Experimental Warming Increased Cooked Rice Stickiness and Rice Thermal Stability in Three Major Chinese Rice Cropping Systems
Abstract
1. Introduction
2. Materials and Methods
2.1. Site Description
2.2. Crop Management
2.3. Experimental Design and Field Warming System
2.4. Measurements
2.4.1. Sample Preparation
2.4.2. Assessment of Thermal Properties
2.4.3. Assessment of Cooked Rice Texture
2.4.4. Analysis of Total Starch, Amylose, Amylopectin, and Protein Contents
2.4.5. Analysis of X-ray Diffraction
2.4.6. Analysis of the Weight Distribution of Debranched Starch
2.5. Statistical Analysis
3. Results and Discussion
3.1. Impact of Experimental Warming on Rice Components, Weight Distribution of Debranched Starch, and Relative Crystallinity
3.2. Effect of Experimental Warming on Cooked Rice Texture
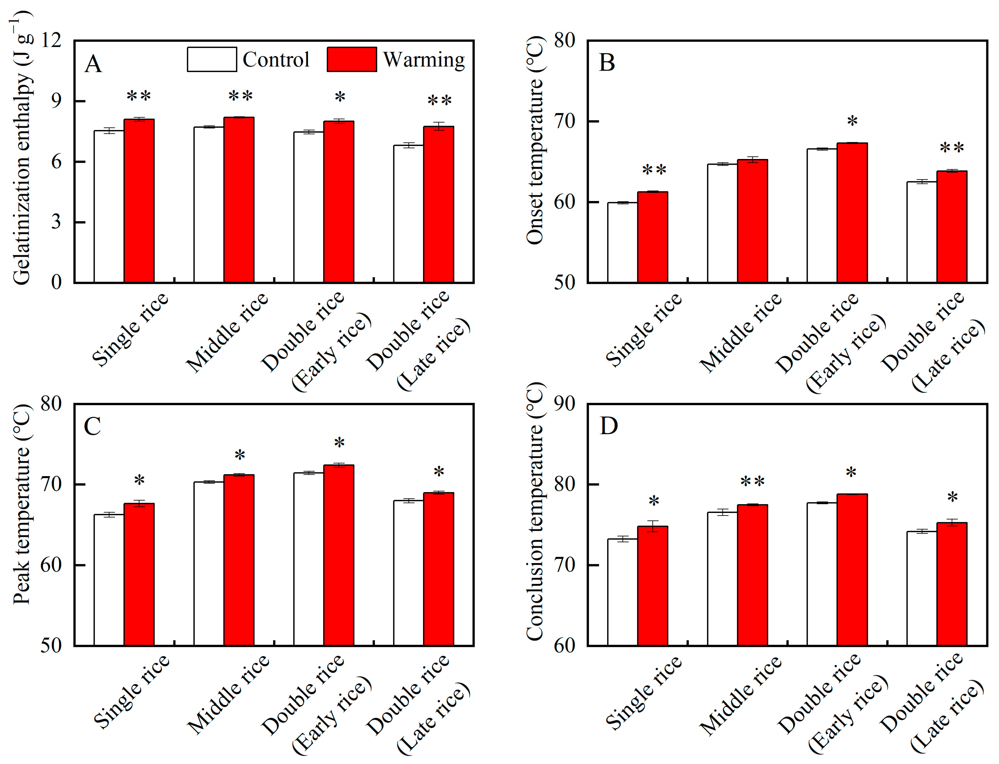
3.3. Effects of Experimental Warming on Rice Thermal Properties
4. Conclusions
Supplementary Materials
Author Contributions
Funding
Institutional Review Board Statement
Informed Consent Statement
Data Availability Statement
Conflicts of Interest
References
- NBS. China Rural Statistical Yearbook; China Statistics Press: Beijing, China, 2022; pp. 109–145. [Google Scholar]
- IPCC. Summary for policymakers. In Climate Change 2021: The Physical Science Basis. Contribution of Working Group I to the Sixth Assessment Report of the Intergovernmental Panel on Climate Change; Cambridge University Press: Cambridge, UK, 2021; p. 14. [Google Scholar]
- Liu, Y.J.; Tang, L.; Qiu, X.L.; Liu, B.; Chang, X.N.; Liu, L.L.; Zhang, X.H.; Cao, W.X.; Zhu, Y. Impacts of 1.5 and 2.0 °C global warming on rice production across China. Agric. For. Meteorol. 2020, 284, 107900. [Google Scholar] [CrossRef]
- Xiong, D.L.; Ling, X.X.; Huang, J.L.; Peng, S.B. Meta-analysis and dose-response analysis of high temperature effects on rice yield and quality. Environ. Exp. Bot. 2017, 141, 1–9. [Google Scholar] [CrossRef]
- Nakamura, S.; Satoh, A.; Aizawa, M.; Ohtsubo, K. Characteristics of physicochemical properties of chalky grains of japonica rice generated by high temperature during ripening. Foods 2022, 11, 97. [Google Scholar] [CrossRef] [PubMed]
- Rehmani, M.I.A.; Zhang, J.Q.; Li, G.H.; Ata-Ul-Karim, S.T.; Wang, S.H.; Kimball, B.A.; Yan, C.; Liu, Z.H.; Ding, Y.F. Simulation of future global warming scenarios in rice paddies with an open-field warming facility. Plant Methods 2011, 7, 41. [Google Scholar] [CrossRef]
- Rehmani, M.I.A.; Wei, G.B.; Hussain, N.; Ding, C.Q.; Li, G.H.; Liu, Z.H.; Wang, S.H.; Ding, Y.F. Yield and quality responses of two indica rice hybrids to post-anthesis asymmetric day and night open-field warming in lower reaches of Yangtze River delta. Field Crops Res. 2014, 156, 231–241. [Google Scholar] [CrossRef]
- Dou, Z.; Tang, S.; Chen, W.Z.; Zhang, H.X.; Li, G.H.; Liu, Z.H.; Ding, C.Q.; Chen, L.; Wang, S.H.; Zhang, H.C.; et al. Effects of open-field warming during grain-filling stage on grain quality of two japonica rice cultivars in lower reaches of Yangtze River delta. J. Cereal Sci. 2018, 81, 118–126. [Google Scholar] [CrossRef]
- Yang, T.T.; Xiong, R.Y.; Tan, X.M.; Huang, S.; Pan, X.H.; Guo, L.; Zeng, Y.J.; Zhang, J.; Zeng, Y.H. The impacts of post-anthesis warming on grain yield and quality of double-cropping high-quality indica rice in Jiangxi Province, China. Eur. J. Agron. 2022, 139, 126551. [Google Scholar] [CrossRef]
- Tang, S.; Chen, W.Z.; Liu, W.Z.; Zhou, Q.Y.; Zhang, H.X.; Wang, S.H.; Ding, Y.F. Open-field warming regulates the morphological structure, protein synthesis of grain and affects the appearance quality of rice. J. Cereal Sci. 2018, 84, 20–29. [Google Scholar] [CrossRef]
- Wang, Y.; Yang, T.T.; Xiong, R.Y.; Zeng, Y.H.; Zhang, J.; Tang, F.Y.; Zeng, Y.J.; Huang, S. Effect of climate warming on the grain quality of early rice in a double-cropped rice field: A 3-year measurement. Front. Sustain. Food Syst. 2023, 7, 1133665. [Google Scholar] [CrossRef]
- Yang, T.T.; Tan, X.M.; Huang, S.; Pan, X.H.; Zeng, Y.J.; Zhang, J.; Cheng, S.M.; Zeng, Y.H. Grain yield and quality performances of different late-season rice cultivars in response to experimental warming in subtropical China. Front. Plant Sci. 2023, 14, 1136564. [Google Scholar] [CrossRef]
- Govindaraju, I.; Zhuo, G.Y.; Chakraborty, I.; Melanthota, S.K.; Mal, S.S.; Sarmah, B.; Baruah, V.J.; Mahato, K.K.; Mazumder, N. Investigation of structural and physico-chemical properties of rice starch with varied amylose content: A combined microscopy, spectroscopy, and thermal study. Food Hydrocoll. 2022, 122, 107093. [Google Scholar] [CrossRef]
- Li, H.Y.; Xu, M.H.; Chen, Z.J.; Li, J.; Wen, Y.Y.; Liu, Y.L.; Wang, J. Effects of the degree of milling on starch leaching characteristics and its relation to rice stickiness. J. Cereal Sci. 2021, 98, 103163. [Google Scholar] [CrossRef]
- Pan, L.X.; Chen, F.; Yang, Y.; Li, Q.F.; Fan, X.L.; Zhao, D.S.; Liu, Q.Q.; Zhang, C.Q. The underlying starch structures of rice grains with different digestibilities but similarly high amylose contents. Food Chem. 2022, 379, 132071. [Google Scholar] [CrossRef] [PubMed]
- Li, H.; Gilbert, R.G. Starch molecular structure: The basis for an improved understanding of cooked rice texture. Carbohyd. Polym. 2018, 195, 9–17. [Google Scholar] [CrossRef] [PubMed]
- Yang, T.T.; Yang, H.F.; Zhang, B.; Wu, L.M.; Huang, Q.; Zou, J.X.; Jiang, Y.; Zhang, N. Effects of warming on starch structure, rice flour pasting property, and cooked rice texture in a double rice cropping system. Cereal Chem. 2022, 99, 680–691. [Google Scholar] [CrossRef]
- Chung, H.J.; Liu, Q.; Lee, L.; Wei, D. Relationship between the structure, physicochemical properties and in vitro digestibility of rice starches with different amylose contents. Food Hydrocoll. 2011, 25, 968–975. [Google Scholar] [CrossRef]
- Zhong, Y.Y.; Qu, J.Z.; Li, Z.H.; Tian, Y.; Zhu, F.; Blennow, A.; Liu, X.X. Rice starch multi-level structure and functional relationships. Carbohyd. Polym. 2022, 275, 118777. [Google Scholar] [CrossRef] [PubMed]
- Chun, A.; Lee, H.J.; Hamaker, B.R.; Janaswamy, S. Effects of ripening temperature on starch structure and gelatinization, pasting, and cooking properties in rice (Oryza sativa). J. Agric. Food Chem. 2015, 63, 3085–3093. [Google Scholar] [CrossRef] [PubMed]
- Tang, S.; Zhang, H.X.; Liu, W.Z.; Dou, Z.; Zhou, Q.Y.; Chen, W.Z.; Wang, S.H.; Ding, Y.F. Nitrogen fertilizer at heading stage effectively compensates for the deterioration of rice quality by affecting the starch-related properties under elevated temperatures. Food Chem. 2019, 277, 455–462. [Google Scholar] [CrossRef]
- Jing, L.Q.; Chen, C.; Lu, Q.; Wang, Y.X.; Zhu, J.G.; Lai, S.K.; Wang, Y.L.; Yang, L.X. How do elevated atmosphere CO2 and temperature alter the physiochemical properties of starch granules and rice taste? Sci. Total Environ. 2021, 766, 142592. [Google Scholar] [CrossRef]
- Chen, C.Q.; van Groenigen, K.J.; Yang, H.Y.; Hungate, B.A.; Yang, B.; Tian, Y.L.; Chen, J.; Dong, W.J.; Huang, S.; Deng, A.X.; et al. Global warming and shifts in cropping systems together reduce China’s rice production. Glob. Food Secur. 2020, 24, 100359. [Google Scholar] [CrossRef]
- Yang, T.T.; Tan, X.M.; Huang, S.; Pan, X.H.; Shi, Q.H.; Zeng, Y.J.; Zhang, J.; Zeng, Y.H. Effects of experimental warming on physicochemical properties of indica rice starch in a double rice cropping system. Food Chem. 2020, 310, 125981. [Google Scholar] [CrossRef] [PubMed]
- Dou, Z.; Tang, S.; Li, G.H.; Liu, Z.H.; Ding, C.Q.; Chen, L.; Wang, S.H.; Ding, Y.F. Application of nitrogen fertilizer at heading stage improves rice quality under elevated temperature during grain-filling stage. Crop Sci. 2017, 57, 2183–2192. [Google Scholar] [CrossRef]
- Ahmed, N.; Tetlow, I.J.; Nawaz, S.; Iqbal, A.; Mubin, M.; ul Rehman, M.S.N.; Butt, A.; Lightfoot, D.A.; Maekaw, M. Effect of high temperature on grain filling period, yield, amylose content and activity of starch biosynthesis enzymes in endosperm of basmati rice. J. Sci. Food Agric. 2015, 95, 2237–2243. [Google Scholar] [CrossRef] [PubMed]
- He, W.; Wang, L.; Lin, Q.L.; Yu, F. Rice seed storage proteins: Biosynthetic pathways and the effects of environmental factors. J. Integr. Plant Biol. 2021, 63, 1999–2019. [Google Scholar] [CrossRef] [PubMed]
- Chen, H.; Chen, D.; He, L.H.; Wang, T.; Lu, H.; Yang, F.; Deng, F.; Chen, Y.; Tao, Y.F.; Li, M.; et al. Correlation of taste values with chemical compositions and Rapid Visco Analyser profiles of 36 indica rice (Oryza sativa L.) varieties. Food Chem. 2021, 349, 129176. [Google Scholar] [CrossRef]
- Zhong, Y.Y.; Li, Z.H.; Qu, J.Z.; Bertoft, E.; Li, M.; Zhu, F.; Blennow, A.; Liu, X.X. Relationship between molecular structure and lamellar and crystalline structure of rice starch. Carbohyd. Polym. 2021, 258, 117616. [Google Scholar] [CrossRef]
- Zhang, C.Q.; Zhou, L.H.; Zhu, Z.B.; Lu, H.W.; Zhou, X.Z.; Qian, Y.T.; Li, Q.F.; Lu, Y.; Gu, M.H.; Liu, Q.Q. Characterization of grain quality and starch fine structure of two japonica rice (Oryza sativa) cultivars with good sensory properties at different temperatures during the filling stage. J. Agric. Food Chem. 2016, 64, 4048–4057. [Google Scholar] [CrossRef]
- Fan, X.L.; Li, Y.Q.; Zhang, C.Q.; Li, E.P.; Chen, Z.Z.; Li, Q.F.; Zhang, Z.W.; Zhu, Y.; Sun, X.S.; Liu, Q.Q. Effects of high temperature on the fine structure of starch during the grain-filling stages in rice: Mathematical modeling and integrated enzymatic analysis. J. Sci. Food Agric. 2019, 99, 2865–2873. [Google Scholar] [CrossRef]
- Huang, L.C.; Tan, H.Y.; Zhang, C.Q.; Li, Q.F.; Liu, Q.Q. Starch biosynthesis in cereal endosperms: An updated review over the last decade. Plant Commun. 2021, 2, 100237. [Google Scholar] [CrossRef]
- Dhital, S.; Butardo, J.V.M.; Jobling, S.A.; Gidley, M.J. Rice starch granule amylolysis—Differentiating effects of particle size, morphology, thermal properties and crystalline polymorph. Carbohyd. Polym. 2015, 115, 305–316. [Google Scholar] [CrossRef] [PubMed]
- Peng, Y.; Mao, B.G.; Zhang, C.Q.; Shao, Y.; Wu, T.H.; Hu, L.M.; Hu, Y.Y.; Tang, L.; Li, Y.K.; Tang, W.B.; et al. Influence of physicochemical properties and starch fine structure on the eating quality of hybrid rice with similar apparent amylose content. Food Chem. 2021, 353, 129461. [Google Scholar] [CrossRef]
- Zhu, D.W.; Fang, C.Y.; Qian, Z.H.; Guo, B.W.; Huo, Z.Y. Differences in starch structure, physicochemical properties and texture characteristics in superior and inferior grains of rice varieties with different amylose contents. Food Hydrocoll. 2021, 110, 106170. [Google Scholar] [CrossRef]
- Jing, L.Q.; Wang, J.; Shen, S.B.; Wang, Y.X.; Zhu, J.G.; Wang, Y.L.; Yang, L.X. The impact of elevated CO2 and temperature on grain quality of rice grown under open-air field conditions. J. Sci. Food Agric. 2016, 96, 3658–3667. [Google Scholar] [CrossRef] [PubMed]
- Wang, W.T.; Ge, J.L.; Xu, K.; Gao, H.; Liu, G.D.; Wei, H.Y.; Zhang, H.C. Differences in starch structure, thermal properties, and texture characteristics of rice from main stem and tiller panicles. Food Hydrocoll. 2020, 99, 105341. [Google Scholar] [CrossRef]
- Ha, M.; Jeong, H.Y.; Lim, S.T.; Chung, H.J. The cooking method features controlling eating quality of cooked rice: An explanation from the view of starch structure in leachate and morphological characteristics. Food Res. Int. 2022, 162, 111980. [Google Scholar] [CrossRef]
- Witt, T.; Doutch, J.; Gilbert, E.P.; Gilbert, R.G. Relations between molecular, crystalline, and lamellar structures of amylopectin. Biomacromolecules 2012, 13, 4273–4282. [Google Scholar] [CrossRef] [PubMed]
- Li, C.; Wu, A.; Yu, W.W.; Hu, Y.M.; Li, E.P.; Zhang, C.Q.; Liu, Q.Q. Parameterizing starch chain-length distributions for structure-property relations. Carbohyd. Polym. 2020, 241, 11639. [Google Scholar] [CrossRef]
- Luo, Z.; Wang, Z.Z. The role of starch granule-associated proteins in enhancing the strength of indica rice starch gels. Food Hydrocoll. 2022, 131, 107826. [Google Scholar] [CrossRef]
- Zhan, Q.; Ye, X.T.; Zhang, Y.; Kong, K.L.; Bao, J.S.; Corke, H.; Sui, Z.Q. Starch granule-associated proteins affect the physicochemical properties of rice starch. Food Hydrocoll. 2020, 101, 105504. [Google Scholar] [CrossRef]
- Patindol, J.A.; Siebenmorgen, T.J.; Wang, Y.J. Impact of environmental factors on rice starch structure: A review. Starch-Stärke 2015, 67, 42–54. [Google Scholar] [CrossRef]
- Yin, X.T.; Chen, X.Y.; Hu, J.L.; Zhu, L.; Zhang, H.; Hong, Y. Effects of distribution, structure and interactions of starch, protein and cell walls on textural formation of cooked rice: A review. Int. J. Biol. Macromol. 2023, 253, 127403. [Google Scholar] [CrossRef] [PubMed]







| Cropping System | Source | Rice Components | Cooked Rice Texture | Thermal Properties | |||||||
|---|---|---|---|---|---|---|---|---|---|---|---|
| Total Starch Content (%) | Amylose Content (%) | Amylopectin Content (%) | Protein Content (%) | Hardness (g) | Stickiness (g) | Gelatinization Enthalpy (J g−1) | Onset Temperature (°C) | Peak Temperature (°C) | Conclusion Temperature (°C) | ||
| Single rice | Year (Y) | 0.17 | 11.70 * | 2.65 | 5.70 | 17.34 ** | 5.96 | 0.04 | 1.07 | 0.05 | 0.01 |
| Treatment (T) | 0.28 | 13.40 * | 3.40 | 18.36 ** | 3.05 | 8.86 * | 19.75 ** | 22.22 ** | 12.49 * | 9.86 * | |
| Y × T | 0.05 | 3.029 | 0.79 | 0.05 | 0.21 | 0.11 | 0.08 | 3.82 | 1.97 | 0.92 | |
| Middle rice | Year (Y) | 0.07 | 10.64 * | 2.00 | 15.94 ** | 11.92 * | 0.23 | 2.12 | 18.82 ** | 3.96 | 21.97 ** |
| Treatment (T) | 0.05 | 6.61 * | 1.25 | 12.23* | 4.24 | 33.49 ** | 26.29 ** | 2.36 | 7.31 * | 17.92 ** | |
| Y × T | 0.21 | 0.57 | 0.37 | 0.34 | 0.24 | 0.48 | 2.34 | 0.01 | 0.02 | 0.02 | |
| Double rice (early rice) | Year (Y) | 0.40 | 4.88 | 1.34 | 0.07 | 1.06 | 0.59 | 6.62 * | 0.07 | 4.30 | 3.62 |
| Treatment (T) | 0.80 | 6.03 * | 0.06 | 12.91 * | 2.10 | 8.72 * | 6.46 * | 8.92 * | 7.56 * | 8.40 * | |
| Y × T | 0.00 | 0.03 | 0.00 | 0.45 | 7.37 * | 0.79 | 0.00 | 0.30 | 0.06 | 0.03 | |
| Double rice (late rice) | Year (Y) | 0.00 | 0.44 | 0.02 | 0.96 | 6.86 * | 9.13 * | 9.95 * | 7.75 * | 1.53 | 7.27 * |
| Treatment (T) | 1.60 | 14.40 ** | 1.08 | 31.74 ** | 0.08 | 7.87 * | 30.64 ** | 25.63 ** | 11.38 * | 9.46 * | |
| Y × T | 0.10 | 0.29 | 0.00 | 0.00 | 0.48 | 0.38 | 0.68 | 1.30 | 2.85 | 2.74 | |
| Cropping System | Treatment | Relative Area (%) | Relative Crystallinity (%) | ||
|---|---|---|---|---|---|
| AP1 | AP2 | AM | |||
| Single rice | Control | 59.5 b | 18.3 b | 20.9 a | 16.8 b |
| Warming | 60.6 a | 19.4 a | 18.9 b | 17.9 a | |
| Middle rice | Control | 60.7 b | 19.6 a | 18.4 a | 16.9 a |
| Warming | 62.8 a | 20.8 a | 15.1 b | 17.8 a | |
| Double rice (early rice) | Control | 63.7 a | 22.5 a | 12.6 a | 17.1 b |
| Warming | 64.5 a | 22.8 a | 11.5 b | 18.3 a | |
| Double rice (late rice) | Control | 58.5 a | 21.6 b | 19.9 a | 16.8 b |
| Warming | 59.8 a | 22.8 a | 17.4 b | 18.0 a | |
Disclaimer/Publisher’s Note: The statements, opinions and data contained in all publications are solely those of the individual author(s) and contributor(s) and not of MDPI and/or the editor(s). MDPI and/or the editor(s) disclaim responsibility for any injury to people or property resulting from any ideas, methods, instructions or products referred to in the content. |
© 2024 by the authors. Licensee MDPI, Basel, Switzerland. This article is an open access article distributed under the terms and conditions of the Creative Commons Attribution (CC BY) license (https://creativecommons.org/licenses/by/4.0/).
Share and Cite
Yang, H.; Chen, L.; Xiong, R.; Zeng, Y.; Jiang, Y.; Zhang, J.; Zhang, B.; Yang, T. Experimental Warming Increased Cooked Rice Stickiness and Rice Thermal Stability in Three Major Chinese Rice Cropping Systems. Foods 2024, 13, 1605. https://doi.org/10.3390/foods13111605
Yang H, Chen L, Xiong R, Zeng Y, Jiang Y, Zhang J, Zhang B, Yang T. Experimental Warming Increased Cooked Rice Stickiness and Rice Thermal Stability in Three Major Chinese Rice Cropping Systems. Foods. 2024; 13(11):1605. https://doi.org/10.3390/foods13111605
Chicago/Turabian StyleYang, Huifang, Liming Chen, Ruoyu Xiong, Yanhua Zeng, Yu Jiang, Jun Zhang, Bin Zhang, and Taotao Yang. 2024. "Experimental Warming Increased Cooked Rice Stickiness and Rice Thermal Stability in Three Major Chinese Rice Cropping Systems" Foods 13, no. 11: 1605. https://doi.org/10.3390/foods13111605
APA StyleYang, H., Chen, L., Xiong, R., Zeng, Y., Jiang, Y., Zhang, J., Zhang, B., & Yang, T. (2024). Experimental Warming Increased Cooked Rice Stickiness and Rice Thermal Stability in Three Major Chinese Rice Cropping Systems. Foods, 13(11), 1605. https://doi.org/10.3390/foods13111605
