A Comprehensive Review on Lipid Oxidation in Meat and Meat Products
Abstract
1. Introduction
2. Mechanism of Lipid Oxidation
2.1. Lipid Autoxidation
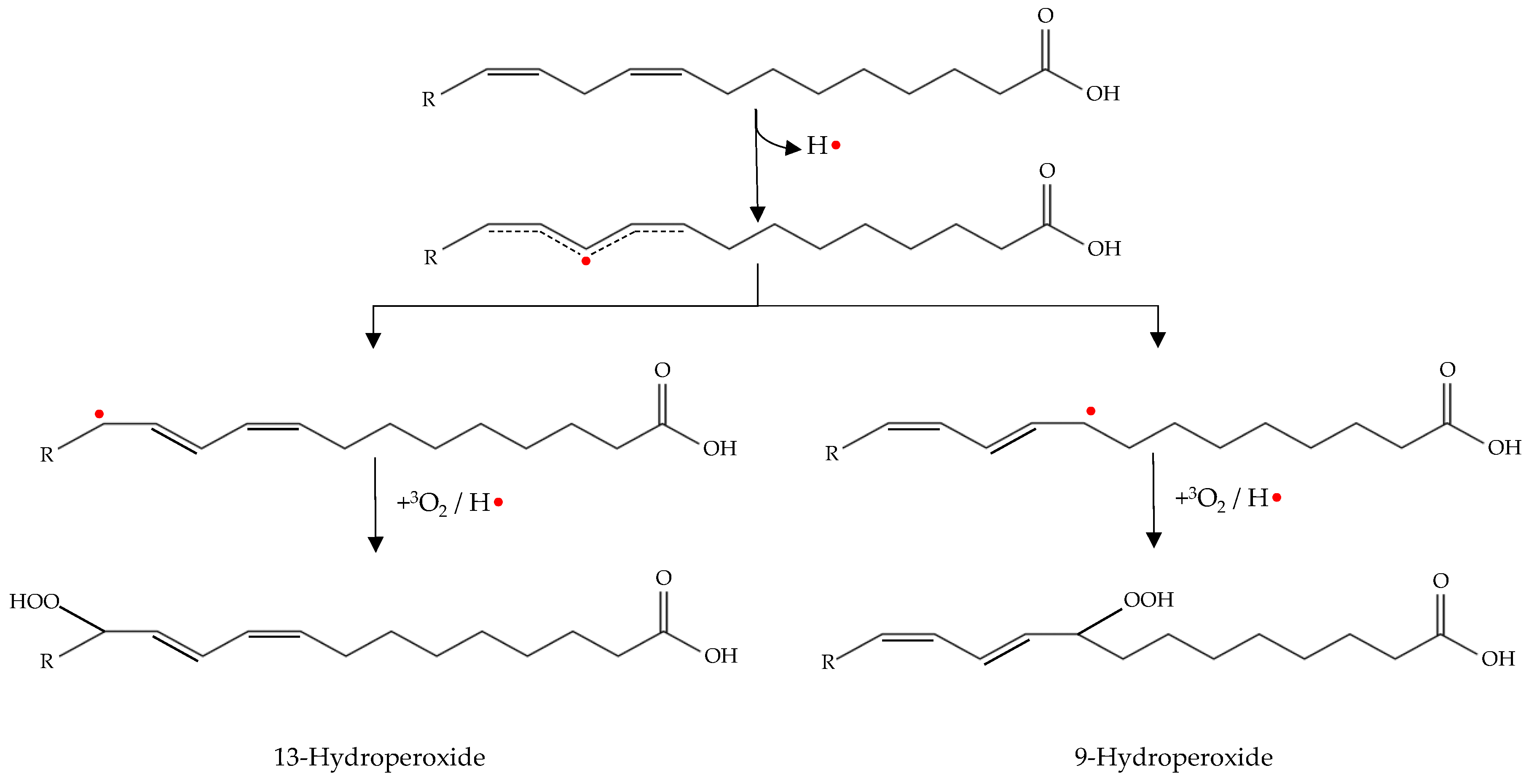
2.1.1. Initiation
2.1.2. Propagation
2.1.3. Termination
- R• + R• → R–R
- R• + ROO• → ROOR
- RO• + RO• → ROOR
- RO• + R• → ROR
- ROO• + ROO• → ROOR + O2
- 2RO• + 2ROO• → 2ROOR + O2
2.2. Lipid Photo-Oxidation
2.3. Enzymatic Lipid Oxidation
2.4. Decomposition of Hydroperoxides and Alkoxy and Peroxy Radicals
3. Factors Affecting Lipid Oxidation
3.1. Meat Composition
3.1.1. Fat Content and Fatty Acids Composition
3.1.2. Cholesterol and Cholesterol Oxidation Products
3.1.3. Heme-Proteins and Metals
- Fe2+ + O2 → Fe3+ + O2•−
- 2 O2•− + 2 H+ → H2O2 + O2
- Fe2+ + H2O2 → Fe3+ + OH− + OH•
3.1.4. Prooxidant Enzymes
3.1.5. Endogenous Antioxidants
(a) Vitamins
(b) Peptides
(c) Enzymes
3.2. Storage Conditions
3.2.1. Time and Temperature
3.2.2. Packaging and O2 Concentration
4. Methods for the Measurement of Compounds Derived from Lipid Oxidation
4.1. Compounds Derived from the Primary Changes
4.1.1. Changes in Substrates
4.1.2. Peroxides
(a) Iodometric Titration
(b) Ferric-xylenol Orange (FOX)
4.1.3. Conjugated Compounds (Dienes and Trienes)
4.1.4. Cholesterol Oxidation Products
4.2. Compounds Derived from the Secondary Changes
4.2.1. TBARs
4.2.2. p-Anisidine
4.2.3. TOTOX
4.2.4. Carbonyls
4.2.5. Volatile Compounds
5. Conclusions
Author Contributions
Funding
Acknowledgments
Conflicts of Interest
References
- Purriños, L.; Bermúdez, R.; Franco, D.; Carballo, J.; Lorenzo, J.M. Development of volatile compounds during the manufacture of dry-cured “Lacón,” a Spanish traditional meat product. J. Food Sci. 2011, 76, C89–C97. [Google Scholar] [CrossRef] [PubMed]
- Amaral, A.B.; da Silva, M.V.; da Lannes, S.C.S. Lipid oxidation in meat: Mechanisms and protective factors—A review. Food Sci. Technol. 2018, 38, 1–15. [Google Scholar] [CrossRef]
- Wood, J.; Richardson, R.; Nute, G.; Fisher, A.; Campo, M.; Kasapidou, E.; Sheard, P.; Enser, M. Effects of fatty acids on meat quality: A review. Meat Sci. 2004, 66, 21–32. [Google Scholar] [CrossRef]
- Min, B.; Ahn, D.U. Mechanism of lipid peroxidation in meat and meat products—A review. Food Sci. Biotechnol. 2005, 14, 152–163. [Google Scholar]
- Lorenzo, J.M.; Gómez, M. Shelf life of fresh foal meat under MAP, overwrap and vacuum packaging conditions. Meat Sci. 2012, 92, 610–618. [Google Scholar] [CrossRef] [PubMed]
- Chaijan, M.; Panpipat, W. Mechanism of oxidation in foods of animal origin. In Natural Antioxidants. Applications in Foods of Animal Origin; Banerjee, R., Verma, A.K., Siddiqui, M.W., Eds.; Apple Academic Press, Inc.: Boca Raton, FL, USA, 2017; pp. 1–38. ISBN 978-1-315-36591-6. [Google Scholar]
- Richards, M.P. Lipid chemistry and biochemistry. In Handbook of Food Science, Technology, and Engineering; Hui, Y., Ed.; CRC Press; Taylor & Francis: Boca Raton, FL, USA, 2006; pp. 8(1)–8(21). ISBN 0849398487. [Google Scholar]
- Králová, M. The effect of lipid oxidation on the quality of meat and meat products. Maso Int. J. Food Sci. Technol. 2015, 2, 125–132. [Google Scholar]
- Domínguez, R.; Barba, F.J.; Gómez, B.; Putnik, P.; Bursać Kovačević, D.; Pateiro, M.; Santos, E.M.; Lorenzo, J.M. Active packaging films with natural antioxidants to be used in meat industry: A review. Food Res. Int. 2018, 113, 93–101. [Google Scholar] [CrossRef] [PubMed]
- Pereira, A.L.F.; Abreu, V.K.G. Lipid peroxidation in meat and meat products. In Lipid Peroxidation [Working Title]; Mansour, M.A., Ed.; IntechOpen: London, UK, 2018; pp. 1–14. [Google Scholar]
- Alfaia, C.M.M.; Alves, S.P.; Lopes, A.F.; Fernandes, M.J.E.; Costa, A.S.H.; Fontes, C.M.G.A.; Castro, M.L.F.; Bessa, R.J.B.; Prates, J.A.M. Effect of cooking methods on fatty acids, conjugated isomers of linoleic acid and nutritional quality of beef intramuscular fat. Meat Sci. 2010, 84, 769–777. [Google Scholar] [CrossRef] [PubMed]
- Broncano, J.M.; Petrón, M.J.; Parra, V.; Timón, M.L. Effect of different cooking methods on lipid oxidation and formation of free cholesterol oxidation products (COPs) in Latissimus dorsi muscle of Iberian pigs. Meat Sci. 2009, 83, 431–437. [Google Scholar] [CrossRef] [PubMed]
- Angeli, J.P.F.; Garcia, C.C.M.; Sena, F.; Freitas, F.P.; Miyamoto, S.; Medeiros, M.H.G.; Di Mascio, P. Lipid hydroperoxide-induced and hemoglobin-enhanced oxidative damage to colon cancer cells. Free Radic. Biol. Med. 2011, 51, 503–515. [Google Scholar] [CrossRef] [PubMed]
- Sottero, B.; Leonarduzzi, G.; Testa, G.; Gargiulo, S.; Poli, G.; Biasi, F. Lipid oxidation derived aldehydes and oxysterols between health and disease. Eur. J. Lipid Sci. Technol. 2019, 121, 1700047. [Google Scholar] [CrossRef]
- Yi, G.; Haug, A.; Nyquist, N.F.; Egelandsdal, B. Hydroperoxide formation in different lean meats. Food Chem. 2013, 141, 2656–2665. [Google Scholar] [CrossRef] [PubMed]
- Chen, B.; Mcclements, D.J.; Decker, E.A. Minor components in food oils: A critical review of their roles on lipid oxidation chemistry in bulk oils and emulsions. Crit. Rev. Food Sci. Nutr. 2011, 51, 901–916. [Google Scholar] [CrossRef] [PubMed]
- Estévez, M.; Morcuente, D.; Ventanas, S. Determination of oxidation. In Handbook of Muscle Foods Analysis; Nollet, L.M.L., Toldrá, F., Eds.; CRC Press: Boca Raton, FL, USA, 2009; pp. 221–240. ISBN 9781420045291. [Google Scholar]
- Gómez, M.; Lorenzo, J.M. Effect of fat level on physicochemical, volatile compounds and sensory characteristics of dry-ripened “chorizo” from Celta pig breed. Meat Sci. 2013, 95, 658–666. [Google Scholar] [CrossRef] [PubMed]
- Lorenzo, J.M. Changes on physico-chemical, textural, lipolysis and volatile compounds during the manufacture of dry-cured foal “cecina”. Meat Sci. 2014, 96, 256–263. [Google Scholar] [CrossRef] [PubMed]
- Lorenzo, J.M.; Fonseca, S. Volatile compounds of Celta dry-cured “lacón” as affected by cross-breeding with Duroc and Landrace genotypes. J. Sci. Food Agric. 2014, 94, 2978–2985. [Google Scholar] [CrossRef]
- Lorenzo, J.M.; Carballo, J. Changes in physico-chemical properties and volatile compounds throughout the manufacturing process of dry-cured foal loin. Meat Sci. 2015, 99, 44–51. [Google Scholar] [CrossRef]
- Pateiro, M.; Franco, D.; Carril, J.A.; Lorenzo, J.M. Changes on physico-chemical properties, lipid oxidation and volatile compounds during the manufacture of celta dry-cured loin. J. Food Sci. Technol. 2015, 52, 4808–4818. [Google Scholar] [CrossRef]
- Bermúdez, R.; Franco, D.; Carballo, J.; Lorenzo, J.M. Influence of type of muscle on volatile compounds throughout the manufacture of Celta dry-cured ham. Food Sci. Technol. Int. 2015, 21, 581–592. [Google Scholar] [CrossRef]
- Domínguez, R.; Purriños, L.; Pérez-Santaescolástica, C.; Pateiro, M.; Barba, F.J.; Tomasevic, I.; Campagnol, C.P.; Lorenzo, J.M. Characterization of volatile compounds of dry-cured meat products using HS-SPME-GC/MS technique. Food Anal. Methods 2019, 12, 1263–1284. [Google Scholar] [CrossRef]
- Ross, C.F.; Smith, D.M. Use of volatiles as indicators of lipid oxidation in muscle foods. Compr. Rev. Food Sci. Food Saf. 2006, 5, 18–25. [Google Scholar] [CrossRef]
- Rivas-Cañedo, A.; Nuñez, M.; Fernández-García, E. Volatile compounds in Spanish dry-fermented sausage ‘salchichón’ subjected to high pressure processing. Effect of the packaging material. Meat Sci. 2009, 83, 620–626. [Google Scholar] [CrossRef] [PubMed]
- Cheng, J. Lipid oxidation in meat. J. Nutr. Food Sci. 2016, 6, 1–3. [Google Scholar]
- Guyon, C.; Meynier, A.; de Lamballerie, M. Protein and lipid oxidation in meat: A review with emphasis on high-pressure treatments. Trends Food Sci. Technol. 2016, 50, 131–143. [Google Scholar] [CrossRef]
- Barden, L.; Decker, E.A. Lipid oxidation in low-moisture food: A review. Crit. Rev. Food Sci. Nutr. 2016, 56, 2467–2482. [Google Scholar] [CrossRef] [PubMed]
- Lorenzo, J.M.; Pateiro, M.; Domínguez, R.; Barba, F.J.; Putnik, P.; Kovačević, D.B.; Shpigelman, A.; Granato, D.; Franco, D. Berries extracts as natural antioxidants in meat products: A review. Food Res. Int. 2018, 106, 1095–1104. [Google Scholar] [CrossRef] [PubMed]
- Zamuz, S.; López-Pedrouso, M.; Barba, F.J.; Lorenzo, J.M.; Domínguez, H.; Franco, D. Application of hull, bur and leaf chestnut extracts on the shelf-life of beef patties stored under MAP: Evaluation of their impact on physicochemical properties, lipid oxidation, antioxidant, and antimicrobial potential. Food Res. Int. 2018, 112, 263–273. [Google Scholar] [CrossRef]
- Cunha, L.C.M.; Monteiro, M.L.G.; Lorenzo, J.M.; Munekata, P.E.S.; Muchenje, V.; de Carvalho, F.A.L.; Conte-Junior, C.A. Natural antioxidants in processing and storage stability of sheep and goat meat products. Food Res. Int. 2018, 111, 379–390. [Google Scholar] [CrossRef]
- Pateiro, M.; Vargas, F.C.; Chincha, A.A.I.A.; Sant’Ana, A.S.; Strozzi, I.; Rocchetti, G.; Barba, F.J.; Domínguez, R.; Lucini, L.; do Amaral Sobral, P.J.; et al. Guarana seed extracts as a useful strategy to extend the shelf life of pork patties: UHPLC-ESI/QTOF phenolic profile and impact on microbial inactivation, lipid and protein oxidation and antioxidant capacity. Food Res. Int. 2018, 114, 55–63. [Google Scholar] [CrossRef]
- Lorenzo, J.M.; Munekata, P.E.S.; Gómez, B.; Barba, F.J.; Mora, L.; Pérez-Santaescolástica, C.; Toldrá, F. Bioactive peptides as natural antioxidants in food products—A review. Trends Food Sci. Technol. 2018, 79, 136–147. [Google Scholar] [CrossRef]
- Echegaray, N.; Gómez, B.; Barba, F.J.; Franco, D.; Estévez, M.; Carballo, J.; Marszałek, K.; Lorenzo, J.M. Chestnuts and by-products as source of natural antioxidants in meat and meat products: A review. Trends Food Sci. Technol. 2018, 82, 110–121. [Google Scholar] [CrossRef]
- Gómez, B.; Barba, F.J.; Domínguez, R.; Putnik, P.; Bursać Kovačević, D.; Pateiro, M.; Toldrá, F.; Lorenzo, J.M. Microencapsulation of antioxidant compounds through innovative technologies and its specific application in meat processing. Trends Food Sci. Technol. 2018, 82, 135–147. [Google Scholar] [CrossRef]
- Munekata, P.E.S.; Domínguez, R.; Franco, D.; Bermúdez, R.; Trindade, M.A.; Lorenzo, J.M. Effect of natural antioxidants in Spanish salchichón elaborated with encapsulated n-3 long chain fatty acids in konjac glucomannan matrix. Meat Sci. 2017, 124, 54–60. [Google Scholar] [CrossRef] [PubMed]
- Domínguez, R.; Pateiro, M.; Agregán, R.; Lorenzo, J.M. Effect of the partial replacement of pork backfat by microencapsulated fish oil or mixed fish and olive oil on the quality of frankfurter type sausage. J. Food Sci. Technol. 2017, 54, 26–37. [Google Scholar] [CrossRef] [PubMed]
- Heck, R.T.; Vendruscolo, R.G.; de Araújo Etchepare, M.; Cichoski, A.J.; de Menezes, C.R.; Barin, J.S.; Lorenzo, J.M.; Wagner, R.; Campagnol, P.C.B. Is it possible to produce a low-fat burger with a healthy n − 6/n − 3 PUFA ratio without affecting the technological and sensory properties? Meat Sci. 2017, 130, 16–25. [Google Scholar] [CrossRef] [PubMed]
- Domínguez, R.; Pateiro, M.; Sichetti Munekata, P.E.; Bastianello Campagnol, P.C.; Lorenzo, J.M. Influence of partial pork backfat replacement by fish oil on nutritional and technological properties of liver pâté. Eur. J. Lipid Sci. Technol. 2017, 119, 1600178. [Google Scholar] [CrossRef]
- Heck, R.T.; Fagundes, M.B.; Cichoski, A.J.; de Menezes, C.R.; Barin, J.S.; Lorenzo, J.M.; Wagner, R.; Campagnol, P.C.B. Volatile compounds and sensory profile of burgers with 50% fat replacement by microparticles of chia oil enriched with rosemary. Meat Sci. 2019, 148, 164–170. [Google Scholar] [CrossRef]
- Da Silva, S.L.; Amaral, J.T.; Ribeiro, M.; Sebastião, E.E.; Vargas, C.; de Lima Franzen, F.; Schneider, G.; Lorenzo, J.M.; Fries, L.L.M.; Cichoski, A.J.; et al. Fat replacement by oleogel rich in oleic acid and its impact on the technological, nutritional, oxidative, and sensory properties of Bologna-type sausages. Meat Sci. 2019, 149, 141–148. [Google Scholar] [CrossRef]
- Heck, R.T.; Saldaña, E.; Lorenzo, J.M.; Correa, L.P.; Fagundes, M.B.; Cichoski, A.J.; de Menezes, C.R.; Wagner, R.; Campagnol, P.C.B. Hydrogelled emulsion from chia and linseed oils: A promising strategy to produce low-fat burgers with a healthier lipid profile. Meat Sci. 2019, 156, 174–182. [Google Scholar] [CrossRef]
- De Carvalho, F.A.L.; Lorenzo, J.M.; Pateiro, M.; Bermúdez, R.; Purriños, L.; Trindade, M.A. Effect of guarana (Paullinia cupana) seed and pitanga (Eugenia uniflora L.) leaf extracts on lamb burgers with fat replacement by chia oil emulsion during shelf life storage at 2 °C. Food Res. Int. 2019, 125, 108554. [Google Scholar] [CrossRef]
- Schaich, K.M. Challenges in elucidating lipid oxidation mechanisms: When, where and how do products arise? In Lipid Oxidation. Challenges in Food Systems; Logan, A., Nienaber, U., Pan, X., Eds.; AOCS Press: Champagne, IL, USA, 2013; pp. 1–52. ISBN 9780983079163. [Google Scholar]
- Erickson, M.C. Lipid oxidation of muscle foods. In Food Lipids: Chemistry, Nutrition, and Biotechnology; Akoh, C.C., Min, D.B., Eds.; Marcel Dekker, Inc.: New York, NY, USA, 2002; pp. 384–430. ISBN 9781315151854. [Google Scholar]
- Ghnimi, S.; Budilarto, E.; Kamal-Eldin, A. The new paradigm for lipid oxidation and insights to microencapsulation of omega-3 fatty acids. Compr. Rev. Food Sci. Food Saf. 2017, 16, 1206–1218. [Google Scholar] [CrossRef]
- Gray, J.I.; Monahan, F.J. Measurement of lipid oxidation in meat and meat products. Trends Food Sci. Technol. 1992, 3, 315–319. [Google Scholar] [CrossRef]
- Barriuso, B.; Astiasarán, I.; Ansorena, D. A review of analytical methods measuring lipid oxidation status in foods: a challenging task. Eur. Food Res. Technol. 2013, 236, 1–15. [Google Scholar] [CrossRef]
- Choe, E.; Min, D.B. Mechanisms and factors for edible oil oxidation. Compr. Rev. Food Sci. Food Saf. 2006, 5, 169–186. [Google Scholar] [CrossRef]
- Chaijan, M. Review: Lipid and myoglobin oxidations in muscle foods. Songklanakarin J. Sci. Technol. 2008, 30, 47–53. [Google Scholar]
- Lorenzo, J.M.; Domínguez, R.; Carballo, J. Control of lipid oxidation in muscle food by active packaging technology. In Natural Antioxidants: Applications in Foods of Animal Origin; Banerjee, R., Verma, A.K., Siddiqui, M.W., Eds.; Apple Academic Press Inc.: Boca Raton, FL, USA, 2017; pp. 343–382. ISBN 9781771884600. [Google Scholar]
- Wasowicz, E.; Gramza, A.; Hes, M.; Jelen, H.H.; Korczak, J.; Malecka, M.; Mildner-Szkudlarz, S.; Rudzinska, M.; Samotyja, U.; Zawirska-Wojtasiak, R. Oxidation of lipids in food. Pol. J. Food Nutr. Sci. 2004, 13, 87–100. [Google Scholar]
- Schilstra, M.J.; Veldink, G.A.; Vliegenthart, J.F.G. Kinetic analysis of the induction period in lipoxygenase catalysis. Biochemistry 1993, 32, 7686–7691. [Google Scholar] [CrossRef][Green Version]
- Talbot, G. The Stability and Shelf Life of Fats and Oils. In The Stability and Shelf Life of Food; Subramaniam, P., Ed.; Elsevier: Amsterdam, The Netherlands, 2016; pp. 461–503. [Google Scholar]
- Munekata, P.E.S.; Domínguez, R.; Campagnol, P.C.B.; Franco, D.; Trindade, M.A.; Lorenzo, J.M. Effect of natural antioxidants on physicochemical properties and lipid stability of pork liver pâté manufactured with healthy oils during refrigerated storage. J. Food Sci. Technol. 2017, 54, 4324–4334. [Google Scholar] [CrossRef]
- Fernandes, R.P.P.; Trindade, M.A.; Lorenzo, J.M.; de Melo, M.P. Assessment of the stability of sheep sausages with the addition of different concentrations of Origanum vulgare extract during storage. Meat Sci. 2018, 137, 244–257. [Google Scholar] [CrossRef]
- Alirezalu, K.; Hesari, J.; Nemati, Z.; Munekata, P.E.S.; Barba, F.J.; Lorenzo, J.M. Combined effect of natural antioxidants and antimicrobial compounds during refrigerated storage of nitrite-free frankfurter-type sausage. Food Res. Int. 2019, 120, 839–850. [Google Scholar] [CrossRef]
- Christie, W.W. The composition, structure and function of lipids in the tissues of ruminant animals. Prog. Lipid Res. 1978, 17, 111–205. [Google Scholar] [CrossRef]
- Conte, G.; Serra, A.; Casarosa, L.; Ciucci, F.; Cappucci, A.; Bulleri, E.; Corrales-Retana, L.; Buccioni, A.; Mele, M. Effect of linseed supplementation on total longissimus muscle lipid composition and shelf-life of beef from young maremmana bulls. Front. Vet. Sci. 2018, 5, 326. [Google Scholar] [CrossRef] [PubMed]
- Domínguez, R.; Lorenzo, J.M. Effect of genotype on fatty acid composition of intramuscular and subcutaneous fat of Celta pig breed. Grasas Y Aceites 2014, 65, e037. [Google Scholar]
- Domínguez, R.; Martínez, S.; Carballo, J.; Franco, I. Fatty acid profile and cholesterol and retinol contents in different locations of Celta pig breed. Grasas Y Aceites 2014, 65, e036. [Google Scholar]
- Pikul, J.; Leszczynski, D.E.; Kummerow, F.A. Relative role of phospholipids, triacylglycerols, and cholesterol esters on malonaldehyde formation in fat extracted from chicken meat. J. Food Sci. 1984, 49, 704–708. [Google Scholar] [CrossRef]
- Wilson, B.R.; Pearson, A.M.; Shorland, F.B. Effect of total lipids and phospholipids on warmed-over flavor in red and white muscle from several species as measured by thiobarbituric acid analysis. J. Agric. Food Chem. 1976, 24, 7–11. [Google Scholar] [CrossRef]
- Min, B.; Nam, K.C.; Cordray, J.; Ahn, D.U. Endogenous factors affecting oxidative stability of beef loin, pork loin, and chicken breast and thigh meats. J. Food Sci. 2008, 73, 439–446. [Google Scholar] [CrossRef]
- Gálvez, F.; Domínguez, R.; Pateiro, M.; Carballo, J.; Tomasevic, I.; Lorenzo, J.M. Effect of gender on breast and thigh turkey meat quality. Br. Poult. Sci. 2018, 59, 408–415. [Google Scholar] [CrossRef] [PubMed]
- Pateiro, M.; Rois, D.; Lorenzo, J.M.; Vazquez, J.A.; Franco, D. Effect of breed and finishing diet on growth performance, carcass and meat quality characteristics of Mos young hens. Span. J. Agric. Res. 2018, 16, 0402. [Google Scholar] [CrossRef]
- Lorenzo, J.M.; Maggiolino, A.; Gallego, L.; Pateiro, M.; Serrano, M.P.; Domínguez, R.; García, A.; Landete-Castillejos, T.; De Palo, P. Effect of age on nutritional properties of Iberian wild red deer meat. J. Sci. Food Agric. 2019, 99, 1561–1567. [Google Scholar] [CrossRef] [PubMed]
- Lorenzo, J.M.; Pateiro, M. Influence of type of muscles on nutritional value of foal meat. Meat Sci. 2013, 93, 630–638. [Google Scholar] [CrossRef] [PubMed]
- Gálvez, F.; Maggiolino, A.; Domínguez, R.; Pateiro, M.; Gil, S.; De Palo, P.; Carballo, J.; Franco, D.; Lorenzo, J.M. Nutritional and meat quality characteristics of seven primal cuts from 9-month-old female veal calves: A preliminary study. J. Sci. Food Agric. 2019, 99, 2947–2956. [Google Scholar]
- Koppenol, W.H. Oxyradical reactions: From bond-dissociation energies to reduction potentials. FEBS Lett. 1990, 264, 165–167. [Google Scholar] [CrossRef]
- Zielinski, Z.A.M.; Pratt, D.A. Lipid peroxidation: Kinetics, mechanisms, and products. J. Org. Chem. 2017, 82, 2817–2825. [Google Scholar] [CrossRef] [PubMed]
- Zhao, G.P.; Cui, H.X.; Liu, R.R.; Zheng, M.Q.; Chen, J.L.; Wen, J. Comparison of breast muscle meat quality in 2 broiler breeds. Poult. Sci. 2011, 90, 2355–2359. [Google Scholar] [CrossRef] [PubMed]
- Geldenhuys, G.; Hoffman, L.C.; Muller, N. The fatty acid, amino acid, and mineral composition of Egyptian goose meat as affected by season, gender, and portion. Poult. Sci. 2015, 94, 1075–1087. [Google Scholar] [CrossRef] [PubMed]
- Romero, M.C.; Romero, A.M.; Doval, M.M.; Judis, M.A. Nutritional value and fatty acid composition of some traditional Argentinean meat sausages. Food Sci. Technol. 2013, 33, 161–166. [Google Scholar] [CrossRef]
- Bermúdez, R.; Franco, D.; Carballo, J.; Lorenzo, J.M. Sensory properties and physicochemical changes in the biceps femoris muscle during processing of dry-cured ham from celta pigs. effects of cross-breeding with duroc and landrace pigs. Ital. J. Food Sci. 2016, 29. [Google Scholar] [CrossRef]
- Bermúdez, R.; Franco, I.; Franco, D.; Carballo, J.; Lorenzo, J.M. Influence of inclusion of chestnut in the finishing diet on fatty acid profile of dry-cured ham from Celta pig breed. Meat Sci. 2012, 92, 394–399. [Google Scholar] [CrossRef]
- Veiga, A.; Cobos, Á.; Ros, C.; Diaz, O. Chemical and fatty acid composition of “Lacón gallego” (dry-cured pork foreleg): Differences between external and internal muscles. J. Food Compos. Anal. 2003, 16, 121–132. [Google Scholar] [CrossRef]
- De Jesús, M.C.; Domínguez, R.; Cantalapiedra, J.; Iglesias, A.; Lorenzo, J.M. Effect of the amount of chestnuts in the diet of Celta pigs on the fatty acid profile of dry-cured lacon. Grasas Y Aceites 2016, 67, 119. [Google Scholar]
- Gómez, M.; Cachaldora, A.; Fonseca, S.; Domínguez, R.; Carballo, J.; Franco, I. Biochemical, Oxidative, and Lipolytic Changes during Vacuum-Packed Storage of Dry-Cured Loin: Effect of Chestnuts Intake by Celta Pigs. J. Food Qual. 2018, 2018, 7690501. [Google Scholar] [CrossRef]
- Domínguez, R.; Agregán, R.; Gonçalves, A.; Lorenzo, J.M. Effect of fat replacement by olive oil on the physico-chemical properties, fatty acids, cholesterol and tocopherol content of pâté. Grasas Y Aceites 2016, 67, e133. [Google Scholar]
- Skellon, J.H.; Thruston, M.N. The oxidation of monoethenoid fatty acids and esters. Catalytic oxidation of elaidic acid, methyl elaidate, and n-propyl elaidate. The oxidation products. J. Chem. Soc. 1953, 138–142. [Google Scholar] [CrossRef]
- Yin, M.C.; Faustman, C. Influence of temperature, pH, and phospholipid composition upon the stability of myoglobin and phospholipid: A liposome model. J. Agric. Food Chem. 1993, 41, 853–857. [Google Scholar] [CrossRef]
- Adachi, S.; Ishiguro, T.; Matsuno, R. Autoxidation kinetics for fatty acids and their esters. J. Am. Oil Chem. Soc. 1995, 72, 547–551. [Google Scholar] [CrossRef]
- De Oliveira, V.S.; Ferreira, F.S.; Cople, M.C.R.; da Labre, T.S.; Augusta, I.M.; Gamallo, O.D.; Saldanha, T. Use of Natural Antioxidants in the Inhibition of Cholesterol Oxidation: A Review. Compr. Rev. Food Sci. Food Saf. 2018, 17, 1465–1483. [Google Scholar] [CrossRef]
- Smith, L.L. Cholesterol autoxidation 1981–1986. Chem. Phys. Lipids 1987, 44, 87–125. [Google Scholar] [CrossRef]
- Kim, S.K.; Nawar, W.W. Parameters influencing cholesterol oxidation. Lipids 1993, 28, 917–922. [Google Scholar] [CrossRef] [PubMed]
- Paniangvait, P.; King, A.J.; Jones, A.D.; German, B.G. Cholesterol Oxides in Foods of Animal Origin. J. Food Sci. 1995, 60, 1159–1174. [Google Scholar] [CrossRef]
- Kulig, W.; Cwiklik, L.; Jurkiewicz, P.; Rog, T.; Vattulainen, I. Cholesterol oxidation products and their biological importance. Chem. Phys. Lipids 2016, 199, 144–160. [Google Scholar] [CrossRef]
- Vestergaard, C.S.; Parolari, G. Lipid and cholesterol oxidation products in dry-cured ham. Meat Sci. 1999, 52, 397–401. [Google Scholar] [CrossRef]
- Zanardi, E.; Novelli, E.; Ghiretti, G.P.; Chizzolini, R. Oxidative stability of lipids and cholesterol in salame Milano, coppa and Parma ham: Dietary supplementation with vitamin E and oleic acid. Meat Sci. 2000, 55, 169–175. [Google Scholar] [CrossRef]
- Hur, S.J.; Park, G.B.; Joo, S.T. Formation of cholesterol oxidation products (COPs) in animal products. Food Control 2007, 18, 939–947. [Google Scholar] [CrossRef]
- Orczewska-Dudek, S.; Bederska-Lojewska, D.; Pieszka, M.; Pietras, M.P. Cholesterol and lipid peroxides in animal products and health implications—A review. Ann. Anim. Sci. 2012, 12, 25–52. [Google Scholar] [CrossRef]
- Petrón, M.J.; García-Regueiro, J.A.; Martín, L.; Muriel, E.; Antequera, T. Identification and quantification of cholesterol and cholesterol oxidation products in different types of Iberian hams. J. Agric. Food Chem. 2003, 51, 5786–5791. [Google Scholar] [CrossRef]
- Bekhit, A.E.-D.A.; Hopkins, D.L.; Fahri, F.T.; Ponnampalam, E.N. Oxidative processes in muscle systems and fresh meat: Sources, markers, and remedies. Compr. Rev. Food Sci. Food Saf. 2013, 12, 565–597. [Google Scholar] [CrossRef]
- Valko, M.; Rhodes, C.J.; Moncol, J.; Izakovic, M.; Mazur, M. Free radicals, metals and antioxidants in oxidative stress-induced cancer. Chem. Biol. Interact. 2006, 160, 1–40. [Google Scholar] [CrossRef]
- Baron, C.P.; Andersen, H.J. Myoglobin-induced lipid oxidation. A review. J. Agric. Food Chem. 2002, 50, 3887–3897. [Google Scholar] [CrossRef]
- Folkes, L.K.; Candeias, L.P.; Wardman, P. Kinetics and mechanisms of hypochlorous acid reactions. Arch. Biochem. Biophys. 1995, 323, 120–126. [Google Scholar] [CrossRef]
- Traber, M.G.; Kayden, H.J. Preferential incorporation of alpha-tocopherol vs. gamma-tocopherol in human lipoproteins. Am. J. Clin. Nutr. 1989, 49, 517–526. [Google Scholar] [CrossRef] [PubMed]
- Georgantelis, D.; Ambrosiadis, I.; Katikou, P.; Blekas, G.; Georgakis, S.A. Effect of rosemary extract, chitosan and α-tocopherol on microbiological parameters and lipid oxidation of fresh pork sausages stored at 4 °C. Meat Sci. 2007, 76, 172–181. [Google Scholar] [CrossRef] [PubMed]
- Decker, E.A.; Hultin, H.O. Nonenzymic catalysts of lipid oxidation in mackerel ordinary muscle. J. Food Sci. 1990, 55, 951–953. [Google Scholar] [CrossRef]
- Chan, K.M.; Decker, E.A.; Feustman, C. Endogenous skeletal muscle antioxidants. Crit. Rev. Food Sci. Nutr. 1994, 34, 403–426. [Google Scholar] [CrossRef] [PubMed]
- Lorenzo, J.M.; Munekata, P.E.S.; Baldin, J.C.; Franco, D.; Domínguez, R.; Trindade, M.A.; Tindade, M. The use of natural antioxidants to replace chemical antioxidants in foods. In Strategies for Obtaining Healthier Foods; Lorenzo, J.M., Carballo, F.J., Eds.; Nova Science Publishers: New York, NY, USA, 2017; pp. 205–228. ISBN 9781536121599. [Google Scholar]
- Saito, K.; Jin, D.-H.; Ogawa, T.; Muramoto, K.; Hatakeyama, E.; Yasuhara, T.; Nokihara, K. Antioxidative properties of tripeptide libraries prepared by the combinatorial chemistry. J. Agric. Food Chem. 2003, 51, 3668–3674. [Google Scholar] [CrossRef]
- Guiotto, A.; Calderan, A.; Ruzza, P.; Borin, G. Carnosine and Carnosine-Related Antioxidants: A Review. Curr. Med. Chem. 2005, 12, 2293–2315. [Google Scholar] [CrossRef] [PubMed]
- Sánchez-Escalante, A.; Djenane, D.; Torrescano, G.; Beltrán, J.A.; Roncalés, P. The effects of ascorbic acid, taurine, carnosine and rosemary powder on colour and lipid stability of beef patties packaged in modified atmosphere. Meat Sci. 2001, 58, 421–429. [Google Scholar] [CrossRef]
- Wu, H.C.; Shiau, C.Y.; Chen, H.M.; Chiou, T.K. Antioxidant activities of carnosine, anserine, some free amino acids and their combination. J. Food Drug Anal. 2003, 11, 148–153. [Google Scholar]
- Jongberg, S.; Carlsen, C.U.; Skibsted, L.H. Peptides as antioxidants and carbonyl quenchers in biological model systems. Free Radic. Res. 2009, 43, 932–942. [Google Scholar] [CrossRef]
- Bekhit, A.; Geesink, G.; Illian, M.; Morton, J.; Sedcole, J.; Bickerstaffe, R. Pro-oxidant effects of carnosine, quercetin and rutin on the oxidative processes and metmyoglobin reducing activity in beef patties. Eur. Food Res. Technol. 2004, 218, 507–514. [Google Scholar] [CrossRef]
- Bekhit, A.E.; Geesink, G.; Ilian, M.; Morton, J.; Bickerstaffe, R. The effects of natural antioxidants on oxidative processes and metmyoglobin reducing activity in beef patties. Food Chem. 2003, 81, 175–187. [Google Scholar] [CrossRef]
- Galaris, D.; Cadenas, E.; Hochstein, P. Glutathione-dependent reduction of peroxides during ferryl- and met-myoglobin interconversion: A potential protective mechanism in muscle. Free Radic. Biol. Med. 1989, 6, 473–478. [Google Scholar] [CrossRef]
- Beutler, E. Nutritional and metabolic aspects of glutathione. Annu. Rev. Nutr. 1989, 9, 287–302. [Google Scholar] [CrossRef] [PubMed]
- Gong, Y.; Parker, R.S.; Richards, M.P. Factors affecting lipid oxidation in breast and thigh muscle from chicken, turkey and duck. J. Food Biochem. 2010, 34, 869–885. [Google Scholar] [CrossRef]
- Saeed, S.; Howell, N.K. Effect of lipid oxidation and frozen storage on muscle proteins of Atlantic mackerel (Scomber scombrus). J. Sci. Food Agric. 2002, 82, 579–586. [Google Scholar] [CrossRef]
- Thanonkaew, A.; Benjakul, S.; Visessanguan, W.; Decker, E.A. The effect of metal ions on lipid oxidation, colour and physicochemical properties of cuttlefish (Sepia pharaonis) subjected to multiple freeze—Thaw cycles. Food Chem. 2006, 95, 591–599. [Google Scholar] [CrossRef]
- Benjakul, S.; Bauer, F. Biochemical and physicochemical changes in catfish (Silurus glanis L.) muscle as influenced by different freeze—Thaw cycles. Food Chem. 2001, 72, 207–217. [Google Scholar] [CrossRef]
- Hansen, E.; Juncher, D.; Henckel, P.; Karlsson, A.; Bertelsen, G.; Skibsted, L.H. Oxidative stability of chilled pork chops following long term freeze storage. Meat Sci. 2004, 68, 479–484. [Google Scholar] [CrossRef]
- Leygonie, C.; Britz, T.J.; Hoffman, L.C. Impact of freezing and thawing on the quality of meat: Review. Meat Sci. 2012, 91, 93–98. [Google Scholar] [CrossRef]
- John, L.; Cornforth, D.; Carpenter, C.E.; Sorheim, O.; Pettee, B.C.; Whittier, D.R. Color and thiobarbituric acid values of cooked top sirloin steaks packaged in modified atmospheres of 80% oxygen, or 0.4% carbon monoxide, or vacuum. Meat Sci. 2005, 69, 441–449. [Google Scholar] [CrossRef]
- Cayuela, J.M.; Gil, M.D.; Bañón, S.; Garrido, M.D. Effect of vacuum and modified atmosphere packaging on the quality of pork loin. Eur. Food Res. Technol. 2004, 219, 316–320. [Google Scholar] [CrossRef]
- Shahidi, F. Assessment of lipid oxidation and off-flavour development in meat, meat products and seafoods. In Flavor of Meat, Meat Products, and Seafoods; Shahidi, F., Ed.; Blackie Academic & Professional: London, UK, 1998; pp. 373–394. ISBN 9780751404845. [Google Scholar]
- Yang, X.; Boyle, R.A. Sensory evaluation of oils/fats and oil/fat–based foods. In Oxidative Stability and Shelf Life of Foods Containing Oils and Fats; Hu, M., Jacobsen, C., Eds.; Elsevier: Amsterdam, The Netherlands, 2016; pp. 157–185. [Google Scholar]
- Shahidi, F.; Wanasundara, U.N. Methods for measuring oxidative rancidity in fats and oils. In Food lipids: Chemistry, Nutrition, and Biotechnology; Akoh, C.C., Min, D.B., Eds.; Marcel Dekker, Inc.: New York, NY, USA, 2002; pp. 484–507. ISBN 9781498744850. [Google Scholar]
- Pateiro, M.; Lorenzo, J.M.; Amado, I.R.; Franco, D. Effect of addition of green tea, chestnut and grape extract on the shelf-life of pig liver pâté. Food Chem. 2014, 147, 386–394. [Google Scholar] [CrossRef]
- Agregán, R.; Franco, D.; Carballo, J.; Tomasevic, I.; Barba, F.J.; Gómez, B.; Muchenje, V.; Lorenzo, J.M. Shelf life study of healthy pork liver pâté with added seaweed extracts from Ascophyllum nodosum, Fucus vesiculosus and Bifurcaria bifurcata. Food Res. Int. 2018, 112, 400–411. [Google Scholar] [CrossRef]
- Madane, P.; Das, A.K.; Pateiro, M.; Nanda, P.K.; Bandyopadhyay, S.; Jagtap, P.; Barba, F.J.; Shewalkar, A.; Maity, B.; Lorenzo, J.M. Drumstick (Moringa oleifera) Flower as an Antioxidant Dietary Fibre in Chicken Meat Nuggets. Foods 2019, 8, 307. [Google Scholar] [CrossRef]
- Lorenzo, J.M.; Vargas, F.C.; Strozzi, I.; Pateiro, M.; Furtado, M.M.; Sant’Ana, A.S.; Rocchetti, G.; Barba, F.J.; Dominguez, R.; Lucini, L.; et al. Influence of pitanga leaf extracts on lipid and protein oxidation of pork burger during shelf-life. Food Res. Int. 2018, 114, 47–54. [Google Scholar] [CrossRef]
- Bis-souza, C.V.; Pateiro, M.; Domínguez, R.; Penna, A.L.B.; Lorenzo, J.M.; Silva, A.C. Impact of fructooligosaccharides and probiotic strains on the quality parameters of low-fat Spanish Salchichón. Meat Sci. 2019, 159, 107936. [Google Scholar] [CrossRef]
- Purriños, L.; Franco, D.; Carballo, J.; Lorenzo, J.M. Influence of the salting time on volatile compounds during the manufacture of dry-cured pork shoulder “lacón”. Meat Sci. 2012, 92, 627–634. [Google Scholar] [CrossRef]
- Osawa, C.C.; Gonçalves, L.A.G.; Ragazzi, S. Determination of hydroperoxides in oils and fats using kits. J. Sci. Food Agric. 2007, 87, 1659–1666. [Google Scholar] [CrossRef]
- Nuchi, C.; Guardiola, F.; Bou, R.; Bondioli, P.; Della Bella, L.; Codony, R. Assessment of the Levels of Degradation in Fat Co- and Byproducts for Feed Uses and Their Relationships with Some Lipid Composition Parameters. J. Agric. Food Chem. 2009, 57, 1952–1959. [Google Scholar] [CrossRef]
- Cardenia, V.; Rodriguez-Estrada, M.T.; Baldacci, E.; Savioli, S.; Lercker, G. Analysis of cholesterol oxidation products by Fast gas chromatography/mass spectrometry. J. Sep. Sci. 2012, 35, 424–430. [Google Scholar] [CrossRef]
- Chiu, C.W.; Kao, T.H.; Chen, B.H. Improved Analytical Method for Determination of Cholesterol-Oxidation Products in Meat and Animal Fat by QuEChERS Coupled with Gas Chromatography-Mass Spectrometry. J. Agric. Food Chem. 2018, 66, 3561–3571. [Google Scholar] [CrossRef] [PubMed]
- Chen, Y.C.; Chien, J.T.; Inbaraj, B.S.; Chen, B.H. Formation and inhibition of cholesterol oxidation products during marinating of pig feet. J. Agric. Food Chem. 2012, 60, 173–179. [Google Scholar] [CrossRef] [PubMed]
- Qian, Y.; Zhang, Y.; Wang, Z.; Yin, J.; Peng, Z.; Zhou, G. Determination of five cholesterol oxidation products in marinated pig feet and hocks by gas chromatography-mass spectrometry. Chin. J. Chromatogr. 2019, 37, 539–546. [Google Scholar] [CrossRef] [PubMed]
- Georgiou, C.A.; Constantinou, M.S.; Andreou, R.; Hapeshi, E.; Fatta-Kassinos, D.; Kapnissi-Christodoulou, C.P. Novel approach to fast determination of cholesterol oxidation products in Cypriot foodstuffs using ultra-performance liquid chromatography-tandem mass spectrometry. Electrophoresis 2016, 37, 1101–1108. [Google Scholar] [CrossRef] [PubMed]
- Jones, T. Methods and their applications for measuring and managing lipid oxidation: Meat, poultry, and seafood products. In Natural Antioxidants. Applications in Foods of Animal Origin; Banerjee, R., Verma, A.K., Siddiqui, M.W., Eds.; Apple Academic Press, Inc.: Boca Raton, FL, USA, 2017; pp. 203–260. ISBN 978-1-315-36591-6. [Google Scholar]
- Campo, M.M.; Nute, G.R.; Hughes, S.I.; Enser, M.; Wood, J.D.; Richardson, R.I. Flavour perception of oxidation in beef. Meat Sci. 2006, 72, 303–311. [Google Scholar] [CrossRef] [PubMed]
- Zhang, Y.; Holman, B.W.B.; Ponnampalam, E.N.; Kerr, M.G.; Bailes, K.L.; Kilgannon, A.K.; Collins, D.; Hopkins, D.L. Understanding beef flavour and overall liking traits using two different methods for determination of thiobarbituric acid reactive substance (TBARS). Meat Sci. 2019, 149, 114–119. [Google Scholar] [CrossRef] [PubMed]
- Bertolín, J.R.; Joy, M.; Blanco, M. Malondialdehyde determination in raw and processed meat products by UPLC-DAD and UPLC-FLD. Food Chem. 2019, 298, 125009. [Google Scholar] [CrossRef] [PubMed]
- Antequera, T.; López-Bote, C.J.; Córdoba, J.J.; García, C.; Asensio, M.A.; Ventanas, J.; García-Regueiro, J.A.; Díaz, I. Lipid oxidative changes in the processing of Iberian pig hams. Food Chem. 1992, 45, 105–110. [Google Scholar] [CrossRef]
- Lorenzo, J.M.; Bedia, M.; Bañón, S. Relationship between flavour deterioration and the volatile compound profile of semi-ripened sausage. Meat Sci. 2013, 93, 614–620. [Google Scholar] [CrossRef] [PubMed]
- Lorenzo, J.M. Influence of the type of fiber coating and extraction time on foal dry-cured loin volatile compounds extracted by solid-phase microextraction (SPME). Meat Sci. 2014, 96, 179–186. [Google Scholar] [CrossRef] [PubMed]
- Lorenzo, J.M.; Franco, D.; Carballo, J. Effect of the inclusion of chestnut in the finishing diet on volatile compounds during the manufacture of dry-cured “Lacón” from Celta pig breed. J. Integr. Agric. 2013, 12, 2002–2012. [Google Scholar] [CrossRef]
- Domínguez, R.; Gómez, M.; Fonseca, S.; Lorenzo, J.M. Influence of thermal treatment on formation of volatile compounds, cooking loss and lipid oxidation in foal meat. LWT Food Sci. Technol. 2014, 58, 439–445. [Google Scholar] [CrossRef]
- Domínguez, R.; Munekata, P.E.; Cittadini, A.; Lorenzo, J.M. Effect of the partial NaCl substitution by other chloride salts on the volatile profile during the ripening of dry-cured lacón. Grasas Y Aceites 2016, 67, 128. [Google Scholar]
- Pérez-Santaescolástica, C.; Carballo, J.; Fulladosa, E.; Garcia-Perez, J.V.; Benedito, J.; Lorenzo, J.M. Effect of proteolysis index level on instrumental adhesiveness, free amino acids content and volatile compounds profile of dry-cured ham. Food Res. Int. 2018, 107, 559–566. [Google Scholar] [CrossRef] [PubMed]
- Maggiolino, A.; Lorenzo, J.M.; Marino, R.; della Malva, A.; Centoducati, P.; De Palo, P. Foal meat volatile compounds: Effect of vacuum ageing on semimembranosus muscle. J. Sci. Food Agric. 2019, 99, 1660–1667. [Google Scholar] [CrossRef] [PubMed]
- Pateiro, M.; Barba, F.J.; Domínguez, R.; Sant’Ana, A.S.; Mousavi Khaneghah, A.; Gavahian, M.; Gómez, B.; Lorenzo, J.M. Essential oils as natural additives to prevent oxidation reactions in meat and meat products: A review. Food Res. Int. 2018, 113, 156–166. [Google Scholar] [CrossRef]
- Bueno, M.; Resconi, V.C.; Campo, M.M.; Ferreira, V.; Escudero, A. Development of a robust HS-SPME-GC-MS method for the analysis of solid food samples. Analysis of volatile compounds in fresh raw beef of differing lipid oxidation degrees. Food Chem. 2019, 281, 49–56. [Google Scholar] [CrossRef] [PubMed]





| Lipid Composition | Animal Source | |||||
|---|---|---|---|---|---|---|
| Beef | Chicken | Deer | Foal | Pig | Turkey | |
| Fat (%) | 0.75–2.80 | 0.10–2.49 | 0.05–0.34 | 0.15–0.67 | 2.00–3.24 | 0.38–4.24 |
| Fatty acids (g/100 g of fatty acids) | ||||||
| C14:0 | 1.47–3.01 | 0.46–0.87 | 0.81–3.16 | 1.19–2.78 | 1.35–1.50 | 1.18–1.57 |
| C14:1 | 0.65–1.21 | − | 0.07–1.06 | − | 0.06–0.24 | 0.24–0.32 |
| C15 | 0.27–0.35 | − | 0.30–0.52 | 4.14–6.70 | − | 0.18–0.24 |
| C16:0 | 21.70–24.82 | 21.32–27.57 | 12.73–19.13 | 21.18–24.17 | 23.92–25.07 | 22.3–23.9 |
| C16:1n-7 | 2.77–3.66 | 1.48–4.47 | 1.08–4.22 | 1.85–3.42 | 2.04–2.76 | 2.67–5.05 |
| C17:0 | 0.99–1.29 | − | 0.45–0.57 | 1.30–2.27 | 0.16–0.31 | 0.33–0.48 |
| C17:1n-7 | 0.88–1.07 | − | − | 1.15–1.66 | 0.16–0.24 | 0.32–0.55 |
| C18:0 | 10.49–14.51 | 7.13–10.40 | 14.40–16.01 | 6.02–7.28 | 12.48–13.75 | 9.0–11.0 |
| 11t–C18:1 | 2.96–6.18 | − | 0.50–0.57 | − | − | 0.75–1.12 |
| C18:1n-9 | 30.05–32.21 | 26.66–37.50 | 11.83–14.84 | 10.16–14.44 | 35.82–44.10 | 30.4–33.4 |
| C18:1n-7 | 1.67–2.28 | 1.86–2.71 | 1.91–2.33 | − | 2.82–3.23 | 1.96–2.34 |
| C18:2n-6 | 9.11–14.33 | 15.68–21.27 | 18.22–23.57 | 18.68–25.79 | 8.49–13.92 | 18.6–19.9 |
| C20:1n-9 | 0.16–0.17 | − | − | 0.04–0.25 | 0.70–0.93 | 0.27–0.34 |
| C18:3n-3 | 0.25–0.34 | 0.48–2.93 | 2.50–3.73 | 11.10–17.37 | 0.41–0.68 | 0.90–1.22 |
| C20:2n-6 | 0.08–0.14 | − | − | 0.32–0.39 | 0.40–0.59 | 0.20–0.25 |
| C20:3n-6 | 0.58–1.38 | 0.27–0.56 | 0.77–1.27 | 0.64–1.10 | 0.08–0.13 | 0.17–0.35 |
| C20:4n-6 | 2.28–5.50 | 2.10–10.91 | 9.06–10.74 | 4.26–6.44 | 0.66–1.83 | 1.36–3.82 |
| C20:5n-3 | 0.14–0.24 | − | 1.55–2.98 | 1.03–1.86 | − | 0.10–0.21 |
| C22:5n-6 | − | − | 1.71–2.09 | − | − | − |
| C22:5n-3 | 0.27–0.64 | 0.21–2.44 | 2.62–3.97 | − | − | 0.19–0.62 |
| C22:6n-3 | − | 0.29–2.36 | 0.57–0.97 | 0.70–1.25 | − | 0.29–0.93 |
| SFA | 35.24–44.09 | 31.89–35.65 | 30.41–38.21 | 37.93–40.56 | 38.39–41.07 | 34.8–36.4 |
| MUFA | 41.51–44.49 | 33.40–43.23 | 15.28–22.73 | 13.51–18.75 | 41.92–51.22 | 37.4–42.8 |
| PUFA | 12.80–23.07 | 19.78–33.84 | 37.55–50.05 | 40.68–48.14 | 10.39–17.01 | 22.3–27.5 |
| n-3 | 0.65–1.28 | 1.30–6.59 | 30.16–38.22 | 14.52–19.86 | 0.41–0.68 | 20.6–24.5 |
| n-6 | 11.92–21.59 | 18.46–27.71 | 7.23–11.66 | 23.59–32.73 | 9.79–16.81 | 1.83–2.88 |
| n-6/n-3 | 15.73–18.61 | 4.34–15.80 | 3.54–4.33 | 1.36–2.32 | 23.88–24.72 | 8.88–12.3 |
| Lipid Composition | Meat Product | |||||
|---|---|---|---|---|---|---|
| Chorizo | Ham | Lacón | Loin | Pâté | Salchichón | |
| Fat (%) | 17.7 | 3.7–5.2 | 4.0–4.7 | 13.3–13.9 | 18.23 | 22.5 |
| Fatty acids (g/100 g of fatty acids) | ||||||
| C10:0 | – | – | 0.14–0.18 | 0.04–0.05 | 0.04 | – |
| C12:0 | – | – | 0.06–0.18 | 0.04–0.05 | 0.06 | – |
| C14:0 | 2.53 | 1.25–1.84 | 1.35–1.73 | 1.09–1.21 | 1.32 | 1.26 |
| C16:0 | 25.71 | 21.9–23.5 | 20.4–24.1 | 23.4–24.4 | 20.61 | 22.17 |
| C16:1n-7 | 3.05 | 2.28–3.56 | 0.40–4.24 | 2.18–2.31 | 2.01 | 2.27 |
| C17:0 | 0.84 | 0.31–0.40 | 0.20–0.33 | 0.09–0.14 | 0.26 | 0.36 |
| C17:1n-7 | 0.53 | 0.29–0.39 | 0.23–0.38 | 0.11–0.17 | 0.25 | 0.26 |
| C18:0 | 14.72 | 11.3–15.0 | 7.46–13.9 | 11.0–12.2 | 10.50 | 11.10 |
| 9t-C18:1 | 0.53 | – | – | – | 0.30 | 0.34 |
| 11t-C18:1 | – | – | – | – | – | 0.14 |
| C18:1n-9 | 39.9 | 39.8–44.9 | 36.4–43.8 | 47.9–48.8 | 42.92 | 39.25 |
| C18:1n-7 | – | – | 3.41–3.52 | – | 3.20 | 2.98 |
| C18:2n-6 | 8.02 | 10.9–13.6 | 12.7–19.3 | 7.97–8.68 | 14.14 | 16.03 |
| C18:3n-3 | 1.19 | 0.74–1.13 | 0.59–1.53 | 0.31–0.34 | 0.98 | 0.83 |
| C20:0 | 0.08 | 0.20–0.22 | 0.66–0.95 | 0.03–0.07 | 0.21 | 0.17 |
| C20:1n-9 | – | 1.43–1.77 | 0.47–0.75 | 0.05 | 1.11 | 0.83 |
| C20:2n-6 | 0.32 | 0.85–1.07 | 0.06–0.50 | 0.24–0.34 | 0.86 | 0.65 |
| C20:4n-6 | – | 0.36–0.65 | 0.61–1.99 | 0.91–0.95 | 0.66 | 0.48 |
| C20:3n-3 | 0.08 | 0.17–0.27 | 0.16–0.33 | 0.03–0.06 | 0.22 | 0.13 |
| C20:5n-3 | – | – | 0.35–2.81 | 0.01–0.02 | – | – |
| C22:5n-3 | – | – | 0.11–0.32 | – | 0.14 | – |
| C22:6n-3 | – | – | 0.09–0.35 | – | – | – |
| SFA | 45.6 | 35.6–40.3 | 30.5–39.4 | 37.1–38.0 | 33.05 | 35.36 |
| MUFA | 44.3 | 43.8–50.7 | 44.0–48.8 | 50.4–51–5 | 49.84 | 46.05 |
| PUFA | 9.94 | 13.7–15.8 | 16.5–24.4 | 11.1–11.6 | 17.12 | 18.60 |
| n-3 | 1.82 | 0.98–1.40 | 1.05–2.11 | – | 1.34 | 1.14 |
| n-6 | 14.04 | 11.3–13.9 | 15.2–20.4 | – | 15.78 | 17.34 |
| n-6/n-3 | 7.71 | 8.88–14.2 | 9.89–13.3 | – | 11.69 | 15.44 |
| Lipid Oxidation Derived Compounds | Indicator | Method | Meat Product | Oxidation Values | Reference |
|---|---|---|---|---|---|
| Compounds from primary changes | Peroxides | Iodometric titration | Pork pâté | 3.80–10.99 meqO2/kg | [124] |
| Dry-cured loin | 16.2–20.3 meqO2/kg | [80] | |||
| FOX | Beef, chicken, lamb, pork | 20–40 mmol peroxides/kg meat lipid | [15] | ||
| Conjugated compounds | Dienes UV-vis (234 nm) | Pork pâté | 2.91 μmol/g | [125] | |
| Trienes UV-vis (268 nm) | Beef, chicken, lamb, pork | 0.19–0.24 μmol/g | [15] | ||
| COPs | GC–MS | Iberian hams | 57–71 µg/100 g | [94] | |
| Compounds from secondary changes | TBARs | UV-vis (532 nm) | Nuggets | 0.37–1.94 mg MDA/kg | [126] |
| Burgers | 0.18–3.89 mg MDA/kg | [33,127] | |||
| Spanish Salchichón | 0.35–0.45 mg MDA/kg | [128] | |||
| Dry-cured loin | 0.17–0.30 mg MDA/kg | [80] | |||
| Volatile compounds | SPME-GC/MS | Dry-cured loin |
| [24] | |
| Dry–cured ham |
| ||||
| Salchichón |
| ||||
| Dry-cured shoulder |
| ||||
| Chorizo |
| ||||
| Cecina |
| ||||
| Liver pâté |
| [124] | |||
| [56] | ||||
| DHS-GC/MS | Dry-cured lacón |
| [129] |
| Volatile Compounds | Oleic Acid | Linoleic Acid | Linolenic Acid |
|---|---|---|---|
| Hydrocarbons | Hexane | Butane | Ethane |
| Heptane | Pentane | Butene | |
| Octane | 1,3-Nonadiene | 2-Pentene | |
| Nonane | 3-Hexene | ||
| 1-Nonene | 1,3,6-Nonatriene | ||
| 1-Decene | |||
| Alcohols | Hexanol | Butanol | 2-Pentenol |
| Heptanol | Pentanol | 1,3,6-Nonatrienol | |
| Octanol | |||
| Nonanol | |||
| 1-Nonenol | |||
| Aldehydes | Hexanal | Butanal | Propanal |
| Heptanal | Pentanal | 2-Pentenal | |
| Octanal | Hexanal | 3-Hexenal | |
| Nonanal | 3-Nonenal | 2,4-Heptadienal | |
| Decanal | 2,4-Decadienal | 3,6-Nonadienal | |
| 2-Decenal | Formaldehyde | 2,4,7-Decatrienal | |
| 2-Undecanal | Formaldehyde | ||
| Formaldehyde | |||
| Acids | Hexanoic acid | Octanoic acid | Octanoic acid |
| Heptanoic acid | 9-Undecenoic acid | 9-Decenoic acid | |
| Octanoic acid | 9-Undecenoic acid | ||
| 8-Nonenoic acid | 9,11-Dodecadienoic acid | ||
| 9-Decenoic acid |
© 2019 by the authors. Licensee MDPI, Basel, Switzerland. This article is an open access article distributed under the terms and conditions of the Creative Commons Attribution (CC BY) license (http://creativecommons.org/licenses/by/4.0/).
Share and Cite
Domínguez, R.; Pateiro, M.; Gagaoua, M.; Barba, F.J.; Zhang, W.; Lorenzo, J.M. A Comprehensive Review on Lipid Oxidation in Meat and Meat Products. Antioxidants 2019, 8, 429. https://doi.org/10.3390/antiox8100429
Domínguez R, Pateiro M, Gagaoua M, Barba FJ, Zhang W, Lorenzo JM. A Comprehensive Review on Lipid Oxidation in Meat and Meat Products. Antioxidants. 2019; 8(10):429. https://doi.org/10.3390/antiox8100429
Chicago/Turabian StyleDomínguez, Rubén, Mirian Pateiro, Mohammed Gagaoua, Francisco J. Barba, Wangang Zhang, and José M. Lorenzo. 2019. "A Comprehensive Review on Lipid Oxidation in Meat and Meat Products" Antioxidants 8, no. 10: 429. https://doi.org/10.3390/antiox8100429
APA StyleDomínguez, R., Pateiro, M., Gagaoua, M., Barba, F. J., Zhang, W., & Lorenzo, J. M. (2019). A Comprehensive Review on Lipid Oxidation in Meat and Meat Products. Antioxidants, 8(10), 429. https://doi.org/10.3390/antiox8100429

