The Macrophage Migration Inhibitory Factor (MIF) Promoter Polymorphisms (rs3063368, rs755622) Predict Acute Kidney Injury and Death after Cardiac Surgery
Abstract
1. Introduction
2. Materials and Methods
2.1. Study Design and Patients
2.2. Outcome Measures
2.3. ELISA
2.4. Nomenclature and Genotyping of the Tetranucleotide Repeat Polymorphism CATTn (rs3063368)
2.5. Nomenclature and Genotyping of the SNP G>C Substitution (rs755622)
2.6. Statistics
2.7. Study Approval
3. Results
3.1. Patients, Baseline Characteristics, and Postoperative Complications
3.2. Genotype Frequencies
3.3. Association of the Tetranucleotide Repeat CATT5-7 (rs3063368) and the G>C Single-Nucleotide Polymorphism (rs755622) with Postoperative Outcome
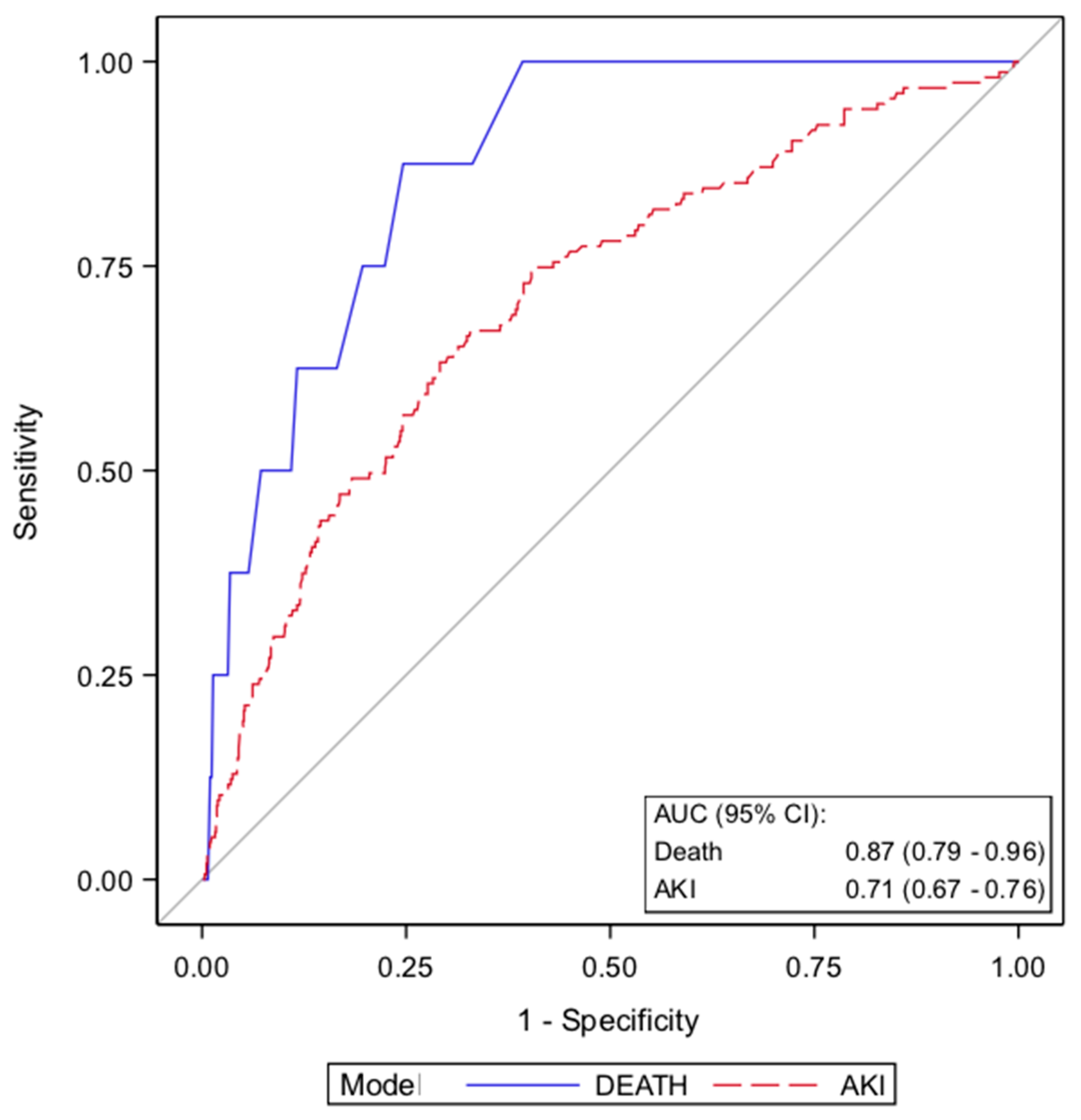
3.4. MIF Genotypes as a Predictor of AKI in Multivariable Analyses
3.5. MIF Serum Levels Before Surgery Are Increased in Patients Carrying the CATT7 Allele
4. Discussion
5. Conclusions
Supplementary Materials
Author Contributions
Funding
Acknowledgments
Conflicts of Interest
References
- Brown, P.P.; Kugelmass, A.D.; Cohen, D.J.; Reynolds, M.R.; Culler, S.D.; Dee, A.D.; Simon, A.W. The Frequency and Cost of Complications Associated with Coronary Artery Bypass Grafting Surgery: Results from the United States Medicare Program. Ann. Thorac. Surg. 2008, 85, 1980–1986. [Google Scholar] [CrossRef]
- Grover, A.; Gorman, K.; Dall, T.M.; Jonas, R.; Lytle, B.; Shemin, R.; Wood, D.; Kron, I. Shortage of Cardiothoracic Surgeons Is Likely by 2020. Circulation 2009, 120, 488–494. [Google Scholar] [CrossRef] [PubMed]
- Roques, F.; Nashef, S.A.; Michel, P.; Gauducheau, E.; De Vincentiis, C.; Baudet, E.; Cortina, J.; David, M.; Faichney, A.; Gavrielle, F.; et al. Risk factors and outcome in European cardiac surgery: Analysis of the EuroSCORE multinational database of 19030 patients. Eur. J. Cardio-Thorac. Surg. 1999, 15, 816–823. [Google Scholar] [CrossRef]
- Sureshbabu, A.; Ryter, S.W.; Choi, M.E. Oxidative stress and autophagy: Crucial modulators of kidney injury. Redox Biol. 2015, 4, 208–214. [Google Scholar] [CrossRef] [PubMed]
- Stoppe, C.; Rex, S.; Goetzenich, A.; Kraemer, S.; Emontzpohl, C.; Soppert, J.; Averdunk, L.; Sun, Y.; Rossaint, R.; Lue, H.; et al. Interaction of MIF Family Proteins in Myocardial Ischemia/Reperfusion Damage and Their Influence on Clinical Outcome of Cardiac Surgery Patients. Antioxid. Redox Signal. 2015, 23, 865–879. [Google Scholar] [CrossRef] [PubMed]
- Ozsoy, A.Z.; Karakus, N.; Tural, S.; Yigit, S.; Kara, N.; Alaylı, G.; Tumer, M.K.; Kuru, O. Influence of the MIF polymorphism −173G > C on Turkish postmenopausal women with osteoporosis. Z. Rheumatol. 2017, 77, 629–632. [Google Scholar] [CrossRef] [PubMed]
- Vishwakarma, S.K.; Lakkireddy, C.; Sravani, G.; Sastry, B.V.S.; Raju, N.; Ahmed, S.I.; Owaisi, N.; Jaisawal, A.; Khan, M.A.; Khan, A.A. Association of CD14 and macrophage migration inhibitory factor gene polymorphisms with inflammatory microRNAs expression levels in ankylosing spondylitis and polyarthralgia. Int. J. Immunogenet. 2018, 45, 190–200. [Google Scholar] [CrossRef]
- Benedek, G.; Meza-Romero, R.; Jordan, K.; Zhang, Y.; Nguyen, H.; Kent, G.; Li, J.; Siu, E.; Frazer, J.; Piecychna, M.; et al. MIF and D-DT are potential disease severity modifiers in male MS subjects. Proc. Natl. Acad. Sci. USA 2017, 114, E8421–E8429. [Google Scholar] [CrossRef]
- Bae, S.-C.; Lee, Y.H. Circulating macrophage migration inhibitory factor levels and its polymorphisms in systemic lupus erythematosus: A meta-analysis. Cell. Mol. Biol. 2017, 63, 74–79. [Google Scholar] [CrossRef]
- Baugh, J.A.; Chitnis, S.; Donnelly, S.C.; Monteiro, J.; Lin, X.; Plant, B.J.; Wolfe, F.; Gregersen, P.K.; Bucala, R. A functional promoter polymorphism in the macrophage migration inhibitory factor (MIF) gene associated with disease severity in rheumatoid arthritis. Genes Immun. 2002, 3, 170–176. [Google Scholar] [CrossRef]
- Yao, J.; Leng, L.; Sauler, M.; Fu, W.-L.; Zheng, J.; Zhang, Y.; Du, X.; Yu, X.; Lee, P.; Bucala, R. Transcription factor ICBP90 regulates the MIF promoter and immune susceptibility locus. J. Clin. Investig. 2016, 126, 732–744. [Google Scholar] [CrossRef] [PubMed]
- Guo, P.; Wang, J.; Liu, J.; Xia, M.; Li, W.; He, M. Macrophage immigration inhibitory factor promotes cell proliferation and inhibits apoptosis of cervical adenocarcinoma. Tumor Biol. 2015, 36, 5095–5102. [Google Scholar] [CrossRef] [PubMed]
- Meybohm, P.; Bein, B.; Brosteanu, O.; Cremer, J.T.; Gruenewald, M.; Stoppe, C.; Coburn, M.; Schaelte, G.; Böning, A.; Niemann, B.; et al. A Multicenter Trial of Remote Ischemic Preconditioning for Heart Surgery. N. Engl. J. Med. 2015, 373, 1397–1407. [Google Scholar] [CrossRef] [PubMed]
- Sreih, A.; Ezzeddine, R.; Leng, L.; Lachance, A.; Yu, G.; Mizuec, Y.; Subrahmanyan, L.; Pons-Estel, B.A.; Abelson, A.-K.; Gunnarsson, I.; et al. Dual effect of the macrophage migration inhibitory factor gene on the development and severity of human systemic lupus erythematosus. Arthritis Rheum. 2011, 63, 3942–3951. [Google Scholar] [CrossRef]
- Palevsky, P.M.; Liu, K.D.; Brophy, P.D.; Chawla, L.S.; Parikh, C.R.; Thakar, C.V.; Tolwani, A.J.; Waikar, S.S.; Weisbord, S.D. KDOQI US Commentary on the 2012 KDIGO Clinical Practice Guideline for Acute Kidney Injury. Am. J. Kidney Dis. 2013, 61, 649–672. [Google Scholar] [CrossRef]
- Thygesen, K.; Alpert, J.S.; White, H.D.; Jaffe, A.S.; Apple, F.S.; Galvani, M.; Katus, H.A.; Newby, L.K.; Jan, R.; Chaitman, B.; et al. Universal Definition of Myocardial Infarction. Circulation 2007, 116, 2634–2653. [Google Scholar] [CrossRef]
- Ely, E.W.; Inouye, S.K.; Bernard, G.R.; Gordon, S.; Francis, J.; May, L.; Truman, B.; Speroff, T.; Gautam, S.; Margolin, R.; et al. Delirium in mechanically ventilated patients: Validity and reliability of the confusion assessment method for the intensive care unit (CAM-ICU). JAMA 2001, 286, 2703–2710. [Google Scholar] [CrossRef] [PubMed]
- Wityk, R.J.; Pessin, M.S.; Kaplan, R.F.; Caplan, L.R. Serial assessment of acute stroke using the NIH Stroke Scale. Stroke 1994, 25, 362–365. [Google Scholar] [CrossRef]
- Harris, J.; Morand, E.F. Macrophage Migration Inhibitory Factor Methods and Protocols; Methods in Molecular Biology; Springer: Berlin, Germany, 2020; Volume 2080. [Google Scholar]
- Karczewski, K.J.; Francioli, L.C.; Tiao, G.; Cummings, B.B.; Alfoldi, J.; Wang, Q.; Collins, R.L.; Laricchia, K.M.; Ganna, A.; Birnbaum, D.P.; et al. The mutational constraint spectrum quantified from variation in 141,456 humans. Nature 2020, 581, 434–443. [Google Scholar] [CrossRef]
- Bacher, M.; Meinhardt, A.; Lan, H.Y.; Mu, W.; Metz, C.N.; Chesney, J.A.; Calandra, T.; Gemsa, D.; Donnelly, T.; Atkins, R.C.; et al. Migration inhibitory factor expression in experimentally induced endotoxemia. Am. J. Pathol. 1997, 150, 235–246. [Google Scholar]
- Gando, S.; Nishihira, J.; Kemmotsu, O.; Kobayashi, S.; Morimoto, Y.; Matsui, Y.; Yasuda, K. An increase in macrophage migration inhibitory factor release in patients with cardiopulmonary bypass surgery. Surg. Today 2000, 30, 689–694. [Google Scholar] [CrossRef] [PubMed]
- Stoppe, C.; Averdunk, L.; Goetzenich, A.; Soppert, J.; Marlier, A.; Kraemer, S.; Vieten, J.; Coburn, M.; Kowark, A.; Kim, B.-S.; et al. The protective role of macrophage migration inhibitory factor in acute kidney injury after cardiac surgery. Sci. Transl. Med. 2018, 10, aan4886. [Google Scholar] [CrossRef]
- Stoppe, C.; Grieb, G.; Rossaint, R.; Simons, D.; Coburn, M.; Götzenich, A.; Strüssmann, T.; Pallua, N.; Bernhagen, J.; Rex, S. High Postoperative Blood Levels of Macrophage Migration Inhibitory Factor Are Associated with Less Organ Dysfunction in Patients after Cardiac Surgery. Mol. Med. 2012, 18, 843–850. [Google Scholar] [CrossRef] [PubMed]
- Liu, A.; Bao, F.; Voravuthikunchai, S.P. CATT polymorphism in MIF gene promoter is closely related to human pulmonary tuberculosis in a southwestern China population. Int. J. Immunopathol. Pharmacol. 2018, 32. [Google Scholar] [CrossRef] [PubMed]
- Valdes-Alvarado, E.; Muñoz-Valle, J.F.; Valle, Y.; Sandoval-Pinto, E.; García-González, I.J.; Valdez-Haro, A.; De La Cruz-Mosso, U.; Flores-Salinas, H.E.; Padilla-Gutierrez, J.R. Association between the −794 (CATT)5–8 MIF Gene Polymorphism and Susceptibility to Acute Coronary Syndrome in a Western Mexican Population. J. Immunol. Res. 2014, 2014, 704854. [Google Scholar] [CrossRef] [PubMed]
- Lan, M.-Y.; Chang, Y.-Y.; Chen, W.-H.; Tseng, Y.-L.; Lin, H.-S.; Lai, S.-L.; Liu, J.-S. Association between MIF gene polymorphisms and carotid artery atherosclerosis. Biochem. Biophys. Res. Commun. 2013, 435, 319–322. [Google Scholar] [CrossRef] [PubMed]
- Sanchez, E.; Gómez, L.M.; Lopez-Nevot, M.A.; González-Gay, M.A.; Sabio, J.M.; Ortego-Centeno, N.; De Ramón, E.; Anaya, J.; González-Escribano, M.F.; Koeleman, B.P.; et al. Evidence of association of macrophage migration inhibitory factor gene polymorphisms with systemic lupus erythematosus. Genes Immun. 2006, 7, 433–436. [Google Scholar] [CrossRef]
- Mitchell, R.A.; Liao, H.; Chesney, J.; Fingerle-Rowson, G.; Baugh, J.; David, J.; Bucala, R. Macrophage migration inhibitory factor (MIF) sustains macrophage proinflammatory function by inhibiting p53: Regulatory role in the innate immune response. Proc. Natl. Acad. Sci. USA 2001, 99, 345–350. [Google Scholar] [CrossRef]
- Qian, L.; Wang, X.-Y.; Thapa, S.; Tao, L.-Y.; Wu, S.-Z.; Luo, G.-J.; Wang, L.-P.; Wang, J.-N.; Wang, J.; Li, J.; et al. Macrophage migration inhibitory factor promoter polymorphisms (-794 CATT5-8): Relationship with soluble MIF levels in coronary atherosclerotic disease subjects. BMC Cardiovasc. Disord. 2017, 17, 144. [Google Scholar] [CrossRef]
- Payen, D.; Lukaszewicz, A.-C.; Legrand, M.; Gayat, E.; Faivre, V.; Mégarbane, B.; Azoulay, E.; Fieux, F.; Charron, D.; Loiseau, P.; et al. A Multicentre Study of Acute Kidney Injury in Severe Sepsis and Septic Shock: Association with Inflammatory Phenotype and HLA Genotype. PLoS ONE 2012, 7, e35838. [Google Scholar] [CrossRef]
- Baron-Stefaniak, J.; Schiefer, J.; Miller, E.J.; Berlakovich, G.A.; Baron, D.M.; Faybik, P. Comparison of macrophage migration inhibitory factor and neutrophil gelatinase-associated lipocalin-2 to predict acute kidney injury after liver transplantation: An observational pilot study. PLoS ONE 2017, 12, e0183162. [Google Scholar] [CrossRef] [PubMed]
- Brown, F.G.; Nikolic-Paterson, D.J.; Hill, P.A.; Isbel, N.M.; Dowling, J.; Metz, C.M.; Atkins, R.C. Urine macrophage migration inhibitory factor reflects the severity of renal injury in human glomerulonephritis. J. Am. Soc. Nephrol. 2002, 13, S7–S13. [Google Scholar] [PubMed]
- Brown, F.G.; Nikolic-Paterson, D.J.; Chadban, S.J.; Dowling, J.; Jose, M.D.; Metz, C.N.; Bucala, R.; Atkins, R.C. Urine Macrophage Migration Inhibitory Factor Concentrations as a Diagnostic Tool in Human Renal Allograft Rejection. Transplantion 2001, 71, 1777–1783. [Google Scholar] [CrossRef] [PubMed]
- Djudjaj, S.; Martin, I.V.; Buhl, E.M.; Nothofer, N.J.; Leng, L.; Piecychna, M.; Floege, J.; Bernhagen, J.; Bucala, R.; Boor, P. Macrophage Migration Inhibitory Factor Limits Renal Inflammation and Fibrosis by Counteracting Tubular Cell Cycle Arrest. J. Am. Soc. Nephrol. 2017, 28, 3590–3604. [Google Scholar] [CrossRef]
- Herder, C.; Illig, T.; Baumert, J.; Müller-Nurasyid, M.; Klopp, N.; Khuseyinova, N.; Meisinger, C.; Martin, S.; Thorand, B.; Koenig, W. Macrophage migration inhibitory factor (MIF) and risk for coronary heart disease: Results from the MONICA/KORA Augsburg case-cohort study, 1984–2002. Atherosclerosis 2008, 200, 380–388. [Google Scholar] [CrossRef]
- Tong, X.; He, J.; Liu, S.; Peng, S.; Yan, Z.; Zhang, Y.; Fan, H. Macrophage migration inhibitory factor -173G/C gene polymorphism increases the risk of renal disease: A meta-analysis. Nephrology 2015, 20, 68–76. [Google Scholar] [CrossRef]
- Bruchfeld, A.; Carrero, J.J.; Qureshi, A.R.; Lindholm, B.; Bárány, P.; Heimburger, O.; Hu, M.; Lin, X.; Stenvinkel, P.; Miller, E.J. Elevated Serum Macrophage Migration Inhibitory Factor (MIF) Concentrations in Chronic Kidney Disease (CKD) Are Associated with Markers of Oxidative Stress and Endothelial Activation. Mol. Med. 2009, 15, 70–75. [Google Scholar] [CrossRef]
- Chawla, L.S.; Kimmel, P.L. Acute kidney injury and chronic kidney disease: An integrated clinical syndrome. Kidney Int. 2012, 82, 516–524. [Google Scholar] [CrossRef]
- Rassaf, T.; Weber, C.; Bernhagen, J. Macrophage migration inhibitory factor in myocardial ischaemia/reperfusion injury. Cardiovasc. Res. 2014, 102, 321–328. [Google Scholar] [CrossRef]
- Tilstam, P.V.; Qi, D.; Leng, L.; Young, L.; Bucala, R. MIF family cytokines in cardiovascular diseases and prospects for precision-based therapeutics. Expert Opin. Ther. Targets 2017, 21, 671–683. [Google Scholar] [CrossRef]
- Yoo, S.-A.; Leng, L.; Kim, B.-J.; Du, X.; Tilstam, P.V.; Kim, K.H.; Kong, J.-S.; Yoon, H.-J.; Liu, A.; Wang, T.; et al. MIF allele-dependent regulation of the MIF coreceptor CD44 and role in rheumatoid arthritis. Proc. Natl. Acad. Sci. USA 2016, 113, E7917–E7926. [Google Scholar] [CrossRef] [PubMed]
- Ochi, A.; Chen, N.; Schulte, W.; Leng, L.; Moeckel, N.G.; Piecychna, M.; Averdunk, L.; Stoppe, C.; Bucala, R.; Moeckel, G.W. MIF-2/D-DT enhances proximal tubular cell regeneration through SLPI- and ATF4-dependent mechanisms. Am. J. Physiol. Physiol. 2017, 313, F767–F780. [Google Scholar] [CrossRef] [PubMed]
- Herder, C.; Klopp, N.; Baumert, J.; Müller-Nurasyid, M.; Khuseyinova, N.; Meisinger, C.; Martin, S.; Illig, T.; Koenig, W.; Thorand, B. Effect of macrophage migration inhibitory factor (MIF) gene variants and MIF serum concentrations on the risk of type 2 diabetes: Results from the MONICA/KORA Augsburg Case–Cohort Study, 1984–2002. Diabetologia 2007, 51, 276–284. [Google Scholar] [CrossRef] [PubMed]
- Matia-García, I.; Salgado-Goytia, L.; Muñoz-Valle, J.F.; García-Arellano, S.; Hernández-Bello, J.; Salgado-Bernabé, A.B.; Parra-Rojas, I. Macrophage Migration Inhibitory Factor Promoter Polymorphisms (−794 CATT5–8and −173 G > C): Relationship with mRNA Expression and Soluble MIF Levels in Young Obese Subjects. Dis. Markers 2015, 2015, 461208. [Google Scholar] [CrossRef] [PubMed]
- Zhong, X.-B.; Leng, L.; Beitin, A.; Chen, R.; McDonald, C.; Hsiao, B.; Jenison, R.D.; Kang, I.; Park, S.-H.; Lee, A.; et al. Simultaneous detection of microsatellite repeats and SNPs in the macrophage migration inhibitory factor (MIF) gene by thin-film biosensor chips and application to rural field studies. Nucleic Acids Res. 2005, 33, e121. [Google Scholar] [CrossRef]
- Westphal, S.; Stoppe, C.; Gruenewald, M.; Bein, B.; Renner, J.; Cremer, J.; Coburn, M.; Schälte, G.; Boening, A.; Niemann, B.; et al. Genome-wide association study of myocardial infarction, atrial fibrillation, acute stroke, acute kidney injury and delirium after cardiac surgery—A sub-analysis of the RIPHeart-Study. BMC Cardiovasc. Disord. 2019, 19, 26. [Google Scholar] [CrossRef]
- Saw, K.M.E.; Ng, R.G.R.; Chan, S.P.; Ang, Y.H.; Ti, L.K.; Chew, T.H.S. Association of genetic polymorphisms with acute kidney injury after cardiac surgery in a Southeast Asian population. PLoS ONE 2019, 14, e0213997. [Google Scholar] [CrossRef]
- Leaf, D.E.; Body, S.C.; Muehlschlegel, J.D.; McMahon, G.M.; Lichtner, P.; Collard, C.D.; Shernan, S.K.; Fox, A.A.; Waikar, S.S. Length Polymorphisms in Heme Oxygenase-1 and AKI after Cardiac Surgery. J. Am. Soc. Nephrol. 2016, 27, 3291–3297. [Google Scholar] [CrossRef]
- Suwinski, P.; Ong, C.; Ling, M.H.T.; Poh, Y.M.; Khan, A.M.; Ong, H.S. Advancing Personalized Medicine Through the Application of Whole Exome Sequencing and Big Data Analytics. Front. Genet. 2019, 10, 49. [Google Scholar] [CrossRef]



| AKI | Death | |||||||||
|---|---|---|---|---|---|---|---|---|---|---|
| Yes (N = 170) | No (N = 946) | p-Value | Yes (N = 8) | No (N = 1108) | p-Value | |||||
| Demographics | ||||||||||
| Age, years | 72 | (66–77) | 67 | (58–73) | <0.001 | 73 | (70–80) | 68 | (59–73) | 0.03 |
| Sex (female) | 57 | (33.5) | 223 | (23.6) | 0.007 | 3 | (37.5) | 277 | (25.0) | 0.42 |
| Active smokers | 32 | (18.8) | 198 | (20.9) | 0.61 | 1 | (12.5) | 229 | (20.7) | 1.00 |
| Medication | ||||||||||
| Beta blockers | 109 | (64.1) | 587 | (62.1) | 0.67 | 6 | (75.0) | 690 | (62.3) | 0.72 |
| ACE inhibitors | 91 | (53.5) | 478 | (50.5) | 0.51 | 3 | (37.5) | 566 | (51.1) | 0.50 |
| Cholesterol-lowering drug | 110 | (64.7) | 624 | (66.0) | 0.79 | 6 | (75.0) | 728 | (65.7) | 0.72 |
| Insulin | 21 | (12.4) | 77 | (8.1) | 0.08 | 3 | (37.5) | 95 | (8.6) | 0.03 |
| Aspirin | 128 | (75.3) | 619 | (65.4) | 0.01 | 4 | (50.0) | 743 | (67.1) | 0.45 |
| Clopidogrel | 17 | (10) | 76 | (8.0) | 0.37 | 2 | (25.0) | 91 | (8.2) | 0.14 |
| Comorbidities | ||||||||||
| Hypertension | 153 | (90.0) | 772 | (81.6) | 0.01 | 6 | (75.0) | 919 | (82.9) | 0.63 |
| Ischemic heart disease | 132 | (77.6) | 706 | (74.6) | 0.39 | 5 | (62.5) | 833 | (75.2) | 0.42 |
| Previous MI | 1 | (12.5) | 315 | (28.4) | 0.45 | |||||
| Congestive heart disease | 43 | (25.3) | 193 | (20.4) | 0.15 | 2 | (25.0) | 234 | (21.1) | 0.68 |
| PAD | 20 | (11.8) | 62 | (6.6) | 0.02 | 2 | (25.0) | 80 | (7.2) | 0.68 |
| COPD | 15 | (8.8) | 80 | (8.5) | 0.88 | 0 | 0 | 95 | (8.6) | 1.00 |
| Chronic kidney disease | 24 | (14.1) | 107 | (11.3) | 0.30 | 1 | (12.5) | 130 | (11.7) | 1.00 |
| IDDM | 56 | (32.9) | 219 | (23.2) | 0.01 | 4 | (50.0) | 271 | (24.5) | 0.11 |
| Laboratory, at baseline | ||||||||||
| Serum creatinine mg/dL | 0.92 | (0.8–1.1) | 0.91 | (0.8–1.1) | 0.66 | 0.99 | (0.73–1.14) | 0.91 | (0.80–1.07) | 0.82 |
| Hemoglobin, g/dL | 13.6 | (12.5–14.6) | 14.2 | (13.4–14.9) | <0.001 | 13.6 | (12.1–14.4) | 14.1 | (13.2–14.9) | 0.31 |
| EuroSCORE | ||||||||||
| 5 | (3–7) | 4 | (2–6) | <0.001 | 6 | (5–8) | 4 | (2–6) | 0.03 | |
| Type of surgery | ||||||||||
| CABG (alone) | 64 | (37.6) | 434 | (45.9) | 0.26 | 3 | (37.5) | 495 | (44.7) | 0.25 |
| Aortic valve * | 37 | (12.8) | 190 | (20.1) | 2 | (12.5) | 225 | (20.3) | ||
| Mitral valve * | 6 | (3.5) | 32 | (3.4) | 0 | (37.5) | 38 | (3.4) | ||
| Aorta ascendens * | 3 | (1.8) | 30 | (3.2) | 0 | (25.0) | 33 | (3.0) | ||
| Combined procedures | 57 | (33.5) | 245 | (25.9) | 2 | 25.0 | 300 | (27.1) | ||
| Other type of surgery | 3 | (1.8) | 15 | (1.6) | 1 | 12.5 | 17 | (1.5) | ||
| CATT5–7 Repeat Allele Carrier Frequencies (rs3063368) | |||
| N Carriers | % | Allele Frequency (Europe) % 1 | |
| CATT5 | 488 | 43.7 | - * |
| CATT6 | 957 | 85.8 | 84.3 |
| CATT7 | 277 | 24.8 | 24.9 |
| G>C SNP Genotype Frequencies (rs755622) | |||
| N Genotypes | % | Allele Frequency (Europe) % 1 | |
| GG (homozygous) | 762 | 68.3 | 65.2 |
| GC (heterozygous) | 328 | 29.4 | 31.7 |
| CC (homozygous) | 26 | 2.3 | 3.1 |
| Individual Genotype Combination Frequencies (rs3063368 & rs755622) | |||
| N | % | ||
| CATT5,5-GG | 68 | 6.1 | |
| CATT 5,6-GG | 329 | 29.5 | |
| CATT 6,6-GG | 360 | 32.3 | |
| CATT 5,7-GG | 2 | 0.2 | |
| CATT 6,7-GG | 3 | 0.3 | |
| CATT 5,5-CG | 3 | 0.3 | |
| CATT 5,6-CG | 16 | 1.4 | |
| CATT 6,6-CG | 63 | 5.6 | |
| CATT 5,7-CG | 69 | 6.2 | |
| CATT 6,7-CG | 176 | 15.8 | |
| CATT 7,7-CG | 1 | 0.1 | |
| CATT 5,7-CC | 1 | 0.1 | |
| CATT 6,7-CC | 10 | 0.9 | |
| CATT 7,7-CC | 15 | 1.3 | |
| All | 1116 | 100.00 | |
| Patients (N = 1116) | |||
|---|---|---|---|
| N | % | ||
| Death | 8 | 0.7 | |
| Myocardial infarction (MI) | 93 | 8.3 | |
| Stroke | 24 | 2.2 | |
| Delirium | 144 | 12.9 | |
| Acute kidney injury (AKI) | 170 | 15.2 | |
| Stage 1 | 108 | 9.7 | |
| Stage 2 | 38 | 3.4 | |
| Stage 3 | 24 | 2.1 | |
| Atrial Fibrillation | 245 | 21.9 | |
| Multiple Complications (≥) * | 139 | 12.4 | |
| MIF Polymorphism | AKI (N = 170) | p-Value | ||||||
|---|---|---|---|---|---|---|---|---|
| Patients Carrying This Allele/Genotype | Patients NOT Carrying this Allele/Genotype | |||||||
| N | Incidence, % | N | Incidence, % | OR | (95% CI) | |||
| CATT Repeat Allele Carriers (rs3063368) | ||||||||
| CATT5 | 69 | 14.1 | 101 | 16.1 | 0.86 | (0.61–1.21) | 0.401 | |
| CATT 6 | 143 | 14.9 | 27 | 17.0 | 0.86 | (0.54–1.40) | 0.551 | |
| CATT 7 | 63 | 22.7 | 107 | 12.8 | 2.01 | (1.40–2.88) | 0.0001 | |
| Genotypes | ||||||||
| G>C (rs755622) | ||||||||
| GG | 99 | 12.9 | 71 | 20.1 | 0.60 | (0.42–0.85) | 0.0031 | |
| GC | 67 | 20.4 | 103 | 13.1 | 1.71 | (1.20–2.43) | 0.0025 | |
| CC | 4 | 15.4 | 166 | 15.2 | 1.01 | (0.25–3.03) | 1.000 | |
| CATT repeat (rs3063368) | ||||||||
| CATT 5,5 | 7 | 9.9 | 163 | 15.6 | 0.59 | (0.22–1.32) | 0.233 | |
| CATT 5,6 | 45 | 13.0 | 125 | 16.2 | 0.78 | (0.52–1.13) | 0.178 | |
| CATT 5,7 | 17 | 23.6 | 153 | 14.7 | 1.80 | (0.95–3.25) | 0.060 | |
| CATT 6,6 | 55 | 13.0 | 115 | 16.6 | 0.75 | (0.52–1.07) | 0.122 | |
| CATT 6,7 | 43 | 22.8 | 127 | 13.7 | 1.86 | (1.23–2.77) | 0.003 | |
| CATT 7,7 | 3 | 18.8 | 167 | 15.2 | 1.29 | (0.23–4.76) | 0.723 | |
| Individual genotype combinations * | ||||||||
| CATT 5,5-GG (6.1%) | 7 | 10.3 | 163 | 15.6 | 0.62 | (0.24–1.40) | 0.297 | |
| CATT 5,6-GG (29.5%) | 44 | 13.4 | 126 | 16.0 | 0.81 | (0.55–1.19) | 0.275 | |
| CATT 6,6-GG (32.3%) | 47 | 13.1 | 123 | 16,3 | 0.77 | (0.53–1.12) | 0.182 | |
| CATT 6,6-CG (5.6%) | 8 | 12.7 | 162 | 15.4 | 0.80 | (0.32–1.73) | 0.718 | |
| CATT 5,7-CG (6.2%) | 17 | 24.6 | 153 | 14.6 | 1.91 | (1.01–3.46) | 0.036 | |
| CATT 6,7-CG (15.8%) | 41 | 23.3 | 129 | 13.7 | 1.91 | (1.25–2.87) | 0.002 | |
| MIF Polymorphism | Multiple Complications * (N = 139) | p-Value | ||||||
|---|---|---|---|---|---|---|---|---|
| Patients Carrying this Allele/Genotype | Patients NOT Carrying this Allele/Genotype | |||||||
| N | Incidence, % | N | Incidence, % | OR | (95% CI) | |||
| -CATT repeat allele carriers (rs3063368) | ||||||||
| CATT 5 | 50 | 10.3 | 89 | 14.2 | 0.69 | (0.47–1.01) | 0.055 | |
| CATT 6 | 120 | 12.5 | 19 | 12.0 | 1.06 | (0.62–1.88) | 0.898 | |
| CATT 7 | 49 | 17.7 | 90 | 10.7 | 1.79 | (1.20–2.65) | 0.003 | |
| Genotypes | ||||||||
| G>C (rs755622) | ||||||||
| GG | 80 | 10.1 | 59 | 16.7 | 0.59 | (0.40–0.86) | 0.005 | |
| GC | 55 | 16.8 | 84 | 10.7 | 1.69 | (1.15–2.47) | 0.007 | |
| CC | 4 | 15.4 | 135 | 12.4 | 1.29 | (0.32–3.87) | 0.554 | |
| CATT repeat (rs3063368) | ||||||||
| CATT 5,5 | 4 | 5.6 | 135 | 12.9 | 0.40 | (0.10–1.11) | 0.092 | |
| CATT 5,6 | 33 | 9.6 | 106 | 13.8 | 0.66 | (0.42–1.02) | 0.050 | |
| CATT 5,7 | 13 | 18.1 | 126 | 12.1 | 1.61 | (0.78–3.06) | 0.140 | |
| CATT 6,6 | 53 | 12.5 | 86 | 12.4 | 1.01 | (0.69–1.48) | 1.000 | |
| CATT 6,7 | 34 | 18.0 | 105 | 11.3 | 1.72 | (1.09–2.66) | 0.015 | |
| CATT 7,7 | 2 | 12.5 | 137 | 12.5 | 1.00 | (0.11–4.45) | 1.000 | |
| Individual genotype combinations † | ||||||||
| CATT 5,5-GG (6.1%) | 4 | 5.9 | 135 | 12.9 | 0.42 | (0.11–1.16) | 0.126 | |
| CATT 5,6-GG (29.5%) | 32 | 9.7 | 107 | 13.6 | 0.68 | (0.44–1.05) | 0.091 | |
| CATT 6,6-GG (32.3%) | 44 | 12.2 | 95 | 12.6 | 0.97 | (0.65–1.44) | 0.923 | |
| CATT 6,6-CG (5.6%) | 9 | 14.3 | 130 | 12.4 | 1.18 | (0.50–2.49) | 0.693 | |
| CATT 5,7-CG (6.2%) | 13 | 18.4 | 126 | 12.0 | 1.70 | (0.83–3.25) | 0.127 | |
| CATT 6,7-CG (15.8%) | 32 | 18.2 | 107 | 11.4 | 1.73 | (1.08–2.70) | 0.018 | |
| MIF Polymorphism | Death (N = 8) | p-Value | ||||||
|---|---|---|---|---|---|---|---|---|
| Patients Carrying This Allele/Genotype | Patients NOT Carrying This Allele/Genotype | |||||||
| N | Incidence, % | N | Incidence, % | OR | (95% CI) | |||
| CATT repeat allele carriers (rs3063368) | ||||||||
| CATT 5 | 2 | 0.4 | 6 | 1.0 | 0.43 | (0.04–2.40) | 0.478 | |
| CATT 6 | 7 | 0.7 | 1 | 0.6 | 1.16 | (0.15–52.80) | 1.000 | |
| CATT 7 | 5 | 1.8 | 3 | 0.4 | 5.12 | (0.99–33.14) | 0.026 | |
| Genotypes | ||||||||
| G>C (rs755622) | ||||||||
| GG | 3 | 0.4 | 5 | 1.4 | 0.28 | (0.04–1.43) | 0.118 | |
| GC | 5 | 1.5 | 3 | 0.4 | 4.05 | (0.78–26.20) | 0.053 | |
| CC | 0 | 0 | 8 | 0.7 | 0.00 | (0.00–19.77) | 1.000 | |
| CATT repeat (rs3063368) | ||||||||
| CATT 5,5 | 0 | 0 | 8 | 0.8 | 0.00 | (0.00–6.75) | 1.000 | |
| CATT 5,6 | 1 | 0.3 | 7 | 0.9 | 0.32 | (0.01–2.49) | 0.447 | |
| CATT 5,7 | 1 | 1.4 | 7 | 0.7 | 2.09 | (0.05–16.59) | 0.415 | |
| CATT 6,6 | 2 | 0.5 | 6 | 0.9 | 0.54 | (0.05–3.06) | 0.717 | |
| CATT 6,7 | 4 | 2.1 | 4 | 0.4 | 4.99 | (0.92–26.98) | 0.032 | |
| CATT 7,7 | 0 | 0 | 8 | 0.7 | 0.00 | (0.00–33.33) | 1.000 | |
| Individual genotype combinations * | ||||||||
| CATT 5,5-GG (6.1%) | 0 | 0 | 8 | 0.8 | 0.00 | (0.00–7.07) | 1.000 | |
| CATT 5,6-GG (29.5%) | 1 | 0.3 | 7 | 0.9 | 0.34 | (0.01–2.66) | 0.449 | |
| CATT 6,6-GG (32.3%) | 2 | 0.6 | 6 | 0.8 | 0.70 | (0.07–3.93) | 1.000 | |
| CATT 6,6-CG (5.6%) | 0 | 0 | 8 | 0.8 | 0.00 | (0.00–7.68) | 1.000 | |
| CATT 5,7-CG (6.2%) | 1 | 1.5 | 7 | 0.7 | 2.18 | (0.05–17.39) | 0.401 | |
| CATT 6,7-CG (15.8%) | 4 | 2.3 | 4 | 0.4 | 5.44 | (1.00–29.44) | 0.025 | |
| Variable | ß | OR | (95% CI) | p-Value |
|---|---|---|---|---|
| AKI (N = 170) * | −1.066 | |||
| CATT7 carrier | 0.755 | 2.13 | (1.46–3.09) | <0.001 |
| EuroSCORE | 0.202 | 1.22 | (1.38–1.32) | <0.001 |
| Hemoglobin | −0.183 | 0.83 | (0.74–0.94) | 0.004 |
| Hypertension | 0.701 | 2.03 | (1.11–3.72) | 0.022 |
| Death (N = 8) † | −6.709 | |||
| CATT7 carrier | 1.719 | 5.58 | (1.29–24.04) | 0.021 |
| EuroSCORE | 0.342 | 1.41 | (1.05–1.88) | 0.021 |
| IDDM | 1.923 | 6.84 | (1.55–30.26) | 0.011 |
© 2020 by the authors. Licensee MDPI, Basel, Switzerland. This article is an open access article distributed under the terms and conditions of the Creative Commons Attribution (CC BY) license (http://creativecommons.org/licenses/by/4.0/).
Share and Cite
Averdunk, L.; Bernhagen, J.; Fehnle, K.; Surowy, H.; Lüdecke, H.-J.; Mucha, S.; Meybohm, P.; Wieczorek, D.; Leng, L.; Marx, G.; et al. The Macrophage Migration Inhibitory Factor (MIF) Promoter Polymorphisms (rs3063368, rs755622) Predict Acute Kidney Injury and Death after Cardiac Surgery. J. Clin. Med. 2020, 9, 2936. https://doi.org/10.3390/jcm9092936
Averdunk L, Bernhagen J, Fehnle K, Surowy H, Lüdecke H-J, Mucha S, Meybohm P, Wieczorek D, Leng L, Marx G, et al. The Macrophage Migration Inhibitory Factor (MIF) Promoter Polymorphisms (rs3063368, rs755622) Predict Acute Kidney Injury and Death after Cardiac Surgery. Journal of Clinical Medicine. 2020; 9(9):2936. https://doi.org/10.3390/jcm9092936
Chicago/Turabian StyleAverdunk, Luisa, Jürgen Bernhagen, Karl Fehnle, Harald Surowy, Hermann-Josef Lüdecke, Sören Mucha, Patrick Meybohm, Dagmar Wieczorek, Lin Leng, Gernot Marx, and et al. 2020. "The Macrophage Migration Inhibitory Factor (MIF) Promoter Polymorphisms (rs3063368, rs755622) Predict Acute Kidney Injury and Death after Cardiac Surgery" Journal of Clinical Medicine 9, no. 9: 2936. https://doi.org/10.3390/jcm9092936
APA StyleAverdunk, L., Bernhagen, J., Fehnle, K., Surowy, H., Lüdecke, H.-J., Mucha, S., Meybohm, P., Wieczorek, D., Leng, L., Marx, G., Leaf, D. E., Zarbock, A., Zacharowski, K., on behalf of the RIPHeart Study Collaborators, Bucala, R., & Stoppe, C. (2020). The Macrophage Migration Inhibitory Factor (MIF) Promoter Polymorphisms (rs3063368, rs755622) Predict Acute Kidney Injury and Death after Cardiac Surgery. Journal of Clinical Medicine, 9(9), 2936. https://doi.org/10.3390/jcm9092936

