The Effect of Calcium Ions on Resting Membrane Potential
Abstract
Simple Summary
Abstract
1. Introduction
2. Materials and Methods
2.1. Animals
2.2. Dissection and Physiology
2.3. Statistical Analysis
3. Results
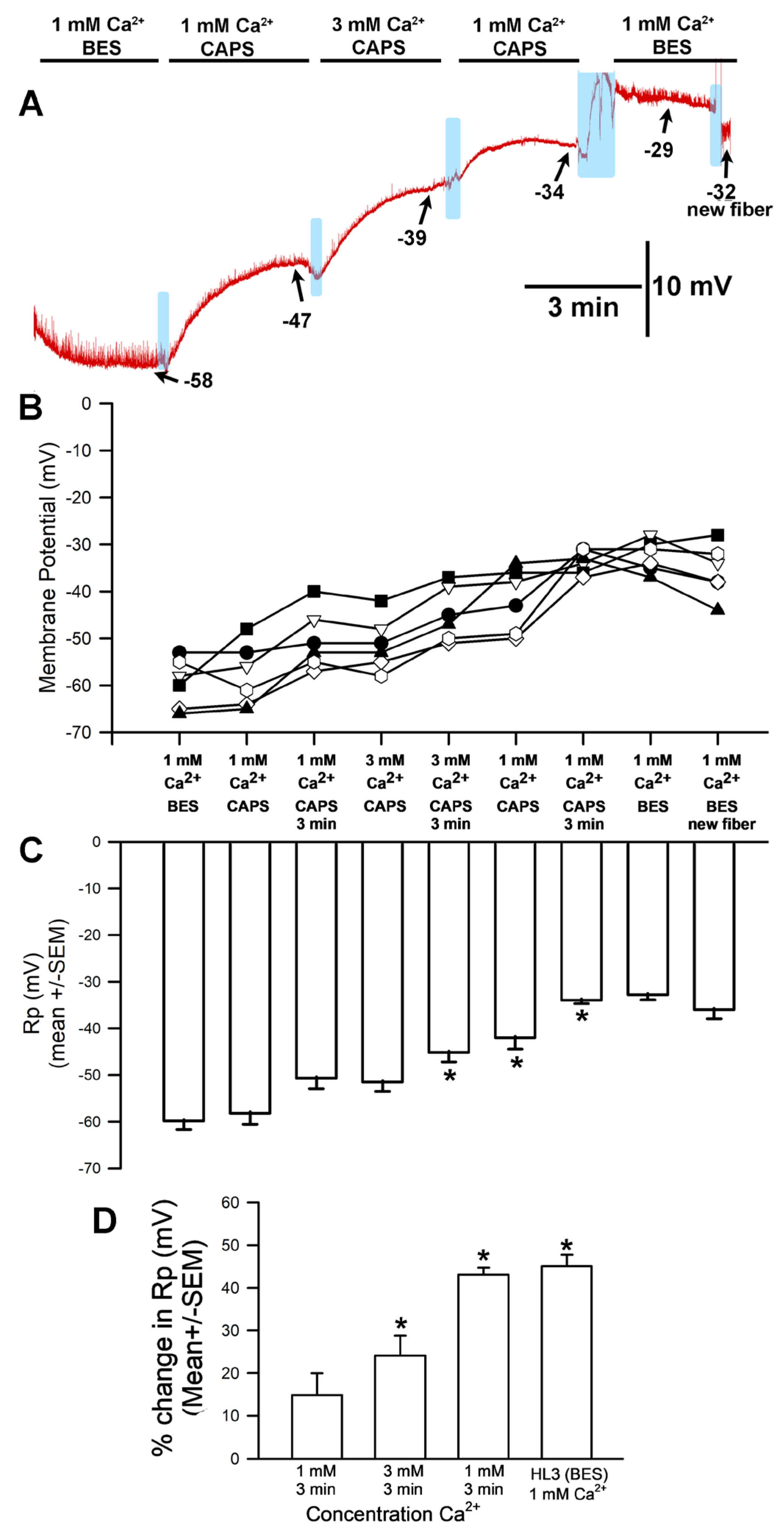
3.1. Altering [Ca2+]O Effects on Membrane Potential
3.2. Choline Chloride Experiments
3.3. LiCl Experiments
3.4. BaCl2 Experiments
3.5. The Effects on Membrane Potential in Muscle Overexpressing K2P Channels
4. Discussion
5. Conclusions
Author Contributions
Funding
Institutional Review Board Statement
Informed Consent Statement
Data Availability Statement
Conflicts of Interest
References
- Malmivuo, J.; Plonsey, R. Bioelectromagnetism-Principles and Applications of Bioelectric and Biomagnetic Fields; Oxford University Press: New York, NY, USA, 1995; ISBN 9780199847839. [Google Scholar] [CrossRef]
- Monteil, A.; Guérineau, N.C.; Gil-Nagel, A.; Parra-Diaz, P.; Lory, P.; Senatore, A. New insights into the physiology and pathophysiology of the atypical sodium leak channel NALCN. Physiol. Rev. 2024, 104, 399–472. [Google Scholar] [CrossRef] [PubMed]
- Goldstein, S.A.; Price, L.A.; Rosenthal, D.N.; Pausch, M.H. ORK1, a potassium-selective leak channel with two pore domains cloned from Drosophila melanogaster by expression in Saccharomyces cerevisiae. Proc. Natl. Acad. Sci. USA 1996, 93, 13256–13261. [Google Scholar] [CrossRef] [PubMed]
- Krans, J.L.; Parfitt, K.D.; Gawera, K.D.; Rivlin, P.K.; Hoy, R.R. The resting membrane potential of Drosophila melanogaster larval muscle depends strongly on external calcium concentration. J. Insect Physiol. 2010, 56, 304–313. [Google Scholar] [CrossRef]
- Atkins, D.E.; Bosh, K.L.; Breakfield, G.W.; Daniels, S.E.; Devore, M.J.; Fite, H.E.; Guo, L.Z.; Henry, D.K.J.; Kaffenberger, A.K.; Manning, K.S.; et al. The effect of calcium ions on mechanosensation and neuronal activity in proprioceptive neurons. NeuroSci 2021, 2, 353–371. [Google Scholar] [CrossRef]
- Augustine, G.J. How does calcium trigger neurotransmitter release? Curr. Opin. Neurobiol. 2001, 11, 320–326. [Google Scholar] [CrossRef]
- Katz, B. The Release of Neural Transmitter Substances; Liverpool University Press: Liverpool, UK, 1969. [Google Scholar]
- Armstrong, C.M.; Cota, G. Calcium block of Na+ channels and its effect on closing rate. Proc. Natl. Acad. Sci. USA 1999, 96, 4154–4157. [Google Scholar] [CrossRef] [PubMed]
- Mert, T.; Gunes, Y.; Guven, M.; Günay, I.; Ozcengiz, D. Effects of calcium and magnesium on peripheral nerve conduction. Pol. J. Pharmacol. 2003, 55, 25–30. [Google Scholar] [PubMed]
- Lu, B.; Su, Y.; Das, S.; Liu, J.; Xia, J.; Ren, D. The neuronal channel NALCN contributes resting sodium permeability and is required for normal respiratory rhythm. Cell 2007, 129, 371–383. [Google Scholar] [CrossRef] [PubMed]
- Segal, M. Calcium stores regulate excitability in cultured rat hippocampal neurons. J. Neurophysiol. 2018, 120, 2694–2705. [Google Scholar] [CrossRef]
- Woodhull, A.M. Ionic blockage of sodium channels in nerve. J. Gen. Physiol. 1973, 61, 687–708. [Google Scholar] [CrossRef] [PubMed]
- Armstrong, C.M. Distinguishing surface effects of calcium ion from pore-occupancy effects in Na+ channels. Proc. Natl. Acad. Sci. USA 1999, 96, 4158–4163. [Google Scholar] [CrossRef] [PubMed]
- Baraibar, A.M.; de Pascual, R.; Camacho, M.; Domínguez, N.; David Machado, J.; Gandía, L.; Borges, R. Distinct patterns of exocytosis elicited by Ca2+, Sr2+ and Ba2+ in bovine chromaffin cells. Pflugers. Arch. 2018, 470, 1459–1471. [Google Scholar] [CrossRef]
- Lee, L.M.; Müntefering, T.; Budde, T.; Meuth, S.G.; Ruck, T. Pathophysiological role of K2P channels in human diseases. Cell Physiol. Biochem. 2021, 55, 65–86. [Google Scholar] [PubMed]
- Wiedmann, F.; Frey, N.; Schmidt, C. Two-Pore-Domain potassium (K2P-) channels: Cardiac expression patterns and disease-specific remodelling processes. Cells 2021, 10, 2914. [Google Scholar] [CrossRef] [PubMed]
- Kamalanathan, S.; Balachandran, K.; Parthan, G.; Hamide, A. Chvostek’s sign: A video demonstration. BMJ Case Rep. 2012, 2012, 1–2. [Google Scholar] [CrossRef] [PubMed]
- Patel, M.; Hu, E.W. Trousseau Sign. 2023 May 1. In StatPearls; StatPearls Publishing: Treasure Island, FL, USA, 2024. Available online: https://pubmed.ncbi.nlm.nih.gov/32491764/ (accessed on 26 June 2024).
- Rose, U.; Derst, C.; Wanischeck, M.; Marinc, C.; Walther, C. Properties and possible function of a hyperpolarisation-activated chloride current in Drosophila. J. Exp. Biol. 2007, 210 Pt 14, 2489–2500. [Google Scholar] [CrossRef]
- Stanley, C.E.; Mauss, A.S.; Borst, A.; Cooper, R.L. The effects of chloride flux on Drosophila heart rate. Methods Protoc. 2019, 2, 73. [Google Scholar] [CrossRef]
- Ikeda, K.; Ozawa, S.; Hagiwara, S. Synaptic transmission reversibly conditioned by single-gene mutation in Drosophila melanogaster. Nature 1976, 259, 489–491. [Google Scholar] [CrossRef]
- Salkoff, L.B.; Wyman, R.J. Ion currents in Drosophila flight muscles. J. Physiol. 1983, 337, 687–709. [Google Scholar] [CrossRef]
- Stewart, B.A.; Atwood, H.L.; Renger, J.J.; Wang, J.; Wu, C.F. Improved stability of Drosophila larval neuromuscular preparations in haemolymph-like physiological solutions. J. Comp. Physiol. A 1994, 175, 179–191. [Google Scholar] [CrossRef]
- Budnik, V.; Koh, Y.H.; Guan, B.; Hartmann, B.; Hough, C.; Woods, D.; Gorczyca, M. Regulation of synapse structure and function by the Drosophila tumor suppressor gene dlg. Neuron 1996, 17, 627–640. [Google Scholar] [CrossRef] [PubMed]
- Sulkowski, M.; Kim, Y.J.; Serpe, M. Postsynaptic glutamate receptors regulate local BMP signaling at the Drosophila neuromuscular junction. Development 2014, 141, 436–447. [Google Scholar] [CrossRef] [PubMed]
- Elliott, E.R.; Cooper, R.L. Fluoxetine antagonizes the acute response of LPS: Blocks K2P channels. In revision. Comp. Biochem. Physiol. C. 2024, (in press). [Google Scholar] [CrossRef] [PubMed]
- de Castro, C.; Titlow, J.; Majeed, Z.R.; Cooper, R.L. Analysis of various physiological salines for heart rate, CNS function, and synaptic transmission at neuromuscular junctions in Drosophila melanogaster larvae. J. Comp. Physiol. A Neuroethol. Sens. Neural. Behav. Physiol. 2014, 200, 83–92. [Google Scholar] [CrossRef]
- Badre, N.H.; Martin, M.E.; Cooper, R.L. The physiological and behavioral effects of carbon dioxide on Drosophila melanogaster larvae. Comp. Biochem. Physiol. A Mol. Integr. Physiol. 2005, 140, 363–376. [Google Scholar] [CrossRef]
- Bustos, D.; Bedoya, M.; Ramírez, D.; Concha, G.; Zúñiga, L.; Decher, N.; Hernández-Rodríguez, E.W.; Sepúlveda, F.V.; Martínez, L.; González, W. Elucidating the Structural Basis of the Intracellular pH Sensing Mechanism of TASK-2 K2P Channels. Int. J. Mol. Sci. 2020, 21, 532. [Google Scholar] [CrossRef] [PubMed]
- Levaillant, L.; Linglart, A.; Gajdos, V.; Benachi, A.; Souberbielle, J.C. Reference values for serum calcium in neonates should be established in a population of vitamin D-replete subjects. J. Clin. Endocrinol. Metab. 2024, dgae167. [Google Scholar] [CrossRef]
- Goldstein, D.A. Serum Calcium. In Clinical Methods: The History, Physical, and Laboratory Examinations, 3rd ed.; Walker, H.K., Hall, W.D., Hurst, J.W., Eds.; Butterworths: Boston, MA, USA, 1990; Chapter 143. Available online: https://www.ncbi.nlm.nih.gov/books/NBK250/ (accessed on 26 June 2024).
- Forsberg, M.; Seth, H.; Björefeldt, A.; Lyckenvik, T.; Andersson, M.; Wasling, P.; Zetterberg, H.; Hanse, E. Ionized calcium in human cerebrospinal fluid and its influence on intrinsic and synaptic excitability of hippocampal pyramidal neurons in the rat. J. Neurochem. 2019, 149, 452–470. [Google Scholar] [CrossRef]
- Hunter, G.; Smith, H.V. Calcium and magnesium in human cerebrospinal fluid. Nature 1960, 186, 161–162. [Google Scholar] [CrossRef]
- Zhu, Y.C.; Cooper, R.L. Cold exposure effects on cardiac function and synaptic transmission at the neuromuscular junction in invertebrates. Int. J. Zool. Res. 2018, 14, 49–60. [Google Scholar] [CrossRef][Green Version]
- Elliott, E.R.; Brock, K.E.; Vacassenno, R.M.; Harrison, D.A.; Cooper, R.L. The effects of doxapram and its potential interactions with K2P channels in experimental model preparations. J. Comp. Physiol. A Neuroethol. Sens. Neural. Behav. Physiol. 2024. [Google Scholar] [CrossRef] [PubMed]
- Xie, J.; Ke, M.; Xu, L.; Lin, S.; Huang, J.; Zhang, J.; Yang, F.; Wu, J.; Yan, Z. Structure of the human sodium leak channel NALCN in complex with FAM155A. Nat. Commun. 2020, 11, 5831. [Google Scholar] [CrossRef] [PubMed] [PubMed Central]
- De Castro, C.; Titlow, J.S.; Majeed, Z.R.; Malloy, C.; King, K.E.; Cooper, R.L. Chemical and mechanical factors required for maintaining cardiac rhythm in Drosophila melanogaster larva. J. Entomol. 2019, 16, 62–73. [Google Scholar] [CrossRef]
- Cheslock, A.; Andersen, M.K.; MacMillan, H.A. Thermal acclimation alters Na+/K+-ATPase activity in a tissue-specific manner in Drosophila melanogaster. Comp. Biochem. Physiol. A Mol. Integr. Physiol. 2021, 256, 110934. [Google Scholar] [CrossRef]
- Carvacho, I.; Gonzalez, W.; Torres, Y.P.; Brauchi, S.; Alvarez, O.; Gonzalez-Nilo, F.D.; Latorre, R. Intrinsic electrostatic potential in the BK channel pore: Role in determining single channel conductance and block. J. Gen. Physiol. 2008, 131, 147–161. [Google Scholar] [CrossRef]
- Guo, R.; Zeng, W.; Cui, H.; Chen, L.; Ye, S. Ionic interactions of Ba2+ blockades in the MthK K+ channel. J. Gen. Physiol. 2014, 144, 193–200. [Google Scholar] [CrossRef]












Disclaimer/Publisher’s Note: The statements, opinions and data contained in all publications are solely those of the individual author(s) and contributor(s) and not of MDPI and/or the editor(s). MDPI and/or the editor(s) disclaim responsibility for any injury to people or property resulting from any ideas, methods, instructions or products referred to in the content. |
© 2024 by the authors. Licensee MDPI, Basel, Switzerland. This article is an open access article distributed under the terms and conditions of the Creative Commons Attribution (CC BY) license (https://creativecommons.org/licenses/by/4.0/).
Share and Cite
Elliott, E.R.; Cooper, R.L. The Effect of Calcium Ions on Resting Membrane Potential. Biology 2024, 13, 750. https://doi.org/10.3390/biology13090750
Elliott ER, Cooper RL. The Effect of Calcium Ions on Resting Membrane Potential. Biology. 2024; 13(9):750. https://doi.org/10.3390/biology13090750
Chicago/Turabian StyleElliott, Elizabeth R., and Robin L. Cooper. 2024. "The Effect of Calcium Ions on Resting Membrane Potential" Biology 13, no. 9: 750. https://doi.org/10.3390/biology13090750
APA StyleElliott, E. R., & Cooper, R. L. (2024). The Effect of Calcium Ions on Resting Membrane Potential. Biology, 13(9), 750. https://doi.org/10.3390/biology13090750

