Climate Change Impact on Yield and Water Use of Rice–Wheat Rotation System in the Huang-Huai-Hai Plain, China
Abstract
:Simple Summary
Abstract
1. Introduction
2. Materials and Methods
2.1. Study Sites
2.2. Historical Climate Data and Future Climate Projections
2.3. Crop Data and APSIM Model
3. Results
3.1. Projected Climate Change from GCMs
3.2. Crop Phenology Change under Future Climate Scenarios
3.3. Grain Yield Change under Future Climate Scenarios
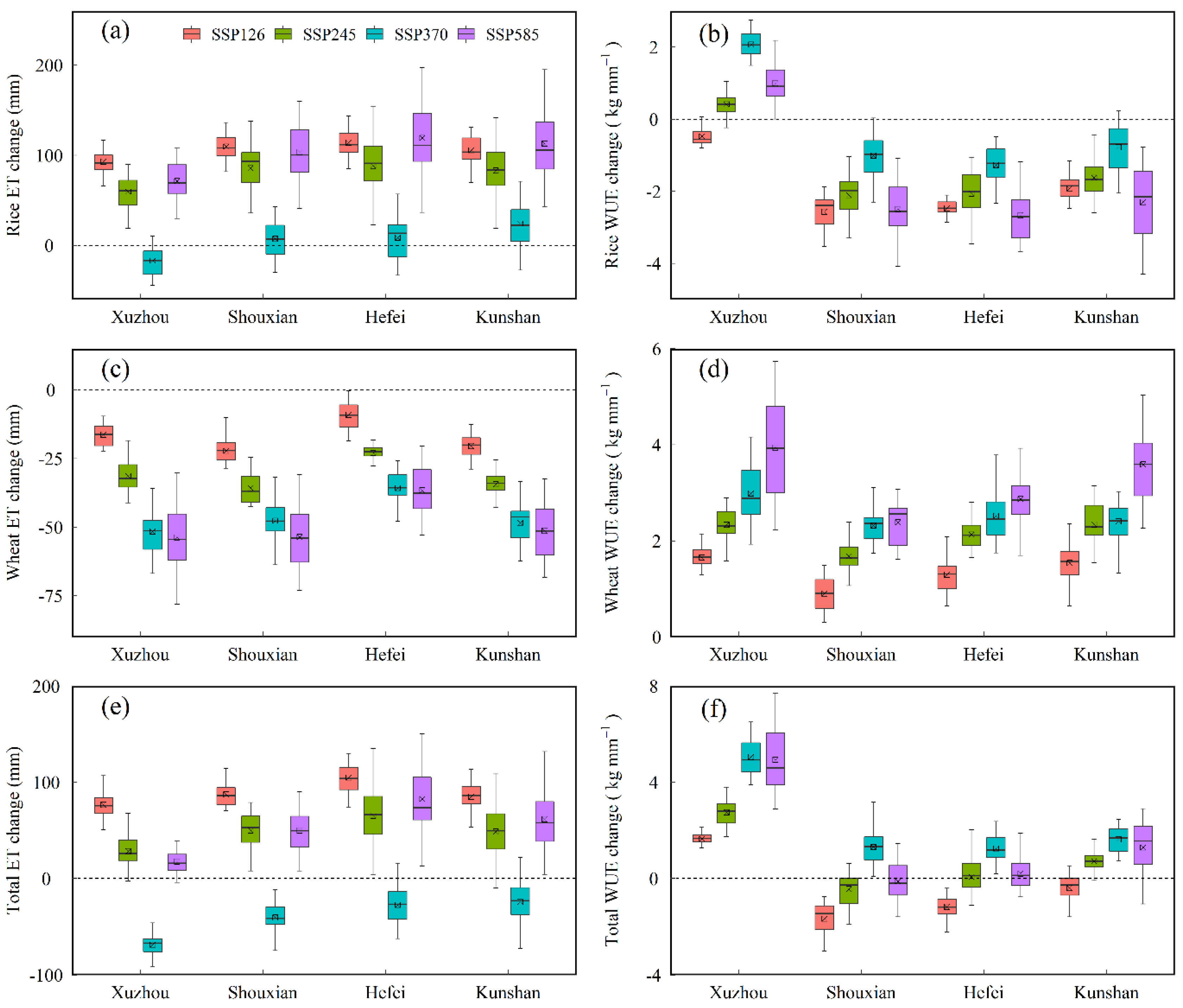
3.4. Crop Water Use under Future Climate Scenarios
4. Discussion
4.1. Impact of Climate Change on Crop Phenology
4.2. Impact of Climate Change on Crop Yield
4.3. Impact of Climate Change on Crop Water Use
4.4. Uncertainty and Limitation of the Study
5. Conclusions
Supplementary Materials
Author Contributions
Funding
Institutional Review Board Statement
Informed Consent Statement
Data Availability Statement
Acknowledgments
Conflicts of Interest
References
- IPCC. Climate Change 2021: The Physical Science Basis. Contribution of Working Group I to the Sixth Assessment Report of the Intergovernmental Panel on Climate Change; Masson-Delmotte, V., Zhai, P., Pirani, A., Connors, S.L., Péan, C., Berger, S., Caud, N., Chen, Y., Goldfarb, L., Gomis, M.I., et al., Eds.; Cambridge University Press: Cambridge, UK, 2021. [Google Scholar]
- Piao, S.; Ciais, P.; Huang, Y.; Shen, Z.; Peng, S.; Li, J.; Zhou, L.; Liu, H.; Ma, Y.; Ding, Y.; et al. The impacts of climate change on water resources and agriculture in China. Nature 2010, 467, 43–51. [Google Scholar] [CrossRef] [PubMed]
- Freitas, E.N.; Salgado, J.C.S.; Alnoch, R.C.; Contato, A.G.; Habermann, E.; Michelin, M.; Martinez, C.A.; Polizeli, M. Challenges of Biomass Utilization for Bioenergy in a Climate Change Scenario. Biology 2021, 10, 1277. [Google Scholar] [CrossRef] [PubMed]
- Harbinson, J.; Parry, M.A.J.; Davies, J.; Rolland, N.; Loreto, F.; Wilhelm, R.; Metzlaff, K.; Klein Lankhorst, R. Designing the Crops for the Future; The CropBooster Program. Biology 2021, 10, 690. [Google Scholar] [CrossRef] [PubMed]
- Lobell, D.B.; Asner, G.P. Climate and management contributions to recent trends in U.S. agricultural yields. Science 2003, 299, 1032. [Google Scholar]
- Lobell, D.B.; Burke, M.B.; Tebaldi, C.; Mastrandrea, M.D.; Falcon, W.P.; Naylor, R.L. Prioritizing climate change adaptation needs for food security in 2030. Science 2008, 319, 607–610. [Google Scholar] [CrossRef]
- Naumann, G.; Cammalleri, C.; Mentaschi, L.; Feyen, L. Increased economic drought impacts in Europe with anthropogenic warming. Nat. Clim. Chang. 2021, 11, 485–491. [Google Scholar] [CrossRef]
- Xu, R.; Li, Y.; Guan, K.; Zhao, L.; Peng, B.; Miao, C.; Fu, B. Divergent responses of maize yield to precipitation in the United States. Environ. Res. Lett. 2021, 17, 014016. [Google Scholar] [CrossRef]
- Estrella, N.; Sparks, T.H.; Menzel, A. Trends and temperature response in the phenology of crops in Germany. Glob. Chang. Biol. 2007, 13, 1737–1747. [Google Scholar] [CrossRef]
- Li, E.; Zhao, J.; Pullens, J.W.M.; Yang, X. The compound effects of drought and high temperature stresses will be the main constraints on maize yield in Northeast China. Sci. Total Environ. 2022, 812, 152461. [Google Scholar] [CrossRef]
- Liang, H.; Qin, W.; Hu, K.; Tao, H.; Li, B. Modelling groundwater level dynamics under different cropping systems and developing groundwater neutral systems in the North China Plain. Agric. Water Manag. 2019, 213, 732–741. [Google Scholar] [CrossRef]
- Sun, H.; Zhang, X.; Liu, X.; Liu, X.; Shao, L.; Chen, S.; Wang, J.; Dong, X. Impact of different cropping systems and irrigation schedules on evapotranspiration, grain yield and groundwater level in the North China Plain. Agric. Water Manag. 2019, 211, 202–209. [Google Scholar] [CrossRef]
- Xiao, D.; Bai, H.; Tang, J.; Liu, D.L.; Yang, Y. The role of cropping system adjustment in balancing grain yield and groundwater use across a rainfall gradient in the North China Plain under future climate scenarios. Irrig. Drain. 2021, 71, 495–509. [Google Scholar] [CrossRef]
- Tao, F.; Zhang, Z. Climate change, wheat productivity and water use in the North China Plain: A new super-ensemble-based probabilistic projection. Agric. For. Meteorol. 2013, 170, 146–165. [Google Scholar] [CrossRef]
- Chen, C.; Wang, E.; Yu, Q.; Zhang, Y. Quantifying the effects of climate trends in the past 43 years (1961–2003) on crop growth and water demand in the North China Plain. Clim. Chang. 2009, 100, 559–578. [Google Scholar] [CrossRef]
- Tao, F.; Xiao, D.; Zhang, S.; Zhang, Z.; Rötter, R.P. Wheat yield benefited from increases in minimum temperature in the Huang-Huai-Hai Plain of China in the past three decades. Agric. For. Meteorol. 2017, 239, 1–14. [Google Scholar] [CrossRef]
- Wang, B.; Feng, P.; Chen, C.; Liu, D.L.; Waters, C.; Yu, Q. Designing wheat ideotypes to cope with future changing climate in South-Eastern Australia. Agric. Syst. 2019, 170, 9–18. [Google Scholar] [CrossRef]
- Tao, F.; Zhang, L.; Zhang, Z.; Chen, Y. Designing wheat cultivar adaptation to future climate change across China by coupling biophysical modelling and machine learning. Eur. J. Agron. 2022, 136, 126500. [Google Scholar] [CrossRef]
- Zhang, L.; Zhang, Z.; Tao, F.; Luo, Y.; Cao, J.; Li, Z.; Xie, R.; Li, S. Planning maize hybrids adaptation to future climate change by integrating crop modelling with machine learning. Environ. Res. Lett. 2021, 16, 124043. [Google Scholar] [CrossRef]
- Zhang, L.; Zhang, Z.; Tao, F.; Luo, Y.; Zhang, J.; Cao, J. Adapting to climate change precisely through cultivars renewal for rice production across China: When, where, and what cultivars will be required? Agric. For. Meteorol. 2022, 316, 108856. [Google Scholar] [CrossRef]
- Ding, Y.; Wang, H. Newly acquired knowledge on the scientific issues related to climate change over the recent 100 years in China. Chin. Sci. Bull. 2015, 61, 1029–1041. [Google Scholar] [CrossRef]
- Zhou, T.J.; Zou, L.W.; Chen, X.L. Commentary on the Coupled Model Intercomparison Project Phase 6(CMIP6). Adv. Clim. Chang. Res. 2019, 15, 445–456. [Google Scholar]
- Sang, Y.; Ren, H.-L.; Shi, X.; Xu, X.; Chen, H. Improvement of Soil Moisture Simulation in Eurasia by the Beijing Climate Center Climate System Model from CMIP5 to CMIP6. Adv. Atmos. Sci. 2020, 38, 237–252. [Google Scholar] [CrossRef]
- Wu, T.; Lu, Y.; Fang, Y.; Xin, X.; Li, L.; Li, W.; Jie, W.; Zhang, J.; Liu, Y.; Zhang, L.; et al. The Beijing Climate Center Climate System Model (BCC-CSM): Main Progress from CMIP5 to CMIP6. Geosci. Model. Dev. 2018, 12, 1–50. [Google Scholar] [CrossRef]
- Xin, X.G.; Wu, T.; Zhang, J.; Zhang, F.; Wei-Ping, L.I.; Zhang, Y.W.; Yi-Xiong, L.U.; Fang, Y.J.; Jie, W.H.; Zhang, L. Introduction of BCC models and its participation in CMIP6. Adv. Clim. Chang. Res. 2019, 15, 533–539. [Google Scholar]
- Chen, H.; Sun, J.; Lin, W.; Xu, H. Comparison of CMIP6 and CMIP5 models in simulating climate extremes. Sci. Bull. 2020, 65, 1415–1418. [Google Scholar] [CrossRef]
- Fu, Y.; Lin, Z.; Guo, D. Improvement of the simulation of the summer East Asian westerly jet from CMIP5 to CMIP6. Atmos. Ocean. Sci. Let. 2020, 13, 550–558. [Google Scholar] [CrossRef]
- Kim, Y.-H.; Min, S.-K.; Zhang, X.; Sillmann, J.; Sandstad, M. Evaluation of the CMIP6 multi-model ensemble for climate extreme indices. Weather Clim. Extrem. 2020, 29, 100269. [Google Scholar] [CrossRef]
- de Wit, C.T. Photosynthesis of Leaf Canopies; Pudoc: Wageningen, The Netherlands, 1965. [Google Scholar]
- Xiao, D.; Shen, Y.; Qi, Y.; Moiwo, J.P.; Min, L.; Zhang, Y.; Guo, Y.; Pei, H. Impact of alternative cropping systems on groundwater use and grain yields in the North China Plain Region. Agric. Syst. 2017, 153, 109–117. [Google Scholar] [CrossRef]
- Yan, Z.; Zhang, X.; Rashid, M.A.; Li, H.; Jing, H.; Hochman, Z. Assessment of the sustainability of different cropping systems under three irrigation strategies in the North China Plain under climate change. Agric. Syst. 2020, 178, 102745. [Google Scholar] [CrossRef]
- Zhu, G.; Liu, Z.; Qiao, S.; Zhang, Z.; Huang, Q.; Su, Z.; Yang, X. How could observed sowing dates contribute to maize potential yield under climate change in Northeast China based on APSIM model. Eur. J. Agron. 2022, 136, 126511. [Google Scholar] [CrossRef]
- Guo, R.; Lin, Z.; Mo, X.; Yang, C. Responses of crop yield and water use efficiency to climate change in the North China Plain. Agric. Water Manag. 2010, 97, 1185–1194. [Google Scholar] [CrossRef]
- Pei, H.; Min, L.; Qi, Y.; Liu, X.; Jia, Y.; Shen, Y.; Liu, C. Impacts of varied irrigation on field water budegts and crop yields in the North China Plain: Rainfed vs. irrigated double cropping system. Agric. Water Manag. 2017, 190, 42–54. [Google Scholar] [CrossRef]
- Yuan, Z.; Shen, Y. Estimation of agricultural water consumption from meteorological and yield data: A case study of Hebei, North China. PLoS ONE 2013, 8, e58685. [Google Scholar] [CrossRef]
- Xiao, D.; Liu, D.L.; Feng, P.; Wang, B.; Waters, C.; Shen, Y.; Qi, Y.; Bai, H.; Tang, J. Future climate change impacts on grain yield and groundwater use under different cropping systems in the North China Plain. Agric. Water Manag. 2021, 246, 106685. [Google Scholar] [CrossRef]
- National Bureau of Statistics of China. China Rural Statistical Yearbook; China Statistics Press: Beijing, China, 2018. [Google Scholar]
- Bai, H.; Tao, F. Sustainable intensification options to improve yield potential and eco-efficiency for rice-wheat rotation system in China. Field Crop. Res. 2017, 211, 89–105. [Google Scholar] [CrossRef]
- O’Neill, B.C.; Tebaldi, C.; van Vuuren, D.P.; Eyring, V.; Friedlingstein, P.; Hurtt, G.; Knutti, R.; Kriegler, E.; Lamarque, J.-F.; Lowe, J.; et al. The Scenario Model Intercomparison Project (ScenarioMIP) for CMIP6. Geosci. Model Dev. 2016, 9, 3461–3482. [Google Scholar] [CrossRef]
- Prescott, J. Evaporation from a water surface in relation to solar radiation. T. Roy. Soc. S. Aust. 1940, 64, 114–118. [Google Scholar]
- World Climate Research Program, Coupled Model Intercomparison Project Phase 6. Available online: https://esgf-node.llnl.gov/search/cmip6/ (accessed on 4 February 2022).
- Su, B.; Huang, J.; Mondal, S.K.; Zhai, J.; Wang, Y.; Wen, S.; Gao, M.; Lv, Y.; Jiang, S.; Jiang, T.; et al. Insight from CMIP6 SSP-RCP scenarios for future drought characteristics in China. Atmos. Res. 2021, 250, 105375. [Google Scholar] [CrossRef]
- Liu, D.L.; Zuo, H. Statistical downscaling of daily climate variables for climate change impact assessment over New South Wales, Australia. Clim. Chang. 2012, 115, 629–666. [Google Scholar] [CrossRef]
- Richardson, C.; Wright, D. WGEN: A Model for Generating Daily Weather Variables; U.S. Department of Agriculture, Agricultural Research Service: Washington, DC, USA, 1984; Volume ARS-8, p. 83.
- Feng, P.; Wang, B.; Liu, D.L.; Waters, C.; Yu, Q. Incorporating machine learning with biophysical model can improve the evaluation of climate extremes impacts on wheat yield in south-eastern Australia. Agric. For. Meteorol. 2019, 275, 100–113. [Google Scholar] [CrossRef]
- Xiao, D.; Liu, D.L.; Wang, B.; Feng, P.; Bai, H.; Tang, J. Climate change impact on yields and water use of wheat and maize in the North China Plain under future climate change scenarios. Agric. Water Manag. 2020, 238, 106238. [Google Scholar] [CrossRef]
- Xiao, D.; Tao, F. Contributions of cultivars, management and climate change to winter wheat yield in the North China Plain in the past three decades. Eur. J. Agron. 2014, 52, 112–122. [Google Scholar] [CrossRef]
- Asseng, S.; Keating, B.A.; Fillery, I.R.P.; Gregory, P.J.; Abrecht, D.G. Performance of the APSIM-wheat model in Western Australia. Field Crop. Res. 1998, 57, 163–179. [Google Scholar] [CrossRef]
- Asseng, S.; Van Keulen, H.; Stol, W. Performance and application of the APSIM Nwheat model in the Netherlands. Eur. J. Agron. 2000, 12, 37–54. [Google Scholar] [CrossRef]
- Keating, B.A.; Carberry, P.S.; Hammer, G.L.; Probert, M.E.; Robertson, M.J.; Holzworth, D.; Huth, N.I.; Hargreaves, J.N.G.; Meinke, H.; Hochman, Z. An overview of APSIM, a model designed for farming systems simulation. Eur. J. Agron. 2003, 18, 267–288. [Google Scholar] [CrossRef]
- Teixeira, E.I.; Brown, H.E.; Michel, A.; Meenken, E.; Hu, W.; Thomas, S.; Huth, N.I.; Holzworth, D.P. Field estimation of water extraction coefficients with APSIM-Slurp for water uptake assessments in perennial forages. Field Crop. Res. 2018, 222, 26–38. [Google Scholar] [CrossRef]
- Arshad, A.; Raza, M.A.; Zhang, Y.; Zhang, L.; Wang, X.; Ahmed, M.; Habib-ur-Rehman, M. Impact of Climate Warming on Cotton Growth and Yields in China and Pakistan: A Regional Perspective. Agriculture 2021, 11, 97. [Google Scholar] [CrossRef]
- Bai, H.; Tao, F.; Xiao, D.; Liu, F.; Zhang, H. Attribution of yield change for rice-wheat rotation system in China to climate change, cultivars and agronomic management in the past three decades. Clim. Chang. 2015, 135, 539–553. [Google Scholar] [CrossRef]
- Asseng, S.; Ewert, F.; Martre, P.; Rötter, R.P.; Lobell, D.B.; Cammarano, D.; Kimball, B.A.; Ottman, M.J.; Wall, G.W.; White, J.W.; et al. Rising temperatures reduce global wheat production. Nat. Clim. Chang. 2014, 5, 143–147. [Google Scholar] [CrossRef]
- Fang, S.; Qi, Y.; Han, G.; Li, Q.; Zhou, G. Changing Trends and Abrupt Features of Extreme Temperature in Mainland China from 1960 to 2010. Atmosphere 2016, 7, 22. [Google Scholar] [CrossRef]
- Tao, F.; Zhang, Z.; Shi, W.; Liu, Y.; Xiao, D.; Zhang, S.; Zhu, Z.; Wang, M.; Liu, F. Single rice growth period was prolonged by cultivars shifts, but yield was damaged by climate change during 1981–2009 in China, and late rice was just opposite. Glob. Chang. Biol. 2013, 19, 3200–3209. [Google Scholar] [CrossRef] [PubMed]
- Tao, F.; Zhang, Z.; Xiao, D.; Zhang, S.; Rötter, R.P.; Shi, W.; Liu, Y.; Wang, M.; Liu, F.; Zhang, H. Responses of wheat growth and yield to climate change in different climate zones of China, 1981–2009. Agric. For. Meteorol. 2014, 189–190, 91–104. [Google Scholar] [CrossRef]
- Zhang, T.; Huang, Y.; Yang, X. Climate warming over the past three decades has shortened rice growth duration in China and cultivar shifts have further accelerated the process for late rice. Glob. Chang. Biol. 2013, 19, 563–570. [Google Scholar] [CrossRef] [PubMed]
- Lobell, D.B.; Roberts, M.J.; Schlenker, W.; Braun, N.; Little, B.B.; Rejesus, R.M.; Hammer, G.L. Greater sensitivity to drought accompanies maize yield increase in the U.S. Midwest Sci. 2014, 344, 516–519. [Google Scholar] [CrossRef]
- Zhao, C.; Liu, B.; Piao, S.; Wang, X.; Lobell, D.B.; Huang, Y.; Huang, M.; Yao, Y.; Bassu, S.; Ciais, P.; et al. Temperature increase reduces global yields of major crops in four independent estimates. Proc. Natl. Acad. Sci. USA 2017, 114, 9326–9331. [Google Scholar] [CrossRef]
- Bailey-Serres, J.; Parker, J.E.; Ainsworth, E.A.; Oldroyd, G.E.D.; Schroeder, J.I. Genetic strategies for improving crop yields. Nature 2019, 575, 109–118. [Google Scholar] [CrossRef]
- Bita, C.E.; Gerats, T. Plant tolerance to high temperature in a changing environment: Scientific fundamentals and production of heat stress-tolerant crops. Front. Plant. Sci. 2013, 4, 273. [Google Scholar] [CrossRef]
- Wang, N.; Wang, E.; Wang, J.; Zhang, J.; Zheng, B.; Huang, Y.; Tan, M. Modelling maize phenology, biomass growth and yield under contrasting temperature conditions. Agric. For. Meteorol. 2018, 250–251, 319–329. [Google Scholar] [CrossRef]
- Siddik, M.A.; Zhang, J.; Chen, J.; Qian, H.; Jiang, Y.; Raheem, A.; Deng, A.; Song, Z.; Zheng, C.; Zhang, W. Responses of indica rice yield and quality to extreme high and low temperatures during the reproductive period. Eur. J. Agron. 2019, 106, 30–38. [Google Scholar] [CrossRef]
- You, L.; Rosegrant, M.W.; Wood, S.; Sun, D. Impact of growing season temperature on wheat productivity in China. Agric. For. Meteorol. 2009, 149, 1009–1014. [Google Scholar] [CrossRef]
- Liu, Z.; Yang, X.; Xie, R.; Lin, X.; Li, T.; Batchelor, W.D.; Zhao, J.; Zhang, Z.; Sun, S.; Zhang, F.; et al. Prolongation of the grain filling period and change in radiation simultaneously increased maize yields in China. Agric. For. Meteorol. 2021, 308–309, 108573. [Google Scholar] [CrossRef]
- Zhang, Z.; Li, T.; Guo, E.; Zhao, C.; Zhao, J.; Liu, Z.; Sun, S.; Zhang, F.; Guo, S.; Nie, J.; et al. 20% of uncertainty in yield estimates could be caused by the radiation source. Sci. Total Environ. 2022, 838, 156015. [Google Scholar] [CrossRef] [PubMed]
- Zhang, X.; Wang, S.; Sun, H.; Chen, S.; Shao, L.; Liu, X. Contribution of cultivar, fertilizer and weather to yield variation of winter wheat over three decades: A case study in the North China Plain. Eur. J. Agron. 2013, 50, 52–59. [Google Scholar] [CrossRef]
- Fujimori, S.; Hasegawa, T.; Masui, T.; Takahashi, K.; Herran, D.S.; Dai, H.; Hijioka, Y.; Kainuma, M. SSP3: AIM implementation of Shared Socioeconomic Pathways. Glob. Environ. Chang. 2017, 42, 268–283. [Google Scholar] [CrossRef]
- Gidden, M.J.; Riahi, K.; Smith, S.J.; Fujimori, S.; Luderer, G.; Kriegler, E.; van Vuuren, D.P.; van den Berg, M.; Feng, L.; Klein, D.; et al. Global emissions pathways under different socioeconomic scenarios for use in CMIP6: A dataset of harmonized emissions trajectories through the end of the century. Geosci. Model Dev. 2019, 12, 1443–1475. [Google Scholar] [CrossRef]
- Hingmire, D.; Vellore, R.; Krishnan, R.; Singh, M.; Metya, A.; Gokul, T.; Ayantika, D.C. Climate change response in wintertime widespread fog conditions over the Indo-Gangetic Plains. Clim. Dynam. 2021, 58, 2745–2766. [Google Scholar] [CrossRef]
- Wei, T.; Cherry, T.L.; Glomrod, S.; Zhang, T. Climate change impacts on crop yield: Evidence from China. Sci. Total Environ. 2014, 499, 133–140. [Google Scholar] [CrossRef]
- Tao, F.; Zhang, Z.; Zhang, S.; Rötter, R.P. Variability in crop yields associated with climate anomalies in China over the past three decades. Reg. Environ. Chang. 2016, 16, 1715–1723. [Google Scholar] [CrossRef]
- Ainsworth, E.A.; Long, S.P. What have we learned from 15 years of free-air CO2 enrichment (FACE)? A meta-analytic review of the responses of photosynthesis, canopy properties and plant production to rising CO2. New Phytol. 2005, 165, 351–371. [Google Scholar] [CrossRef]
- Cai, C.; Yin, X.; He, S.; Jiang, W.; Si, C.; Struik, P.C.; Luo, W.; Li, G.; Xie, Y.; Xiong, Y.; et al. Responses of wheat and rice to factorial combinations of ambient and elevated CO2 and temperature in FACE experiments. Glob. Chang. Biol. 2016, 22, 856–874. [Google Scholar] [CrossRef]
- Kheir, A.M.S.; El Baroudy, A.; Aiad, M.A.; Zoghdan, M.G.; Abd El-Aziz, M.A.; Ali, M.G.M.; Fullen, M.A. Impacts of rising temperature, carbon dioxide concentration and sea level on wheat production in North Nile delta. Sci. Total Environ. 2019, 651, 3161–3173. [Google Scholar] [CrossRef] [PubMed]
- Lobell, D.B.; Field, C.B. Estimation of the carbon dioxide (CO2) fertilization effect using growth rate anomalies of CO2 and crop yields since 1961. Glob. Chang. Biol. 2008, 14, 39–45. [Google Scholar] [CrossRef]
- McGrath, J.M.; Lobell, D.B. Regional disparities in the CO2 fertilization effect and implications for crop yields. Environ. Res. Lett. 2013, 8, 014054. [Google Scholar] [CrossRef]
- Yang, J.; Xiong, W.; Yang, X.; Cao, Y.; Feng, L. Geographic Variation of Rice Yield Response to Past Climate Change in China. J. Integr. Agric. 2014, 13, 1586–1598. [Google Scholar] [CrossRef]
- Liu, B.; Liu, L.; Tian, L.; Cao, W.; Zhu, Y.; Asseng, S. Post-heading heat stress and yield impact in winter wheat of China. Glob. Chang. Biol. 2014, 20, 372–381. [Google Scholar] [CrossRef]
- Zhang, T.; Zhu, J.; Wassmann, R. Responses of rice yields to recent climate change in China: An empirical assessment based on long-term observations at different spatial scales (1981–2005). Agric. For. Meteorol. 2010, 150, 1128–1137. [Google Scholar] [CrossRef]
- Tao, F.; Zhang, S.; Zhang, Z.; Rotter, R.P. Maize growing duration was prolonged across China in the past three decades under the combined effects of temperature, agronomic management, and cultivar shift. Glob. Chang. Biol. 2014, 20, 3686–3699. [Google Scholar] [CrossRef]
- Zhang, Y.; Zhao, Y.; Sun, Q. Increasing maize yields in Northeast China are more closely associated with changes in crop timing than with climate warming. Environ. Res. Lett. 2021, 16, 054052. [Google Scholar] [CrossRef]
- Xiao, L.; Liu, L.; Asseng, S.; Xia, Y.; Tang, L.; Liu, B.; Cao, W.; Zhu, Y. Estimating spring frost and its impact on yield across winter wheat in China. Agric. For. Meteorol. 2018, 260–261, 154–164. [Google Scholar] [CrossRef]
- Zhang, Z.; Liu, X.; Wang, P.; Shuai, J.; Chen, Y.; Song, X.; Tao, F. The heat deficit index depicts the responses of rice yield to climate change in the northeastern three provinces of China. Reg. Environ. Chang. 2013, 14, 27–38. [Google Scholar] [CrossRef]
- Barlow, K.M.; Christy, B.P.; O’Leary, G.J.; Riffkin, P.A.; Nuttall, J.G. Simulating the impact of extreme heat and frost events on wheat crop production: A review. Field Crop. Res. 2015, 171, 109–119. [Google Scholar] [CrossRef]
- Schauberger, B.; Archontoulis, S.; Arneth, A.; Balkovic, J.; Ciais, P.; Deryng, D.; Elliott, J.; Folberth, C.; Khabarov, N.; Muller, C.; et al. Consistent negative response of US crops to high temperatures in observations and crop models. Nat. Commun. 2017, 8, 13931. [Google Scholar] [CrossRef] [PubMed]
- Asseng, S.; Martre, P.; Maiorano, A.; Rotter, R.P.; O’Leary, G.J.; Fitzgerald, G.J.; Girousse, C.; Motzo, R.; Giunta, F.; Babar, M.A.; et al. Climate change impact and adaptation for wheat protein. Glob. Chang. Biol. 2018, 25, 155–173. [Google Scholar] [CrossRef] [PubMed]
- Jin, Z.; Azzari, G.; Lobell, D.B. Improving the accuracy of satellite-based high-resolution yield estimation: A test of multiple scalable approaches. Agric. For. Meteorol. 2017, 247, 207–220. [Google Scholar] [CrossRef]






| Code | GCM Name | Abbreviation | Institute ID | Country |
|---|---|---|---|---|
| 1 | ACCESS-CM2 | ACC1 | CSIRO–ARCCSS | Australia |
| 2 | ACCESS-ESM1-5 | ACC2 | CSIRO–ARCCSS | Australia |
| 3 | BCC-CSM2-MR | BCC | BCC | China |
| 4 | CanESM5 | CAN1 | CCCMA | Canada |
| 5 | CanESM5-CanOE | CAN2 | CCCMA | Canada |
| 6 | CNRM-ESM2-1 | CNR1 | CNRM | France |
| 7 | CNRM-CM6-1 | CNR2 | CNRM | France |
| 8 | CNRM-CM6-1-HR | CNR3 | CNRM | France |
| 9 | EC-Earth3 | ECE1 | EC–EARTH | Europe |
| 10 | EC-Earth3-Veg | ECE2 | EC–EARTH | Europe |
| 11 | FGOALS-g3 | FGO | FGOALS | China |
| 12 | GFDL-ESM4 | GFD2 | NOAA–GFDL | America |
| 13 | GISS-E2-1-G | GIS | NASA–GISS | America |
| 14 | INM-CM4-8 | INM1 | INM | Russia |
| 15 | INM-CM5-0 | INM2 | INM | Russia |
| 16 | IPSL-CM6A-LR | IPS | IPSL | France |
| 17 | MIROC6 | MIR1 | MIROC | Japan |
| 18 | MIROC-ES2L | MIR2 | MIROC | Japan |
| 19 | MPI-ESM1-2-HR | MPI1 | MPI-M | Germany |
| 20 | MPI-ESM1-2-LR | MPI2 | MPI-M | Germany |
| 21 | MRI-ESM2-0 | MRI | MRI | Japan |
| 22 | UKESM1-0-LL | UKE | MOHC | UK |
| Crop | a | b | c | d | R2 |
|---|---|---|---|---|---|
| ΔYield = aΔTmean + bΔRad + cΔPre + dΔ[CO2] | |||||
| Rice | −2455.17 ** | 562.05 ** | 0.44 | 20.35 ** | 0.46 |
| Wheat | −392.47 ** | 173.95 ** | 2.73 ** | 1.26 ** | 0.36 |
| Total | −3327.72 ** | 958.43 ** | 3.26 ** | 23.19 ** | 0.49 |
| ΔET = aΔTmean + bΔRad + cΔPre + dΔ[CO2] | |||||
| Rice | 50.38 ** | 36.41 ** | −0.02 * | −0.13 ** | 0.96 |
| Wheat | 2.20 | 4.01 ** | 0.01 | −0.19 ** | 0.77 |
| Total | 48.32 ** | 50.16 ** | −0.09 ** | −0.23 ** | 0.89 |
| ΔWUE = aΔTmean + bΔRad + cΔPre + dΔ[CO2] | |||||
| Rice | −4.49 ** | 0.11 | 0.01 | 0.03 ** | 0.68 |
| Wheat | −0.8 ** | 0.14 * | 0.01 | 0.02 ** | 0.66 |
| Total | −6.19 ** | 0.48 ** | 0.01 ** | 0.05 ** | 0.59 |
Publisher’s Note: MDPI stays neutral with regard to jurisdictional claims in published maps and institutional affiliations. |
© 2022 by the authors. Licensee MDPI, Basel, Switzerland. This article is an open access article distributed under the terms and conditions of the Creative Commons Attribution (CC BY) license (https://creativecommons.org/licenses/by/4.0/).
Share and Cite
Zhao, Y.; Xiao, D.; Bai, H.; Liu, D.L.; Tang, J.; Qi, Y.; Shen, Y. Climate Change Impact on Yield and Water Use of Rice–Wheat Rotation System in the Huang-Huai-Hai Plain, China. Biology 2022, 11, 1265. https://doi.org/10.3390/biology11091265
Zhao Y, Xiao D, Bai H, Liu DL, Tang J, Qi Y, Shen Y. Climate Change Impact on Yield and Water Use of Rice–Wheat Rotation System in the Huang-Huai-Hai Plain, China. Biology. 2022; 11(9):1265. https://doi.org/10.3390/biology11091265
Chicago/Turabian StyleZhao, Yanxi, Dengpan Xiao, Huizi Bai, De Li Liu, Jianzhao Tang, Yongqing Qi, and Yanjun Shen. 2022. "Climate Change Impact on Yield and Water Use of Rice–Wheat Rotation System in the Huang-Huai-Hai Plain, China" Biology 11, no. 9: 1265. https://doi.org/10.3390/biology11091265
APA StyleZhao, Y., Xiao, D., Bai, H., Liu, D. L., Tang, J., Qi, Y., & Shen, Y. (2022). Climate Change Impact on Yield and Water Use of Rice–Wheat Rotation System in the Huang-Huai-Hai Plain, China. Biology, 11(9), 1265. https://doi.org/10.3390/biology11091265

