Kinetics and Equilibrium Studies for the Removal of Mn and Fe from Binary Metal Solution Systems Using a Romanian Thermally Activated Natural Zeolite
Abstract
1. Introduction
2. Materials and Methods
2.1. Thermal Activation of Natural Zeolite
2.2. Batch Sorption Experiments
2.3. Characterization of the Activated Zeolite Samples
3. Theoretical
3.1. Adsorption Isotherms
3.2. Kinetic Modeling
4. Results and Discussions
4.1. Zeolite Characterization
4.2. Sorption Behaviors of Metals in a Binary Metal Solution System
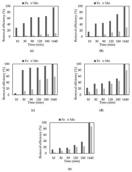
4.2.1. Influence of Thermally Treated NZ 200 Quantity
4.2.2. Influence of Particle Size
4.2.3. Influence of Activation Temperature on Zeolite Performance
4.3. Isotherm Modeling
4.4. Kinetic Modeling
5. Conclusions
Author Contributions
Funding
Conflicts of Interest
References
- Stanila, A.; Mihaiescu, T.; Socaciu, C.; Diaconeasa, Z. Removal of copper and lead ions from aqueous solution using brewer yeast as biosorbent. Rev. Chem. 2016, 67, 1276–1280. [Google Scholar]
- Marquez, A.; Millan, F.; Prato, J.G.; La Cruz, C. Cr(VI) ions adsorption on calcined adsorbent substrates with surface of variable charge chemically modified. Rev. Technol. Ing. Univ. Zulia. 2020, 43, 72–81. [Google Scholar]
- Grismer, M.E.; Collison, R.S. The Zeolite-Anammox Treatment Process for Nitrogen Removal from Wastewater—A Review. Water 2017, 9, 901. [Google Scholar] [CrossRef]
- Wasielewski, S.; Rott, E.; Minke, R.; Steinmetz, H. Evaluation of Different Clinoptilolite Zeolites as Adsorbent for Ammonium Removal from Highly Concentrated Synthetic Wastewater. Water 2018, 10, 584. [Google Scholar] [CrossRef]
- Sulaiman, K.O.; Sajid, M.; Alhooshani, K. Application of porous membrane bag enclosed alkaline treated Y-Zeolite for removal of heavy metal ions from water. Microchem. J. 2020, 152, 104289. [Google Scholar] [CrossRef]
- García-Mendieta, A.; Solache-Ríos, M.; Olguín, M.T. Evaluation of the sorption properties of a Mexican clinoptilolite-rich tuff for iron, manganese and iron–manganese systems. Micropor. Mesopor. Mater. 2009, 118, 489–495. [Google Scholar] [CrossRef]
- Liu, X.; Mäki-Arvela, P.; Aho, A.; Vajglova, Z.; Gun’ko, V.M.; Heinmaa, I.; Kumar, N.; Eränen, K.; Salmi, T.; Murzin, D.Y. Zeta Potential of Beta Zeolites: Influence of Structure, Acidity, pH, Temperature and Concentration. Molecules 2018, 23, 946. [Google Scholar] [CrossRef]
- Cadar, O.; Hoaghia, M.A.; Kovacs, E.; Senila, M.; Miu, I. Behavior of some clinoptilolite rich natural zeolites from Romania in simulated biological fluids. In Proceedings of the 19th SGEM International Multidisciplinary Scientific GeoConference, Albena, Bulgaria, 28 June–7 July 2019. [Google Scholar] [CrossRef]
- Senila, M.; Cadar, O.; Senila, L.; Hoaghia, A.; Miu, I. Mercury determination in natural zeolites by thermal decomposition atomic absorption spectrometry: Method validation in compliance with requirements for use as dietary supplements. Molecules 2019, 24, 4023. [Google Scholar] [CrossRef]
- De Souza, V.C.; Villarroel-Rocha, J.; De Araújo, M.J.G.; Sapag, K.; Pergher, S.B.C. Basic Treatment in Natural Clinoptilolite for Improvement of Physicochemical Properties. Minerals 2018, 8, 595. [Google Scholar] [CrossRef]
- Das, D.; Basak, G.; Lakshmi, V.; Das, N. Kinetics and equilibrium studies on removal of zinc (II) by untreated and anionic surfactant treated dead biomass of yeast: Batch and column mode. Biochem. Eng. J. 2012, 64, 30–47. [Google Scholar] [CrossRef]
- Wibowo, E.; Rokhmat, M.; Abdullah, M. Why does thermal shock produce smaller particles of zeolite? Powder Technol. 2016, 301, 911–919. [Google Scholar] [CrossRef]
- Chmielewská, E. Chapter 4—Natural zeolite: Alternative adsorbent in purification or post-treatment of waters. In Micro and Nano Technologies, Modified Clay and Zeolite Nanocomposite Materials; Mercurio, M., Sarkar, B., Langella, A., Eds.; Elsevier: Amsterdam, The Netherlands, 2019; pp. 87–112. [Google Scholar]
- Kogel, J.E.; Trivedi, N.; Barker, J.M.; Krukowski, S.T. Industrial Minerals and Rocks- Commodities, Markets, and Users, 7th ed.; Society for Mining, Metallurgy, and Exploration: New York, NY, USA, 2006; p. 1568. [Google Scholar]
- Duborska, E.; Urik, M.; Bujdos, M.; Matulova, M. Influence of physicochemical properties of various soil types on iodide and iodate sorption. Chemosphere 2019, 214, 168–175. [Google Scholar] [CrossRef] [PubMed]
- Farrag, A.E.H.A.; Moghny, T.A.; Mohamed, A.M.G.; Saleem, S.S.; Fathy, M. Abu Zenima synthetic zeolite for removing iron and manganese from Assiut governorate groundwater, Egypt. Appl. Water. Sci. 2017, 7, 3087–3094. [Google Scholar] [CrossRef]
- Vries, D.; Bertelkamp, C.; Schoonenberg Kegel, F.; Hofs, B.; Dusseldorp, J.; Bruins, J.H.; de Vet, W.; van den Akker, B. Iron and manganese removal: Recent advances in modelling treatment efficiency by rapid sand filtration. Water Res. 2017, 109, 35–45. [Google Scholar] [CrossRef]
- Damian, G.E.; Micle, V.; Sur, I.M. Lead and copper removal from multi-metal contaminated soils through soil washing technique using humic substances as washing agents: The influence of the washing solution pH. Stud. Univ. Babes Bolyai Chem. 2019, 64, 41–52. [Google Scholar] [CrossRef]
- Law No. 458/2002 Quality of Drinking Water—Republished in the Official Gazette of Romania, No. 875/2011. Available online: https://www.global-regulation.com/translation/romania/3756327/law-no.-458-of-8-july-2002-%2528republished%2529-on-the-quality-of-drinking-water.html (accessed on 5 June 2020).
- Adekola, F.A.; Hodonou, D.S.S.; Adegoke, H.I. Thermodynamic and kinetic studies of biosorption of iron and manganese from aqueous medium using rice husk ash. Appl. Water Sci. 2016, 6, 319–330. [Google Scholar] [CrossRef]
- Banerjee, S.; Chattopadhyaya, M.C. Adsorption characteristics for the removal of a toxic dye, tartrazine from aqueous solutions by a low cost agricultural by-product. Arab. J. Chem. 2017, 10, S1629–S1638. [Google Scholar] [CrossRef]
- Ekpete, O.A.; Marcus, A.C.; Osi, V. Preparation and Characterization of Acti-vated Carbon Obtained from Plantain (Musa paradisiaca) Fruit Stem. J. Chem. 2017, 2017, 8635615. [Google Scholar] [CrossRef]
- Langmuir, I. The constitution and fundamental properties of solids and liquids. J. Am. Chem. Soc. 1916, 38, 2221–2295. [Google Scholar] [CrossRef]
- Kallel, F.; Chaari, F.; Bouaziz, F.; Bettaieb, F.; Ghorbel, R.; Ellouz Chaabouni, S. Sorption and desorption characteristics for the removal of a toxic dye, methylene blue from aqueous solution by a low cost agricultural by-product. J. Mol. Liq. 2016, 219, 279–288. [Google Scholar] [CrossRef]
- Freundlich, H.M.F. Over the adsorption in solution. Z. Phys. Chem. 1906, 57, 385–470. [Google Scholar]
- Dubinin, M.M. The Potential Theory of Adsorption of Gases and Vapors for Adsorbents with Energetically Nonuniform Surfaces. Chem. Rev. 1960, 60, 235–241. [Google Scholar] [CrossRef]
- Deniz, F. Optimization of Biosorptive Removal of Dye from Aqueous System by Cone Shell of Calabrian Pine. Sci. World J. 2014, 2014, 138986. [Google Scholar] [CrossRef] [PubMed]
- Deniz, F.; Karaman, S. Removal of Basic Red 46 dye from aqueous solution by pine tree leaves. Chem. Eng. J. 2011, 170, 67–74. [Google Scholar] [CrossRef]
- Abatal, M.; Córdova Quiroz, A.V.; Olguín, M.T.; Vázquez-Olmos, A.R.; Vargas, J.; Anguebes-Franseschi, F.; Giácoman-Vallejos, G. Sorption of Pb (II) from Aqueous Solutions by Acid-Modified Clinoptilolite-Rich Tuffs with Different Si/Al Ratios. Appl. Sci. 2019, 9, 2415. [Google Scholar] [CrossRef]
- Ho, Y.S.; McKay, G. The Kinetics of Sorption of Divalent Metal Ions onto Sphagnum Moss Peat. Water Res. 2000, 34, 735–742. [Google Scholar] [CrossRef]
- Bish, D.; Boak, J. Clinoptilolite-heulandite nomenclature. Rev. Mineral. Geochem. 2001, 45, 207–216. [Google Scholar] [CrossRef]
- Jmayai, A.; Hermassi, M.; Alouani, R.; Cortina, J.L.; Hadj Amara, A.B. Characterization of natural Yemeni zeolites as powder sorbents for ammonium valorization from domestic waste water streams using high rate activated sludge processes. J. Chem. Technol. Biotechnol. 2018, 93, 1748–1756. [Google Scholar] [CrossRef]
- Hałas, P.; Kołodyńska, D.; Płaza, A.; Géca, M.; Hubicki, Z. Modified fly ash and zeolitesas an effective adsorbent for metal ions from aqueous solution. Adsorpt. Sci. Technol. 2017, 35, 519–533. [Google Scholar] [CrossRef]
- Inglezakis, V.J.; Doula, M.K.; Aggelatou, V.; Zorpas, A.A. Removal of iron and manganese from underground water by use of natural minerals in batch mode treat-ment. Desalin. Water Treat. 2010, 18, 341–346. [Google Scholar] [CrossRef]
- Baker, H.M.; Massadeh, A.M.; Younes, H.A. Natural Jordanian zeolite: Removal of heavy metal ions from water samples using column and batch methods. Environ. Monit. Assess. 2009, 157, 319–330. [Google Scholar] [CrossRef] [PubMed]
- Moazeni, M.; Parastar, S.; · Mahdavi, M.; Ebrahimi, A. Evaluation efficiency of Iranian natural zeolites and synthetic resin to removal of lead ions from aqueous solutions. Appl. Water Sci. 2020, 10, 60. [Google Scholar] [CrossRef]
- Waqas, M.; Nizami, A.S.; Aburiazaiza, A.S.; Barakat, M.A.; Asam, Z.Z.; Khattak, B.; Rashid, M.I. Untapped potential of zeolites in optimization of food waste composting. J. Environ. Manag. 2019, 241, 99–112. [Google Scholar] [CrossRef]
- Vistuba, J.P.; Coral, L.A.; Pizzolatti, B.S.; Vitali, L.; Nagel-Hassemer, M.E.; Lapolli, F.R.; Lobo-Recio, M.Á. Adsorption behaviour of the zeolite, Controll M.F. 574® in removing iron and manganese from natural water. Desalin. Water Treat. 2015, 55, 1523–1533. [Google Scholar] [CrossRef]
- Yousef, R.I.; El-Eswed, B.; Al-Muhtaseb, A.H. Adsorption characteristics of natural zeolites as solid adsorbents for phenol removal from aqueous solutions: Kinetics, mechanism, and thermodynamics studies. Chem. Eng. J. 2011, 171, 1143–1149. [Google Scholar] [CrossRef]
- João, J.J.; Satiro Júnior, W.; Vieira, J.L. Use of zeolite synthesized from coal ashl from Santa Catarina for removal of iron, manganese and methylene blue dye in water. Rev. Ambiente Água 2018, 13, e2224. [Google Scholar] [CrossRef][Green Version]
- Kwakye-Awuah, B.; Sefa-Ntiri, B.; Von-Kiti, E.; Nkrumah, I.; Williams, C. Adsorptive Removal of Iron and Manganese from Groundwater Samples in Ghana by Zeolite Y Synthe-sized from Bauxite and Kaolin. Water 2019, 11, 1912. [Google Scholar] [CrossRef]



| Chemical Elements | NZ 200 (wt. %) | NZA 250 (wt. %) | NZA 550 (wt. %) |
|---|---|---|---|
| O | 60.4 | 61.2 | 63.9 |
| Si | 24.4 | 24.0 | 24.9 |
| Al | 5.2 | 5.1 | 5.4 |
| Ca | 2.0 | 1.8 | 1.8 |
| K | 2.1 | 2.2 | 2.3 |
| Fe | 0.9 | 0.8 | 0.6 |
| Mg | 0.8 | 0.7 | 0.6 |
| Na | 0.5 | 0.6 | 0.5 |
| Others | 3.7 | 3.6 | n.d. |
| Characteristics | ||||
|---|---|---|---|---|
| Adsorbent | Particle Size (mm) | pH | Apparent Density (kg/m3) | pHpzc |
| NZ 200 | <0.5 | 8.95 | 676 | 8.9 |
| 0.5–1.25 | 9.21 | 862 | 8.4 | |
| 2–3 | 9.39 | 893 | 8.1 | |
| NZA 250 | <0.5 | 8.55 | 676 | 8.7 |
| 0.5–1.25 | 7.97 | 909 | 6.9 | |
| 2–3 | 7.71 | 926 | 6.8 | |
| NZA 550 | <0.5 | 7.93 | 674 | 8.7 |
| 0.5–1.25 | 7.90 | 877 | 8.4 | |
| 2–3 | 7.58 | 909 | 8.1 | |
| Adsorbent | Initial Concentration (mg/L) | Removal Efficiency (%) | Reference | |||
|---|---|---|---|---|---|---|
| Fe | Mn | Fe | Mn | |||
| Single solution | Controll M.F. 574 | 0.322 | 0.123 | 74 | 66 | [38] |
| 3004Na–X–CS | 20 120 | 30 80 | 93.94 12.42 | 75.95 7.9 | [33] | |
| Vermiculite | 1.5 | 0.5 | 88–94 | 65–100 | [34] | |
| Clinoptilolite | 1.5 | 0.5 | 22–90 | 61–100 | [34] | |
| Zeolite-4A | 600 | 1000 | 98 | 100 | [16] | |
| Mexican zeolitic tuff | - | - | 38.8 | 12.9 | [6] | |
| Binary metal solution | NZ 200 | 15 | 5 | 84–98 | 76–84 | Present study |
| NZA 250 | 15 | 5 | 94–98 | 89–100 | ||
| NZA 550 | 15 | 5 | 85–100 | 72–96 | ||
| Model | Parameters | Units | Fe | Mn |
|---|---|---|---|---|
| Langmuir | qmax | mg/g | 6.13 | 0.86 |
| KL | L/mg | 17.92 | 0.56 | |
| R2 | - | 0.9768 | 0.9726 | |
| RL | - | 0.001 | 0.07 | |
| Freundlich | n | - | 2.86 | 5.19 |
| KF | L/mg | 6.04 | 2.20 | |
| R2 | - | 0.9450 | 0.9188 | |
| Dubinin–Radushkevich | β | mol2/kJ2 | 2·10−9 | 2·10−9 |
| EL | kJ/mol | 15.81 | 15.81 | |
| R2 | - | 0.9445 | 0.929 |
| Model | Parameters | Zeolite Quantity | |||||
|---|---|---|---|---|---|---|---|
| Pseudo-first-order | q (g) | 0.5 | 1 | 2 | 3 | 4 | |
| k1·10−3 | Fe | 4.9 | 5.9 | 12.9 | 3.2 | 1.9 | |
| (1/min) | Mn | 3.4 | 4.6 | 12.1 | 4.0 | 1.6 | |
| qe (calc) | Fe | 5.38 | 3.64 | 1.19 | 1.23 | 1.03 | |
| (mg/g) | Mn | 1.35 | 1.31 | 1.23 | 1.66 | 1.95 | |
| R2 | Fe | 0.8558 | 0.8689 | 0.7569 | 0.8016 | 0.9026 | |
| Mn | 0.9230 | 0.9614 | 0.8211 | 0.8962 | 0.9416 | ||
| Pseudo-second-order | q (g) | 0.5 | 1 | 2 | 3 | 4 | |
| k1·10−2 | Fe | 0.22 | 0.26 | 0.79 | 0.40 | 0.75 | |
| (g/mg·min) | Mn | 0.6 | 0.2 | 7.0 | 2.0 | 2.7 | |
| qe(calc) | Fe | 8.70 | 4.65 | 2.32 | 1.63 | 1.36 | |
| (mg/g) | Mn | 0.91 | 0.88 | 0.78 | 0.73 | 0.72 | |
| R2 | Fe | 0.9985 | 0.9966 | 0.9837 | 0.9924 | 0.9263 | |
| Mn | 0.9804 | 0.9871 | 0.9817 | 0.9795 | 0.9236 | ||
| qe(exp) | Fe | 8.42 | 4.41 | 2.22 | 1.48 | 1.13 | |
| (mg/g) | Mn | 0.82 | 0.75 | 0.73 | 0.66 | 0.53 | |
© 2020 by the authors. Licensee MDPI, Basel, Switzerland. This article is an open access article distributed under the terms and conditions of the Creative Commons Attribution (CC BY) license (http://creativecommons.org/licenses/by/4.0/).
Share and Cite
Neag, E.; Török, A.I.; Tanaselia, C.; Aschilean, I.; Senila, M. Kinetics and Equilibrium Studies for the Removal of Mn and Fe from Binary Metal Solution Systems Using a Romanian Thermally Activated Natural Zeolite. Water 2020, 12, 1614. https://doi.org/10.3390/w12061614
Neag E, Török AI, Tanaselia C, Aschilean I, Senila M. Kinetics and Equilibrium Studies for the Removal of Mn and Fe from Binary Metal Solution Systems Using a Romanian Thermally Activated Natural Zeolite. Water. 2020; 12(6):1614. https://doi.org/10.3390/w12061614
Chicago/Turabian StyleNeag, Emilia, Anamaria Iulia Török, Claudiu Tanaselia, Ioan Aschilean, and Marin Senila. 2020. "Kinetics and Equilibrium Studies for the Removal of Mn and Fe from Binary Metal Solution Systems Using a Romanian Thermally Activated Natural Zeolite" Water 12, no. 6: 1614. https://doi.org/10.3390/w12061614
APA StyleNeag, E., Török, A. I., Tanaselia, C., Aschilean, I., & Senila, M. (2020). Kinetics and Equilibrium Studies for the Removal of Mn and Fe from Binary Metal Solution Systems Using a Romanian Thermally Activated Natural Zeolite. Water, 12(6), 1614. https://doi.org/10.3390/w12061614

