Comparison of Tomato Transcriptomic Profiles Reveals Overlapping Patterns in Abiotic and Biotic Stress Responses
Abstract
1. Introduction
2. Results
2.1. Exploration of the Datasets of DEGs under Various Biotic Stress
2.1.1. Analysis of Processes Putatively Involved in Biotic Stress Response, Privately Activated by Resistant and Susceptible Genotypes
2.1.2. Differentially Regulation of Cell Wall Precursors under Various Biotic Stress
2.1.3. Identification of Genes Differentially Expressed under Different Biotic Stress and Involved in the Signaling Process
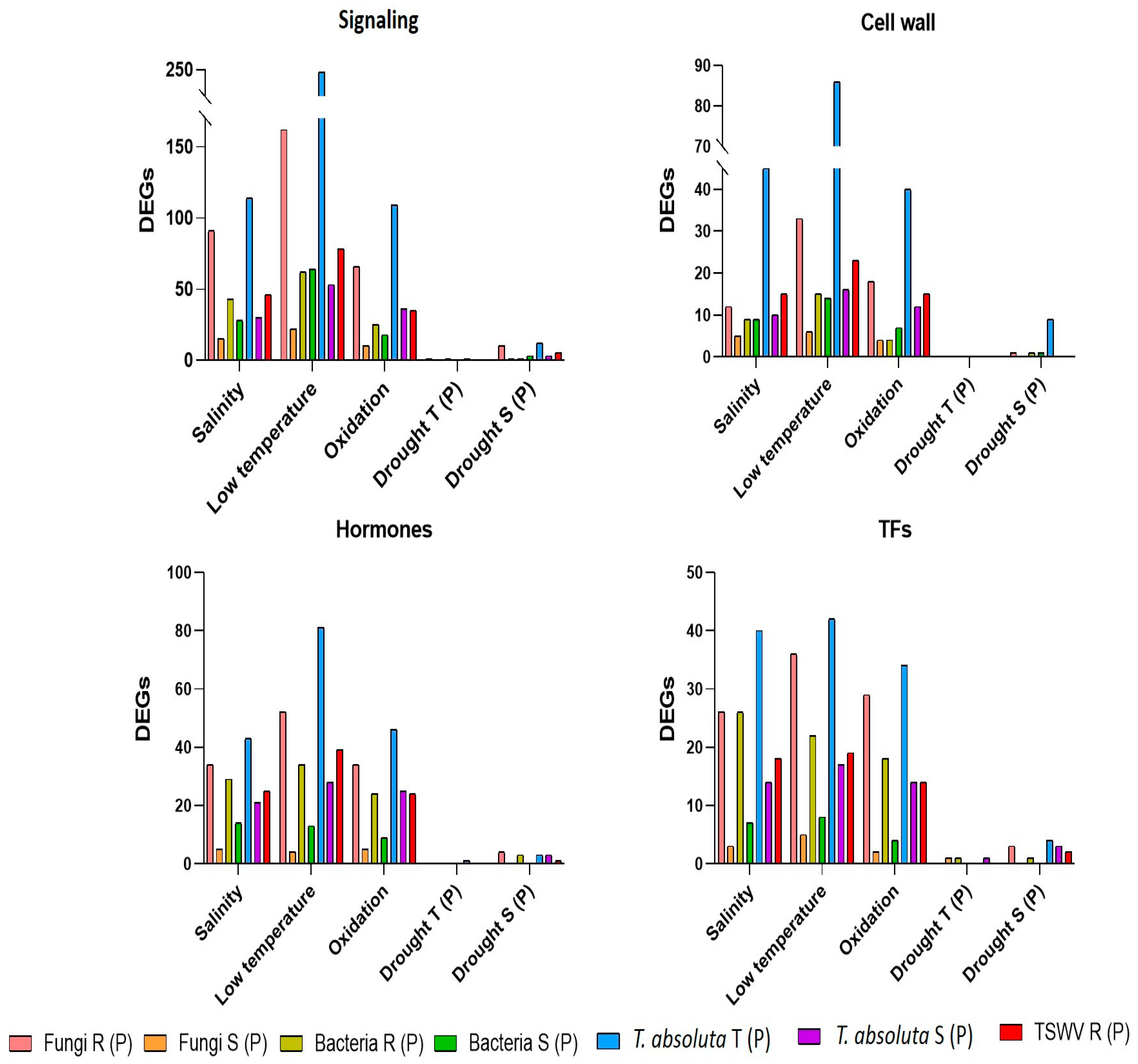
2.2. Exploration of the Datasets of Differentially Expressed Genes under Various Abiotic Stress
2.2.1. Investigation of Hormones and TFs Differentially Regulated under Various Abiotic Stress
2.2.2. Investigating Genes Involved in Different Abiotic Stress Responses and Participating in Signaling and Cell Wall Processe
2.3. Identification of Common Genes Differentially Expressed under Biotic and Abiotic Stress
3. Discussion
3.1. Biotic Stressors Induced a Variegated Transcriptomic Response in Tomato
3.2. Tomato Transcriptomic Reprogramming under Different Abiotic Stresses
3.3. Biotic and Abiotic Stress Transcriptomic Profiles Comparison
4. Materials and Methods
4.1. Bibliographic Research, Studys Selection and Transcriptomic Dataset Downloadg
4.2. Data Processing and Differential Expression Analysis
4.3. DEGs Filtering Criteria
4.4. Pathway Analysis
5. Conclusions
Supplementary Materials
Author Contributions
Funding
Institutional Review Board Statement
Informed Consent Statement
Data Availability Statement
Acknowledgments
Conflicts of Interest
References
- Cappetta, E.; Andolfo, G.; Di Matteo, A.; Ercolano, M.R. Empowering Crop Resilience to Environmental Multiple Stress through the Modulation of Key Response Components. J. Plant Physiol. 2020, 246–247, 153134. [Google Scholar] [CrossRef]
- Kesawat, M.S.; Kherawat, B.S.; Singh, A.; Dey, P.; Kabi, M.; Debnath, D.; Saha, D.; Khandual, A.; Rout, S.; Manorama; et al. Genome-Wide Identification and Characterization of the Brassinazole-Resistant (BZR) Gene Family and Its Expression in the Various Developmental Stage and Stress Conditions in Wheat (Triticum aestivum L.). Int. J. Mol. Sci. 2021, 22, 8743. [Google Scholar] [CrossRef]
- Kesawat, M.S.; Kherawat, B.S.; Singh, A.; Dey, P.; Routray, S.; Mohapatra, C.; Saha, D.; Ram, C.; Siddique, K.H.M.; Kumar, A.; et al. Genome-Wide Analysis and Characterization of the Proline-Rich Extensin-like Receptor Kinases (PERKs) Gene Family Reveals Their Role in Different Developmental Stages and Stress Conditions in Wheat (Triticum aestivum L.). Plants 2022, 11, 496. [Google Scholar] [CrossRef]
- Ye, H.; Qiao, L.; Guo, H.; Guo, L.; Ren, F.; Bai, J.; Wang, Y. Genome-Wide Identification of Wheat WRKY Gene Family Reveals That TaWRKY75-A Is Referred to Drought and Salt Resistances. Front. Plant Sci. 2021, 12, 663118. [Google Scholar] [CrossRef]
- Shao, W.; Chen, W.; Zhu, X.; Zhou, X.; Jin, Y.; Zhan, C.; Liu, G.; Liu, X.; Ma, D.; Qiao, Y. Genome-Wide Identification and Characterization of Wheat 14-3-3 Genes Unravels the Role of Tagrf6-a in Salt Stress Tolerance by Binding Myb Transcription Factor. Int. J. Mol. Sci. 2021, 22, 1904. [Google Scholar] [CrossRef]
- Ku, Y.S.; Sintaha, M.; Cheung, M.Y.; Lam, H.M. Plant Hormone Signaling Crosstalks between Biotic and Abiotic Stress Responses. Int. J. Mol. Sci. 2018, 19, 3206. [Google Scholar] [CrossRef]
- Saijo, Y.; Loo, E.P.-I. Plant Immunity in Signal Integration between Biotic and Abiotic Stress Responses. New Phytol. 2020, 225, 87–104. [Google Scholar] [CrossRef]
- Krishna, R.; Karkute, S.G.; Ansari, W.A.; Jaiswal, D.K.; Verma, J.P.; Singh, M. Transgenic Tomatoes for Abiotic Stress Tolerance: Status and Way Ahead. 3 Biotech 2019, 9, 143. [Google Scholar] [CrossRef]
- Bai, Y.; Kissoudis, C.; Yan, Z.; Visser, R.G.F.; van der Linden, G. Plant Behaviour under Combined Stress: Tomato Responses to Combined Salinity and Pathogen Stress. Plant J. 2018, 93, 781–793. [Google Scholar] [CrossRef]
- Bouzroud, S.; Gouiaa, S.; Hu, N.; Bernadac, A.; Mila, I.; Bendaou, N.; Smouni, A.A.; Bouzayen, M.; Zouine, M. Auxin Response Factors (ARFs) Are Potential Mediators of Auxin Action in Tomato Response to Biotic and Abiotic Stress (Solanum lycopersicum). PLoS ONE 2018, 13, e0193517. [Google Scholar] [CrossRef]
- Zhu, M.; Meng, X.; Cai, J.; Li, G.; Dong, T.; Li, Z. Basic Leucine Zipper Transcription Factor SlbZIP1 Mediates Salt and Drought Stress Tolerance in Tomato. BMC Plant Biol. 2018, 18, 83. [Google Scholar] [CrossRef]
- Li, J.; Ouyang, B.; Wang, T.; Luo, Z.; Yang, C.; Li, H.; Sima, W.; Zhang, J.; Ye, Z. HyPRP1 Gene Suppressed by Multiple Stresses Plays a Negative Role in Abiotic Stress Tolerance in Tomato. Front. Plant Sci. 2016, 7, 967. [Google Scholar] [CrossRef]
- Mackelprang, R.; Lemaux, P.G. Genetic Engineering and Editing of Plants: An Analysis of New and Persisting Questions. Annu. Rev. Plant Biol. 2020, 71, 659–687. [Google Scholar] [CrossRef]
- Andolfo, G.; Villano, C.; Errico, A.; Frusciante, L.; Carputo, D.; Aversano, R.; Ercolano, M.R. Inferring RPW8-NLRs’s Evolution Patterns in Seed Plants: Case Study in Vitis Vinifera. Planta 2020, 251, 32. [Google Scholar] [CrossRef]
- McDermaid, A.; Monier, B.; Zhao, J.; Liu, B.; Ma, Q. Interpretation of Differential Gene Expression Results of RNA-Seq Data: Review and Integration. Brief. Bioinform. 2019, 20, 2044–2054. [Google Scholar] [CrossRef]
- Ashrafi-Dehkordi, E.; Alemzadeh, A.; Tanaka, N.; Razi, H. Meta-Analysis of Transcriptomic Responses to Biotic and Abiotic Stress in Tomato. PeerJ 2018, 6, e4631. [Google Scholar] [CrossRef]
- Finotello, F.; Di Camillo, B. Measuring Differential Gene Expression with RNA-Seq: Challenges and Strategies for Data Analysis. Brief. Funct. Genom. 2015, 14, 130–142. [Google Scholar] [CrossRef]
- Rasheed, M. Next Generation Sequencing as an Emerging Technology in Rare Disease Genetics. J. Islam. Med. Dent. Coll. 2020, 9, 1–3. [Google Scholar] [CrossRef]
- Calle García, J.; Guadagno, A.; Paytuvi-Gallart, A.; Saera-Vila, A.; Amoroso, C.G.; D’Esposito, D.; Andolfo, G.; Aiese Cigliano, R.; Sanseverino, W.; Ercolano, M.R.; et al. PRGdb 4.0: An Updated Database Dedicated to Genes Involved in Plant Disease Resistance Process. Nucleic Acids Res. 2022, 50, D1483–D1490. [Google Scholar] [CrossRef]
- Zhou, R.; Yu, X.; Zhao, T.; Ottosen, C.O.; Rosenqvist, E.; Wu, Z. Physiological Analysis and Transcriptome Sequencing Reveal the Effects of Combined Cold and Drought on Tomato Leaf. BMC Plant Biol. 2019, 19, 377. [Google Scholar] [CrossRef]
- Keshishian, E.A.; Hallmark, H.T.; Ramaraj, T.; Plačková, L.; Sundararajan, A.; Schilkey, F.; Novák, O.; Rashotte, A.M. Salt and Oxidative Stresses Uniquely Regulate Tomato Cytokinin Levels and Transcriptomic Response. Plant Direct 2018, 2, e00071. [Google Scholar] [CrossRef] [PubMed]
- Liu, M.; Yu, H.; Zhao, G.; Huang, Q.; Lu, Y.; Ouyang, B. Profiling of Drought-Responsive MicroRNA and MRNA in Tomato Using High-Throughput Sequencing. BMC Genom. 2017, 18, 481. [Google Scholar] [CrossRef] [PubMed]
- Zhao, T.; Liu, W.; Zhao, Z.; Yang, H.; Bao, Y.; Zhang, D.; Wang, Z.; Jiang, J.; Xu, Y.; Zhang, H.; et al. Transcriptome Profiling Reveals the Response Process of Tomato Carrying Cf-19 and Cladosporium fulvum Interaction. BMC Plant Biol. 2019, 19, 572. [Google Scholar] [CrossRef] [PubMed]
- Canto-Pastor, A.; Santos, B.A.M.C.; Valli, A.A.; Summers, W.; Schornack, S.; Baulcombe, D.C. Enhanced Resistance to Bacterial and Oomycete Pathogens by Short Tandem Target Mimic RNAs in Tomato. Proc. Natl. Acad. Sci. USA 2019, 116, 2755–2760. [Google Scholar] [CrossRef] [PubMed]
- Yang, Y.X.; Wang, M.M.; Yin, Y.L.; Onac, E.; Zhou, G.F.; Peng, S.; Xia, X.J.; Shi, K.; Yu, J.Q.; Zhou, Y.H. RNA-Seq Analysis Reveals the Role of Red Light in Resistance against Pseudomonas syringae Pv. Tomato DC3000 in Tomato Plants. BMC Genom. 2015, 16, 120. [Google Scholar] [CrossRef]
- French, E.; Kim, B.S.; Rivera-Zuluaga, K.; Iyer-Pascuzzi, A.S. Whole Root Transcriptomic Analysis Suggests a Role for Auxin Pathways in Resistance to Ralstonia solanacearum in Tomato. Mol. Plant-Microbe Interact. 2018, 31, 432–444. [Google Scholar] [CrossRef]
- Badet, T.; Voisin, D.; Mbengue, M.; Barascud, M.; Sucher, J.; Sadon, P.; Balagué, C.; Roby, D.; Raffaele, S. Parallel Evolution of the POQR Prolyl Oligo Peptidase Gene Conferring Plant Quantitative Disease Resistance. PLoS Genet. 2017, 13, e1007143. [Google Scholar] [CrossRef]
- Padmanabhan, C.; Ma, Q.; Shekasteband, R.; Stewart, K.S.; Hutton, S.F.; Scott, J.W.; Fei, Z.; Ling, K.S. Comprehensive Transcriptome Analysis and Functional Characterization of PR-5 for Its Involvement in Tomato Sw-7 Resistance to Tomato Spotted Wilt Tospovirus. Sci. Rep. 2019, 9, 7673. [Google Scholar] [CrossRef]
- D’Esposito, D.; Manzo, D.; Ricciardi, A.; Garonna, A.P.; De Natale, A.; Frusciante, L.; Pennacchio, F.; Ercolano, M.R. Tomato Transcriptomic Response to Tuta absoluta Infestation. BMC Plant Biol. 2021, 21, 358. [Google Scholar] [CrossRef]
- Bacete, L.; Mélida, H.; Miedes, E.; Molina, A. Plant Cell Wall-Mediated Immunity: Cell Wall Changes Trigger Disease Resistance Responses. Plant J. 2018, 93, 614–636. [Google Scholar] [CrossRef]
- Tang, D.; Wang, G.; Zhou, J.M. Receptor Kinases in Plant-Pathogen Interactions: More than Pattern Recognition. Plant Cell 2017, 29, 618–637. [Google Scholar] [CrossRef] [PubMed]
- Silva, C.J.; Van Den Abeele, C.; Ortega-Salazar, I.; Papin, V.; Adaskaveg, J.A.; Wang, D.; Casteel, C.L.; Seymour, G.B.; Blanco-Ulate, B. Host Susceptibility Factors Render Ripe Tomato Fruit Vulnerable to Fungal Disease despite Active Immune Responses. J. Exp. Bot. 2021, 72, 2696–2709. [Google Scholar] [CrossRef] [PubMed]
- Pandey, D.; Rajendran, S.R.C.K.; Gaur, M.; Sajeesh, P.K.; Kumar, A. Plant Defense Signaling and Responses Against Necrotrophic Fungal Pathogens. J. Plant Growth Regul. 2016, 35, 1159–1174. [Google Scholar] [CrossRef]
- Bari, R.; Jones, J.D.G. Role of Plant Hormones in Plant Defence Responses. Plant Mol. Biol. 2009, 69, 473–488. [Google Scholar] [CrossRef]
- Scalschi, L.; Llorens, E.; García-Agustín, P.; Vicedo, B. Role of Jasmonic Acid Pathway in Tomato Plant-Pseudomonas syringae Interaction. Plants 2020, 9, 136. [Google Scholar] [CrossRef]
- Ortigosa, A.; Gimenez-Ibanez, S.; Leonhardt, N.; Solano, R. Design of a Bacterial Speck Resistant Tomato by CRISPR/Cas9-Mediated Editing of SlJAZ2. Plant Biotechnol. J. 2019, 17, 665–673. [Google Scholar] [CrossRef]
- War, A.R.; Paulraj, M.G.; Ahmad, T.; Buhroo, A.A.; Hussain, B.; Ignacimuthu, S.; Sharma, H.C. Mechanisms of Plant Defense against Insect Herbivores. Plant Signal. Behav. 2012, 7, 1306–1320. [Google Scholar] [CrossRef]
- Pulga, P.S.; Henschel, J.M.; de Resende, J.T.V.; Zeist, A.R.; Moreira, A.F.P.; Gabriel, A.; Silva, M.B.; Gonçalves, L.S.A. Salicylic Acid Treatments Induce Resistance to Tuta absoluta and Tetranychus urticae on Tomato Plants. Hortic. Bras. 2020, 38, 288–294. [Google Scholar] [CrossRef]
- Hamann, T. Plant Cell Wall Integrity Maintenance as an Essential Component of Biotic Stress Response Mechanisms. Front. Plant Sci. 2012, 3, 77. [Google Scholar] [CrossRef]
- Liu, E.; MacMillan, C.P.; Shafee, T.; Ma, Y.; Ratcliffe, J.; van de Meene, A.; Bacic, A.; Humphries, J.; Johnson, K.L. Fasciclin-Like Arabinogalactan-Protein 16 (FLA16) Is Required for Stem Development in Arabidopsis. Front. Plant Sci. 2020, 11, 615392. [Google Scholar] [CrossRef]
- Meng, J.; Hu, B.; Yi, G.; Li, X.; Chen, H.; Wang, Y.; Yuan, W.; Xing, Y.; Sheng, Q.; Su, Z.; et al. Genome-Wide Analyses of Banana Fasciclin-like AGP Genes and Their Differential Expression under Low-Temperature Stress in Chilling Sensitive and Tolerant Cultivars. Plant Cell Rep. 2020, 39, 693–708. [Google Scholar] [CrossRef] [PubMed]
- He, J.; Zhao, H.; Cheng, Z.; Ke, Y.; Liu, J.; Ma, H. Evolution Analysis of the Fasciclin-like Arabinogalactan Proteins in Plants Shows Variable Fasciclin-AGP Domain Constitutions. Int. J. Mol. Sci. 2019, 20, 1945. [Google Scholar] [CrossRef] [PubMed]
- Ma, Y.; MacMillan, C.P.; de Vries, L.; Mansfield, S.D.; Hao, P.; Ratcliffe, J.; Bacic, A.; Johnson, K.L. FLA11 and FLA12 Glycoproteins Fine-Tune Stem Secondary Wall Properties in Response to Mechanical Stresses. New Phytol. 2022, 233, 1750–1767. [Google Scholar] [CrossRef] [PubMed]
- Wu, X.; Wu, X.; Lai, Y.; Lv, L.; Ji, M.; Ji, M.; Han, K.; Yan, D.; Lu, Y.; Peng, J.; et al. Fasciclin-like Arabinogalactan Gene Family in Nicotiana benthamiana: Genome-Wide Identification, Classification and Expression in Response to Pathogens. BMC Plant Biol. 2020, 20, 305. [Google Scholar] [CrossRef] [PubMed]
- Veronico, P.; Rosso, L.C.; Melillo, M.T.; Fanelli, E.; De Luca, F.; Ciancio, A.; Colagiero, M.; Pentimone, I. Water Stress Differentially Modulates the Expression of Tomato Cell Wall Metabolism-Related Genes in Meloidogyne incognita Feeding Sites. Front. Plant Sci. 2022, 13, 817185. [Google Scholar] [CrossRef] [PubMed]
- Morcillo, R.J.L.; Vílchez, J.I.; Zhang, S.; Kaushal, R.; He, D.; Zi, H.; Liu, R.; Niehaus, K.; Handa, A.K.; Zhang, H. Plant Transcriptome Reprograming and Bacterial Extracellular Metabolites Underlying Tomato Drought Resistance Triggered by a Beneficial Soil Bacteria. Metabolites 2021, 11, 369. [Google Scholar] [CrossRef]
- Hou, J.; Tian, S.; Yang, L.; Zhang, Z.; Liu, Y. A Systematic Review of the Uridine Diphosphate-Galactose/Glucose-4-Epimerase (UGE) in Plants. Plant Growth Regul. 2021, 93, 267–278. [Google Scholar] [CrossRef]
- Jung, Y.J.; Kyoung, J.H.; Nou, I.S.; Cho, Y.G.; Kang, K.K. Molecular Characterization of the UDP-Glucose 4-Epimerase (BrUGE) Gene Family in Response to Biotic and Abiotic Stress in Chinese Cabbage (Brassica rapa). Plant Biotechnol. Rep. 2015, 9, 339–350. [Google Scholar] [CrossRef]
- Rosli, H.G.; Zheng, Y.; Pombo, M.A.; Zhong, S.; Bombarely, A.; Fei, Z.; Collmer, A.; Martin, G.B. Transcriptomics-Based Screen for Genes Induced by Flagellin and Repressed by Pathogen Effectors Identifies a Cell Wall-Associated Kinase Involved in Plant Immunity. Genome Biol. 2013, 14, R139. [Google Scholar] [CrossRef]
- Chen, J.; Li, Z.; Lin, B.; Liao, J.; Zhuo, K. A Meloidogyne graminicola Pectate Lyase Is Involved in Virulence and Activation of Host Defense Responses. Front. Plant Sci. 2021, 12, 651627. [Google Scholar] [CrossRef]
- Schimmel, B.C.J.; Alba, J.M.; Wybouw, N.; Glas, J.J.; Meijer, T.T.; Schuurink, R.C.; Kant, M.R. Distinct Signatures of Host Defense Suppression by Plant-Feeding Mites. Int. J. Mol. Sci. 2018, 19, 3265. [Google Scholar] [CrossRef]
- Sun, K.; Wolters, A.M.A.; Vossen, J.H.; Rouwet, M.E.; Loonen, A.E.H.M.; Jacobsen, E.; Visser, R.G.F.; Bai, Y. Silencing of Six Susceptibility Genes Results in Potato Late Blight Resistance. Transgenic Res. 2016, 25, 731–742. [Google Scholar] [CrossRef]
- Schwartz, A.R.; Morbitzer, R.; Lahaye, T.; Staskawicz, B.J. TALE-Induced BHLH Transcription Factors That Activate a Pectate Lyase Contribute to Water Soaking in Bacterial Spot of Tomato. Proc. Natl. Acad. Sci. USA 2017, 114, E897–E903. [Google Scholar] [CrossRef]
- Jiang, X.; Li, Y.; Li, R.; Gao, Y.; Liu, Z.; Yang, H.; Li, J.; Jiang, J.; Zhao, T.; Xu, X. Transcriptome Analysis of the Cf-13-Mediated Hypersensitive Response of Tomato to Cladosporium fulvum Infection. Int. J. Mol. Sci. 2022, 23, 4844. [Google Scholar] [CrossRef]
- Albaladejo, I.; Egea, I.; Morales, B.; Flores, F.B.; Capel, C.; Lozano, R.; Bolarin, M.C. Identification of Key Genes Involved in the Phenotypic Alterations of Res (Restored Cell Structure by Salinity) Tomato Mutant and Its Recovery Induced by Salt Stress through Transcriptomic Analysis. BMC Plant Biol. 2018, 18, 213. [Google Scholar] [CrossRef]
- Chattopadhyay, T.; Maurya, D.; Shree, B.; Akhtar, S.; Roy, C. Development of polymerase chain reaction-based marker for identification of a nonsense mutation in a Pseudomonas-responsive receptor like protein gene of tomato. J. Hort. Sci. Biol. 2022, 97, 113–121. [Google Scholar] [CrossRef]
- Święcicka, M.; Skowron, W.; Cieszyński, P.; Dąbrowska-Bronk, J.; Matuszkiewicz, M.; Filipecki, M.; Koter, M.D. The Suppression of Tomato Defence Response Genes upon Potato Cyst Nematode Infection Indicates a Key Regulatory Role of MiRNAs. Plant Physiol. Biochem. 2017, 113, 51–55. [Google Scholar] [CrossRef]
- Zhu, T.; Liu, Y.; Ma, L.; Wang, X.; Zhang, D.; Han, Y.; Ding, Q.; Ma, L. Genome-Wide Identification, Phylogeny and Expression Analysis of the SPL Gene Family in Wheat. BMC Plant Biol. 2020, 20, 420. [Google Scholar] [CrossRef]
- Nguyen, D.; Rieu, I.; Mariani, C.; van Dam, N.M. How Plants Handle Multiple Stresses: Hormonal Interactions Underlying Responses to Abiotic Stress and Insect Herbivory. Plant Mol. Biol. 2016, 91, 727–740. [Google Scholar] [CrossRef]
- Wu, J.; Liu, S.; He, Y.; Guan, X.; Zhu, X.; Cheng, L.; Wang, J.; Lu, G. Genome-Wide Analysis of SAUR Gene Family in Solanaceae Species. Gene 2012, 509, 38–50. [Google Scholar] [CrossRef]
- Tognetti, V.B.; van Aken, O.; Morreel, K.; Vandenbroucke, K.; van de Cotte, B.; de Clercq, I.; Chiwocha, S.; Fenske, R.; Prinsen, E.; Boerjan, W.; et al. Perturbation of Indole-3-Butyric Acid Homeostasis by the UDP-Glucosyltransferase UGT74E2 Modulates Arabidopsis Architecture and Water Stress Tolerance. Plant Cell 2010, 22, 2660–2679. [Google Scholar] [CrossRef]
- Jithesh, M.N.; Shukla, P.S.; Kant, P.; Joshi, J.; Critchley, A.T.; Prithiviraj, B. Physiological and Transcriptomics Analyses Reveal That Ascophyllum nodosum Extracts Induce Salinity Tolerance in Arabidopsis by Regulating the Expression of Stress Responsive Genes. J. Plant Growth Regul. 2019, 38, 463–478. [Google Scholar] [CrossRef]
- Martínez-Andújar, C.; Martínez-Pérez, A.; Albacete, A.; Martínez-Melgarejo, P.A.; Dodd, I.C.; Thompson, A.J.; Mohareb, F.; Estelles-Lopez, L.; Kevei, Z.; Ferrández-Ayela, A.; et al. Overproduction of ABA in Rootstocks Alleviates Salinity Stress in Tomato Shoots. Plant Cell Environ. 2021, 44, 2966–2986. [Google Scholar] [CrossRef]
- Naeem, M.; Basit, A.; Ahmad, I.; Mohamed, H.I.; Wasila, H. Effect of Salicylic Acid and Salinity Stress on the Performance of Tomato Plants. Gesunde Pflanz. 2020, 72, 393–402. [Google Scholar] [CrossRef]
- Miura, K.; Tada, Y. Regulation of Water, Salinity, and Cold Stress Responses by Salicylic Acid. Front. Plant Sci. 2014, 5, 4. [Google Scholar] [CrossRef]
- Ahmad, I.; Maqsood, S.; Basra, A.; Wahid, A. Exogenous Application of Ascorbic Acid, Salicylic Acid and Hydrogen Peroxide Improves the Productivity of Hybrid Maize at Low Temperature Stress. Int. J. Agric. Biol. 2014, 16, 825–830. [Google Scholar]
- Klay, I.; Gouia, S.; Liu, M.; Mila, I.; Khoudi, H.; Bernadac, A.; Bouzayen, M.; Pirrello, J. Ethylene Response Factors (ERF) Are Differentially Regulated by Different Abiotic Stress Types in Tomato Plants. Plant Sci. 2018, 274, 137–145. [Google Scholar] [CrossRef]
- Wu, R.; Wang, T.; Richardson, A.C.; Allan, A.C.; Macknight, R.C.; Varkonyi-Gasic, E. Histone Modification and Activation by SOC1-like and Drought Stress-Related Transcription Factors May Regulate AcSVP2 Expression during Kiwifruit Winter Dormancy. Plant Sci. 2019, 281, 242–250. [Google Scholar] [CrossRef]
- Chen, S.; Lin, X.; Zhang, D.; Li, Q.; Zhao, X.; Chen, S. Genome-Wide Analysis of NAC Gene Family in Betula pendula. Forests 2019, 10, 741. [Google Scholar] [CrossRef]
- Sarwat, M.; Naqvi, A.R. Heterologous Expression of Rice Calnexin (OsCNX) Confers Drought Tolerance in Nicotiana tabacum. Mol. Biol. Rep. 2013, 40, 5451–5464. [Google Scholar] [CrossRef]
- Ahsan, N.; Donnart, T.; Nouri, M.Z.; Komatsu, S. Tissue-Specific Defense and Thermo-Adaptive Mechanisms of Soybean Seedlings under Heat Stress Revealed by Proteomic Approach. J. Proteome Res. 2010, 9, 4189–4204. [Google Scholar] [CrossRef]
- Lee, H.J.; Seo, P.J. Ca2+talyzing Initial Responses to Environmental Stresses. Trends Plant Sci. 2021, 26, 849–870. [Google Scholar] [CrossRef] [PubMed]
- Asins, M.J.; Albacete, A.; Martínez-Andújar, C.; Celiktopuz, E.; Solmaz, İ.; Sarı, N.; Pérez-Alfocea, F.; Dodd, I.C.; Carbonell, E.A.; Topcu, S. Genetic Analysis of Root-to-Shoot Signaling and Rootstock-Mediated Tolerance to Water Deficit in Tomato. Genes 2021, 12, 10. [Google Scholar] [CrossRef]
- Yu, C.; Song, L.; Song, J.; Ouyang, B.; Guo, L.; Shang, L.; Wang, T.; Li, H.; Zhang, J.; Ye, Z. ShCIGT, a Trihelix Family Gene, Mediates Cold and Drought Tolerance by Interacting with SnRK1 in Tomato. Plant Sci. 2018, 270, 140–149. [Google Scholar] [CrossRef] [PubMed]
- Chen, Z.; Hong, X.; Zhang, H.; Wang, Y.; Li, X.; Zhu, J.K.; Gong, Z. Disruption of the Cellulose Synthase Gene, AtCesA8/IRX1, Enhances Drought and Osmotic Stress Tolerance in Arabidopsis. Plant J. 2005, 43, 273–283. [Google Scholar] [CrossRef] [PubMed]
- Kesten, C.; Menna, A.; Sánchez-Rodríguez, C. Regulation of Cellulose Synthesis in Response to Stress. Curr. Opin. Plant Biol. 2017, 40, 106–113. [Google Scholar] [CrossRef]
- Zhao, H.; Li, Z.; Wang, Y.; Wang, J.; Xiao, M.; Liu, H.; Quan, R.; Zhang, H.; Huang, R.; Zhu, L.; et al. Cellulose Synthase-like Protein OsCSLD4 Plays an Important Role in the Response of Rice to Salt Stress by Mediating Abscisic Acid Biosynthesis to Regulate Osmotic Stress Tolerance. Plant Biotechnol. J. 2022, 20, 468–484. [Google Scholar] [CrossRef]
- Choe, S.; Choi, B.; Kang, J.H.; Seo, J.K. Tolerance to Tomato Yellow Leaf Curl Virus in Transgenic Tomato Overexpressing a Cellulose Synthase-like Gene. Plant Biotechnol. J. 2021, 19, 657–659. [Google Scholar] [CrossRef]
- Rui, Y.; Dinneny, J.R. A Wall with Integrity: Surveillance and Maintenance of the Plant Cell Wall under Stress. New Phytol. 2020, 225, 1428–1439. [Google Scholar] [CrossRef]
- Pasquet, J.C.; Changenet, V.; Macadré, C.; Boex-Fontvieille, E.; Soulhat, C.; Bouchabké-Coussa, O.; Dalmais, M.; Atanasova-Pénichon, V.; Bendahmane, A.; Saindrenan, P.; et al. A Brachypodium UDP-Glycosyltransferase Confers Root Tolerance to Deoxynivalenol and Resistance to Fusarium Infection. Plant Physiol. 2016, 172, 559–574. [Google Scholar] [CrossRef]
- Lorenc-Kukuła, K.; Zuk, M.; Kulma, A.; Czemplik, M.; Kostyn, K.; Skala, J.; Starzycki, M.; Szopa, J. Engineering Flax with the GT Family 1 Solanum sogarandinum Glycosyltransferase SsGT1 Confers Increased Resistance to Fusarium Infection. J. Agric. Food Chem. 2009, 57, 6698–6705. [Google Scholar] [CrossRef] [PubMed]
- Saidi, A.; Hajibarat, Z.; Hajibarat, Z. Transcriptome Analysis of Phytophthora infestans and Colletotrichum coccodes in Tomato to Reveal Resistance Mechanisms. Asia-Pacific J. Mol. Biol. Biotechnol. 2020, 28, 39–51. [Google Scholar] [CrossRef]
- Milc, J.; Bagnaresi, P.; Aragona, M.; Valente, M.T.; Biselli, C.; Infantino, A.; Francia, E.; Pecchioni, N. Comparative Transcriptome Profiling of the Response to Pyrenochaeta lycopersici in Resistant Tomato Cultivar Mogeor and Its Background Genotype—Susceptible Moneymaker. Funct. Integr. Genom. 2019, 19, 811–826. [Google Scholar] [CrossRef] [PubMed]
- Rezzonico, F.; Rupp, O.; Fahrentrapp, J. Pathogen Recognition in Compatible Plant-Microbe Interactions. Sci. Rep. 2017, 7, 6383. [Google Scholar] [CrossRef]
- Shi, R.; Panthee, D.R. Transcriptome-Based Analysis of Tomato Genotypes Resistant to Bacterial Spot (Xanthomonas perforans) Race T4. Int. J. Mol. Sci. 2020, 21, 4070. [Google Scholar] [CrossRef]
- Yang, H.; Zhao, T.; Jiang, J.; Chen, X.; Zhang, H.; Liu, G.; Zhang, D.; Du, C.; Wang, S.; Xu, X.; et al. Transcriptome Analysis of the Sm-Mediated Hypersensitive Response to Stemphylium lycopersici in Tomato. Front. Plant Sci. 2017, 8, 1257. [Google Scholar] [CrossRef]
- Xue, D.Q.; Chen, X.L.; Zhang, H.; Chai, X.F.; Jiang, J.B.; Xu, X.Y.; Li, J.F. Transcriptome Analysis of the Cf-12-Mediated Resistance Response to Cladosporium fulvum in Tomato. Front. Plant Sci. 2017, 7, 2012. [Google Scholar] [CrossRef]
- Chen, T.; Lv, Y.; Zhao, T.; Li, N.; Yang, Y.; Yu, W.; He, X.; Liu, T.; Zhang, B. Comparative Transcriptome Profiling of a Resistant vs. Susceptible Tomato (Solanum lycopersicum) Cultivar in Response to Infection by Tomato Yellow Leaf Curl Virus. PLoS ONE 2013, 8, e80816. [Google Scholar] [CrossRef]
- Tiwari, P.; Indoliya, Y.; Chauhan, A.S.; Singh, P.; Singh, P.K.; Singh, P.C.; Srivastava, S.; Pande, V.; Chakrabarty, D. Auxin-Salicylic Acid Crosstalk Ameliorates OsMYB–R1 Mediated Defense towards Heavy Metal, Drought and Fungal Stress. J. Hazard. Mater. 2020, 399, 122811. [Google Scholar] [CrossRef]
- Zhao, L.; Hu, Z.; Li, S.; Zhou, X.; Li, J.; Su, X.; Zhang, L.; Zhang, Z.; Dong, J. Diterpenoid Compounds from Wedelia trilobata Induce Resistance to Tomato spotted wilt virus via the JA Signal Pathway in Tobacco Plants. Sci. Rep. 2019, 9, 2763. [Google Scholar] [CrossRef]
- Balyan, S.; Rao, S.; Jha, S.; Bansal, C.; Das, J.R.; Mathur, S. Characterization of Novel Regulators for Heat Stress Tolerance in Tomato from Indian Sub-Continent. Plant Biotechnol. J. 2020, 18, 2118–2132. [Google Scholar] [CrossRef]
- Landi, S.; Nurcato, R.; De Lillo, A.; Lentini, M.; Grillo, S.; Esposito, S. Glucose-6-Phosphate Dehydrogenase Plays a Central Role in the Response of Tomato (Solanum lycopersicum) Plants to Short and Long-Term Drought. Plant Physiol. Biochem. 2016, 105, 79–89. [Google Scholar] [CrossRef]
- Baillo, E.H.; Kimotho, R.N.; Zhang, Z.; Xu, P. Transcription Factors Associated with Abiotic and Biotic Stress Tolerance and Their Potential for Crops Improvement. Genes 2019, 10, 771. [Google Scholar] [CrossRef]
- Li, Z.; Peng, R.; Yao, Q. SlMYB14 Promotes Flavonoids Accumulation and Confers Higher Tolerance to 2,4,6-Trichlorophenol in Tomato. Plant Sci. 2021, 303, 110796. [Google Scholar] [CrossRef]
- Cui, J.; Jiang, N.; Zhou, X.; Hou, X.; Yang, G.; Meng, J.; Luan, Y. Tomato MYB49 Enhances Resistance to Phytophthora infestans and Tolerance to Water Deficit and Salt Stress. Planta 2018, 248, 1487–1503. [Google Scholar] [CrossRef]
- Wong, G.R.; Fatihah Binti Abd Latif, S.N.; Mazumdar, P. Genome-Wide Investigation and Comparative Expression Profiling Reveal R2R3-MYB Genes Involved in Sclerotinia sclerotiorum Defence in Tomato. Physiol. Mol. Plant Pathol. 2022, 121, 101873. [Google Scholar] [CrossRef]
- Dong, X. NPR1, All Things Considered. Curr. Opin. Plant Biol. 2004, 7, 547–552. [Google Scholar] [CrossRef]
- Shi, W.; Hao, L.; Li, J.; Liu, D.; Guo, X.; Li, H. The Gossypium hirsutum WRKY Gene GhWRKY39-1 Promotes Pathogen Infection Defense Responses and Mediates Salt Stress Tolerance in Transgenic Nicotiana benthamiana. Plant Cell Rep. 2014, 33, 483–498. [Google Scholar] [CrossRef]
- Roylawar, P.; Panda, S.; Kamble, A. Comparative Analysis of BABA and Piriformospora indica Mediated Priming of Defence-Related Genes in Tomato against Early Blight. Physiol. Mol. Plant Pathol. 2015, 91, 88–95. [Google Scholar] [CrossRef]
- Panda, S.; Busatto, N.; Hussain, K.; Kamble, A. Piriformospora indica-Primed Transcriptional Reprogramming Induces Defense Response against Early Blight in Tomato. Sci. Hortic. (Amst.) 2019, 255, 209–219. [Google Scholar] [CrossRef]
- Liu, A.C.; Cheng, C.P. Pathogen-Induced ERF68 Regulates Hypersensitive Cell Death in Tomato. Mol. Plant Pathol. 2017, 18, 1062–1074. [Google Scholar] [CrossRef]
- Luan, Y.; Cui, J.; Li, J.; Jiang, N.; Liu, P.; Meng, J. Effective Enhancement of Resistance to Phytophthora infestans by Overexpression of MiR172a and b in Solanum lycopersicum. Planta 2018, 247, 127–138. [Google Scholar] [CrossRef] [PubMed]
- Katz, K.; Shutov, O.; Lapoint, R.; Kimelman, M.; Brister, J.R.; O’Sullivan, C. The Sequence Read Archive: A decade more of explosive growth. Nucleic Acids Res. 2022, 50, D387–D390. [Google Scholar] [CrossRef]
- Kodama, Y.; Shumway, M.; Leinonen, R. International Nucleotide Sequence Database CollaborationThe Sequence Read Archive: Explosive growth of sequencing data. Nucleic Acids Res. 2012, 40, D54–D56. [Google Scholar] [CrossRef] [PubMed]
- Leinonen, R.; Sugawara, H.; Shumway, M. The sequence read archive. Nucleic Acids Res. 2011, 39, D19–D21. [Google Scholar] [CrossRef] [PubMed]
- Vara, C.; Paytuví-Gallart, A.; Cuartero, Y.; Le Dily, F.; Garcia, F.; Salvà-Castro, J.; Gómez-H, L.; Julià, E.; Moutinho, C.; Aiese Cigliano, R.; et al. Three-Dimensional Genomic Structure and Cohesin Occupancy Correlate with Transcriptional Activity during Spermatogenesis. Cell Rep. 2019, 28, 352–367.e9. [Google Scholar] [CrossRef]
- Liao, Y.; Smyth, G.K.; Shi, W. FeatureCounts: An Efficient General Purpose Program for Assigning Sequence Reads to Genomic Features. Bioinformatics 2014, 30, 923–930. [Google Scholar] [CrossRef]
- Love, M.I.; Huber, W.; Anders, S. Moderated Estimation of Fold Change and Dispersion for RNA-Seq Data with DESeq2. Genome Biol. 2014, 15, 550. [Google Scholar] [CrossRef]
- Thimm, O.; Bläsing, O.; Gibon, Y.; Nagel, A.; Meyer, S.; Krüger, P.; Selbig, J.; Müller, L.A.; Rhee, S.Y.; Stitt, M. MAPMAN: A User-Driven Tool to Display Genomics Data Sets onto Diagrams of Metabolic Pathways and Other Biological Processes. Plant J. 2004, 37, 914–939. [Google Scholar] [CrossRef]
- Lohse, M.; Nagel, A.; Herter, T.; May, P.; Schroda, M.; Zrenner, R.; Tohge, T.; Fernie, A.R.; Stitt, M.; Usadel, B. Mercator: A Fast and Simple Web Server for Genome Scale Functional Annotation of Plant Sequence Data. Plant Cell Environ. 2014, 37, 1250–1258. [Google Scholar] [CrossRef]









| Stress Type | Genotype | Comparison | Dpi | Up | Down | Total DEGs | SRA Code | References | |
|---|---|---|---|---|---|---|---|---|---|
| Resistant (R) | Susceptible (S) | ||||||||
| Biotic stress | |||||||||
| C. fulvum | CGN18423 | MoneyMaker | Si. vs. Sni. | 7 vs. 0 | 4698 | 4848 | 9546 | SRP157120 | [23] |
| Si. vs. Sni. | 20 vs. 0 | 2718 | 2487 | 5205 | |||||
| Ri. vs. Rni. | 7 vs. 0 | 3562 | 3721 | 7283 | |||||
| Ri. vs. Rni. | 20 vs. 0 | 4335 | 3904 | 8239 | |||||
| P. infestans | Transgenic lines | M82 | Rimi482 vs. Rni mi482 | 40 | 5986 | 5667 | 11635 | SRP168458 | [24] |
| Rimi2118 vs. Rnimi2128 | 7150 | 6768 | 13918 | ||||||
| Si. vs. Sni. | 6914 | 6416 | 13330 | ||||||
| P. syringae | - | Ailsa Craig | Si. vs. mock | 2 | 5500 | 5543 | 11043 | SRP051074 | [25] |
| S. (treated) vs. mock | 5684 | 5881 | 11565 | ||||||
| R. solanacearum | Hawaii 7996 | West Virginia 700 | Si. vs. Sni. | 1 vs. 0 | 523 | 655 | 1178 | SRP078159 | [26] |
| Si. vs. Sni. | 2 vs. 0 | 1955 | 2426 | 4381 | |||||
| Ri. vs. Rni. | 1 vs. 0 | 673 | 907 | 1580 | |||||
| Ri. vs. Rni. | 2 vs. 0 | 1135 | 1247 | 2382 | |||||
| S. sclerotiorum | - | Heinz | Si. vs. Sni | 30 | 6065 | 6059 | 12124 | SRP124841 | [27] |
| Tomato spotted wilt virus (TSWV) | Fla8059.Sw7 | Fla8059 | Si. vs. Ri | 4 | 18 | 76 | 94 | SRP119544 | [28] |
| Si. vs. Ri | 7 | 18 | 11 | 29 | |||||
| Si. vs. Ri | 14 | 617 | 499 | 1116 | |||||
| Si. vs. Ri | 21 | 722 | 768 | 1490 | |||||
| Si. vs. Ri | 35 | 485 | 726 | 1211 | |||||
| Tuta absoluta | BR221 | PS650 | Si. vs. Sni | 40 | 3287 | 2576 | 5863 | SRP286525 | [29] |
| Ti. vs. Tni | 5176 | 4940 | 10116 | ||||||
| Abiotic stress | |||||||||
| Drought | IL9-1 | M82 | Si. vs. Sni | 10 | 1283 | 2242 | 3525 | SRP100604 | [22] |
| Ti. vs. Tni | 682 | 1290 | 1972 | ||||||
| Drought | - | Jinlingmeiyu | Si. vs. Sni | 5 | 2725 | 3374 | 6099 | SRP156535 | [20] |
| Salt | - | MicroTom | Si. vs. Sni | 0.25 | 3600 | 2965 | 6565 | SRP150651 | [21] |
| Low temperature | - | Jinlingmeiyu | Si. vs. Sni | 2 | 6323 | 6513 | 12836 | SRP156535 | [20] |
| Oxidation | - | MicroTom | Si. vs. Sni | 0.25 | 2849 | 2475 | 5324 | SRP150651 | [21] |
| Gene ID | Function | Low T | Oxidation | Salinity | Drought S | Drought T | |||||
|---|---|---|---|---|---|---|---|---|---|---|---|
| Up | Down | Up | Down | Up | Down | Up | Down | Up | Down | ||
| Signaling | |||||||||||
| Solyc03g118040 | Calnexin | X | X | X | X | ||||||
| Solyc02g072310 | RLK | X | X | X | |||||||
| Solyc05g056370 | RLK | X | X | X | |||||||
| Solyc06g063180 | GLR2.2 | X | X | ||||||||
| Solyc07g052390 | GLR3.1 | X | X | ||||||||
| Solyc07g052400 | GLR3.2 | X | X | X | |||||||
| Solyc05g045650 | GLR3.4 | X | X | ||||||||
| Solyc02g067030 | SNF1 | X | X | ||||||||
| Cell wall metabolism | |||||||||||
| Solyc01g009420 | AXS | X | X | X | |||||||
| Solyc02g067080 | UGD | X | X | X | |||||||
| Solyc07g006220 | GAE | X | X | X | |||||||
| Solyc05g050990 | GAE | X | X | X | |||||||
| Solyc08g080570 | UGE | X | X | X | |||||||
| Solyc03g097050 | CSL | X | X | X | X | X | |||||
Disclaimer/Publisher’s Note: The statements, opinions and data contained in all publications are solely those of the individual author(s) and contributor(s) and not of MDPI and/or the editor(s). MDPI and/or the editor(s) disclaim responsibility for any injury to people or property resulting from any ideas, methods, instructions or products referred to in the content. |
© 2023 by the authors. Licensee MDPI, Basel, Switzerland. This article is an open access article distributed under the terms and conditions of the Creative Commons Attribution (CC BY) license (https://creativecommons.org/licenses/by/4.0/).
Share and Cite
Amoroso, C.G.; D’Esposito, D.; Aiese Cigliano, R.; Ercolano, M.R. Comparison of Tomato Transcriptomic Profiles Reveals Overlapping Patterns in Abiotic and Biotic Stress Responses. Int. J. Mol. Sci. 2023, 24, 4061. https://doi.org/10.3390/ijms24044061
Amoroso CG, D’Esposito D, Aiese Cigliano R, Ercolano MR. Comparison of Tomato Transcriptomic Profiles Reveals Overlapping Patterns in Abiotic and Biotic Stress Responses. International Journal of Molecular Sciences. 2023; 24(4):4061. https://doi.org/10.3390/ijms24044061
Chicago/Turabian StyleAmoroso, Ciro Gianmaria, Daniela D’Esposito, Riccardo Aiese Cigliano, and Maria Raffaella Ercolano. 2023. "Comparison of Tomato Transcriptomic Profiles Reveals Overlapping Patterns in Abiotic and Biotic Stress Responses" International Journal of Molecular Sciences 24, no. 4: 4061. https://doi.org/10.3390/ijms24044061
APA StyleAmoroso, C. G., D’Esposito, D., Aiese Cigliano, R., & Ercolano, M. R. (2023). Comparison of Tomato Transcriptomic Profiles Reveals Overlapping Patterns in Abiotic and Biotic Stress Responses. International Journal of Molecular Sciences, 24(4), 4061. https://doi.org/10.3390/ijms24044061

