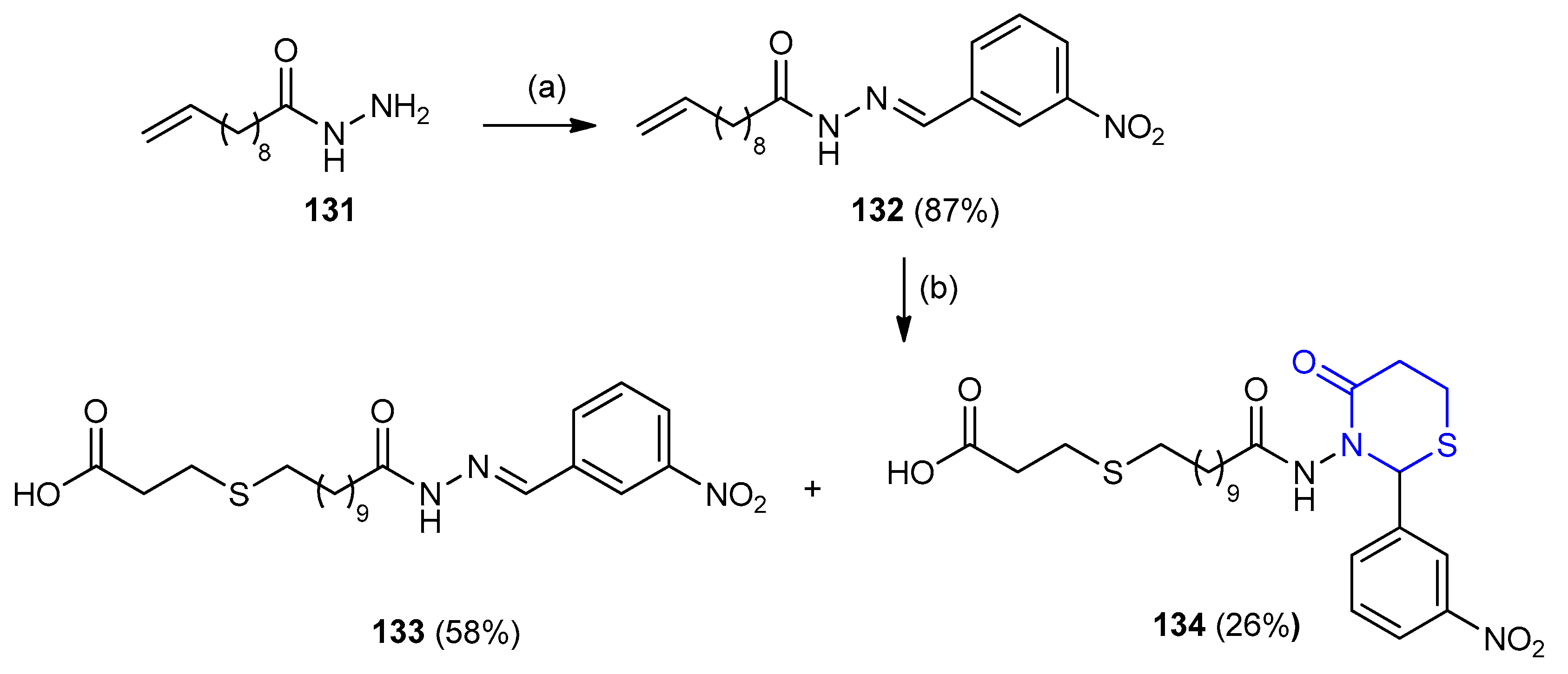
2.1.2. Syntheses of 1,3-thiazinanes
Syntheses of N-tosyl-1,3-thiazinanes
Synthesis of Epipyridazinoanthracen-1,3-thiazinane Propanenitrile
Synthesis of 2-imino-1,3-thiazinane Derivatives
Synthesis of 1,3-thiazinane-4-one Derivatives
Synthesis of 1,3-thiazinane-2-thione-4-one Derivatives
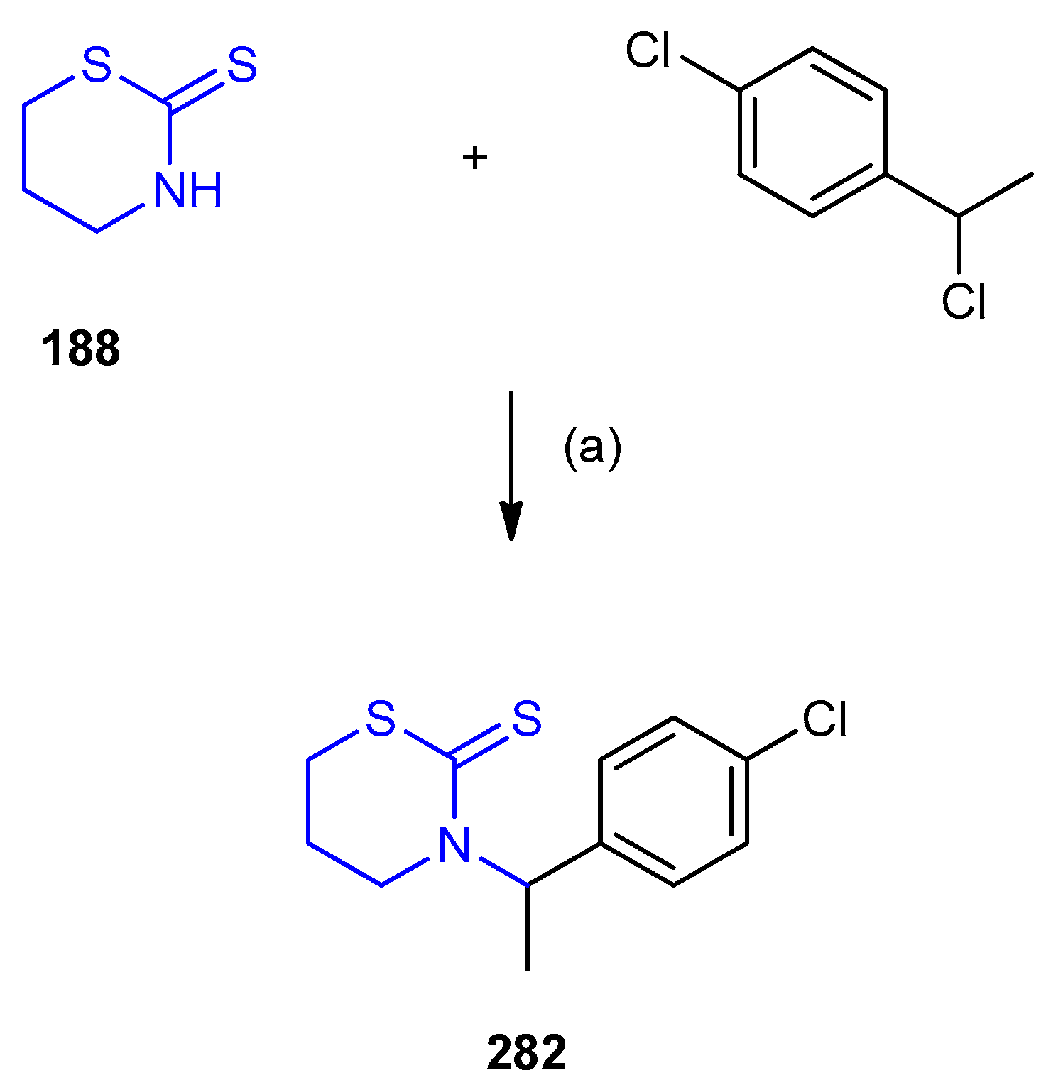
Synthesis of 1,3-thiazinane-2-thione Derivatives
Synthesis of 1,3-thiazinane-4-carboxylic Acid Derivatives
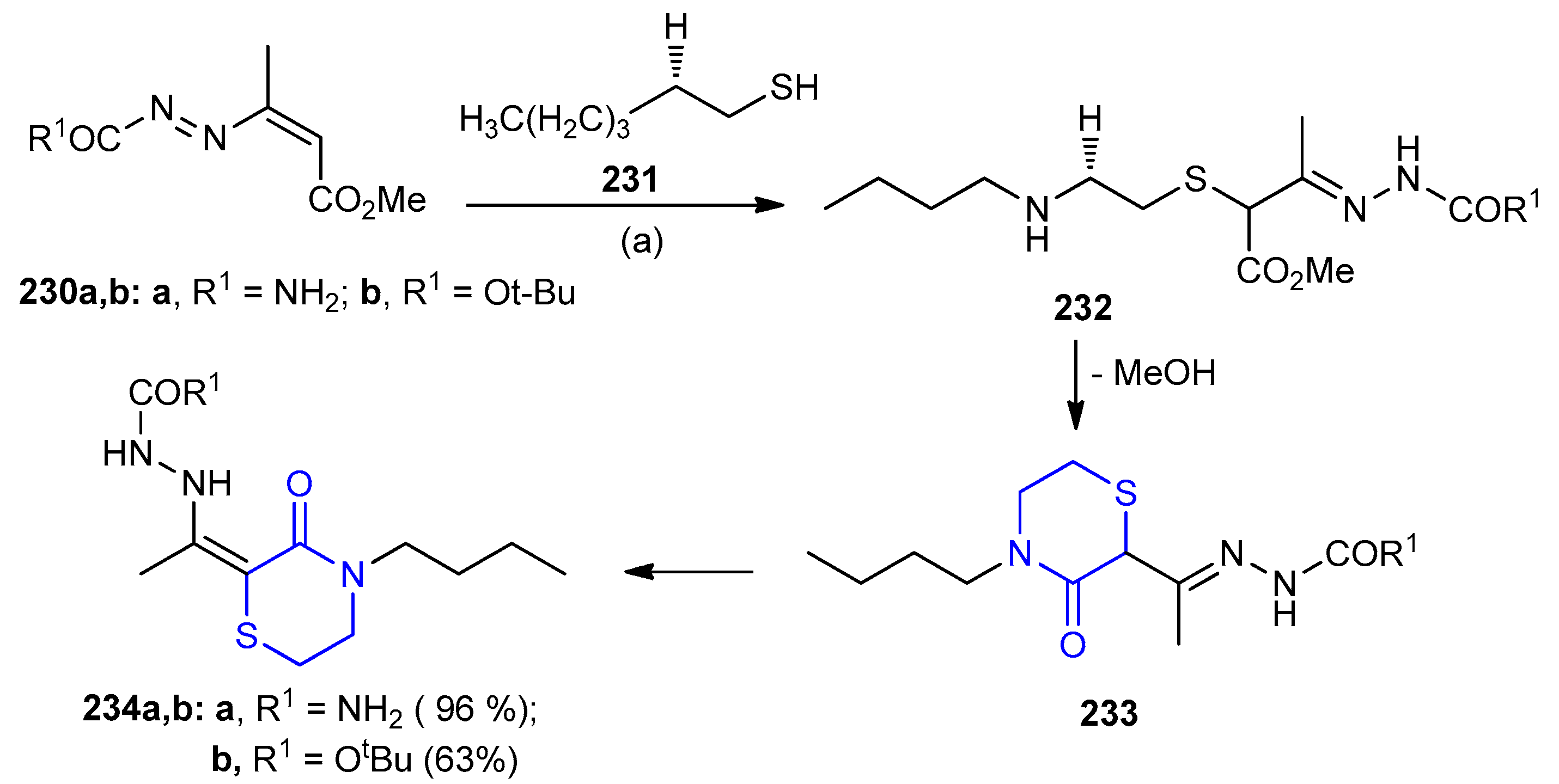
2.1.3. Synthesis of 1,4-thiazinane Derivatives
From Diazabutadiene and Butylaminoethanethiol
From Cyclic Sulfamidates
From Diethyl 2,2-sulfonyldiacetate
From Ethyl 2-[(2-oxo-2-arylethyl)sulfonyl]acetate
2.1.4. Synthesis of Fused Thiazinane Derivatives
Synthesis of Tetrahydrocyclopenta[e][1,3]thiazinan-2,4-dione
Synthesis of 1,3-benzothiazinan-4-one Derivatives
Synthesis of Tetrahydropyrido[2,1-b]-[1,3]thiazine-7-carboxylate
Synthesis of [1,3]thiazino[3,2-a]indole
Synthesis of [1,3]dioxolo[4′,5′:3,4]pyrido[2,1-b][1,3]thiazinanone
Synthesis of Octahydrobenzo[f][1,3]thiazino[2,3-b]quinazoline
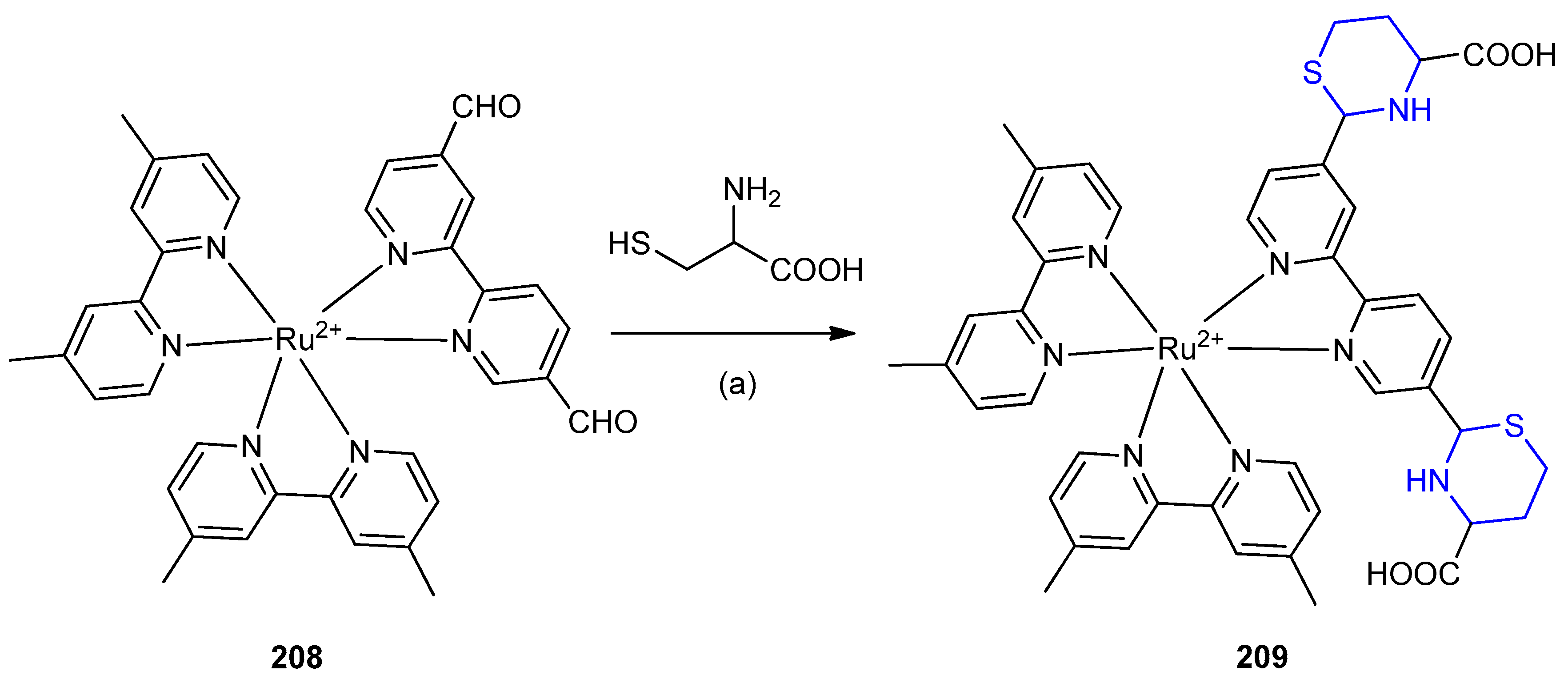
2.1.5. Synthesis of Spirothiazinane Derivatives
2.2. Reactions of Thiazinanes
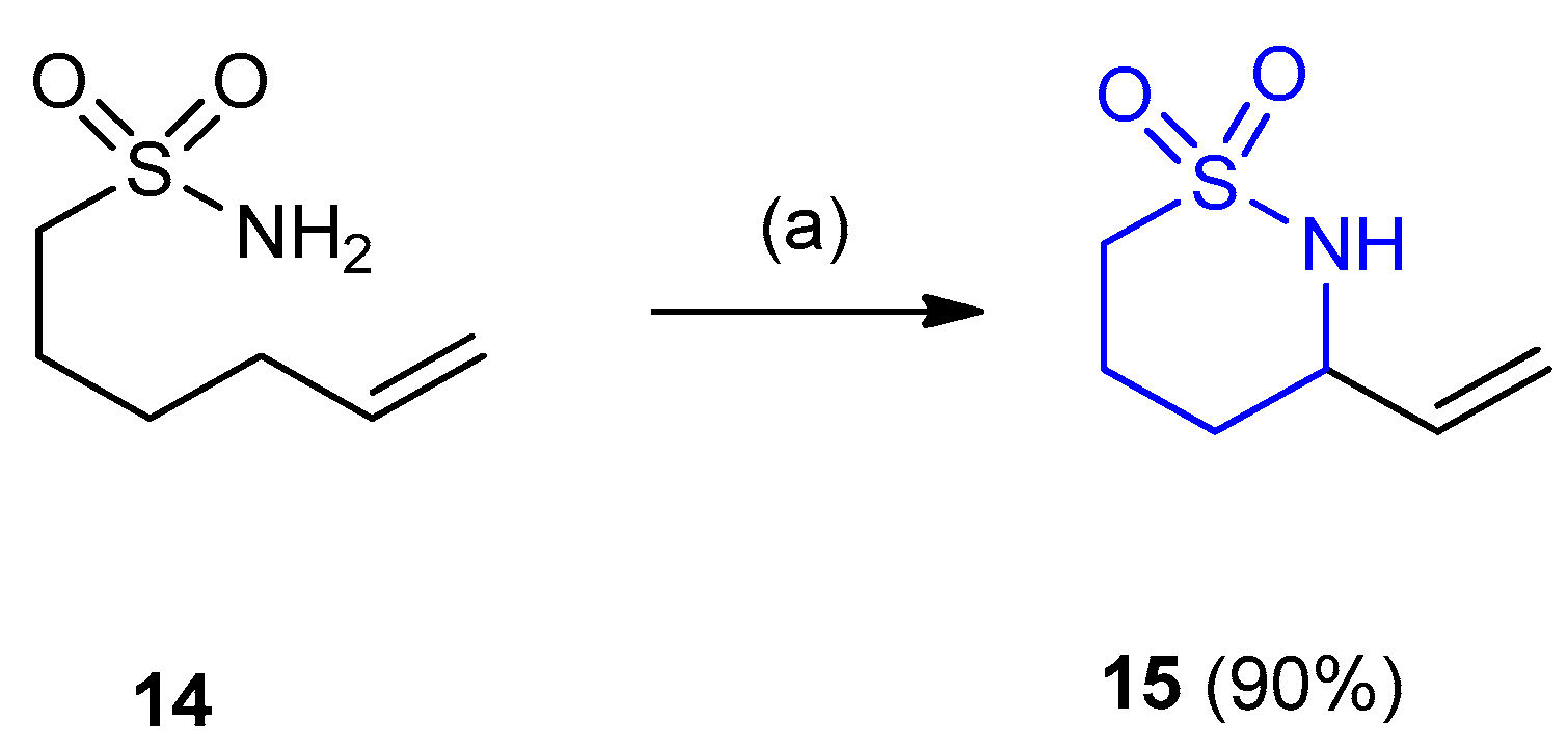
2.2.1. Reactions of 1,2-thiazinanes
N-Arylation of 1,2-thiazinane
2.2.2. Reactions of 1,3-thiazinanes
Ring-opening of N-substituted 1,3-thiazinanes and Synthesis of Thioesters
N-Alkylation of 1,3-thiazinane-2-thione
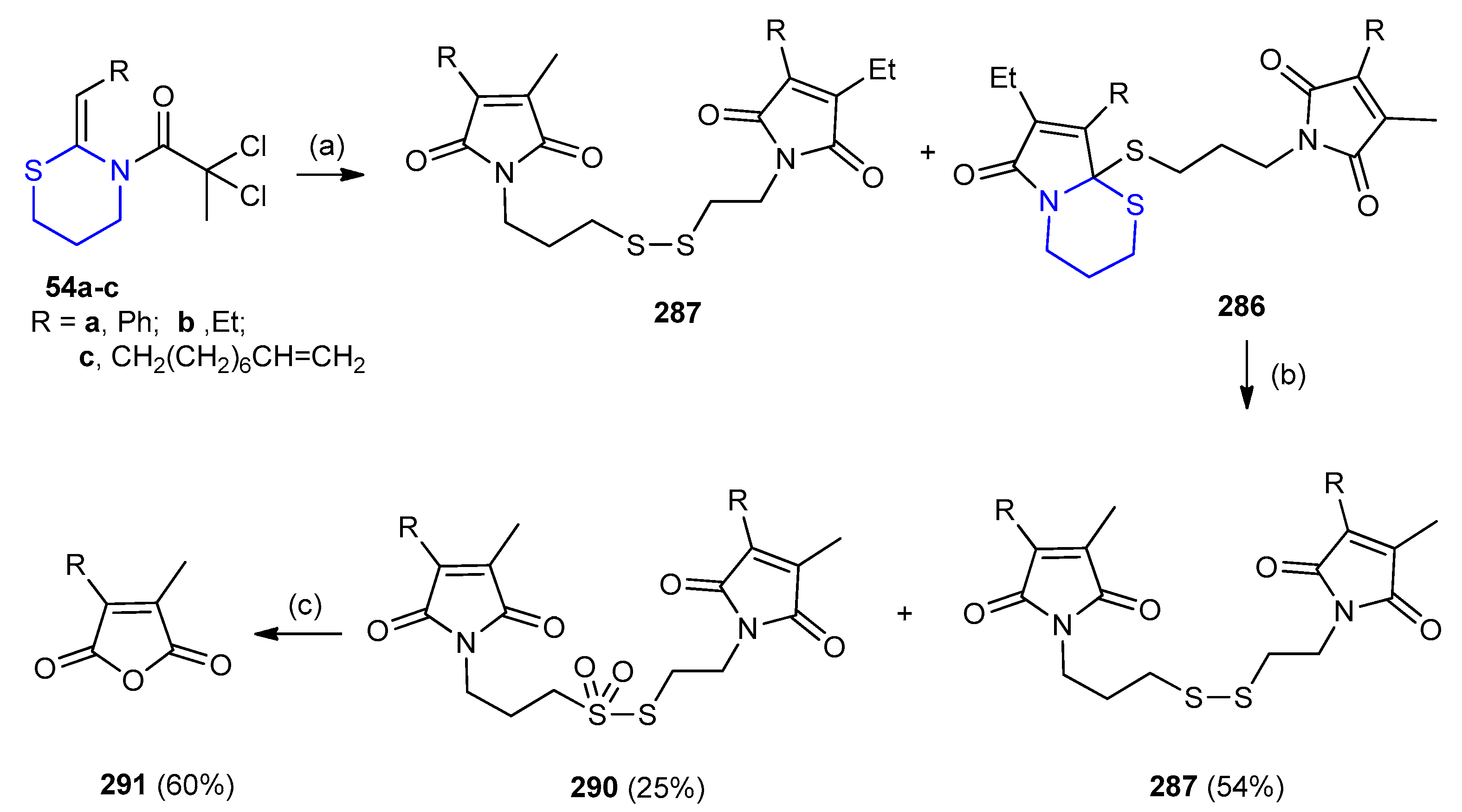
Synthesis of Bis-pyrrol and Bis-pyrrolothiazole
Synthesis of Maleic Anhydride
Synthesis of Bis-thiazinethioether
Synthesis of Benzo[4,5]thieno[3,2-b][1,5]thiazocin-6(3H)-one
3. Conclusions
Author Contributions
Funding
Acknowledgments
Conflicts of Interest
References
- Liu, C.M.; Li, B.; Shen, Y.H.; Zhung, W.D. Heterocyclic Compounds and Aromatic Diglycosides from Bretschneidera sinensis. J. Nat. Prod. 2010, 73, 1582–1585. [Google Scholar] [CrossRef] [PubMed]
- Glasby, J.S. Encyclopaedia of Antibiotics; John Wiley & Sons: London, UK, 1976; pp. 124–125. [Google Scholar]
- Kai, H.; Morioka, Y.; Tomida, M.; Takahashi, T.; Hattori, M.; Hanasaki, K.; Koike, K.; Chiba, H.; Shinohara, S.; Kanemasa, T.; et al. 2-Arylimino-5,6-dihydro-4H-1,3-thiazines as a new class of cannabinoid receptor agonists. Part 2: Orally bioavailable compounds. Bioorg. Med. Chem. Lett. 2007, 17, 3925–3929. [Google Scholar] [CrossRef] [PubMed]
- Trofimova, T.P.; Zefirova, O.N.; Mandrugin, A.A.; Fedoseev, V.M.; Peregud, D.I.; Onufriev, M.V.; Gulyaeva, N.V.; Proskuryakov, S.Y. Synthesis and Study of NOS-Inhibiting Activity of 2-N-Acylamino-5,6-dihydro-4H-1,3-thiazine. Mosc. Univ. Chem. Bull. 2008, 63, 274–277. [Google Scholar] [CrossRef]
- Hazuda, D.J.; Anthony, N.J.; Gomez, R.P.; Jolly, S.M.; Wai, J.S.; Zhuang, L.; Fisher, T.E.; Embrey, M.; Guare, J.P.; Egbertson, M.S.; et al. A naphthyridine carboxamide provides evidence for discordant resistance between mechanistically identical inhibitors of HIV-1 integrase. Proc. Natl. Acad. Sci. USA 2004, 101, 11233–11238. [Google Scholar] [CrossRef] [PubMed]
- Surrey, A.R.; Webb, W.G.; Gesler, R.M. Central Nervous System Depressants. The Preparation of Some 2-Aryl-4-metathiazanones. J. Am. Chem. Soc. 1958, 80, 3469–3471. [Google Scholar] [CrossRef]
- Chang, P.; Hung, M.C. Synthetic studies on chlormezanone. ZhonghuaYaoxchang Zazhi 1991, 43, 437. [Google Scholar]
- El-Sayed, O.A.; Aboul-Enein, H.Y. Synthesis and Antimicrobial Activity of Novel Pyrazolo[3,4-b]quinolone Derivatives. Arch. Pharma. 2001, 334, 117–120. [Google Scholar] [CrossRef]
- Salama, M.A.; El-Essa, S.A. Synthesis and reactions of some new substituted phenylhydrazono indeno-thiazolo[3,2-b]pyrimidine-3-ones of possible antimicrobial activity. Indian J. Chem. 2001, 40B, 678–681. [Google Scholar]
- Kawasaki, T.; Immaru, D.; Osaka, Y.; Tsuchiya, T.; Ono, S. Eur. patent 50003 (Cl. C07D279/06), 1982. Chem. Abstr. 1982, 97, 92300b. [Google Scholar]
- Fauber, B.P.; René, O.; Deng, Y.; DeVoss, J.; Eidenschenk, C.; Everett, C.; Ganguli, A.; Gobbi, A.; Hawkins, J.; Johnson, A.R.; et al. Discovery of 1-{4-[3-Fluoro-4-((3S,6R)-3-methyl-1,1-dioxo-6-phenyl[1,2] -thiazinan-2-yl-methyl) phenyl] piperazin-1-yl}ethanone (GNE-3500): A Potent, Selective, and Orally Bioavailable Retinoic Acid Receptor-Related Orphan Receptor C (RORc or RORγ) Inverse Agonist. J. Med. Chem. 2015, 58, 5308–5322. [Google Scholar] [CrossRef]
- Steverding, D. The development of drugs for treatment of sleeping sickness: A historical review. Parasites Vectors 2010, 3, 15–24. [Google Scholar] [CrossRef] [PubMed]
- Alirol, E.; Schrumpf, D.; Heradi, J.A.; Riedel, A.; de Patoul, C.; Quere, M.; Chappuis, F. Nifurtimox-eflornithine combination therapy for second-stage gambiense human African trypanosomiasis: Médecins Sans Frontières experience in the Democratic Republic of the Congo. Clin. Infect. Dis. Off. Publ. Infect. Dis. Soc. Am. 2012, 56, 195–203. [Google Scholar] [CrossRef]
- Botero, A.; Keatley, S.; Peacock, C.; Thompson, R.C.A. In vitro drug susceptibility of two strains of the wildlife trypanosome, Trypanosoma copemani: A comparison with Trypanosoma cruzi. Int. J. Parasitol. 2017, 7, 34–41. [Google Scholar] [CrossRef] [PubMed]
- Harris, M.; Price, R.N.; Robinson, J.; May, T.E.; Wadayama, N. WL108477—A novel neurotoxic insecticide. Proc. Br. Crop Prot. Conf. 1986, 115–122. [Google Scholar]
- Rawal, R.K.; Tripathi, R.; Katti, S.B.; Pannecouque, C.; De Clercq, E. Synthesis and evaluation of 2-(2,6-dihalophenyl)-3-pyrimidinyl-1,3-thiazolidin-4-one analogues as anti-HIV-1 agents. Bioorg. Med. Chem. 2007, 15, 3134–3142. [Google Scholar] [CrossRef]
- Rawal, R.K.; Tripathi, R.; Katti, S.B.; Pannecouque, C.; De Clercq, E. Design, synthesis, and evaluation of 2-aryl-3-heteroaryl-1,3-thiazolidin-4-ones as anti-HIV agents. Bioorg. Med. Chem. 2007, 15, 1725–1731. [Google Scholar] [CrossRef]
- Verma, A.; Saraf, S.K. 4-Thiazolidinone-A biologically active scaffold. Eur. J. Med. Chem. 2008, 43, 897–905. [Google Scholar] [CrossRef]
- Kamel, M.M.; Ali, H.I.; Anwar, M.M.; Mohamed, N.A.; Soliman, A.M. Synthesis, antitumor activity and molecular docking study of novel Sulfonamide-Schiff’s bases, thiazolidinones, benzothiazinones and their C-nucleoside derivatives. Eur. J. Med. Chem. 2010, 45, 572–580. [Google Scholar] [CrossRef]
- Verma, A.; Verma, S.S.; Saraf, S.K. A DIC mediated expeditious small library synthesis and biological activity of thiazolidin-4-one and 1,3-thiazinan-4-one derivatives. J. Heterocycl. Chem. 2010, 47, 1084–1089. [Google Scholar] [CrossRef]
- Kumawat, M.K.; Singh, U.P.; Singh, B.; Prakash, A.; Chetia, D. Synthesis and antimalarial activity evaluation of 3-(3-(7-chloroquinolin-4-ylamino)propyl)-1,3-thiazinan-4-one derivatives. Arabian J. Chem. 2016, 9, S643–S647. [Google Scholar] [CrossRef]
- Bosenbecker, J.; Bareño, V.D.O.; Difabio, R.; Vasconcellos, F.A.; Dutra, F.S.P.; Oliveira, P.S.; Barschak, A.G.; Stefanello, F.M.; Cunico, W.J. Synthesis and Antioxidant Activity of 3-(Pyridin-2-ylmethyl)-1,3- thiazinan(thiazolidin)-4-ones. Biochem. Mol. Toxicol. 2014, 28, 425–432. [Google Scholar] [CrossRef] [PubMed]
- Lee, J.; Zhong, Y.L.; Reamer, R.A.; Askin, D. Practical Synthesis of Sultams via Sulfonamide Dianion Alkylation: Application to the Synthesis of Chiral Sultams. Org. Lett. 2003, 5, 4175–4177. [Google Scholar] [CrossRef] [PubMed]
- Jiang, L.; Buchwald, S. Palladium-Catalyzed Aromatic Carbon-Nitrogen Bond Formation. In Metal-Catalyzed Cross-Coupling Reactions, 2nd ed.; De Meijere, A., Diederich, F., Eds.; Wiley-VCH: Weinheim, Germany, 2003; Volume 2, pp. 699–760. [Google Scholar]
- Kenworthy, M.N.; Taylor, R.J.K. Tethered aminohydroxylation using acyclic homo-allylic sulfamate esters and sulfonamides as substrates. Org. Biomol. Chem. 2005, 3, 603–611. [Google Scholar] [CrossRef] [PubMed]
- Padwa, A.; Flick, A.C.; Leverett, C.A.; Stengel, T. Rhodium (II)-Catalyzed Aziridination of Allyl-Substituted Sulfonamides and Carbamates. J. Org. Chem. 2004, 69, 6377–6386. [Google Scholar] [CrossRef] [PubMed]
- Liang, J.L.; Yuan, S.X.; Chan, P.W.H.; Che, C.M. Rhodium (II,II) Dimer as an Efficient Catalyst for Aziridination of Sulfonamides and Amidation of Steroids. Org. lett. 2004, 4, 4507–4510. [Google Scholar] [CrossRef]
- Zhang, W.; Ai, J.; Shi, D.; Peng, X.; Ji, Y.; Liu, J.; Geng, M.; Li, Y. Discovery of novel type II c-Met inhibitors based on BMS-777607. Eur. J. Med. Chem. 2014, 80, 254–266. [Google Scholar] [CrossRef]
- Dauban, P.; Dodd, R.H. Synthesis of Cyclic Sulfonamides via Intramolecular Copper-Catalyzed Reaction of Unsaturated Iminoiodinanes. Org. Lett. 2000, 2, 2327–2329. [Google Scholar] [CrossRef]
- Eckhardt, M.; Frattini, S. New Indanyloxy Dhydrobenzofuranylacetic Acid. U.S. Patent 0,252,937 A1, 26 September 2013. [Google Scholar]
- Campbell, A.D.; Birch, A.M. Expedient Syntheses of Sulfonylhydantoins and Two Six-Membered Analogues. Synlett 2005, 5, 0834–0838. [Google Scholar] [CrossRef]
- Liu, X.Y.; Li, C.H.; Che, C.M. Phosphine Gold (I)-Catalyzed Hydroamination of Alkenes under Thermal and Microwave-Assisted Conditions Org. J. Am. Chem. Soc. 2006, 8, 2707–2710. [Google Scholar] [CrossRef]
- Khan, H.P.A.; Chakraborty, T.K. Diversity-Oriented Approach to N-Heterocyclic Compounds from α-Phenyl-β-enamino Ester via a Mitsunobu-Michael Reaction Sequence. J. Org. Chem. 2018, 83, 2027–2039. [Google Scholar] [CrossRef]
- Khalil, A.M.; Berghot, M.A.; Gouda, M.A. Synthesis and antibacterial activity of some new thiazole and thiophene derivatives. Eur. J. Med. Chem. 2009, 44, 4434–4440. [Google Scholar] [CrossRef] [PubMed]
- Cornia, A.; Felluga, F.; Frenna, V.; Ghelfi, F.; Parsons, A.F.; Pattarozzi, M.; Roncaglia, F.; Spinelli, D. CuCl-catalyzed radical cyclisation of N-a-perchloroacyl-ketene-N,S-acetals: A new way to prepare disubstituted maleic anhydrides. Tetrahedron 2012, 68, 5863–5881. [Google Scholar] [CrossRef]
- Fuganti, C.; Gatti, F.G.; Serra, S. A general method for the synthesis of the most powerful naturally occurring Maillard flavors. Tetrahedron 2007, 63, 4762–4767. [Google Scholar] [CrossRef]
- Minić, A.; Bugarinović, J.P.; Pejović, A.; Komatina, D.I.; Bogdanović, G.A.; Damljanović, I.; Stevanović, D. Synthesis of novel ferrocene-containing 1,3-thiazinan-2-imines: One-pot reaction promoted by ultrasound irradiation. Tetrahedron Lett. 2018, 59, 3499–3502. [Google Scholar] [CrossRef]
- Sineokov, A.P.; Sergeeva, M.E. [C. A. 66(1967)55150s]. Zh. Org. Khim. 1967, 3, 1468. [Google Scholar]
- Taborsky, R. Thiol Addition of Thiourea in Heterocyclic Ring Formation: Preparation of 5-Ethyl-6-phenyl- meta-thiazane-2,β-dion. J. Org. Chem. 1958, 23, 1779–1780. [Google Scholar] [CrossRef]
- Zimmermann, R. A Simple Synthesis of 2-Imino-4-oxo-3,5H-1,3-thiazine-6-carboxylic Esters. Angew. Chem. Int. Ed. 1962, 1, 663. [Google Scholar] [CrossRef]
- Gresham, T.L.; Jansen, J.E.; Shaver, F.W.; Gregory, J.T. β-Propiolactone. III. Reactions with Dithiocarbamic Acids, their Salts and Thiourea. J. Am. Chem. Soc. 1948, 70, 1001–1002. [Google Scholar] [CrossRef]
- Misra, A.I. Certain Thiazolo-Benzimidazoles and Thiazino-Benzimidazoles. J. Org. Chem. 1958, 23, 897–899. [Google Scholar] [CrossRef]
- Ebetino, F.F.; Gever, G. Chemotherapeutic Nitrofurans. VII. The Formation of 5-Nitrofurfurylidene Derivatives of Some Aminoguanidines, Aminotriazoles, and Related Compounds. J. Org. Chem. 1962, 27, 188–191. [Google Scholar] [CrossRef]
- Gouvêa, D.P.; Berwaldt, G.A.; Neuenfeldt, P.D.; Nunes, R.J.; Almeida, W.P.; Cunico, W. Synthesis of Novel 2-Aryl-3-(2-morpholinoethyl)-1,3-thiazinan-4-ones Via Ultrasound Irradiation. J. Braz. Chem. Soc. 2016, 27, 1109–1115. [Google Scholar] [CrossRef]
- Mansuroğlu, D.S.; Arslan, H.; Van Derveer, D.; Binzet, G. Phosphorus Sulfur Silicon and Related Compounds. Phosphorus Sulfur Silicon 2009, 184, 3221–3230. [Google Scholar] [CrossRef]
- Zhao, H.R.; Meng, X.W. (Z)-2-[(2,4-Dimethylphenyl)imino]-1,3-thiazinan-4-one. Acta Cryst. 2011, E67, o110. [Google Scholar] [CrossRef] [PubMed]
- Khan, A.; Husain, S.R.; Ahmad, F.; Siddiqui, M.S.; Pimlott, W. Derivatization of keto fatty acids, X: Synthesis of thiazanones. Lipids 1987, 22, 578–582. [Google Scholar] [CrossRef]
- Nakayama, M.; Shinke, S.; Matsushita, Y.; Ohira, S.; Hayashi, S. Allylic Oxidation of Methyl 2-Alkenoates. Bull. Chem. Soc. Jpn. 1979, 52, 184–185. [Google Scholar] [CrossRef]
- Lie Ken Jie, M.S.F. The synthesis of rare and unusual fatty acids. Prog. Lipid Res. 1993, 32, 151–194. [Google Scholar] [CrossRef]
- Rassukana, Y.V.; Yelenich, I.P.; Synytsya, A.D.; Onys’ko, P.P. Fluorinated NH-iminophosphonates and iminocarboxylates: Novel synthons for the preparation of biorelevant α-aminophosphonates and carboxylates. Tetrahedron 2014, 70, 2928–2937. [Google Scholar] [CrossRef]
- Srivastava, T.; Haq, W.; Katti, S.B. Carbodiimide mediated synthesis of 4-thiazolidinones by one-pot three-component condensation. Tetrahedron 2002, 58, 7619–7624. [Google Scholar] [CrossRef]
- Walter, W.; Krohn, J. The Reaction of Thioamides with Diphenylcyclopropenone. Justus Liebigs Ann. Chem. 1971, 752, 136–141. [Google Scholar] [CrossRef]
- Hwu, J.R.; Gupta, N.K.; Tsay, S.C.; Huang, W.C.; Albulescu, I.C.; Kovacikova, K.; Van Hemert, M.J. Bis(benzofuranethiazolidinone)s and bis(benzo-furanethiazinanone)s as inhibiting agents for chikungunya virus. Antivir. Res. 2017, 146, 96–101. [Google Scholar] [CrossRef]
- Solomon, V.R.; Haq, W.; Srivastava, K.; Puri, S.K.; Katti, S.B. Synthesis and Antimalarial Activity of Side Chain Modified 4-Aminoquinoline Derivatives. J. Med. Chem. 2007, 50, 394–398. [Google Scholar] [CrossRef]
- Solomon, V.R.; Pundir, S.; Le, H.T.; Lee, H. Design and synthesis of novel quinacrine-[1,3]-thiazinan-4-one hybrids for their antibreast cancer activity. Eur. J. Med. Chem. 2018, 143, 1028–1038. [Google Scholar] [CrossRef] [PubMed]
- Zebardast, T.; Zarghi, A.; Daraie, B.; Hedayati, M.; Dadrass, O.G. Design and synthesis of 3-alkyl-2-aryl-1,3-thiazinan-4-one derivatives as selective cyclooxygenase (COX-2) inhibitors. Bioorg. Med. Chem. Lett. 2009, 19, 3162–3165. [Google Scholar] [CrossRef] [PubMed]
- Umamatheswaria, S.; Sankar, C. Synthesis, Identification and in vitro biological evaluation of some novel quinolone incorporated 1,3-thiazinan-4-one derivatives. Bioorg. Med. Chem. Lett. 2017, 27, 695–699. [Google Scholar] [CrossRef] [PubMed]
- Qi, B.; Yang, Y.; Gong, G.; He, H.; Yue, X.; Xu, X.; Hu, Y.; Li, J.; Chen, T.; Wan, X.; et al. Discovery of N1-(4-((7-(3-(4-ethylpiperazin-1-yl)propoxy)-6-methoxyquinolin-4-yl)oxy)-3,5-difluoro- phenyl)-N3-(2-(2,6-difluorophenyl)-4-oxothiazolidin-3-yl)urea as a multi-tyrosine kinase inhibitor for drug-sensitive and drug-resistant cancers treatment. Eur. Med. Chem. 2019, 163, 10–27. [Google Scholar] [CrossRef]
- Hassan, A.A.; Mohamed, N.K.; Aly1, A.A.; Tawfeek, H.N.; Hopf, H.; Bräse, S.; Nieger, M. Convenient diastereoselective synthesis of annulated 3 substituted (5S*,6S*,Z) 2 (2 (2,4 dinitrophenyl)hydrazono) 5,6 diphenyl 1,3 thiazinan 4 ones. Mol. Divers. 2019, 23, 821–828. [Google Scholar] [CrossRef]
- Zhou, H.; Liu, A.; Li, X.; Ma, X.; Feng, W.; Zhang, W.; Yan, B. Microwave-Assisted Fluorous Synthesis of 2-Aryl-Substituted 4-Thiazolidinone and 4-Thiazinanone Libraries. J. Comb. Chem. 2008, 10, 303–312. [Google Scholar] [CrossRef]
- Mykhaylychenko, S.S.; Pikun, N.V.; Rusanov, E.B.; Shermolovich, Y.G. Synthesis of fluorine-containing 1,3-thiazine derivatives from primary Polyfluoroalkanethioamides. J. Fluorine Chem. 2014, 168, 105–110. [Google Scholar] [CrossRef]
- Rahman, V.P.M.; Mukhtar, S.; Ansari, W.H.; Lemiere, G. Synthesis, stereochemistry and biological activity of some novel long alkyl chain substituted thiazolidin-4-ones and thiazan-4-one from 10-undecenoic acid hydrazide. Eur. J. Med. Chem. 2005, 40, 173–184. [Google Scholar] [CrossRef]
- Ramani, A.V.; Monika, A.; Indira, V.L.; Karyavardhi, G.; Venkatesh, J.; Jeankumar, V.U.; Manjashetty, T.H.; Yogeeswari, P.; Sriram, D. Synthesis of highly potent novel anti-tubercular isoniazid analogues with preliminary pharmacokinetic evaluation. Bioorg. Med. Chem. Lett. 2012, 22, 2764–2767. [Google Scholar] [CrossRef]
- Raza, S.; Srivastava, S.P.; Srivastava, D.S.; Srivastava, A.K.; Haq, W.; Katti, S.B. Thiazolidin-4-one and Thiazinan-4-one Derivatives Analogous to Rosiglitazone as Potential Antihyperglycaemic and Antidyslipidemic Agents. Eur. J. Med. Chem. 2013, 63, 611–620. [Google Scholar] [CrossRef] [PubMed]
- Rane, R.A.; Sahu, N.U.; Shah, C.P. Synthesis and antibiofilm activity of marine natural product-based 4-thiazolidinones derivatives. Bioorg. Med. Chem. Lett. 2012, 22, 7131–7134. [Google Scholar] [CrossRef] [PubMed]
- Haggam, R.A.; Assy, M.G.; Sherif, M.H.; Galahom, M.M. Facile synthesis of some condensed 1,3-thiazines and thiazoles under conventional conditions: Antitumor activity. Res. Chem. Intermed. 2017, 43, 6299–6315. [Google Scholar] [CrossRef]
- Marković, R.; Baranac, M.; Džambaski, Z.; Stojanović, M.; Steel, P.J. High regioselectivity in the heterocyclization of β-oxonitriles to 4-oxothiazolidines: X-ray structure proof. Tetrahedron 2003, 59, 7803–7810. [Google Scholar] [CrossRef]
- Pohloudek-Fabini, R.; Schkopl, E. [C. A. 71(1969)124387s]. Pharmazie 1969, 24, 96. [Google Scholar]
- Sá, M.M.; Fernandes, L.; Ferreira, M.; Bortoluzzi, A.J. Synthesis of allylic thiocyanates and novel 1,3-thiazin-4-ones from 2-(bromomethyl)alkenoates and S-nucleophiles in aqueous medium. Tetrahedron Lett. 2008, 49, 1228–1232. [Google Scholar] [CrossRef]
- Sá, M.M.; Ferreira, M.; Bortoluzzi, A.J.; Fernandes, L.; Cunha, S. Exploring the reaction of multifunctional allylic bromides with N,S-dinucleophiles: Isothiouronium salts and analogs as useful motifs to assemble the 1,3-thiazine core. Arkivoc 2010, xi, 303–321. [Google Scholar] [CrossRef]
- Turkevich, N.M.; Vladzimirskaya, E.V.; Vengrinovich, L.M. UV absorption spectra and reactivity of 4-oxo and 4-thioxo derivatives of 1,3-thiazane. Chem. Heterocycl Compd. 1969, 5, 376–378. [Google Scholar] [CrossRef]
- Ferreira M, Assunção LS, Filippin-Monteiro FB, Creczynski-Pasa TB, Sá MM (2013) Synthesis of 1,3-thiazine-2,4-diones with potential anticancer activity. Eur. J. Med. Chem. 1972, 70, 411–418. [CrossRef]
- Haning, H.; Mueller, U.; Schmidt, G.; Schmeck, G.; Voehringer, V.; Kretschmer, A.; Bischoff, H. Novel heterocyclic thyromimetics. Part 2. Bioorg. Med. Chem. Lett. 2007, 17, 3992–3996. [Google Scholar] [CrossRef]
- Sabala, R.; Hernández, J.; Carranza, V.; Meza-León, R.L.; Bernès, S.; Sansinenea, E.; Ortiz, A. Rearrangement of oxazolidinethiones to thiazolidinediones or thiazinanediones and their application for the synthesis of chiral allylic ureas and α-methyl-β-amino acids. Tetrahedron 2010, 66, 111–120. [Google Scholar] [CrossRef]
- Siddiqui, I.R.; Singh, P.K.; Srivastava, V.; Singh, J. Organic synthesis using clay and clay-supported catalysts. J. Chem. 2010, 49B, 512–520. [Google Scholar] [CrossRef]
- Shaabani, A.; Hooshmand, S.E. Diversity-oriented catalyst-free synthesis of pseudopeptides containing rhodanine scaffolds via a one-pot sequential isocyanide-based sixcomponent reactions in water using ultrasound irradiation. Ultrason. Sonochem. 2018, 40, 84–90. [Google Scholar] [CrossRef] [PubMed]
- Mumm, O. Umsetzung von Säureimidchloriden mit Salzen organischer Säuren und mit Cyankalium Ber. Dtsch. Chem. Ges. 1910, 43, 886–893. [Google Scholar] [CrossRef]
- Halimehjani, A.Z.; Nosood, Y.L. Investigation of the Reaction of In Situ Prepared Dithiocarbamic Acids with Itaconic Anhydride in Water. J. Heterocycl. Chem. 2017, 54, 3372–3376. [Google Scholar] [CrossRef]
- Nasiri, F.; Zolali, A.; Ahmadiazar, M. Solvent Free One-Pot Synthesis of 2-thioxo-1,3-thiazinane-4-one Derivatives. Phosphorus Sulfur Silicon Relat. Compd. 2014, 189, 180–184. [Google Scholar] [CrossRef]
- Basavaiah, D.; Pal, S.; Veeraraghavaiah, G.; Bharadwaj, K.C. The BayliseHillman acetates as a source of ambiphilic molecules: A simple synthesis of 1,3-thiazinane-2-thione frameworks. Tetrahedron 2015, 71, 4659–4664. [Google Scholar] [CrossRef]
- Nasiri, F.; Zolali, A.; Kadkhoda, J. Stereoselective Solvent-Free Synthesis of 4-Hydroxy-1,3-thiazinane-2-thiones. J. Heterocycl. Chem. 2016, 53, 937–940. [Google Scholar] [CrossRef]
- Felder, E.; Fumaģalli, L.; Pitré, D. Eine Synthese des (+)-Homopantethins. Helv. Chim. Acta 1963, 46, 752–757. [Google Scholar] [CrossRef]
- Hanefeld, W.; Bercin, E. Untersuchungen an 1,3-Thiazinen, 15. Mitt. Neue Synthese für N-substituierte Tetrahydro-1,3-thiazin-2-thione. Arch. Pharm. 1981, 314, 413–419. [Google Scholar] [CrossRef]
- Hanefeld, W. Untersuchungen an 1,3-Thiazinen, VIII. Konkurrierende Bildung von Tetrahydro-1,3-thiazin-2-thionen und 2-Imino-1,3-dithianen. Arch. Pharm. 1981, 310, 409–417. [Google Scholar] [CrossRef]
- Katritzky, A.R.; Singh, S.; Mohapatra, P.P.; Clemens, N.; Kirichenko, K. Synthesis of functionalized dithiocarbamates via N-(1-benzotriazolylalkyl)dithiocarbamates. Arkivoc 2005, 9, 63–79. [Google Scholar] [CrossRef]
- Amir, N.; Motonishi, M.; Fujita, M.; Miyashita, Y.; Fujisawa, K.; Okamoto, K.I. Synthesis of Novel S-Bridged Heterotrinuclear Complexes Containing Six-Membered Chelate Rings: Structural, Spectroscopic, and Electrochemical Properties of [Co{Rh(apt)3}2]3+ (apt = 3-Aminopropanethiolate). Eur. J. Inorg. Chem. 2006, 2006, 1041–1049. [Google Scholar] [CrossRef]
- Hanefeld, W.; Schütz, H. 2-Thioxo-1,3-thiazepan-4-ones, a novel class of cyclic dithiourethanes with a 7-membered ring system. J. Heterocycl Chem. 1999, 36, 1167–1174. [Google Scholar] [CrossRef]
- Kim, W.S.; Kim, W.K.; Choi, N.; Suh, W.; Lee, J.; Kim, D.D.; Kim, I.; Sung, J.H. Development of S-Methylmethionine Sulfonium Derivatives and Their Skin-Protective Effect against Ultraviolet Exposure. Biomol. Ther. 2018, 26, 306–312. [Google Scholar] [CrossRef] [PubMed]
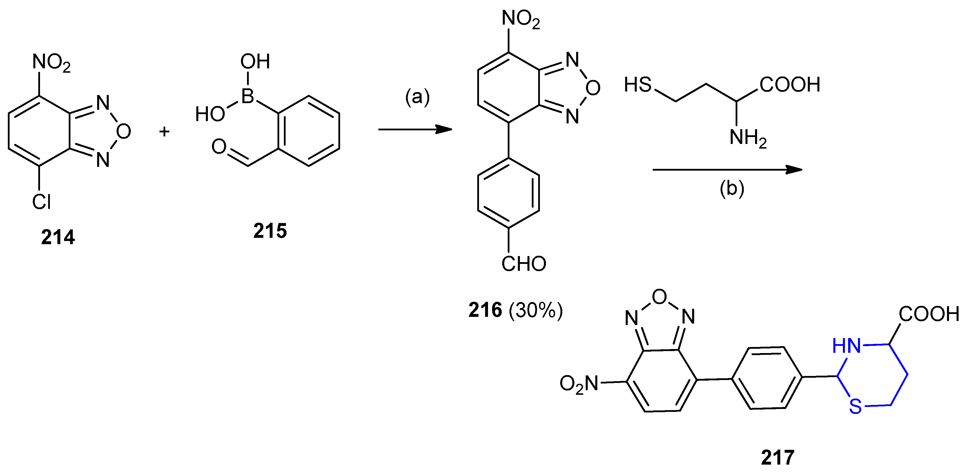
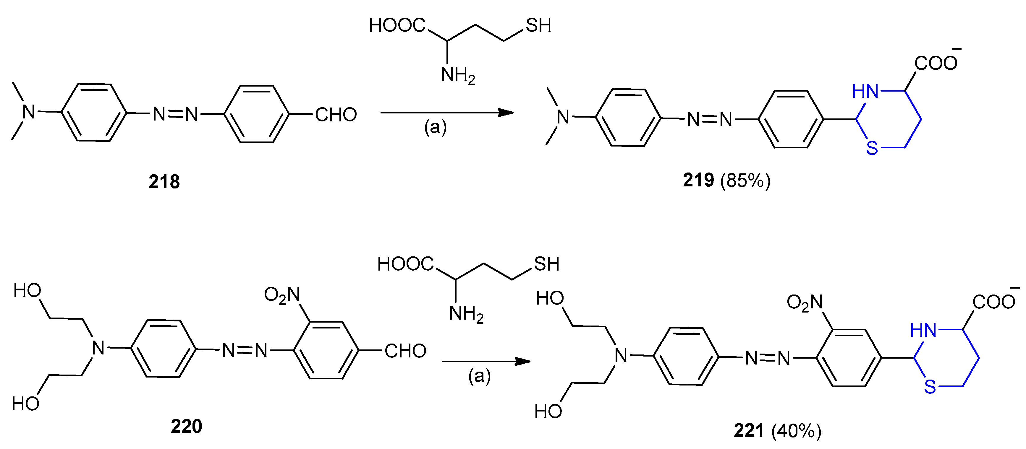
- Chen, H.; Zhao, Q.; Wu, Y.; Li, F.; Yang, H.; Yi, T.; Huang, C. Selective Phosphorescence Chemosensor for Homocysteine Based on an Iridium(III) Complex. Inorg. Chem. 2007, 46, 11075–11081. [Google Scholar] [CrossRef] [PubMed]
- Wang, Y.; Xiao, J.; Wang, S.; Yang, B.; Ba, X. Tunable fluorescent sensing of cysteine and homocysteine by intramolecular charge transfer. Supramol. Chem. 2010, 22, 380–386. [Google Scholar] [CrossRef]
- Das, P.; Mandal, A.K.; Chandar, N.B.; Baidya, M.; Bhatt, H.B.; Ganguly, B.; Ghosh, S.K.; Das, A. New Chemodosimetric Reagents as Ratiometric Probes for Cysteine and Homocysteine and Possible Detection in Living Cells and in Blood Plasma. Chem. Eur. J. 2012, 18, 15382–15393. [Google Scholar] [CrossRef]
- Li, M.J.; Zhan, C.Q.; Nie, M.J.; Chen, G.N.; Chen, X. Selective recognition of homocysteine and cysteine based on new ruthenium(II) complexes. J. Inorg. Biochem. 2011, 105, 420–425. [Google Scholar] [CrossRef]
- Mei, J.; Wang, Y.; Tong, J.; Wang, J.; Qin, A.; Sun, J.Z.; Tang, B.Z. Discriminatory Detection of Cysteine and Homocysteine Based on Dialdehyde-Functionalized Aggregation-Induced Emission Fluorophores. Chem. Eur. J. 2013, 19, 613–620. [Google Scholar] [CrossRef]
- Barve, A.; Lowry, M.; Escobedo, J.O.; Thainashmuthu, J.; Strongin, R.M. Fluorescein Tri-Aldehyde Promotes the Selective Detection of Homocysteine. J. Fluoresc. 2016, 26, 731–737. [Google Scholar] [CrossRef] [PubMed]
- Len, C.; Bruniaux, S.; Delbecq, F.; Parmar, V.S. Palladium-Catalyzed Suzuki–Miyaura Cross-Coupling in Continuous Flow. Catalysts 2017, 7, 146. [Google Scholar] [CrossRef]
- Mahapatra, A.K.; Manna, S.; Karmakar, P.; Maiti, K.; Maji, R.; Mandal, D.; Uddin, R.; Mandal, S. Installation of efficient quenching groups of a fluorescent probe for the specific detection of cysteine and homocysteine over glutathione in solution and imaging of living cells. Supramolecular Chemistry. Supramol. Chem. 2016, 29, 59–68. [Google Scholar] [CrossRef]
- Zhang, D.; Zhang, M.; Liu, Z.; Yu, M.; Li, F.; Yi, T.; Huang, C. Highly selective colorimetric sensor for cysteine and homocysteine based on azo derivatives. Tetrahedron Lett. 2006, 47, 7093–7096. [Google Scholar] [CrossRef]
- Meng, X.; Ye, W.; Wang, S.; Feng, Y.; Chen, M.; Zhu, M.; Guo, Q. A ratiometric two-photon fluorescent probe for cysteine andhomocysteine in living cells. Sens. Actuators 2014, B201, 520–525. [Google Scholar] [CrossRef]
- Iqbal, S.; Yu, S.; Zhao, F.; Wang, Y.; Tian, J.; Jiang, L.; Du, Y.; Yu, X.; Pu, L. Discriminating three biothiols by using one fluorescent probe. Tetrahedron Lett. 2018, 59, 3397–3400. [Google Scholar] [CrossRef]
- Goswami, S.; Manna, A.; Paul, S.; Das, A.K.; Nandi, P.K.; Maity, A.K.; Saha, P. A turn on ESIPT probe for rapid and ratiometric fluorogenic detection of homocysteine and cysteine in water with live cell-imaging. Tetrahedron Lett. 2014, 55, 490–494. [Google Scholar] [CrossRef]
- Wei, X.; Yang, X.; Feng, Y.; Ning, P.; Yu, H.; Zhu, M.; Xi, X.; Guo, Q.; Meng, X. A TICT based two-photon fluorescent probe for cysteine andhomocysteine in living cells. Sens. Actuators 2016, B231, 285–292. [Google Scholar] [CrossRef]
- Attanasi, O.A.; Filippone, P.; Lillini, S.; Mantellini, F.; Nicolini, S.; De los Santos, J.M.; Ignacio, R.; Aparicio, D.; Palacios, F. Reactions of 1,2-diaza-1,3-dienes with thiol derivatives: A versatile construction of nitrogen/sulfur containing heterocycles. Tetrahedron 2008, 64, 9264–9274. [Google Scholar] [CrossRef]
- Williams, A.J.; Chakthong, S.; Gray, D.; Lawrence, R.M.; Gallagher, T. 1,2-Cyclic Sulfamidates as Versatile Precursors to Thiomorpholines and Piperazines. Org. Lett. 2003, 5, 811–814. [Google Scholar] [CrossRef]
- Edayadulla, N.; Ramesh, P. Synthesis of 2,6-dicarbethoxy-3,5-diaryltetrahydro-1,4-thiazine-1,1-dioxide derivatives as potent anticonvulsant agents. Eur. J. Med. Chem. 2015, 106, 44–49. [Google Scholar] [CrossRef] [PubMed]
- Indumathi, S.; Perumal, S.; Banerjee, D.; Yogeeswari, P.; Sriram, D. L-Proline-catalysed facile green protocol for the synthesis and antimycobacterial evaluation of [1,4]-thiazines. Eur. J. Med. Chem. 2009, 44, 4978–4984. [Google Scholar] [CrossRef] [PubMed]
- Zahn, G.; Kirrbach, S.; Schulze, B. Crystal structure of 5,6-dihydro-(4H)-cyclopenta-l,3-thiazine-2,4-dione, C7H7NO2S. Z. Krist. 1996, 211, 847–848. [Google Scholar] [CrossRef]
- Zarghi, A.; Zebardast, T.; Daraie, B.; Hedayati, M. Design and synthesis of new 1,3-benzthiazinan-4-one derivatives as selective cyclooxygenase (COX-2) inhibitors. Bioorg. Med. Chem. 2009, 17, 5369–5373. [Google Scholar] [CrossRef] [PubMed]
- Li, D.; Tian, Z.; Wang, G. Synthesis, biological activity and crystal structure of ethyl 6-amino-8-(4-methoxy phenyl)-9-nitro-2,3,4,8-tetrahydropyrido[2,1-b][1,3]thiazine-7-carboxylate. Res. Chem. Intermed. 2013, 39, 2435–2443. [Google Scholar] [CrossRef]
- Oe, M.; Miki, K.; Mu, H.; Harada, H.; Morinibu, A.; Ohe, K. pH-Responsive Cy5 dyes having nucleophilic substituents for molecular imaging. Tetrahedron Lett. 2018, 59, 3317–3321. [Google Scholar] [CrossRef]
- Chen, H.; Hao, L.; Zhu, M.; Yang, T.; Wei, S.; Qin, Z.; Zhang, P.; Li, X. Synthesis of bi-/tricyclic azasugars fused thiazinan-4-one and their HIV-RT inhibitory Activity. Bioorg. Med. Chem. Lett. 2014, 24, 3426–3429. [Google Scholar] [CrossRef]
- Gautam, D.; Gautam, P.; Chaudhary, R.P. Spectral, DFT and X-ray diffraction studies on regioselective synthesis of thiazolo-quinazoline system. J. Mol. Struct. 2017, 1145, 268–277. [Google Scholar] [CrossRef]
- Dandia, A.; Sharma, C.S.; Saha, M. FACILE Synthesis of some new fluorine containing spiro [3H-indole-3,2′tetrahydro-1,3-thiazine]. 2,4′(1H)-diones. Phosphorus Sulfur Silicon Relat. Elem. 1998, 139, 57–66. [Google Scholar] [CrossRef]
- Dandia, A.; Sehgal, V.; Singh, P. Elegant one-pot synthesis of some novel biodynamic spiro-indoline derivatives. Pharmazie 1994, 49, 364–365. [Google Scholar]
- Joshi, K.C.; Dandia, A.; Ahmed, N. Studies in Spiroheterocycles: Part IX: A New Elegant Synthesis and Reactions of Some Novel Fluorine-containing Spiro[3H-indole-3,2′-tetrahydro-1,3-thiazine]- 2,4′(1H)-diones. Heterocycles 1986, 24, 2479–2485. [Google Scholar] [CrossRef]
- Chandrasekhar, B. α/β-Mercaptoalkanoic acids: Versatile synthons in the syntheses of fused ring 4-thiazolidinones/thiazolinones/thiazinanones ring system (s). J. Sulfur Chem. 1986, 33, 439–503. [Google Scholar] [CrossRef]
- Dandia, A.; Saha, M.; Rani, B. Microwave-induced Synthesis of Spiro[indoline-3,2′-[1,3] thiazinane]-2,4′-diones. J. Chem. Res. 1998, 360–361. [Google Scholar] [CrossRef]
- Dandia, A.; Singh, R.; Merienne, C.; Morgant, G.; Loupy, A. Solvent-free one-pot synthesis and crystal structure of a spiro[indole-thiazine]. Sulfur Lett. 2003, 26, 201–207. [Google Scholar] [CrossRef]
- Tan, B.Y.H.; Teo, Y.C.; Seow, A.H. Low Catalyst Loadings for Ligand-Free Copper(I)-Oxide-Catalyzed N-Arylation of Methanesulfonamide in Water. Eur. J. Org. Chem. 2014, 2014, 1541–1546. [Google Scholar] [CrossRef]
- Verdelet, T.; Ward, R.M.; Hall, D.G. Direct Sulfonamidation of Primary and Secondary Benzylic Alcohols Catalyzed by a Boronic Acid/Oxalic Acid System. Eur. J. Org. Chem. 2017, 2017, 5729–5738. [Google Scholar] [CrossRef]
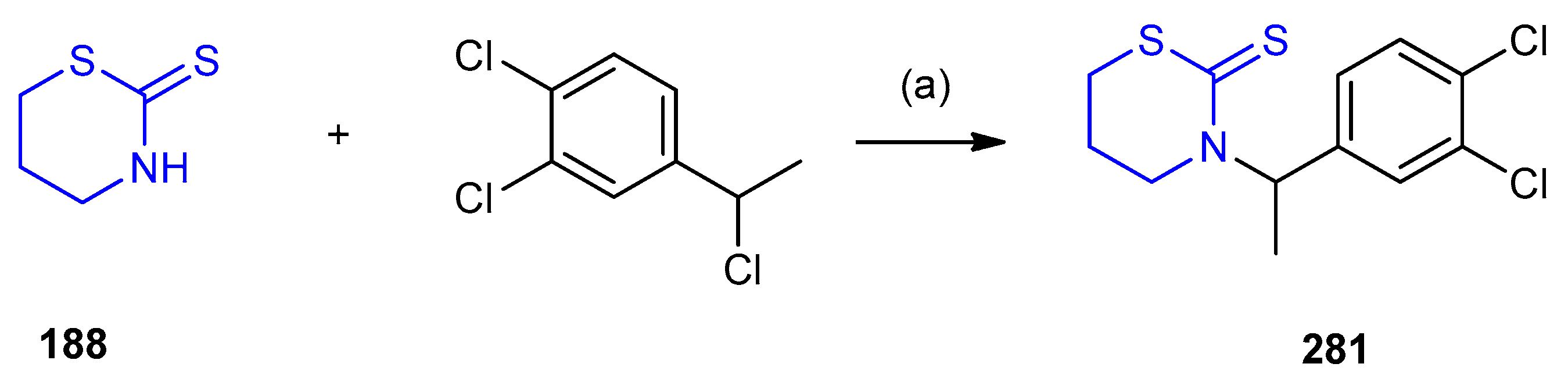
- Yana, F.F.; Liang, C.J. 3-[1-(3,4-Dichlorophenyl)ethyl]-1,3-thiazinane-2-thione. Acta. Cryst. 2009, E65, o3067. [Google Scholar] [CrossRef]
- Gong, Y.-Y.; Zhang, P.; Wang, M.-H. 3-[1-(4-Chlorophenyl)ethyl]-1,3-thiazinane-2-thione. Acta Cryst. 2011, E67, o514. [Google Scholar] [CrossRef]
- Pattarozzi, M.; Ghelfi, F.; Roncaglia, F.; Pagnoni, U.M.; Parsons, A.F. Synthesis of the Disubstituted Maleic Anhydride Frame Using a Novel Tandem Radical–Polar Reaction. Synlett 2009, 13, 2172–2176. [Google Scholar] [CrossRef]
- Bellesia, F.; Choi, S.R.; Felluga, F.; Fiscaletti, G.; Ghelfi, F.; Menziani, M.C.; Parsons, A.F.; Poulter, C.D.; Roncaglia, F.; Sabbatini, M.; et al. Novel route to chaetomellic acid A and analogues: Serendipitous discovery of a more competent FTase inhibitor. Bioorg. Med. Chem. 2013, 21, 348–358. [Google Scholar] [CrossRef][Green Version]
- Wang, W.; Zhao, B.; Xu, C.; Wu, W. Synthesis and Antitumor Activity of the Thiazoline and Thiazine Multithioether. Int. J. Org. Chem. 2012, 2, 117–120. [Google Scholar] [CrossRef]
- George, K.M.; Frantz, M.C.; Bravo-Altamirano, K.; LaValle, C.R.; Tandon, M.; Leimgruber, S.; Sharlow, E.R.; Lazo, J.S.; Wang, Q.J.; Wipf, P. Design, Synthesis, and Biological Evaluation of PKD Inhibitors. Pharmaceutics 2011, 3, 186–228. [Google Scholar] [CrossRef] [PubMed]






































































































© 2020 by the authors. Licensee MDPI, Basel, Switzerland. This article is an open access article distributed under the terms and conditions of the Creative Commons Attribution (CC BY) license (http://creativecommons.org/licenses/by/4.0/).
Share and Cite
Hassan, A.A.; Bräse, S.; Aly, A.A.; Tawfeek, H.N. Chemistry of Substituted Thiazinanes and Their Derivatives. Molecules 2020, 25, 5610. https://doi.org/10.3390/molecules25235610
Hassan AA, Bräse S, Aly AA, Tawfeek HN. Chemistry of Substituted Thiazinanes and Their Derivatives. Molecules. 2020; 25(23):5610. https://doi.org/10.3390/molecules25235610
Chicago/Turabian StyleHassan, Alaa A., Stefan Bräse, Ashraf A. Aly, and Hendawy N. Tawfeek. 2020. "Chemistry of Substituted Thiazinanes and Their Derivatives" Molecules 25, no. 23: 5610. https://doi.org/10.3390/molecules25235610
APA StyleHassan, A. A., Bräse, S., Aly, A. A., & Tawfeek, H. N. (2020). Chemistry of Substituted Thiazinanes and Their Derivatives. Molecules, 25(23), 5610. https://doi.org/10.3390/molecules25235610

