Multiscale Sample Entropy of Two-Dimensional Decaying Turbulence
Abstract
1. Introduction
2. Method
2.1. Experimental Setup
2.2. Data Preparation
2.3. Multiscale Entropy Analysis
3. Results and Discussion
3.1. Directional Disparity
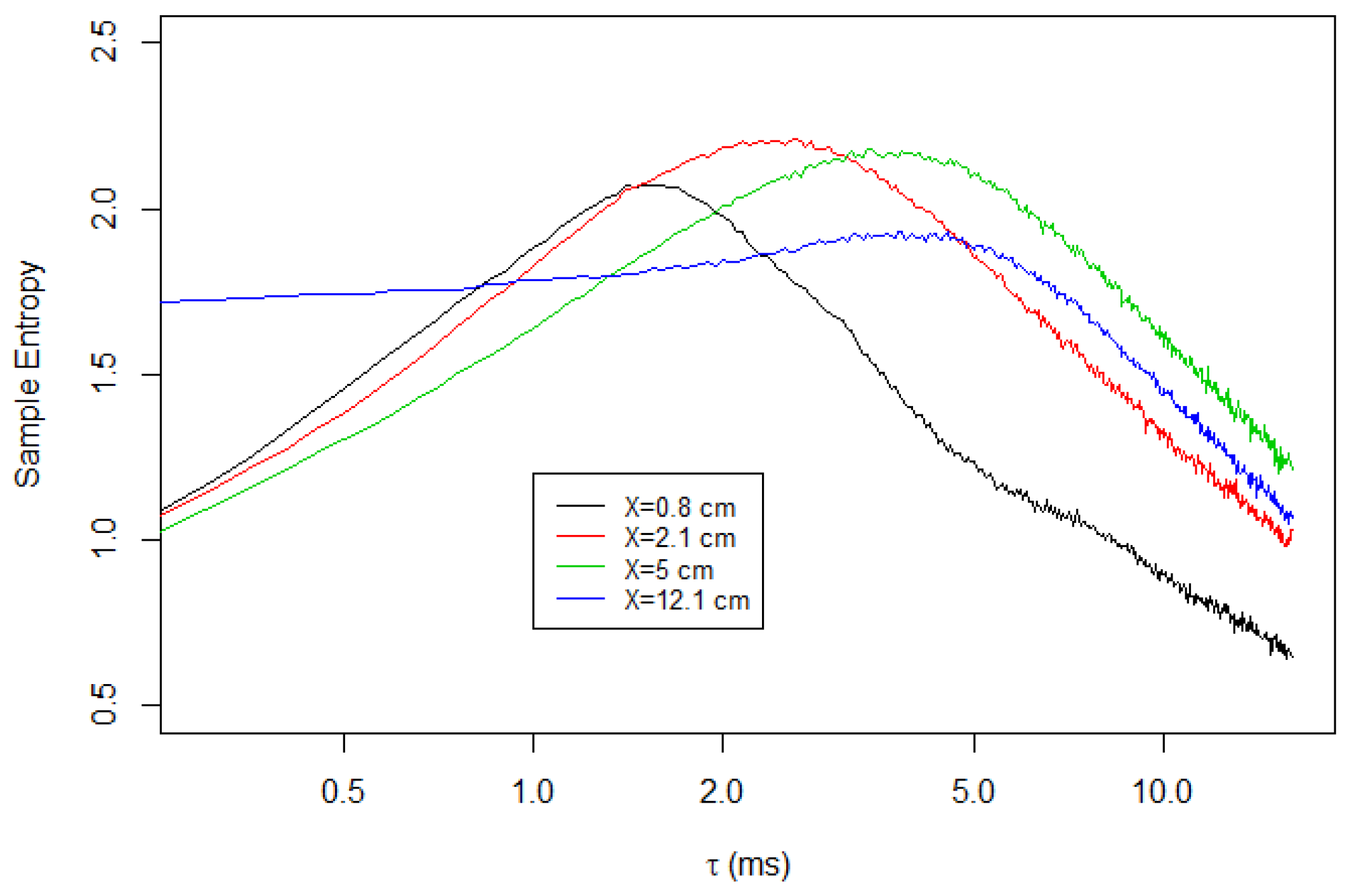
3.2. Change over Downstream Distance
4. Conclusions
Funding
Data Availability Statement
Conflicts of Interest
References
- Frisch, U. Turbulence: The Legacy of A. N. Kolmogorov; Cambridge University Press: New York, NY, USA, 1995. [Google Scholar]
- Kraichnan, K.H. Inertial Ranges in Two-Dimensional Turbulence. Phys. Fluids 1967, 10, 1417. [Google Scholar] [CrossRef]
- Shannon, C.E. A Mathematical Theory of Communication. Bell Syst. Tech. J. 1948, 379–423, 623–656. [Google Scholar] [CrossRef]
- Landauer, R. Irreversibility and Heat Generation in the Computing Process. IBM J. Res. Dev. 1961, 14, 183. [Google Scholar] [CrossRef]
- Aubry, N.; Chauve, M.-P.; Guyonnet, R. Transition to turbulence on a rotating flat disk. Phys. Fluids 1994, 6, 2800–2814. [Google Scholar] [CrossRef]
- Kim, I. Experimental Studies on 2D Fluid System; University of Pittsburgh: Pittsburgh, PA, USA, 2010. [Google Scholar]
- Cerbus, R.T.; Goldburg, W.I. Predicting two-dimensional turbulence. Phys. Rev. E 2015, 91, 043003. [Google Scholar] [CrossRef] [PubMed]
- Cerbus, R.T.; Goldburg, W.I. Information theory demonstration of the Richardson cascade. arXiv 2016, arXiv:1602.02980. [Google Scholar]
- Brunton, S.L.; Noack, B.R.; Koumoutsakos, P. Machine learning for fluid mechanics. Ann. Rev. Fluid Mech. 2020, 52, 477–508. [Google Scholar] [CrossRef]
- Carleo, G.; Cirac, I.; Cranmer, K.; Daudet, L.; Schuld, M.; Tishby, N.; Vogt-Maranto, T.; Zdeborová, L. Machine learning and the physical science. Rev. Mod. Phys. 2020, 91, 045002. [Google Scholar] [CrossRef]
- Pincus, S.M. Approximate entropy as a measure of system complexity. Proc. Natl. Acad. Sci. USA 1991, 88, 2297. [Google Scholar] [CrossRef]
- Govindan, R.B.; Wilson, J.D.; Eswaran, H.; Lowery, C.L.; Preibl, H. Revisiting sample entropy analysis. Physica A 2007, 376, 158–164. [Google Scholar] [CrossRef]
- Richman, J.S.; Moorman, J.R. Physiological time-series analysis using approximate entropy and sample entropy. Am. J. Physiol 2000, 279, H2039. [Google Scholar] [CrossRef] [PubMed]
- Costa, M.; Goldberger, A.L.; Peng, C.K. Multiscale Entropy Analysis of Complex Physiologic Time Series. Phys. Rev. Lett. 2002, 89, 068102. [Google Scholar] [CrossRef] [PubMed]
- Costa, M.; Goldberger, A.L. Multiscale entropy analysis of biological signals. Phys. Rev. E 2005, 71, 021906. [Google Scholar] [CrossRef]
- Li, S.; Zhou, Q.; Wu, S.; Dai, E. Measurement of Climate Complexity using Sample Entropy. Int. J. Climatol. 2006, 26, 2131. [Google Scholar]
- Ramdani, S.; Seigle, B.; Lagarde, J.; Bouchara, F.; Louis, P. On the use of sample entropy to analyze human postural sway data. Med. Eng. Phys 2009, 31, 1023. [Google Scholar] [CrossRef]
- Maasoumi, E.; Racine, J. Entropy and predictability in the stock market returns. J. Econom. 2002, 107, 291. [Google Scholar] [CrossRef]
- Li, Y.; Chen, X.; Yu, J.; Yang, X.; Yang, H. The Data-Driven Optimization Method and Its Application in Feature Extraction of Ship-Radiated Noise with Sample Entropy. Energies 2019, 12, 359. [Google Scholar] [CrossRef]
- Li, W.; Shen, X.; Li, Y. A Comparative Study of Multiscale Sample Entropy and Hierarchical Entropy and Its Application in Feature Extraction for Ship-Radiated Noise. Entropy 2019, 21, 793. [Google Scholar] [CrossRef]
- Couder, Y.; Chomaz, J.M.; Rabaud, M. On the hydrodynamics of soap films. Physica D 1989, 37, 384. [Google Scholar] [CrossRef]
- Gharib, M.; Derango, P. A liquid film (soap film ) tunnel to study two-dimensional laminar and turbulent shear flows. Physica D 1989, 37, 406. [Google Scholar] [CrossRef]
- Chomaz, J.M.; Cathalau, B. Soap films as two-dimensional classical fluid. Phys. Rev. A 1990, 41, 2243. [Google Scholar] [CrossRef]
- Rutgers, M.A.; Wu, X.-L.; Daniel, W.B. Conducting fluid dynamics experiments with vertically falling soap films. Rev. Sci. Instrum. 2001, 72, 3025–3037. [Google Scholar] [CrossRef]
- Couder, Y. Two-dimensional grid turbulence in a thin liquid film. J. Physque Lett. 1984, 45, 353–360. [Google Scholar] [CrossRef]
- Kim, I.; Mandre, S. Marangoni elasticity of flowing soap films. Phys. Rev. Fluids 2017, 2, 082001. [Google Scholar] [CrossRef]
- Martin, B.K.; Wu, X.L.; Goldburg, W.I.; Rutgers, M.A. Spectra of Decaying Turbulence in a Soap Film. Phys. Rev. Lett. 1998, 80, 3964. [Google Scholar] [CrossRef]
- Vorobieff, P.; Rivera, M.; Ecke, R.E. Soap film flows: Statistics of two-dimensional turbulence. Phys. Fluids 1999, 11, 2167. [Google Scholar] [CrossRef]
- Rutgers, M.A. Forced 2D Turbulence: Experimental Evidence of Simultaneous Inverse Energy and Forward Enstrophy Cascades. Phys. Rev. Lett. 1998, 81, 2244. [Google Scholar] [CrossRef]
- Jun, Y.; Wu, X.L. Large-scale intermittency in two-dimensional driven turbulence. Phys. Rev. E 2005, 72, 035302. [Google Scholar] [CrossRef] [PubMed]
- Cerbus, R.T.; Goldburg, W.I. Intermittency in 2D soap film turbulence. Phys. Fluids 2013, 25, 105111. [Google Scholar] [CrossRef]
- Tran, T.; Chakraborty, P.; Guttenberg, N.; Prescott, A.; Kellay, H.; Goldburg, W.; Goldenfeld, N.; Gioia, G. Macroscopic effects of the spectral structure in turbulent flows. Nat. Phys 2010, 6, 438–441. [Google Scholar] [CrossRef]
- Kellay, H.; Tran, T.; Goldburg, W.; Goldenfield, N.; Gioia, G.; Chakraborty, P. Testing a Missing Spectral Link in Turbulence. Phys. Rev. Lett. 2012, 109, 254502. [Google Scholar] [CrossRef] [PubMed]
- Kim, I.; Wu, X.-L. Tunneling of micron-sized droplets through soap films. Phys. Rev. E 2010, 82, 026313. [Google Scholar] [CrossRef] [PubMed]
- Schneider, K.; Farge, M. Decaying two-dimensional turbulence in a circular container. Phys. Rev. Lett. 2005, 95. [Google Scholar] [CrossRef] [PubMed]
- Clercx, H.J.H.; van Heijst, G.J.F. Dissipation of coherent structures in confined two-dimensional turbulence. Phys. Fluids 2017, 29, 111103. [Google Scholar] [CrossRef]








| Case | Channel Width | Measurement Location (X, in cm) |
|---|---|---|
| 1 | 2.1 cm | 0.8, 1.4, 2.1, 3.1, 4.0, 5.0, 6.3, 8.0, 9.9, 12 |
| 2 | 7.7 cm | 1.0, 2.0, 3.0, 4.0, 5.0, 6.0, 7.0, 8.0, 9.8, 13, 16 |
Publisher’s Note: MDPI stays neutral with regard to jurisdictional claims in published maps and institutional affiliations. |
© 2021 by the author. Licensee MDPI, Basel, Switzerland. This article is an open access article distributed under the terms and conditions of the Creative Commons Attribution (CC BY) license (http://creativecommons.org/licenses/by/4.0/).
Share and Cite
Kim, I. Multiscale Sample Entropy of Two-Dimensional Decaying Turbulence. Entropy 2021, 23, 245. https://doi.org/10.3390/e23020245
Kim I. Multiscale Sample Entropy of Two-Dimensional Decaying Turbulence. Entropy. 2021; 23(2):245. https://doi.org/10.3390/e23020245
Chicago/Turabian StyleKim, Ildoo. 2021. "Multiscale Sample Entropy of Two-Dimensional Decaying Turbulence" Entropy 23, no. 2: 245. https://doi.org/10.3390/e23020245
APA StyleKim, I. (2021). Multiscale Sample Entropy of Two-Dimensional Decaying Turbulence. Entropy, 23(2), 245. https://doi.org/10.3390/e23020245
