Selection of Reliable Reference Genes for Gene Expression Studies of a Promising Oilseed Crop, Plukenetia volubilis, by Real-Time Quantitative PCR
Abstract
:1. Introduction
| Gene/GenBank Accession Number | Description | Function | Forward (F) and Reverse (R) Primer Sequences (5′→3′) | Amplicon Length | Tm (°C) | Amplification Efficiency (%) | Correlation Coefficient |
|---|---|---|---|---|---|---|---|
| 18S/KP729648 | 18S ribosomal RNA | ribosomal structure | F: ACCAGGTCCAGACATAGTAAGGATTGA | 140 bp | 81.73 | 106.40 | 0.999 |
| R: AGTTAGCAGGCTGAGGTCTCGTT | |||||||
| ACT/GADC01011038 | actin | cytoskeletal structural protein | F: CCAGAAGTCTTGTTCCAGCCATCTC | 185 bp | 80.66 | 105.78 | 0.999 |
| R: GCGGTGATCTCCTTGCTCATACG | |||||||
| CYC/GADC01018836 | cyclophilin | protein folding | F: GGCAAGATACGAACGGATCACAGTT | 145 bp | 82.95 | 108.93 | 0.999 |
| R: GGCACTCCACTCCGACTTCCTT | |||||||
| EF1α/GADC01006492 | elongation factor 1-alpha | protein biosynthesis | F: GGTATTCTCAAGCCTGGTATGGTTGT | 102 bp | 80.48 | 94.98 | 0.999 |
| R: GAGAGCCTCCTGAAGAGCCTCAT | |||||||
| GAPDH/GADC01052274 | glyceraldehyde-3-phosphate dehydrogenase | glucose metabolism | F: TGGCAAGCATATTCAGGCAGGAG | 116 bp | 81.63 | 94.98 | 0.999 |
| R: TTGGCTCATCAGGATTGTAGGTATCAG | |||||||
| PLA/KP729647 | phospholipase A22 | lipid catabolic process | F: ATACCATACAGAACGCAGCTTGTGAA | 101 bp | 79.92 | 103.33 | 0.998 |
| R: TTCCGCCAGTTCCAACCTATCCA | |||||||
| RPII/GADC01020629 | RNA polymerase II subunit | mRNA process | F: GCCTCGGTCTCATTCCTCTTACAAG | 109 bp | 82.44 | 104.17 | 0.999 |
| R: AACTCAACAGAACAATACTCGCACTGA | |||||||
| RPS13/GADC01008223 | 30S ribosomal protein S13 | DNA-templated transcription | F: TAATGCACAGCTTCCAGATGAC | 202 bp | 81.47 | 90.55 | 0.999 |
| R: AACCAGTCGCTTTGATTCTTCT | |||||||
| TEF2/GADC01000224 | transcription elongation factors-II | transcription | F: AGATTCAGAGCATGAAGAGGGAC | 182 bp | 82.18 | 104.17 | 0.996 |
| R: CGATCGGTATTTGTTGCGATTT | |||||||
| TUB/GADC01018931 | Tubulin beta-4 chain | structural constituent of cytoskeleton | F: ACAATTCACTGCCATGTTCAGGAGAA | 169 bp | 82.05 | 97.83 | 0.999 |
| R: GTCATCTTCGTAGTCACCTTCGTCATC | |||||||
| UBL/GADC01024109 | ubiquitin-like | protein binding | F: GCTACGTCTGCGTGGAGGAATG | 197 bp | 82.39 | 99.53 | 0.996 |
| R: TGTAGTCTGCCAATGTGCGTCC | |||||||
| UCE/GADC01034781 | ubiquitin-conjugating enzyme | ubiquitin-dependent protein catabolic process | F: TGGAATGGATGACGGAGACGACAT | 142 bp | 78.74 | 100 | 0.997 |
| R: AACACTTGGTGGCTTCTCTGGATAATC |
2. Results
2.1. Specificity and Efficiency of PCR Amplification of the Candidate Reference Genes

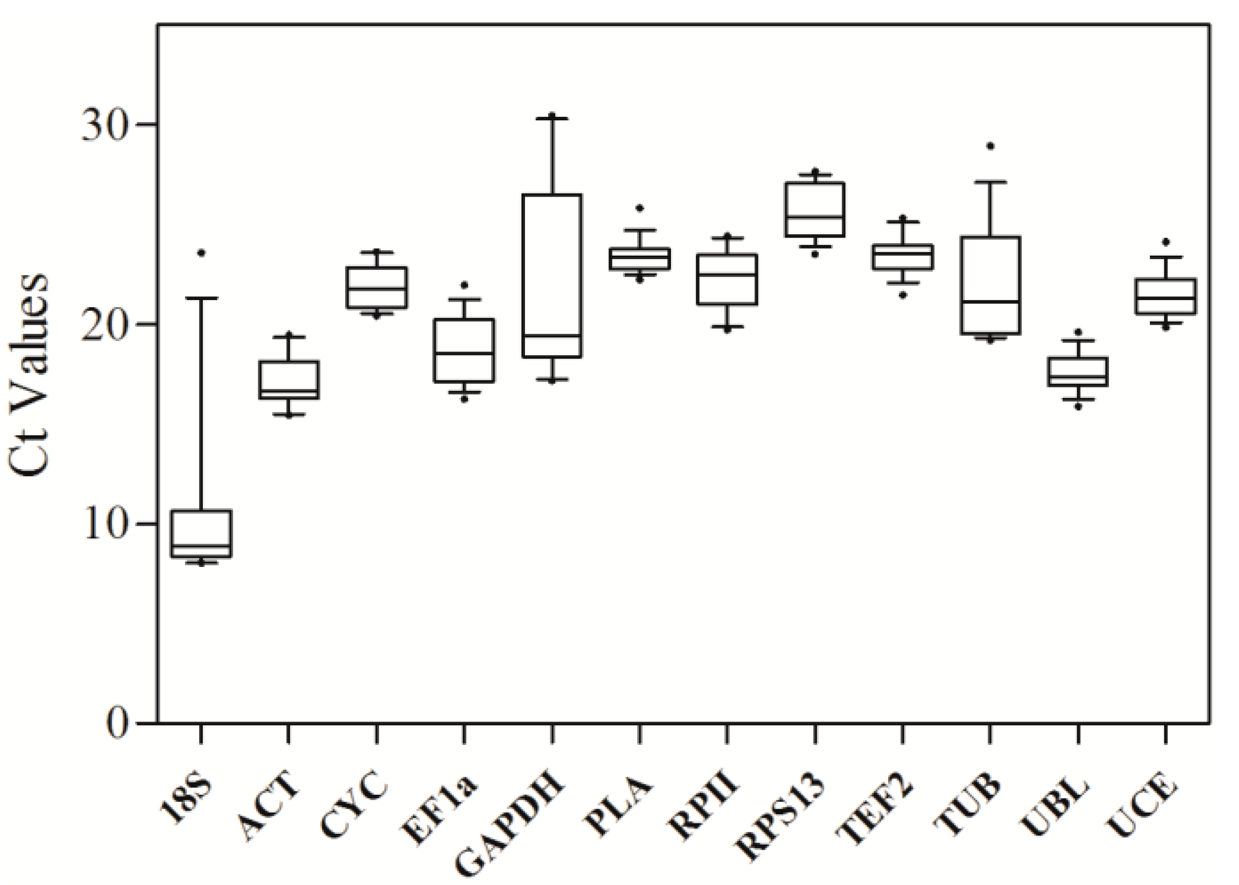
2.2. Transcript Accumulation of Candidate Reference Genes

2.3. Ranking of Candidate Reference Genes and Determination of the Optimal Reference Genes
| Analysis Tool | Ranking Order (The 1st is the most stable, and the 12th is the least stable) | ||||||||||||||||||||||||
|---|---|---|---|---|---|---|---|---|---|---|---|---|---|---|---|---|---|---|---|---|---|---|---|---|---|
| 1 | 2 | 3 | 4 | 5 | 6 | 7 | 8 | 9 | 10 | 11 | 12 | ||||||||||||||
| Seedling | |||||||||||||||||||||||||
| ΔCt | UCE | ACT | CYC | PLA | 18S | RPS13 | EF1α | TEF2 | RPII | UBL | TUB | GAPDH | |||||||||||||
| BestKeeper | PLA | 18S | TEF2 | ACT | UCE | CYC | UBL | RPS13 | RPII | EF1α | TUB | GAPDH | |||||||||||||
| NormFinder | UCE | ACT | EF1α | RPS13 | CYC | RPII | PLA | TUB | 18S | TEF2 | UBL | GAPDH | |||||||||||||
| geNorm | ACT | UCE | PLA | 18S | TEF2 | CYC | RPS13 | UBL | EF1α | RPII | TUB | GAPDH | ||||||||||||||
| Recommended comprehensive ranking | UCE | ACT | PLA | 18S | CYC | TEF2 | RPS13 | EF1α | RPII | UBL | TUB | GAPDH | |||||||||||||
| Adult Plant | |||||||||||||||||||||||||
| ΔCt | RPS13 | CYC | EF1α | RPII | UCE | ACT | UBL | TEF2 | PLA | TUB | GAPDH | 18S | |||||||||||||
| BestKeeper | UCE | PLA | UBL | CYC | TEF2 | RPS13 | ACT | RPII | EF1α | TUB | GAPDH | 18S | |||||||||||||
| NormFinder | EF1α | ACT | RPII | RPS13 | CYC | UCE | PLA | UBL | TEF2 | TUB | GAPDH | 18S | |||||||||||||
| geNorm | CYC | RPS13 | EF1α | RPII | UCE | ACT | UBL | TEF2 | PLA | TUB | GAPDH | 18S | ||||||||||||||
| Recommended comprehensive ranking | RPS13 | CYC | EF1α | UCE | RPII | ACT | PLA | UBL | TEF2 | TUB | GAPDH | 18S | |||||||||||||
| FlowerDevelopment | |||||||||||||||||||||||||
| ΔCt | PLA | UCE | ACT | GAPDH | TEF2 | EF1α | CYC | RPII | UBL | 18S | RPS13 | TUB | |||||||||||||
| BestKeeper | ACT | PLA | GAPDH | UCE | TEF2 | 18S | CYC | UBL | EF1α | RPII | RPS13 | TUB | |||||||||||||
| NormFinder | UCE | PLA | TEF2 | EF1α | ACT | GAPDH | RPII | CYC | RPS13 | UBL | 18S | TUB | |||||||||||||
| geNorm | ACT | GAPDH | PLA | UCE | TEF2 | CYC | UBL | EF1α | 18S | RPII | RPS13 | TUB | ||||||||||||||
| Recommended comprehensive ranking | PLA | ACT | UCE | GAPDH | TEF2 | EF1α | CYC | UBL | RPII | 18S | RPS13 | TUB | |||||||||||||
| Seed Development | |||||||||||||||||||||||||
| ΔCt | UCE | RPS13 | EF1α | ACT | RPII | CYC | UBL | PLA | TEF2 | GAPDH | TUB | 18S | |||||||||||||
| BestKeeper | UBL | TEF2 | PLA | CYC | ACT | RPII | RPS13 | UCE | EF1α | GAPDH | TUB | 18S | |||||||||||||
| NormFinder | UCE | EF1α | RPS13 | RPII | ACT | CYC | UBL | PLA | GAPDH | TEF2 | TUB | 18S | |||||||||||||
| geNorm | RPII | RPS13 | EF1α | UCE | ACT | CYC | UBL | PLA | TEF2 | GAPDH | TUB | 18S | ||||||||||||||
| Recommended comprehensive ranking | UCE | RPS13 | RPII | EF1α | UBL | ACT | CYC | PLA | TEF2 | GAPDH | TUB | 18S | |||||||||||||
| Entire Growth Cycle | |||||||||||||||||||||||||
| ΔCt | UCE | ACT | EF1α | CYC | RPII | RPS13 | PLA | UBL | TEF2 | TUB | 18S | GAPDH | |||||||||||||
| BestKeeper | PLA | UBL | TEF2 | UCE | CYC | ACT | RPS13 | RPII | EF1α | TUB | 18S | GAPDH | |||||||||||||
| NormFinder | EF1α | ACT | UCE | RPII | CYC | RPS13 | PLA | UBL | TEF2 | TUB | 18S | GAPDH | |||||||||||||
| geNorm | ACT | UCE | CYC | EF1α | RPII | RPS13 | UBL | PLA | TEF2 | TUB | 18S | GAPDH | ||||||||||||||
| Recommended comprehensive ranking | UCE | ACT | EF1α | CYC | PLA | RPII | UBL | RPS13 | TEF2 | TUB | 18S | GAPDH | |||||||||||||
2.4. Reference Gene Validation

3. Discussion
4. Experimental Section
4.1. Plant Materials
4.2. Total RNA Extraction and cDNA Synthesis
4.3. Selection of Candidate Reference Genes and Design of RT-qPCR Primers
4.4. RT-qPCR Conditions and Data Analysis
5. Conclusions
Supplementary Materials
Acknowledgments
Author Contributions
Conflicts of Interest
References
- Gillespie, L.J. A synopsis of neotropical Plukenetia (Euphorbiaceae) including two new species. Syst. Bot. 1993, 18, 575–592. [Google Scholar] [CrossRef]
- Gillespie, L.J. A revision of paleotropical Plukenetia (Euphorbiaceae) including two new species from Madagascar. Syst. Bot. 2007, 32, 780–802. [Google Scholar] [CrossRef]
- Krivankova, B.; Polesny, Z.; Lojka, B.; Lojkova, J.; Banout, J.; Preininger, D. Sacha Inchi (Plukenetia Volubilis, Euphorbiaceae): A Promising Oilseed Crop from Peruvian Amazon. In Proceedings of the Conference on International Agricultural Research and Development, Witzenhausen, Germany, 9–11 October 2007.
- Fu, Q.; Niu, L.; Zhang, Q.; Pan, B.-Z.; He, H.; Xu, Z.-F. Benzyladenine treatment promotes floral feminization and fruiting in a promising oilseed crop Plukenetia volubilis. Ind. Crop. Prod. 2014, 59, 295–298. [Google Scholar] [CrossRef]
- Zuleta, E.C.; Rios, L.A.; Benjumea, P.N. Oxidative stability and cold flow behavior of palm, sacha-inchi, jatropha and castor oil biodiesel blends. Fuel Process Technol. 2012, 102, 96–101. [Google Scholar] [CrossRef]
- Wang, X.; Xu, R.; Wang, R.; Liu, A. Transcriptome analysis of Sacha Inchi (Plukenetia volubilis L.) seeds at two developmental stages. BMC Genomics 2012, 13. [Google Scholar] [CrossRef] [PubMed]
- Bustin, S. Quantification of mRNA using real-time reverse transcription PCR (RT-PCR): Trends and problems. J. Mol. Endocrinol. 2002, 29, 23–39. [Google Scholar] [CrossRef] [PubMed]
- Nolan, T.; Hands, R.E.; Bustin, S.A. Quantification of mRNA using real-time RT-PCR. Nat. Protoc. 2006, 1, 1559–1582. [Google Scholar] [CrossRef] [PubMed]
- Bustin, S.; Benes, V.; Nolan, T.; Pfaffl, M. Quantitative real-time RT-PCR—A perspective. J. Mol. Endocrinol. 2005, 34, 597–601. [Google Scholar] [CrossRef] [PubMed]
- Udvardi, M.K.; Czechowski, T.; Scheible, W.-R. Eleven golden rules of quantitative RT-PCR. Plant Cell 2008, 20, 1736–1737. [Google Scholar] [CrossRef] [PubMed]
- Nicot, N.; Hausman, J.-F.; Hoffmann, L.; Evers, D. Housekeeping gene selection for real-time RT-PCR normalization in potato during biotic and abiotic stress. J. Exp. Bot. 2005, 56, 2907–2914. [Google Scholar] [CrossRef] [PubMed]
- Han, X.; Lu, M.; Chen, Y.; Zhan, Z.; Cui, Q.; Wang, Y. Selection of reliable reference genes for gene expression studies using real-time PCR in tung tree during seed development. PLoS ONE 2012, 7, e43084. [Google Scholar] [CrossRef] [PubMed]
- Zhang, Y.; Chen, D.; Smith, M.A.; Zhang, B.; Pan, X. Selection of reliable reference genes in Caenorhabditis elegans for analysis of nanotoxicity. PLoS ONE 2012, 7, e31849. [Google Scholar] [CrossRef] [PubMed]
- Silver, N.; Best, S.; Jiang, J.; Thein, S.L. Selection of housekeeping genes for gene expression studies in human reticulocytes using real-time PCR. BMC Mol. Biol. 2006, 7. [Google Scholar] [CrossRef] [PubMed]
- Vandesompele, J.; de Preter, K.; Pattyn, F.; Poppe, B.; van Roy, N.; de Paepe, A.; Speleman, F. Accurate normalization of real-time quantitative RT-PCR data by geometric averaging of multiple internal control genes. Genome Biol. 2002, 3. [Google Scholar] [CrossRef]
- Pfaffl, M.W.; Tichopad, A.; Prgomet, C.; Neuvians, T.P. Determination of stable housekeeping genes, differentially regulated target genes and sample integrity: BestKeeper-Excel-based tool using pair-wise correlations. Biotechnol. Lett. 2004, 26, 509–515. [Google Scholar] [CrossRef] [PubMed]
- Andersen, C.L.; Jensen, J.L.; Ørntoft, T.F. Normalization of real-time quantitative reverse transcription-PCR data: A model-based variance estimation approach to identify genes suited for normalization, applied to bladder and colon cancer data sets. Cancer Res. 2004, 64, 5245–5250. [Google Scholar] [CrossRef] [PubMed]
- Brunner, A.M.; Yakovlev, I.A.; Strauss, S.H. Validating internal controls for quantitative plant gene expression studies. BMC Plant Biol. 2004, 4. [Google Scholar] [CrossRef] [PubMed]
- Chandna, R.; Augustine, R.; Bisht, N.C. Evaluation of candidate reference genes for gene expression normalization in Brassica juncea using real time quantitative RT-PCR. PLoS ONE 2012, 7, e36918. [Google Scholar] [CrossRef] [PubMed]
- Fan, C.; Ma, J.; Guo, Q.; Li, X.; Wang, H.; Lu, M. Selection of reference genes for quantitative real-time PCR in bamboo (Phyllostachys edulis). PLoS ONE 2013, 8, e56573. [Google Scholar] [CrossRef] [PubMed]
- Zhang, L.; He, L.-L.; Fu, Q.-T.; Xu, Z.-F. Selection of reliable reference genes for gene expression studies in the biofuel plant Jatropha curcas using real-time quantitative PCR. Int. J. Mol. Sci. 2013, 14, 24338–24354. [Google Scholar] [CrossRef] [PubMed]
- Cruz, F.; Kalaoun, S.; Nobile, P.; Colombo, C.; Almeida, J.; Barros, L.M.; Romano, E.; Grossi-de-Sá, M.F.; Vaslin, M.; Alves-Ferreira, M. Evaluation of coffee reference genes for relative expression studies by quantitative real-time RT-PCR. Mol. Breed. 2009, 23, 607–616. [Google Scholar] [CrossRef]
- Yeap, W.-C.; Loo, J.M.; Wong, Y.C.; Kulaveerasingam, H. Evaluation of suitable reference genes for qRT-PCR gene expression normalization in reproductive, vegetative tissues and during fruit development in oil palm. Plant Cell Tissue Organ 2014, 116, 55–66. [Google Scholar] [CrossRef]
- Tong, Z.; Gao, Z.; Wang, F.; Zhou, J.; Zhang, Z. Selection of reliable reference genes for gene expression studies in peach using real-time PCR. BMC Mol. Biol. 2009, 10. [Google Scholar] [CrossRef] [PubMed]
- Mallona, I.; Lischewski, S.; Weiss, J.; Hause, B.; Egea-Cortines, M. Validation of reference genes for quantitative real-time PCR during leaf and flower development in Petunia hybrida. BMC Plant Biol. 2010, 10. [Google Scholar] [CrossRef] [PubMed]
- Wei, L.; Miao, H.; Zhao, R.; Han, X.; Zhang, T.; Zhang, H. Identification and testing of reference genes for Sesame gene expression analysis by quantitative real-time PCR. Planta 2013, 237, 873–889. [Google Scholar] [CrossRef] [PubMed]
- Qi, J.; Yu, S.; Zhang, F.; Shen, X.; Zhao, X.; Yu, Y.; Zhang, D. Reference gene selection for real-time quantitative polymerase chain reaction of mRNA transcript levels in Chinese cabbage (Brassica rapa L. ssp. pekinensis). Plant Mol. Biol. Rep. 2010, 28, 597–604. [Google Scholar] [CrossRef]
- Zhu, X.; Li, X.; Chen, W.; Chen, J.; Lu, W.; Chen, L.; Fu, D. Evaluation of new reference genes in papaya for accurate transcript normalization under different experimental conditions. PLoS ONE 2012, 7, e44405. [Google Scholar] [CrossRef] [PubMed]
- Hou, J.-H.; Gao, Z.-H.; Zhang, Z.; Chen, S.-M.; Ando, T.; Zhang, J.-Y.; Wang, X.-W. Isolation and characterization of an AGAMOUS homologue PmAG from the Japanese apricot (Prunus mume Sieb. et Zucc.). Plant Mol. Biol. Rep. 2011, 29, 473–480. [Google Scholar] [CrossRef]
- Zhang, J.Q.; Li, Z.N.; Guo, C.; Liu, G.F.; Bao, M.Z. Isolation and functional analyses of a putative floral homeotic c-function gene in a basal eudicot London plane tree (Platanus acerifolia). PLoS ONE 2013, 8, e63389. [Google Scholar] [CrossRef] [PubMed]
- Yanofsky, M.F.; Ma, H.; Bowman, J.L.; Drews, G.N.; Feldmann, K.A.; Meyerowitz, E.M. The protein encoded by the Arabidopsis homeotic gene agamous resembles transcription factors. Nature 1990, 346, 35–39. [Google Scholar] [CrossRef] [PubMed]
- Ginzinger, D.G. Gene quantification using real-time quantitative PCR: An emerging technology hits the mainstream. Exp. Hematol. 2002, 30, 503–512. [Google Scholar] [CrossRef]
- Bustin, S.A. Absolute quantification of mRNA using real-time reverse transcription polymerase chain reaction assays. J. Mol. Endocrinol. 2000, 25, 169–193. [Google Scholar] [CrossRef] [PubMed]
- Thellin, O.; Zorzi, W.; Lakaye, B.; de Borman, B.; Coumans, B.; Hennen, G.; Grisar, T.; Igout, A.; Heinen, E. Housekeeping genes as internal standards: Use and limits. J. Biotechnol. 1999, 75, 291–295. [Google Scholar] [CrossRef]
- Liu, B.; Wang, W.G.; Gao, J.H.; Chen, F.; Wang, S.H.; Xu, Y.; Tang, L.; Jia, Y.J. Molecular cloning and characterization of a jasmonate biosynthetic pathway gene for allene oxide cyclase from Jatropha curcas. Acta Physiol. Plant. 2010, 32, 531–539. [Google Scholar] [CrossRef]
- Zhang, B.Y.; Su, X.H.; Zhou, X.M. A MADS-box gene of Populus deltoides expressed during flower development and in vegetative organs. Tree Physiol. 2008, 28, 929–934. [Google Scholar] [CrossRef] [PubMed]
- Die, J.V.; Román, B.; Nadal, S.; González-Verdejo, C.I. Evaluation of candidate reference genes for expression studies in Pisum sativum under different experimental conditions. Planta 2010, 232, 145–153. [Google Scholar] [CrossRef] [PubMed]
- Plaxton, W.C. The organization and regulation of plant glycolysis. Annu. Rev. Plant Physiol. Plant Mol. Biol. 1996, 47, 185–214. [Google Scholar] [CrossRef] [PubMed]
- Huis, R.; Hawkins, S.; Neutelings, G. Selection of reference genes for quantitative gene expression normalization in flax (Linum usitatissimum L.). BMC Plant Biol. 2010, 10, 71. [Google Scholar] [CrossRef] [PubMed]
- Barsalobres-Cavallari, C.F.; Severino, F.E.; Maluf, M.P.; Maia, I.G. Identification of suitable internal control genes for expression studies in Coffea arabica under different experimental conditions. BMC Mol. Biol. 2009, 10. [Google Scholar] [CrossRef] [PubMed]
- Huang, L.; Yan, H.; Jiang, X.; Zhang, X.; Zhang, Y.; Huang, X.; Zhang, Y.; Miao, J.; Xu, B.; Frazier, T.; et al. Evaluation of candidate reference genes for normalization of quantitative RT-PCR in switchgrass under various abiotic stress conditions. BioEnerg. Res. 2014, 7, 1201–1211. [Google Scholar] [CrossRef]
- Reid, K.; Olsson, N.; Schlosser, J.; Peng, F.; Lund, S. An optimized grapevine RNA isolation procedure and statistical determination of reference genes for real-time RT-PCR during berry development. BMC Plant Biol. 2006, 6. [Google Scholar] [CrossRef] [PubMed]
- Hu, R.; Fan, C.; Li, H.; Zhang, Q.; Fu, Y.-F. Evaluation of putative reference genes for gene expression normalization in soybean by quantitative real-time RT-PCR. BMC Mol. Biol. 2009, 10. [Google Scholar] [CrossRef] [PubMed]
- Mizukami, Y.; Ma, H. Ectopic expression of the floral homeotic gene AGAMOUS in transgenic Arabidopsis plants alters floral organ identity. Cell 1992, 71, 119–131. [Google Scholar] [CrossRef]
- Rosin, F.M.; Aharoni, A.; Salentijn, E.M.; Schaart, J.G.; Boone, M.J.; Hannapel, D.J. Expression patterns of a putative homolog of AGAMOUS, STAG1, from strawberry. Plant Sci. 2003, 165, 959–968. [Google Scholar] [CrossRef]
- Gutierrez, L.; Mauriat, M.; Guénin, S.; Pelloux, J.; Lefebvre, J.-F.; Louvet, R.; Rusterucci, C.; Moritz, T.; Guerineau, F.; Bellini, C.; et al. The lack of a systematic validation of reference genes: A serious pitfall undervalued in reverse transcription-polymerase chain reaction (RT-PCR) analysis in plants. Plant Biotechnol. J. 2008, 6, 609–618. [Google Scholar] [CrossRef] [PubMed]
- Exposito-Rodriguez, M.; Borges, A.; Borges-Perez, A.; Perez, J. Selection of internal control genes for quantitative real-time RT-PCR studies during tomato development process. BMC Plant Biol. 2008, 8. [Google Scholar] [CrossRef] [PubMed]
- Niu, L.; Li, J.; Chen, M.-S.; Xu, Z.-F. Determination of oil contents in Sacha inchi (Plukenetia volubilis) seeds at different developmental stages by two methods: Soxhlet extraction and time-domain nuclear magnetic resonance. Ind. Crop. Prod. 2014, 56, 187–190. [Google Scholar] [CrossRef]
- Wang, J.H.; Ni, Z.H.; Duan, Z.P.; Wang, G.Q.; Li, F. Altered expression of hypoxia-inducible factor-1 alpha (Hif-1α) and its regulatory genes in gastric cancer tissues. PLoS ONE 2014, 9, e99835. [Google Scholar] [CrossRef] [PubMed]
- Ramakers, C.; Ruijter, J.M.; Deprez, R.H.L.; Moorman, A.F. Assumption-free analysis of quantitative real-time polymerase chain reaction (PCR) data. Neurosci. Lett. 2003, 339, 62–66. [Google Scholar] [CrossRef]
- Hao, X.; Horvath, D.P.; Chao, W.S.; Yang, Y.; Wang, X.; Xiao, B. Identification and evaluation of reliable reference genes for quantitative real-time PCR analysis in tea plant (Camellia sinensis (L.) O. Kuntze). Int. J. Mol. Sci. 2014, 15, 22155–22172. [Google Scholar] [CrossRef] [PubMed]
© 2015 by the authors; licensee MDPI, Basel, Switzerland. This article is an open access article distributed under the terms and conditions of the Creative Commons Attribution license (http://creativecommons.org/licenses/by/4.0/).
Share and Cite
Niu, L.; Tao, Y.-B.; Chen, M.-S.; Fu, Q.; Li, C.; Dong, Y.; Wang, X.; He, H.; Xu, Z.-F. Selection of Reliable Reference Genes for Gene Expression Studies of a Promising Oilseed Crop, Plukenetia volubilis, by Real-Time Quantitative PCR. Int. J. Mol. Sci. 2015, 16, 12513-12530. https://doi.org/10.3390/ijms160612513
Niu L, Tao Y-B, Chen M-S, Fu Q, Li C, Dong Y, Wang X, He H, Xu Z-F. Selection of Reliable Reference Genes for Gene Expression Studies of a Promising Oilseed Crop, Plukenetia volubilis, by Real-Time Quantitative PCR. International Journal of Molecular Sciences. 2015; 16(6):12513-12530. https://doi.org/10.3390/ijms160612513
Chicago/Turabian StyleNiu, Longjian, Yan-Bin Tao, Mao-Sheng Chen, Qiantang Fu, Chaoqiong Li, Yuling Dong, Xiulan Wang, Huiying He, and Zeng-Fu Xu. 2015. "Selection of Reliable Reference Genes for Gene Expression Studies of a Promising Oilseed Crop, Plukenetia volubilis, by Real-Time Quantitative PCR" International Journal of Molecular Sciences 16, no. 6: 12513-12530. https://doi.org/10.3390/ijms160612513
APA StyleNiu, L., Tao, Y.-B., Chen, M.-S., Fu, Q., Li, C., Dong, Y., Wang, X., He, H., & Xu, Z.-F. (2015). Selection of Reliable Reference Genes for Gene Expression Studies of a Promising Oilseed Crop, Plukenetia volubilis, by Real-Time Quantitative PCR. International Journal of Molecular Sciences, 16(6), 12513-12530. https://doi.org/10.3390/ijms160612513

