Batch Study, Equilibrium and Kinetics of Adsorption of Naphthalene Using Waste Tyre Rubber Granules
Abstract
:Introduction
Materials and Methods
Preparation of adsorbent
Preparation of adsorbate
- C1, concentration of standard solution (mg/L);
- V1, volume from standard solution in (mL);
- C2, required concentration in (mg/L);
- V2, volume of required solution (100 mL).
Analysis of naphthalene in aqueous solution
Batch adsorption equilibrium study
- qe and qt are the naphthalene concentrations in the solid phase at time t and equilibrium respectively;
- Co, Ct, and Ce are the initial concentration, the liquid-phase concentration at time t, and the equilibrium concentration of naphthalene, respectively;
- Vs is the volume of the aqueous solution and W is the mass of WTRG.
Results and Discussion
Characterization of waste tyre rubber granules
Effect of contact time on the adsorption of naphthalene by waste tyre rubber granules
Effect of initial naphthalene concentration on the adsorption of naphthalene by waste tyre rubber granules
Effect of adsorbent dosage on the adsorption of naphthalene by waste tyre rubber granules
Effect of adsorbent particle size the adsorption of naphthalene by waste tyre rubber granules
Effect of solution temperature the adsorption of naphthalene by waste tyre rubber granules
Modeling the kinetics of adsorption
Lagergren pseudo first-order kinetic model
- qe and qt are adsorption capacity at equilibrium and at time t, respectively (mg/g);
- k1 is the rate constant of pseudo first order adsorption (min–1).
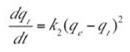
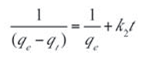
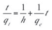
Pseudo second-order kinetic model
- k2 is the rate constant of the pseudo second order adsorption (g.mg–1.min–1).
Intra particle diffusion model
- Kp is the intra particle diffusion rate constant (mgg–1 min–1/2) and C is the intercept of the plot which is indicative of the boundary layer thickness. If the intercept is greater than zero, it indicates the existence of some boundary layer effect and shows that intra-particle diffusion is not the only rate-limiting step. This was indeed the case for the qt versus t1/2 plot presented in Figure 8. The calculated diffusion coefficient values are presented in Table 5.
Isotherm studies
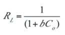
Langmuir isotherm
- qo is the maximum sorption capacity (mg/g) of the adsorbent while b is the sorption constant (L/mg) at a given temperature. A linear plot of Ce/qe against Ce as shown in Figure 9 was employed to obtain the values of qo and b from the slope and intercept of the plot respectively. The values of the Langmuir isotherm parameters as well as the correlation coefficient (R2) of the Langmuir equation for the adsorption of naphthalene by WTRG are given in Table 6. The values of these parameters were close to those reported by Agarry et al.[4] and Tsyntsarski et al.[41] for the adsorption of naphthalene by spent tea leaves and activated carbon produced from biomass and coal wastes respectively. The separation factor (RL) can be used to describe the characteristics of the Langmuir isotherm equation.[42,43] The value of this dimensionless constant defined in Equation (12) determines whether the adsorption process is favorable or otherwise.
- Co is the initial concentration of naphthalene. The dependence of the nature of adsorption on the value of RL is presented in Table 7.
Freundlich isotherm
- Kf and n are the Freundlich constants related to the adsorption capacity and adsorption intensity respectively. These parameters were determined respectively from the intercept and slope of the linear plot of ln qe against ln Ce at given experimental conditions as shown in Figure 10. Values of n between 1 and 10 represent favorable adsorption.[4] The values of these parameters as well as the correlation coefficient (R2) of the Freundlich equation for the adsorption of naphthalene by WTRG are given in Table 6. Values of Kf and n have been reported in the literature. Pal[44] reported Kf and n values of 0.3 and 1.12, 0.025 and 1.47 for the adsorption of naphthalene by sugarcane bagasse and rice husk respectively. Agarry et al.[4] reported Kf and n values 2.44 and 1.85 respectively.
Conclusions
- -
- Adsorption of naphthalene by WTRG is influenced by factors such as contact time, initial naphthalene concentration, adsorbent dosage, adsorbent particle size and solution temperature.
- -
- The equilibrium contact time was obtained as 60 min indicating a fast adsorption process.
- -
- A low temperature (5°C), small adsorbent particle size (0.212 mm) and higher adsorbent dosage favored the adsorption process with removal capacities of 19.99, 20 and 26.32 mg/g respectively.
- -
- The adsorption equilibrium data fitted well to the Langmuir isotherm equation indicating mono layer type adsorption.
- -
- The kinetics of the adsorption process was well described by the Lagergren pseudo-first order kinetic model.
- -
- This study has demonstrated that the low cost WTRG can be used for removal of naphthalene from aqueous solution.
Research highlights
Contributions
References
- Bamforth, S.M.; Singleton, I. Bioremediation of polycyclic aromatic hydrocarbons: current knowledge and future directions. J Chem Technol Biotechnol 2005, 80, 723–36. [Google Scholar] [CrossRef]
- Li, Z.; Mulholland, J.A.; Romanoff, L.C.; Pittman, E.N.; Trinidad, D.A.; Lewin, M.D.; et al. Assessment of non-occupational exposure to polycyclic aromatic hydrocarbons through personal air sampling and urinary biomonitoring. J Environ Monitor 2010, 12, 1110–8. [Google Scholar] [CrossRef]
- Wilson, N.K.; Chuang, J.C.; Lyu, C.; Menton, R.; Morgan, M.K. Aggregate exposures of nine preschool children to persistent organic pollutants at day care and at home. J Expo Sci Env Epid 2003, 13, 187–202. [Google Scholar] [CrossRef]
- Agarry, S.E.; Ogunleye, O.O.; Aworanti, O.A. Biosorption equilibrium, kinetic and thermodynamic modelling of naphthalene removal from aqueous solution onto modified spent tea leaves. Environ Technol 2013, 34, 825–39. [Google Scholar] [CrossRef]
- US Environmental Protection Agency. Health effects assessment for naphthalene, EPA/540/1D86/ 014. Cincinnati, OH: Environmental Criteria and Assessment Office, Office of Health and Environmental Assessment, Office of Research and Development; 1986.
- Ania, C.O.; Cabal, B.; Pevida, C.; Arenillas, A.; Parra, J.B.; Rubiera, F.; et al. Removal of naphthalene from aqueous solution on chemically modified activated carbons. Water Res 2007, 41, 333–40. [Google Scholar] [CrossRef]
- Chang, C.F.; Chang, C.Y.; Chen, K.H.; Tsai, W.T.; Shie, J.L.; Chen, Y.H. Adsorption of naphthalene on zeolite from aqueous solution. J Colloid Interf Sci 2004, 277, 29–34. [Google Scholar] [CrossRef]
- Cooper, W.J.; Nickelsen, M.G.; Green, R.V.; Mezyk, S.P. The removal of naphthalene from aqueous solutions using high-energy electron beam irradiation. Radiat Phys Chem 2002, 65, 571–7. [Google Scholar] [CrossRef]
- Legube, B.; Guyon, S.; Sugimitsu, H.; Dore, M. Ozonation of naphthalene in aqueous solutioni: ozone consumption and ozonation products. Water Res WATRAG 1986, 20((2)). [Google Scholar]
- Ohno, T.; Tokieda, K.; Higashida, S.; Matsumura, M. Synergism between rutile and anatase TiO2 particles in photocatalytic oxidation of naphthalene. Appl Catal A General 2003, 244, 383–91. [Google Scholar] [CrossRef]
- Liu, Z.; Jacobson, A.M.; Luthy, R.G. Biodegradation of naphthalene in aqueous nonionic surfactant systems. Appl Environ Microb 1995, 61, 145–51. [Google Scholar] [CrossRef]
- Alamo-Nole, L.A.; Perales-Perez, O.; RomanVelazquez, F.R. Sorption study of toluene and xylene in aqueous solutions by recycled tires crumb rubber. J Hazard Mater 2011, 185, 107–11. [Google Scholar] [CrossRef]
- Aisien, F.A.; Amenaghawon, N.A.; Akhidenor, S.A. Adsorption of ethylbenzene from aqueous solution using recycled rubber from scrap tyre. J Sci Res Rep 2013, 2, 497–12. [Google Scholar] [CrossRef]
- Aisien, F.A.; Hymore, F.K.; Ebewele, R.O. Application of ground scrap tyre rubbers in asphalt concrete pavement. Indian J Eng Mater S 2006, 13, 333–8. [Google Scholar]
- Mousavi, H.Z.; Hosseynefar, A.; Jaheed, V.; Dehghani, S.A. Removal of lead from aqueous solution using waste tyre rubber ash as adsorbent. Braz J Chem Eng 2010, 27, 79–87. [Google Scholar] [CrossRef]
- Gunasekara, A.S.; Donovan, J.A.; Xing, B. Ground discarded tires remove naphthalene, toluene, and mercury from water. Chemosphere 2000, 41, 1155–60. [Google Scholar] [CrossRef]
- Alam, M.J.B.; Chowdhuary, R.K.; Hasan, M.M.; Huda, A.; Sobhan, S. Study and simulation of competitive sorption of 2,4,-D and phenol on waste tire rubber granules. ARPN J Eng Appl Sci 2006, 1, 45. [Google Scholar]
- Kim, J.; Park, J.; Edil, T. Sorption of organic compounds in the aqueous phase onto tire rubber. J Environ Eng 1997, 123, 827–35. [Google Scholar] [CrossRef]
- Park, J.K.; Kim, J.Y.; Madsen, C.D.; Edil, T.B. Retardation of volatile organic compound movement by a soil-bentonite slurry cutoff wall amended with ground tires. Water Environ Res 1997, 69, 1022–31. [Google Scholar] [CrossRef]
- APHA-AWWA-WPCF Standard methods for the examination of water and wastewater. American Public Health Association: New York, NY, 1989.
- Lee, J.M.; Lee, J.S.; Kim, J.R.; Kim, S.D. Pyrolysis of waste tires with partial oxidation in a fluidized-bed reactor. Energy 1995, 20, 969–76. [Google Scholar] [CrossRef]
- Chang, Y.M. On pyrolysis of waste tire: degradation rate and product yields. Resour Conserv Recy 1996, 17, 125–39. [Google Scholar] [CrossRef]
- González, J.F.; Encinar, J.M.; Canito, J.L.; Rodrıguez, J.J. Pyrolysis of automobile tyre waste. Influence of operating variables and kinetics study. J Anal Appl Pyrol 2001, 58, 667–83. [Google Scholar] [CrossRef]
- Roy, C.; Darmstadt, H.; Benallal, B.; AmenChen, C. Characterization of naphtha and carbon black obtained by vacuum pyrolysis of polyisoprene rubber. Fuel Process Technol 1997, 50, 87–103. [Google Scholar] [CrossRef]
- Senneca, O.; Salatino, P.; Chirone, R. A fast heating-rate thermogravimetric study of the pyrolysis of scrap tyres. Fuel 1999, 78, 1575–81. [Google Scholar] [CrossRef]
- Agarry, S.E.; Aremu, M.O. Batch equilibrium and kinetic studies of simultaneous adsorption and biodegradation of naphthalene by orange peels immobilized Pseudomonas aeruginosa NCIB 950. J Bioremed Biodegrad 2012, 3, 138–41. [Google Scholar] [CrossRef]
- Mahvi, A.H.; Maleki, A.; Eslami, A. Potential of rice husk ash for phenol removal in aqueous systems. Am J Appl Sci 2004, 1, 321–26. [Google Scholar] [CrossRef]
- Alamo-Nole, L.A. Sorption of ethyl benzene, toluene and xylene onto crumb rubber from aqueous solutions. MSc Thesis, University of Puerto-Rico, 2006. [Google Scholar]
- Agarry, S.E.; Owabor, C.N. Evaluation of the adsorption potential of rubber (havea brasiliensis) seed pericarp-activated carbon in abattoir wastewater treatment and in the removal of iron (III) ions from aqueous solution. Niger J Technol 2012, 31, 346–58. [Google Scholar]
- Alade, A.O.; Amuda, O.S.; Afolabi, T.J.; Okoya, A.A. Adsorption of naphthalene onto activated carbons derived from milk bush kernel shell and flamboyant pod. J Environ Chem Ecotoxicol 2012, 4, 124–32. [Google Scholar]
- Nagda, G.K.; Diwan, A.M.; Ghole, V.S. Potential of tendu leaf refuse for phenol removal in aqueous system. Appl Ecol Environ Res 2007, 5, 1–9. [Google Scholar] [CrossRef]
- Nasuha, N.; Hameed, B.H.; Din, A.T.M. Rejected tea as a potential low cost adsorbent for the removal of methylene blue. J Hazard Mater 2010, 175, 126–32. [Google Scholar] [CrossRef]
- Zafar, M.N.; Nadeem, R.; Hanif, M.A. Biosorption of nickel from protonated rice bran. J Hazard Mater 2007, 143, 478–85. [Google Scholar] [CrossRef]
- Aisien, F.A.; Hymore, F.K.; Ebewele, R.O. Potential application of recycled rubber in oil pollution control. Indian J Eng Mater S 2002, 11, 179–90. [Google Scholar]
- Annadurai, G.; Rajesh, B.S.; Mahesh, K.P.O.; Murugesan, T. Adsorption and biodegradation of phenol by chitosan-immobilised pseudomonas putida. Bioprocess Eng 2000, 22, 493–501. [Google Scholar] [CrossRef]
- Smith, C.C.; Anderson, W.F.; Freewood, R.J. Evaluation of shredded tyre chips as sorption media for passive treatment walls. Eng Geol 2001, 60, 253–61. [Google Scholar] [CrossRef]
- Jadhav, D.N.; Vangara, A.K. Removal of phenol from wastewater using sawdust and sawdust carbon. Indian J Chem Techn 2004, 11, 35–45. [Google Scholar]
- Lagergren, S. Zur theorie der sogenannte, adsorption geloster stoffe, Kungliga Svenska vetenskaps akademiens. Handlingar 1898, 24, 1–39. [Google Scholar]
- Weber, W.J.; Morris, J.C. Kinetics of adsorption on carbon from solution. J Sanit Eng Div Am Soc Civil Eng 1963, 89, 31–60. [Google Scholar] [CrossRef]
- Langmuir, I. The adsorption of gases on plane surfaces of glass, mica and platinum. J Am Chem Soc 1914, 40, 361–8. [Google Scholar] [CrossRef]
- Tsyntsarski, B.; Petrova, B.; Budinova, T.; Petrov, N.; Velasco, L.; Ania, C.O. Characterization and application of activated carbon from biomass and coal wastes for naphthalene removal. Bulg Chem Comm 2011, 43, 552–7. [Google Scholar]
- Anirudhan, T.S.; Radhakrishnan, P.G. Thermodynamics and kinetics of adsorption of Cu (II) from aqueous solutions onto a new cation exchanger derived from tamarind fruit shell. J Chem Thermodyn 2008, 40, 702–9. [Google Scholar] [CrossRef]
- Ozcan, A.; Ozcan, A.S. Adsorption of acid red 57 from aqueous solutions onto surfactant modified sepiolite. J Hazard Mater 2005, 125, 252–9. [Google Scholar] [CrossRef]
- Pal, D. Adsorption of polycyclic aromatic hydrocarbons using agricultural wastes. Effect of lignin content, International Conference on Chemical, Ecology and Environmental Sciences (ICEES 2012), Bangkok, Thailand, 2012 March 17-18. [Google Scholar]


















© Copyright F.A. Aisien et al., 2014 Licensee PAGEPress, Italy. This work is licensed under a Creative Commons Attribution NonCommercial 3.0 License (CC BYNC 3.0).
Share and Cite
Aisien, F.A.; Amenaghawon, A.N.; Adinkwuye, A.I. Batch Study, Equilibrium and Kinetics of Adsorption of Naphthalene Using Waste Tyre Rubber Granules. J. Xenobiot. 2014, 4, 2264. https://doi.org/10.4081/xeno.2014.2264
Aisien FA, Amenaghawon AN, Adinkwuye AI. Batch Study, Equilibrium and Kinetics of Adsorption of Naphthalene Using Waste Tyre Rubber Granules. Journal of Xenobiotics. 2014; 4(1):2264. https://doi.org/10.4081/xeno.2014.2264
Chicago/Turabian StyleAisien, Felix A., Andrew N. Amenaghawon, and Albert I. Adinkwuye. 2014. "Batch Study, Equilibrium and Kinetics of Adsorption of Naphthalene Using Waste Tyre Rubber Granules" Journal of Xenobiotics 4, no. 1: 2264. https://doi.org/10.4081/xeno.2014.2264
APA StyleAisien, F. A., Amenaghawon, A. N., & Adinkwuye, A. I. (2014). Batch Study, Equilibrium and Kinetics of Adsorption of Naphthalene Using Waste Tyre Rubber Granules. Journal of Xenobiotics, 4(1), 2264. https://doi.org/10.4081/xeno.2014.2264