Sign in to use this feature.

Years

Between: -

Subjects

remove_circle_outline
remove_circle_outline
remove_circle_outline
remove_circle_outline
remove_circle_outline
remove_circle_outline
remove_circle_outline
remove_circle_outline
remove_circle_outline

Journals

remove_circle_outline
remove_circle_outline
remove_circle_outline
remove_circle_outline
remove_circle_outline
remove_circle_outline
remove_circle_outline
remove_circle_outline
remove_circle_outline
remove_circle_outline
remove_circle_outline
remove_circle_outline
remove_circle_outline
remove_circle_outline
remove_circle_outline
remove_circle_outline
remove_circle_outline
remove_circle_outline
remove_circle_outline
remove_circle_outline
remove_circle_outline
remove_circle_outline
remove_circle_outline
remove_circle_outline
remove_circle_outline
remove_circle_outline
remove_circle_outline
remove_circle_outline
remove_circle_outline

Article Types

Countries / Regions

remove_circle_outline
remove_circle_outline
remove_circle_outline
remove_circle_outline
remove_circle_outline
remove_circle_outline
remove_circle_outline
remove_circle_outline
remove_circle_outline
remove_circle_outline
remove_circle_outline

Search Results (7,343)

Search Parameters:
Keywords = seed development

Order results
Result details
Results per page
Select all
Export citation of selected articles as:
24 pages, 2148 KB  
Article
Identification and Expression Analysis of MADS-box Gene Family in Pinus koraiensis and Overexpression of PkMADS9 Promoting Early Flowering in Transgenic Arabidopsis
by Xue Luan, Minghui Zhao, Wenjing Gu, Yan Li, Luping Jiang, Shuanglin Song, Haiyang Yu, Yanming Zhang, Xiaona Pei and Xiyang Zhao
Plants 2026, 15(4), 657; https://doi.org/10.3390/plants15040657 (registering DOI) - 21 Feb 2026
Abstract
Korean pine (Pinus koraiensis) is a vital woody oil tree species native to Northeast Asia, with its pine nuts serving as the primary global source of edible pine nuts globally due to their rich nutritional content. Currently, seed yield from Korean [...] Read more.
Korean pine (Pinus koraiensis) is a vital woody oil tree species native to Northeast Asia, with its pine nuts serving as the primary global source of edible pine nuts globally due to their rich nutritional content. Currently, seed yield from Korean pine is low and unstable, failing to meet the market demand. The limited number of female cones is the primary factor restricting its yield. MADS-box family members are crucial in regulating the initiation, differentiation, and morphogenesis of floral organs. However, systematic identification and characterization of MADS-box proteins in Korean pine have not been reported. This study utilized transcriptome data from reproductive and vegetative buds during the flower bud differentiation stage of Korean pine to comprehensively identify MADS-box family members through bioinformatics analysis and molecular biology approaches. A total of 37 PkMADS-box genes were identified, including 6 type I and 31 type II (MIKC) genes, which were classified into 8 subfamilies. The physicochemical properties, conserved domains, conserved motifs, protein structures, gene expression profiles, and protein–protein interaction networks of these genes were analyzed. Key genes associated with physiological differentiation (flower induction) and sexual organogenesis were identified based on expression patterns during flower bud differentiation and flower organ development. Among these, PkMADS4 and PkMADS26 are likely involved in positively regulating flower induction, while PkMADS9 plays a role in the morphological differentiation of sexual organs in a dose-dependent manner and overexpression of PkMADS9 promoting early flowering in transgenic Arabidopsis. These genes were also identified as key candidates for regulating reproductive phase changes and strobilus development. This study provides a theoretical foundation for further ‌investigation of MADS-box genes in reproduction and offers insights into genetic improvements aimed at enhancing the seed yield of Korean pine. Full article
(This article belongs to the Special Issue Genomics and Transcriptomics for Plant Development and Improvement)
12 pages, 3177 KB  
Article
Fe3O4 Nanozyme-Labeled Lateral Flow Immunochromatography Strips for Rapid Detection of PVX and PVY
by Yu Yang, Jiali Wu, Zhaoping Gu, Haowen Yang, Siyi Wang, Yonghong Zhou, Hongju Jian and Dianqiu Lv
Plants 2026, 15(4), 656; https://doi.org/10.3390/plants15040656 (registering DOI) - 21 Feb 2026
Abstract
Potato virus X (PVX) and potato virus Y (PVY) are major pathogens that threaten seed potato quality and yield. To improve the efficiency of field screening, we developed monovalent PVX, monovalent PVY, and bivalent PVX/PVY nanozyme strips using Fe3O4 nanozymes [...] Read more.
Potato virus X (PVX) and potato virus Y (PVY) are major pathogens that threaten seed potato quality and yield. To improve the efficiency of field screening, we developed monovalent PVX, monovalent PVY, and bivalent PVX/PVY nanozyme strips using Fe3O4 nanozymes as labels in a double-antibody sandwich lateral flow immunochromatographic assay. Western blot analysis demonstrated that four monoclonal antibodies (PVX 2, PVX 6, PVY 2, and PVY 5) specifically recognized their corresponding viral coat proteins. Specificity testing showed that the nanozyme strips reacted only with the target viruses and did not cross-react with other common potato viruses, including Potato virus A (PVA), Potato virus M (PVM), Potato virus S (PVS), and Potato leafroll virus (PLRV). The PVX nanozyme strip detected PVX-positive extracts diluted up to 103-fold, the PVY nanozyme strip up to 104-fold, and the bivalent strip detected PVX/PVY co-infected samples diluted up to 103-fold. In addition, detection results by strips from 12 samples of plantlets in vitro were fully consistent with RT-PCR. These nanozyme strips provide rapid, simple, specific, and sensitive methods that can be stored at ambient temperature, enabling field surveys, warehouse screening, and on-site testing and supporting early detection of potato virus diseases. Full article
(This article belongs to the Section Plant Protection and Biotic Interactions)
Show Figures

Figure 1

28 pages, 1268 KB  
Review
New and Emerging Diseases of Temperate Grain Legumes in the Nile Valley and Red Sea Region: Faba Bean Gall and Virus Diseases: A Review
by Seid Ahmed Kemal, Safaa G. Kumari, P. Lava Kumar, Ming Pei You, Joop van Leur and Martin J. Barbetti
Agronomy 2026, 16(4), 479; https://doi.org/10.3390/agronomy16040479 - 20 Feb 2026
Abstract
Temperate grain legumes, including faba bean, field pea, chickpea, lentil, and grass pea, are important food and forage crops in the cereal-based cropping system in the Nile Valley and Red Sea region countries. Despite their importance, local production remains insufficient, and the countries [...] Read more.
Temperate grain legumes, including faba bean, field pea, chickpea, lentil, and grass pea, are important food and forage crops in the cereal-based cropping system in the Nile Valley and Red Sea region countries. Despite their importance, local production remains insufficient, and the countries are forced to import to narrow the demand gaps. Emerging diseases, such as faba bean gall disease and several viruses (Chickpea chlorotic dwarf virus, Chickpea chlorotic stunt virus, Faba bean necrotic yellows virus, and Pea seed-borne mosaic virus), are on the rise due to climate variability, changes in farming systems such as monocropping, reduced crop rotations, limited knowledge about the pathogens, and absence of varieties with good levels of resistance. This review synthesizes research achievements in the region and identifies focus areas, primarily resistance breeding, characterization of pathogen populations, developing efficient screening techniques, investigations of mixed virus infections, advancement of pathogen diagnostic techniques, and developing agroecologically based disease management strategies to reduce economic impacts of new and re-emerging diseases. Moreover, research collaboration and information exchange among countries in the region are essential to mitigate the growing threat of emerging legume diseases. Full article
(This article belongs to the Section Pest and Disease Management)
19 pages, 2052 KB  
Article
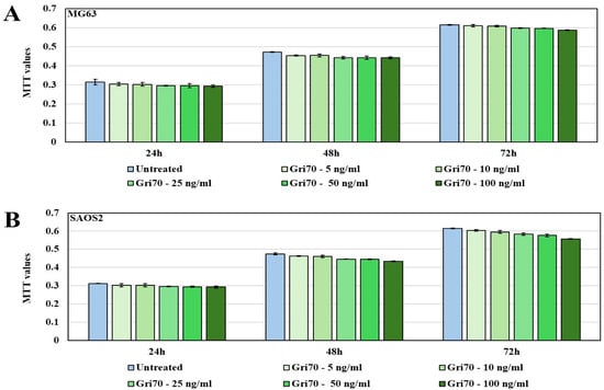
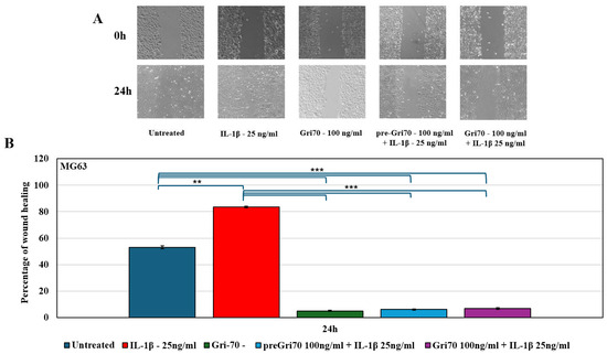
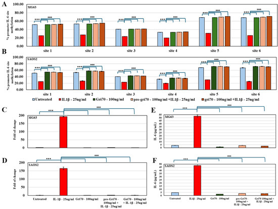
Antimetastatic Effects of a Griffonia simplicifolia Seed Extract in Osteosarcoma Cell Lines
by Daniele Bellavia, Flores Naselli, Graziella Serio, Paola Miriam Russo, Viviana Costa, Angela De Luca, Lavinia Raimondi, Carla Gentile, Fabio Caradonna and Gianluca Giavaresi
Antioxidants 2026, 15(2), 263; https://doi.org/10.3390/antiox15020263 - 19 Feb 2026
Viewed by 50
Abstract
Osteosarcoma is one of the most common malignant tumors that develop in the bone. Currently, surgery is often the best and most used approach, often preceded and followed by chemotherapy, which, however, carries serious short- and long-term side effects. Recently, much attention has [...] Read more.
Osteosarcoma is one of the most common malignant tumors that develop in the bone. Currently, surgery is often the best and most used approach, often preceded and followed by chemotherapy, which, however, carries serious short- and long-term side effects. Recently, much attention has been paid to natural compounds capable of inducing tumor cell death, reducing tumor and metastatic activity, and interacting with selective chemotherapy targeting tumor cells. Griffonia simplicifolia, a tropical African plant, has attracted attention because its extracts with bioactive chemicals have demonstrated multiple therapeutic uses. We show the antitumor properties of a Griffonia seed extract, obtained by maceration in a hydroalcoholic mixture (ethanol/water, 70/30, v/v, Gri70), on osteosarcoma cell lines, evaluating cytotoxicity, interaction with a pro-inflammatory signal (interleukin-1β), epigenetic activity of this signal on interleukin-6 gene expression, and interactions with an elective chemotherapeutic agent, doxorubicin. Although the extract did not have strong antiproliferative activity in the cell lines analyzed, we nevertheless observed that it was able to block proliferative and migration signals induced by interleukin-1β, as well as acting epigenetically by blocking the de-methylation of the interleukin-6 promoter and its expression. Furthermore, the extract did not appear to interfere with the antitumor activity of doxorubicin, and the interaction potentiated antimetastatic effects. These results indicate that Gri-70 extract may be useful as adjuvants to enhance the effect of doxorubicin, reducing the adverse effects associated with the increased EMT process of osteosarcoma cells that manage to overcome cell death induction. Indeed, metastasis represents the main cause of poor prognosis. Full article
(This article belongs to the Section Health Outcomes of Antioxidants and Oxidative Stress)
Show Figures

Figure 1

37 pages, 1206 KB  
Review
Chestnut and Grapevine By-Products: Bioactivity, Biotransformation, and Nutraceutical Applications
by Teresa Pinto, Berta Gonçalves, Alfredo Aires, Fernanda Cosme and Alice Vilela
Appl. Sci. 2026, 16(4), 2052; https://doi.org/10.3390/app16042052 - 19 Feb 2026
Viewed by 51
Abstract
The growing interest in sustainable food systems has spurred research into the valorisation of agro-industrial by-products as sources of bioactive compounds. This review provides a comprehensive overview of the phytochemical composition, bioactivity, biotransformation, and potential nutraceutical applications of by-products from chestnut (Castanea [...] Read more.
The growing interest in sustainable food systems has spurred research into the valorisation of agro-industrial by-products as sources of bioactive compounds. This review provides a comprehensive overview of the phytochemical composition, bioactivity, biotransformation, and potential nutraceutical applications of by-products from chestnut (Castanea sativa Mill.) and grape (Vitis vinifera L.). Recent studies identify matrices such as chestnut leaves, shells, and burs, as well as grape pomace, skins, seeds, stems, and vine shoots, as rich in phenolic compounds, dietary fibres, vitamins, and minor bioactives, with antioxidant, anti-inflammatory, and antimicrobial properties. Emerging evidence highlights the importance of gastrointestinal digestion and microbial biotransformation in modulating the bioavailability and biological efficacy of phenolic compounds, particularly fibre-bound phenolics. The review further discusses state-of-the-art analytical approaches for chemical characterisation, including chromatographic and spectrophotometric methods, as well as emerging strategies for extraction, encapsulation, and delivery to enhance stability and bioavailability. Finally, the integration of chestnut and grapevine by-products into nutraceuticals, functional foods, and natural preservatives is critically examined from technological, safety, regulatory, and sustainability perspectives. Overall, this synthesis underscores the potential of these underutilised biomass streams as multifunctional raw materials that support waste valorisation, resource efficiency, and the development of next-generation health-promoting ingredients aligned with circular bioeconomy principles. Full article
Show Figures

Figure 1

16 pages, 2041 KB  
Article
Energy-Efficient and Economy-Sustainable Technology for Online Seed Viability Detection Using Hyper Spectrum
by Xiantao He, Yichen Li, Jinting Zhu, Ceang Wen, Dawei Sun, Li Yang, Dongxing Zhang, Tao Cui, Kailiang Zhang and Ying Deng
Sensors 2026, 26(4), 1333; https://doi.org/10.3390/s26041333 - 19 Feb 2026
Viewed by 180
Abstract
The seed viability detection before sowing is indispensable in the agricultural production of mung beans. The conventional detection methods for seed viability are destructive, carry a risk of contamination, and fail to identify individual non-viable seeds. In this study, an efficient and sustainable [...] Read more.
The seed viability detection before sowing is indispensable in the agricultural production of mung beans. The conventional detection methods for seed viability are destructive, carry a risk of contamination, and fail to identify individual non-viable seeds. In this study, an efficient and sustainable method for online viability detection of mung bean seeds was developed, which utilized hyperspectral techniques and had characteristics of rapid speed, non-destructive analysis, and the ability to detect the viability status without pollution to the environment. A sample holder for mung bean seeds was designed to stably collect spectral data. The effects of different optimal spectral bands and modeling algorithms on the detection accuracy of seed viability were analyzed. Compared to the support vector machine (SVM) and the extreme learning machine (ELM) algorithms, the partial least squares (PLS) algorithm based on the visible and near-infrared spectra (380~980 nm) had better performance. The accuracy for the identification of non-viable seeds was 98.8%, and the error of viability prediction was 20.71%. The cost of a one-time viability test is $0.25 with energy consumption of 0.05 kWh−1, which is much lower than the germination test with a cost of $80.2 and energy consumption of 50.4 kWh−1. Furthermore, individual non-viable seeds can be identified and removed, and the revenue increases by $286.9 per hectare after sorting the non-viable seeds from the seeds with an 85% germination rate. This will promote the cleaner production of mung beans without additional chemical solutions added in the process. Full article
Show Figures

Figure 1

15 pages, 1819 KB  
Article
Stable Inheritance of Transgene and Yellow Fluorescent Protein Gene Expression in Progeny of Transgenic Cacao (Theobroma cacao) Plants
by George Austin, Jesse Jones, Abigail Stevens, Elaine Zhang, Taylor Thompson, Michael Gomez, Geoffrey Vrla, Youngbin Oh, Jean-Philippe Marelli, Carl M. Jones, Brian Staskawicz and Myeong-Je Cho
Plants 2026, 15(4), 642; https://doi.org/10.3390/plants15040642 - 18 Feb 2026
Viewed by 127
Abstract
Genetic engineering tools have the potential to rapidly and precisely improve the genome of slow-to-breed cacao. We previously developed an efficient protocol for transforming cacao using cotyledonary explants derived from secondary somatic embryos via Agrobacterium tumefaciens. In this study, we demonstrate that [...] Read more.
Genetic engineering tools have the potential to rapidly and precisely improve the genome of slow-to-breed cacao. We previously developed an efficient protocol for transforming cacao using cotyledonary explants derived from secondary somatic embryos via Agrobacterium tumefaciens. In this study, we demonstrate that our transformation protocol is successful in elite cultivars, INIAPG-038 and Matina 1-6, producing fertile seeds with stable visual marker inheritance regardless of whether the transgenic plants were used as the pollen or ovule donor. Three vectors were used in the transformations, each containing genes for enhanced yellow fluorescent protein (eyfp) and neomycin phosphotransferase II (nptII). Three transgenic INIAPG-038 events and one transgenic Matina 1-6 event were used to evaluate seed fertility and the stability of transgene inheritance in cacao seeds and plants. The T1 progeny of these four transgenic events were analyzed for YFP expression and transgene presence. YFP expression segregated at a 1:1 ratio in all events when the transgenic plants were crossed with non-transgenic plants, while a 3:1 segregation was observed when transgenic events were crossed with each other. The transgenic plants exhibited a normal phenotype compared to non-transgenic control plants, producing seeds with a 97% germination rate. Full article
(This article belongs to the Special Issue Plant Transformation and Genome Editing)
Show Figures

Figure 1

17 pages, 3514 KB  
Article
Protocorm-Derived Fungus, Ceratobasidium sp., Significantly Enhances Seed Germination in Anoectochilus roxburghii (Wall.) Lindl. (Orchidaceae)
by Cai Yu, Meng-Xue Wang, Pei-Yan Xue, Lu Tan, Xi-Qiang Song and Shi-Cheng Shao
Horticulturae 2026, 12(2), 244; https://doi.org/10.3390/horticulturae12020244 - 18 Feb 2026
Viewed by 61
Abstract
Orchid seed germination is heavily dependent on orchid mycorrhizal fungi (OMF) for nutrient acquisition in the field. Employing OMF to promote the germination and reproductive success of orchids is increasingly recognized as an effective conservation strategy. However, the success of this approach depends [...] Read more.
Orchid seed germination is heavily dependent on orchid mycorrhizal fungi (OMF) for nutrient acquisition in the field. Employing OMF to promote the germination and reproductive success of orchids is increasingly recognized as an effective conservation strategy. However, the success of this approach depends on identifying the most compatible fungal partners and integrating them properly into conservation programs. In this study, seeds of Anoectochilus roxburghii (Wall.) Lindl., a medicinal terrestrial orchid with Chinese national Level-II protected status, were co-cultured in vitro with 12 fungal strains from diverse sources to test seed preference to fungi and identify germination-promoting fungi. One strain (P2), isolated from host protocorms and identified as Ceratobasidium sp. based on rDNA-ITS phylogeny, showed the highest germination-promoting efficacy in in vitro symbiotic seed germination (SSG) experiments, yielding 41.09 ± 3.04% protocorm formation and 13.83 ± 3.15% seedling development at 60 days after sowing. Both values were significantly higher than those of other fungal treatments and the uninoculated control. Pilot trials of ex vitro and ex situ symbiotic seed germination demonstrated that strain P2 enhanced seedling development despite a low germination percentage caused by seed loss in artificial medium. These findings highlight the strong symbiotic preference of A. roxburghii seeds for strain P2 and demonstrate its potential as a valuable microbial resource for increasing seedling density in large-scale seedling propagation programs. Full article
(This article belongs to the Section Propagation and Seeds)
Show Figures

Figure 1

22 pages, 2194 KB  
Article
Integration of Discriminant Analysis and Probabilistic Neural Networks to Classify Yield Levels Based on Soil Chemical Properties in Cover Crop Rotation Systems
by Carolina dos Santos Batista Bonini, Borja Velázquez-Martí, Pâmela Gomes Nakada-Freitas, Alfredo Bonini, Melissa Alexandre Santos and Ana Clara Tomasseti
AgriEngineering 2026, 8(2), 72; https://doi.org/10.3390/agriengineering8020072 - 17 Feb 2026
Viewed by 146
Abstract
This study investigates how cover crop management and soil tillage influence the development and yield of cucumber and cabbage crops. Three cover crop treatments—blue lupin, black oats, and their mixture—were evaluated during the autumn/winter season, while Stylosanthes capitata (Fabaceae), pearl millet (Pennisetum [...] Read more.
This study investigates how cover crop management and soil tillage influence the development and yield of cucumber and cabbage crops. Three cover crop treatments—blue lupin, black oats, and their mixture—were evaluated during the autumn/winter season, while Stylosanthes capitata (Fabaceae), pearl millet (Pennisetum glaucum, Poaceae), and their mixture were assessed during the spring/summer season, under both conventional tillage and no-till (direct seeding) systems. Cover crops were established in spring/summer (October–November) and, after their management, cucumber (Cucumis sativus L.) was cultivated from December to February. Subsequently, winter cover crops were grown from May to July, followed by cabbage (Brassica oleracea var. capitata) cultivation from July to September. Drip irrigation was used, and organic practices were employed for weed, pest, and disease management. Germination, seedling survival rate, and plant growth (height, number of leaves, foliage cover, and fruit or cabbage size) were evaluated. Finally, crop yield is considered by comparing harvest weight and quality to determine which combination of soil cover and planting method maximizes crop productivity and quality. Obviously, management differences that influence yield will be associated with soil properties. To better understand the causes of these yield differences, the influence of soil chemical properties was explored using multivariate analysis techniques (discriminant analysis) and neural networks. Multivariate techniques allow for the exploration of complex relationships among multiple variables simultaneously, facilitating the identification of key patterns or factors that influence crop yield. On the other hand, neural networks, using machine learning models, allow for the prediction of outcomes based on the soil’s physicochemical properties, as well as the identification of optimal combinations of factors that maximize crop yield. Discriminant analysis and neural networks showed that soil variables such as pH, organic matter (OM), cation exchange capacity (CEC), phosphorus (P), and potassium (K) were key determinants in differentiating the yield groups. Cabbage yield was most strongly associated with pH and OM, while cucumber yield responded more strongly to potassium and CEC. Full article
(This article belongs to the Special Issue The Future of Artificial Intelligence in Agriculture, 2nd Edition)
Show Figures

Figure 1

13 pages, 2759 KB  
Article
Prospective Assessment of Embryoid Body by Deep Learning on Label-Free Time-Lapse Images from the Microwell Array
by Yoshinori Inoue, Yoshitaka Miyamoto, Shuya Suda, Koji Ikuta and Masashi Ikeuchi
Biomedicines 2026, 14(2), 445; https://doi.org/10.3390/biomedicines14020445 - 16 Feb 2026
Viewed by 152
Abstract
Background: Embryoid bodies (EBs) play a central role in organoid engineering, where their formation fidelity and size critically influence downstream differentiation outcomes. Current EB production workflows primarily rely on retrospective quality assessment, which limits reproducibility in high-throughput culture systems. Objective: This study aimed [...] Read more.
Background: Embryoid bodies (EBs) play a central role in organoid engineering, where their formation fidelity and size critically influence downstream differentiation outcomes. Current EB production workflows primarily rely on retrospective quality assessment, which limits reproducibility in high-throughput culture systems. Objective: This study aimed to develop a prospective, non-invasive framework that integrates early-phase bright-field time-lapse imaging with a three-dimensional convolutional neural network to predict EB formation outcomes and final EB diameter within the microwell platform. Methods: Time-lapse image sequences collected during the first hours after cell seeding on the microwell array were used to train 3D-CNN models for classification (formation vs. non-formation) and regression (final diameter). A balanced dataset was constructed through under-sampling, and five-fold cross-validation with data augmentation was applied to evaluate model performance. Results: The classification model achieved an accuracy of 96.5%, reliably distinguishing between successful and failed EB formation using short-duration image sequences. The regression model predicted the final EB diameter with a mean absolute error of ±7.1 µm, reflecting strong agreement with measured values and capturing seeding-density-dependent size variations. Conclusions: Early aggregation dynamics captured by bright-field time-lapse imaging contain sufficient spatiotemporal information to enable accurate, prospective EB quality prediction. The proposed framework provides a label-free and automation-compatible strategy for improving reproducibility in large-scale EB manufacturing and supports the future development of adaptive and closed-loop organoid culture systems for clinical applications. Full article
(This article belongs to the Special Issue Advanced Research in Cell and Tissue Engineering)
Show Figures

Figure 1

26 pages, 1942 KB  
Review
Peach Palm (Bactris gasipaes) as a Sustainable Source of Plant Proteins, Dietary Fiber and Other Functional Ingredients: Recovery Techniques and Functional Food Applications
by Kartik Sharma, Nattaya Konsue, Samart Sai-Ut, Ekasit Onsaard, Wanli Zhang, Shusong Wu, Jia-Qiang Huang, Young Hoon Jung and Saroat Rawdkuen
Foods 2026, 15(4), 736; https://doi.org/10.3390/foods15040736 - 16 Feb 2026
Viewed by 153
Abstract
The current rise in global population and the subsequent demand for food supply to meet the current population has directed the attention of researchers towards sustainable, plant-based sources, particularly underutilized crops. Bactris gasipaes is one such underutilized crop with significant functional food value. [...] Read more.
The current rise in global population and the subsequent demand for food supply to meet the current population has directed the attention of researchers towards sustainable, plant-based sources, particularly underutilized crops. Bactris gasipaes is one such underutilized crop with significant functional food value. During processing, 84% of the total weight of the palm is discarded in the form of waste, or so-called by-products, which are a rich source of bioactive compounds. These compounds can be effectively recovered through modern extraction and valorization techniques. This review critically examines the extraction methods, nutritional profiles, and valorization opportunities of peach palm, highlighting both traditional uses and innovative processing strategies. Recent advances enable the targeted recovery of multiple peach palm fractions, e.g., proteins are commonly extracted using alkaline methods, lipids and carotenoids via green solvents or supercritical CO2, and starch and dietary fiber through hydrothermal or downstream separation processes. Key nutritional findings demonstrate that peach palm fractions offer significant protein content (with isolates reaching 40 to 60%), a favorable starch profile (up to 79%), and abundant unsaturated lipids and carotenoids, making them suitable for gluten-free, protein-enriched, and functional ingredient applications. Previous studies have focused mainly on the edible pulp of peach palm for protein, lipid, and carotenoid extraction, whereas other fractions such as peel, seed, and processing residues remain comparatively underexplored due to technological and safety constraints. This review provides a consolidated and critical overview of recent advances in fractionation and green extraction strategies for multiple value-added streams (proteins, lipids, carotenoids, starch, and dietary fiber), highlighting knowledge gaps and opportunities for sustainable food ingredient development. Full article
17 pages, 5358 KB  
Article
Genome-Wide Identification of miRNAs and Pollen-Associated miRNA–Target Relationships in Liriodendron chinense
by Zhiruo Shen, Zhenxiu Xu, Wenbin Su, Mingyue Li, Liming Yang and Zhonglong Guo
Plants 2026, 15(4), 622; https://doi.org/10.3390/plants15040622 - 15 Feb 2026
Viewed by 187
Abstract
MicroRNAs (miRNAs) are key post-transcriptional regulators of gene expression and play important roles in plant development and reproduction. Liriodendron chinense, a representative woody species of Magnoliaceae, produces a large quantity of pollen but exhibits low natural seed set. Despite numerous studies on [...] Read more.
MicroRNAs (miRNAs) are key post-transcriptional regulators of gene expression and play important roles in plant development and reproduction. Liriodendron chinense, a representative woody species of Magnoliaceae, produces a large quantity of pollen but exhibits low natural seed set. Despite numerous studies on factors influencing its low seed production, the molecular mechanisms underlying this reproductive limitation remain poorly understood. Here, we performed small RNA sequencing and transcriptome analyses across five tissues of L. chinense, including leaf, calyx, petal, pistil, and pollen. Genome-wide identification yielded 688 miRNAs, comprising both conserved and species-specific members. Expression-based clustering revealed that miRNAs are organized into distinct, tissue-associated modules rather than being uniformly expressed across organs. Among these, a pollen-enriched miRNA module was clearly separated from those associated with leaves and other floral tissues. By integrating sRNA-seq and RNA-seq data, we identified miRNA–target pairs displaying anticorrelated expression patterns, providing expression-level support for miRNA mediated regulation. In pollen, two complementary regulatory modes were observed: low-abundance miRNAs associated with highly expressed target genes, and highly expressed miRNAs associated with repressed targets. The predicted targets of pollen-associated miRNAs were enriched in biological processes central to pollen development, including signal transduction, polarity establishment, vesicle trafficking, and cell wall biogenesis. Overall, this study provides a comprehensive, tissue-resolved view of miRNA expression and pollen-associated miRNA–target relationships in L. chinense, offering candidate regulatory modules for future functional studies of pollen development. Full article
(This article belongs to the Special Issue Genetic and Biological Diversity of Plants—2nd Edition)
Show Figures

Figure 1

16 pages, 2346 KB  
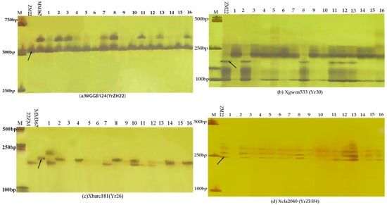
Article
Screening Stripe Rust Resistance Wheat Germplasm Using Molecular Markers and Phenotypic Evaluation
by Caihong Chen, Hongju Gong, Xue Yang, Boxun Yu, Peiyao Huang, Yiduo Zhang, Kebing Huang and Suizhuang Yang
Agronomy 2026, 16(4), 457; https://doi.org/10.3390/agronomy16040457 - 14 Feb 2026
Viewed by 246
Abstract
Wheat stripe rust, caused by Puccinia striiformis f. sp. tritici (Pst), is an important disease in wheat production. Breeding disease-resistant breeds is the most effective measure for preventing and controlling this disease. In this study, hybrid combinations were developed using wheat varieties Mianmai367 [...] Read more.
Wheat stripe rust, caused by Puccinia striiformis f. sp. tritici (Pst), is an important disease in wheat production. Breeding disease-resistant breeds is the most effective measure for preventing and controlling this disease. In this study, hybrid combinations were developed using wheat varieties Mianmai367 and Zhoumai22; 40059, 40047, and Zhoumai8425B. Mixed seed harvesting and artificial selection were conducted from the F1 to F4 generations, followed by manual screening of superior disease-resistant single plants in the F5 generation to obtain 271 F6 families. These F6 families underwent molecular marker detection, disease resistance identification, and agronomic trait evaluation. The molecular markers included markers linked to YrZH84 (Xcfa2040, Xbarc32), YrZH22 (WGGB119, WGGB124), Yr30 (Xgwm533, We173), and Yr26 (Xbarc181). Through a comprehensive selection, wheat families with either single or multiple pyramided genes that exhibited both disease resistance and excellent agronomic traits were identified. Ultimately, 63 wheat families with excellent agronomic traits and disease resistance were selected. Among 63 pedigrees, there are three pedigrees containing four genes YrZH84, Yr30, YrZH22, and Yr26, four pedigrees containing three genes, 13 families containing two genes, 22 families containing one gene, and 21 families containing none of the genes. These families exhibit strong stripe rust resistance and superior agronomic characteristics, making them suitable for developing new wheat lines with durable resistance and high-yield potential. They thus provide effective materials for wheat breeding. Full article
(This article belongs to the Section Pest and Disease Management)
Show Figures

Figure 1

18 pages, 4553 KB  
Article
A High-Thousand-Seed-Weight Mutant of Brassica napus
by Zheng Fang, Xiang Lin, Yifei Zou, Jianhua Tong, Longbing Liang, Ruixiao Luo, Yan Zhang, Wen Luo, Hongshi Han, Langtao Xiao and Yang Xiang
Int. J. Mol. Sci. 2026, 27(4), 1852; https://doi.org/10.3390/ijms27041852 - 14 Feb 2026
Viewed by 121
Abstract
Thousand-seed weight (TSW) is a critical determinant of yield in rapeseed (Brassica napus L.). Developing germplasm with high TSW is therefore a key strategy in high-yield rapeseed breeding. However, the genetic and molecular mechanisms underlying TSW in rapeseed remain poorly understood. In [...] Read more.
Thousand-seed weight (TSW) is a critical determinant of yield in rapeseed (Brassica napus L.). Developing germplasm with high TSW is therefore a key strategy in high-yield rapeseed breeding. However, the genetic and molecular mechanisms underlying TSW in rapeseed remain poorly understood. In our earlier work, we identified a mutant, designated GRG177, which exhibits a remarkably high TSW exceeding 7 g. To unravel the mechanisms driving this elevated TSW, we conducted a comprehensive analysis of GRG177, integrating morphological, genetic, developmental, anatomical, and physiological approaches. Compared with the control germplasm GRD328 (TSW ≈ 3.5 g), GRG177 displayed a significant increase in seed weight and seed volume, larger silique surface area, and higher yield per plant. However, it also showed a notable reduction in both silique number per plant and seed number per silique. Genetic analysis of a segregating population revealed that the high-TSW trait in GRG177 is governed by two pairs of dominant epistatic major genes plus polygenes. Endogenous hormone analysis revealed significantly higher zeatin riboside (ZR) content in the early stage of seed development in GRG177, whereas indole-3-acetic acid (IAA) and abscisic acid (ABA) levels were significantly up-regulated in the late stage of seed development. Anatomical observation using paraffin sections further confirmed that enhanced cell division activity in the early stage and improved cell expansion capacity in the later stage underpin the formation of high TSW. Furthermore, BSA-seq was utilized to map four TSW-related Quantitative Trait Loci (QTLs) and screen 13 candidate genes involved in IAA, ZR, and ABA signaling pathways. In conclusion, these findings provide novel insights into the regulatory mechanisms governing high-TSW formation in rapeseed and present valuable genetic resources for high-yield breeding. Full article
Show Figures

Figure 1

31 pages, 7388 KB  
Article
The Influence of Cryopreservation and Low-Temperature Seed Storage on the Morphological and Agronomical Characteristics of Fiber Flax
by Andrey V. Pavlov, Elizaveta A. Porokhovinova, Aleksandr V. Pavlov, Irina V. Kiseleva and Nina B. Brutch
Plants 2026, 15(4), 602; https://doi.org/10.3390/plants15040602 - 13 Feb 2026
Viewed by 313
Abstract
For the development of effective and secure methods for plant genetic resources preservation, different storage treatments of fiber flax seeds were compared. Seeds of the flax variety Orshanskiy-2 in aluminum foil bags were stored at different low temperatures, including in liquid nitrogen. Agronomic [...] Read more.
For the development of effective and secure methods for plant genetic resources preservation, different storage treatments of fiber flax seeds were compared. Seeds of the flax variety Orshanskiy-2 in aluminum foil bags were stored at different low temperatures, including in liquid nitrogen. Agronomic characters of plants grown from them and next-generation seeds were compared. Plants grown from frozen seeds changed 14 out of 31 evaluated characters in comparison with the non-frozen control. The biggest changes were detected after gradual freezing in liquid nitrogen, due to mechanical damage of the seed coat, and storage at −10 °C for 24 years. Freezing had a negative effect on production characters (straw, fiber and seed) because of the reduction of the germinated plant number. Seeds stored for 24 years at −10 °C, compared to control plants, ripened earlier, grew higher, produced a greater yield of straw and fiber, but had reduced fiber quality and increased seed size. Plants of the next generation showed a tendency toward attenuation of the storage time influence on flax characters. However, it is unknown how many years this process will take. For seed preservation in GeneBanks, it is recommended to use several variants of storage conditions and use rapid cooling and/or cryoprotectors. The latter two methods, which have been successfully used for other crops, should be implemented only after preliminary experiments. Full article
(This article belongs to the Section Plant Development and Morphogenesis)
Show Figures

Figure 1

Back to TopTop