Parametric Investigation of Corner Effect on Soil Nailed Walls and Prediction Using Machine Learning Methods
Abstract
1. Introduction
2. Machine Learning Methods
2.1. Artificial Neural Networks (ANNs)
2.2. Classifical and Regression Tree (CART)
2.3. XGBoost
2.4. SVR
3. Materials and Methods
3.1. Database of Soil Nailed Wall
3.2. Finite Element Model Presentation and Verification of the Model with Field Measurement Results
3.3. Method
3.4. Corner Effect (PSR)
4. Results and Discussion
4.1. Parametric Investigation
4.2. Effect of Excavation Pit Dimensions on PSR
4.3. Effects of Slope Angle (β), Wall Angle (α), Excavation Depth (H), Nail Length (L/H), and Distance from Corner (xH) on PSR
4.4. Correlation Analysis
5. Machine Learning Models
5.1. Hyperparameters Configuration
5.2. Performance Metrics
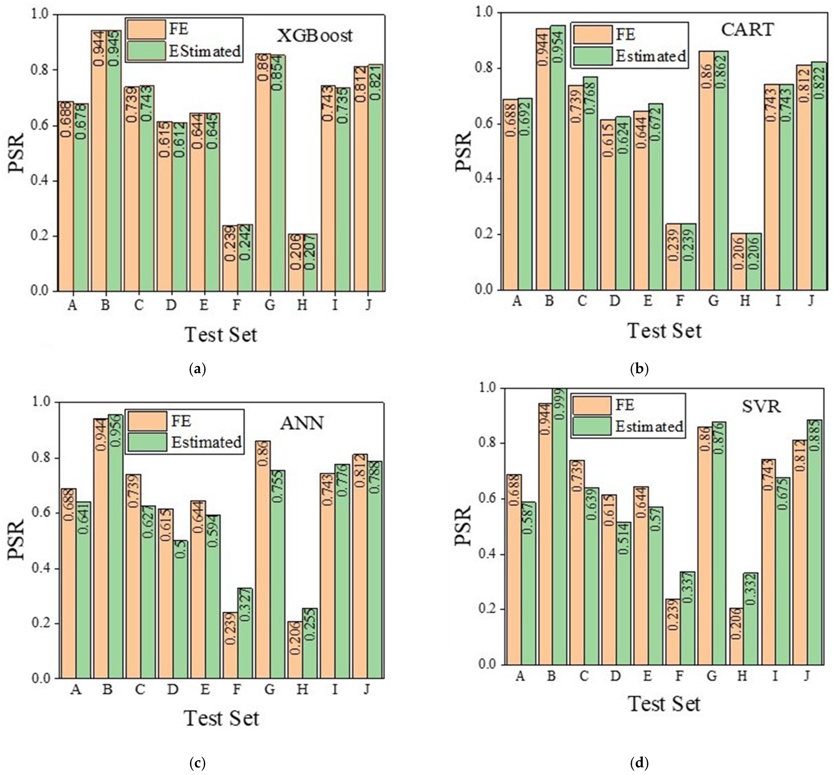
5.3. Evaluation of Machine Learning Model Prediction Performances
6. Conclusions
- It was observed that the secondary wall had no effect on the excavation pit dimensions in the nailed retaining systems (H = 10 m) used in hard clay soils. It was observed that the primary wall exhibited a greater corner effect, especially under conditions of short wall length (20 m). However, if the primary wall length was 40 m or longer, the plane–strain ratio (PSR) increase graphs were equal. The PSR value reached its maximum level at a distance of 3H from the corner;
- The corner effect increased with the increase in slope angle (β) and excavation depth (H), because these factors decreased the stiffness of the nailed wall. Conversely, increasing the nail length (L/H) and wall angle (α) increased the stiffness and decreased the corner effect;
- A very strong relationship was obtained between the plane–strain ratio (PSR) and the distance from the corner (xH) on the nailed wall, with a correlation coefficient of 0.83. This was followed by a negative relationship between PSR and the slope angle (β);
- Plane–strain ratio (PSR) prediction was performed using machine learning models and extreme gradient boosting (XGBoost), and classifical and regression tree (CART) achieved excellent performance results with an R2 value of 0.99. The predictions were compared with the results of the finite element analysis, and compatible predictions were obtained.
Author Contributions
Funding
Institutional Review Board Statement
Informed Consent Statement
Data Availability Statement
Acknowledgments
Conflicts of Interest
References
- Carder, D.R. Ground Movements Casued by Different Embedded Retaining Wall. Constructions Techniques; Transport Research Board, 1995. Available online: http://worldcat.org/issn/09684107 (accessed on 1 June 2024).
- Clarke, B.G.; Wroth, C.P. Analysis of Dunton Green Retaining Wall Based on Results of Pressuremeter Tests. Géotechnique 1984, 34, 549–561. [Google Scholar] [CrossRef]
- Ou, C.-Y.; Lai, C.-H. Finite-element analysis of deep excavation in layered sandy and clayey soil deposits. Can. Geotech. J. 1994, 31, 204–214. [Google Scholar] [CrossRef]
- Wong, I.H.; Poh, T.Y.; Chuah, H.L. Performance of excavations for depressed expressway in Singapore. J. Geotech. Geoenviron. Eng. 1997, 123, 617–625. [Google Scholar] [CrossRef]
- Byrne, R.J.; Cotton, D.; Porterfield, J.; Wolschlag, C.; Ueblacker, G. Manual for Design and Construction Monitoring of Soil Nail Wall; FHWA-SA-96-069R; Federal Highway Administration: Washington, DC, USA, 1998. Available online: https://rosap.ntl.bts.gov/view/dot/54082 (accessed on 2 June 2024).
- Clouterre. Recommendations Clouterre 1991: Soil Nailing Recommendations for Designing, Calculating, Constructing and Inspecting Earth Support Systems Using Soil Nailing, Federal Highway Administration Washington, 1991. Available online: https://ntrl.ntis.gov/NTRL/dashboard/searchResults/titleDetail/PB94109980.xhtml (accessed on 2 June 2024).
- Lazarte, C.A.; Elias, V.; Sabatini, P.J.; Espinoza, R.D. Federal Highway Administration. Office of Technology Applications Geotechnical Engineering Circular No. 7—Soil Nail Walls, Transportation Research Board, 2003. Available online: https://rosap.ntl.bts.gov/view/dot/50250 (accessed on 1 June 2024).
- Lazarte, C.A.; Robinson, H.; Gómez, J.E.; Baxter, A.; Cadden, A.; Berg, R. Geotechnical Engineering Circular No. 7 Soil Nail Walls Reference Manual, 7th ed.; Geotechnical Engineering Circular No. 7; Federal Highway Administration and National Highway Institute: Washington, DC, USA, 2015; NHI-14-007. Available online: https://www.fhwa.dot.gov/engineering/geotech/pubs/nhi14007.pdf (accessed on 1 June 2024).
- Phear, A.; Dew, C.; Ozsoy, B.; Wharmby, N.J.; Judge, J.; Barley, A.D. Soil Nailing—Best Practice Guidance; Critical Issue in Transportation for 2024 and Beyond, Transportation Research Board, 2005. Available online: http://worldcat.org/isbn/0860176371 (accessed on 1 June 2024).
- Esmaeili, F.; Varshosaz, M.; Saadatseresht, M. Displacement measurement of soil nail walls using close range photogrammetry. Procedia Eng. 2013, 54, 516–524. [Google Scholar] [CrossRef][Green Version]
- Jalota, S.; Tangri, A. Comparative study of various flexible facing materials for soil nailed slopes. Mater. Today Proc. 2021, 49, 2342–2347. [Google Scholar] [CrossRef]
- Rabie, M. Performance of hybrid MSE/soil nail walls using numerical analysis and limit equilibrium approaches. HBRC J. 2016, 12, 63–70. [Google Scholar] [CrossRef]
- Zhang, M.; Song, E.; Chen, Z. Ground movement analysis of soil nailing construction by three-dimensional (3-D) finite element modeling (FEM). Comput. Geotech. 1999, 25, 191–204. [Google Scholar] [CrossRef]
- Yuan, J.; Lin, P.; Huang, R.; Que, Y. Statistical evaluation and calibration of two methods for predicting nail loads of soil nail walls in China. Comput. Geotech. 2019, 108, 269–279. [Google Scholar] [CrossRef]
- Esmaeili, F.; Varshosaz, M.; Ebadi, H. Displacement measurement of the soil nail walls by using close range photogrammetry and introduction of CPDA method. Measurement 2013, 46, 3449–3459. [Google Scholar] [CrossRef]
- Fan, C.-C.; Luo, J.-H. Numerical study on the optimum layout of soil–nailed slopes. Comput. Geotech. 2008, 35, 585–599. [Google Scholar] [CrossRef]
- Zhou, Y.D.; Cheuk, C.Y.; Tham, L.G. Numerical modelling of soil nails in loose fill slope under surcharge loading. Comput. Geotech. 2009, 36, 837–850. [Google Scholar] [CrossRef]
- Zevgolis, I.E.; Daffas, Z.A. System reliability assessment of soil nail walls. Comput. Geotech. 2018, 98, 232–242. [Google Scholar] [CrossRef]
- Ghareh, S. Parametric assessment of soil-nailing retaining structures in cohesive and cohesionless soils. Measurement 2015, 73, 341–351. [Google Scholar] [CrossRef]
- Oliaei, M.; Norouzi, B.; Binesh, S.M. Evaluation of soil-nail pullout resistance using mesh-free method. Comput. Geotech. 2019, 116, 103179. [Google Scholar] [CrossRef]
- Rawat, S.; Gupta, A.K.; Kumar, A. Pullout of soil nail with circular discs: A three-dimensional finite element analysis. J. Rock Mech. Geotech. Eng. 2017, 9, 967–980. [Google Scholar] [CrossRef]
- Su, L.-J.; Yin, J.-H.; Zhou, W.-H. Influences of overburden pressure and soil dilation on soil nail pull-out resistance. Comput. Geotech. 2010, 37, 555–564. [Google Scholar] [CrossRef]
- Villalobos, S.A.; Villalobos, F.A. Effect of nail spacing on the global stability of soil nailed walls using limit equilibrium and finite element methods. Transp. Geotech. 2021, 26, 100454. [Google Scholar] [CrossRef]
- Mohamed, M.H.; Ahmed, M.; Mallick, J.; AlQadhi, S. Finite element modeling of the soil-nailing process in nailed-soil slopes. Appl. Sci. 2023, 13, 2139. [Google Scholar] [CrossRef]
- Ye, X.; Wang, S.; Wang, Q.; Sloan, S.W.; Sheng, D. Numerical and experimental studies of the mechanical behaviour for compaction grouted soil nails in sandy soil. Comput. Geotech. 2017, 90, 202–214. [Google Scholar] [CrossRef]
- Wei, W.B.; Cheng, Y.M. Soil nailed slope by strength reduction and limit equilibrium methods. Comput. Geotech. 2010, 37, 602–618. [Google Scholar] [CrossRef]
- Ou, C.-Y.; Chiou, D.-C.; Wu, T.-S. Three-dimensional finite element analysis of deep excavations. J. Geotech. Eng. 1996, 122, 337–345. [Google Scholar] [CrossRef]
- Hsiung, B.-C.B.; Yang, K.-H.; Aila, W.; Hung, C. Three-dimensional effects of a deep excavation on wall deflections in loose to medium dense sands. Comput. Geotech. 2016, 80, 138–151. [Google Scholar] [CrossRef]
- Zad, A.; Farnegin, M. Three Dimensional Analysis of Corner Effects of Deep Excavations Using Soil Nailing Method. International Society for Soil Mechanics and Geotechnical Engineering, 2017. Available online: https://www.issmge.org/uploads/publications/1/45/06-technical-committee-11-tc205-22.pdf (accessed on 1 June 2024).
- Liu, L.; Wu, R.; Congress, S.S.C.; Du, Q.; Cai, G.; Li, Z. Design optimization of the soil nail wall-retaining pile-anchor cable supporting system in a large-scale deep foundation pit. Acta Geotech. 2021, 16, 2251–2274. [Google Scholar] [CrossRef]
- Chen, Y.; Xu, Y.; Jamhiri, B.; Wang, L.; Li, T. Predicting uniaxial tensile strength of expansive soil with ensemble learning methods. Comput. Geotech. 2022, 150, 104904. [Google Scholar] [CrossRef]
- Ebid, A.M. 35 years of (AI) in geotechnical engineering: State of the srt. Geotech. Geol. Eng. 2021, 39, 637–690. [Google Scholar] [CrossRef]
- Benayoun, F.; Boumezerane, D.; Bekkouche, S.R. Techniques for optimizing parameters of soil nailed vertical cut. Sel. Sci. Pap. J. Civ. Eng. 2021, 16, 131–145. [Google Scholar] [CrossRef]
- Ghaemi, A.; Karimi Dehnavi, M.; Khoshraftar, Z. Exploring artificial neural network approach and RSM modeling in the prediction of CO2 capture using carbon molecular sieves. Case Stud. Chem. Environ. Eng. 2023, 7, 100310. [Google Scholar] [CrossRef]
- Hebb, D.O. The Organization of Behavior: A Neuropsychological Theory, 1st ed.; Psychology Press: New York, NY, USA, 1949; ISBN 978-1-4106-1240-3. Available online: https://www.academia.edu/2279394/The_organization_of_behavior_a_neuropsychological_theory (accessed on 1 June 2024).
- Hopfield, J.J. Neural networks and physical systems with emergent collective computational abilities. Proc. Natl. Acad. Sci. USA 1982, 79, 2554–2558. [Google Scholar] [CrossRef]
- Widrow, B.; Winter, R.; Baxter, R.A. Learning Phenomena in Layered Neural Networks. In Proceedings of the IEEE First Annual International Conference on Neural Networks, San Diego, CA, USA, 21–24 June 1987. [Google Scholar]
- Ombres, L.; Aiello, M.A.; Cascardi, A.; Verre, S. Modeling of steel-reinforced grout composite system-to-concrete bond capacity using artificial neural networks. J. Compos. Constr. 2024, 28, 04024034. [Google Scholar] [CrossRef]
- Dietterich, T.G. Ensemble Methods in Machine Learning. In Proceedings of the Multiple Classifier Systems, Cagliari, Italy, 21–23 June 2000; Springer: Berlin/Heidelberg, Germany, 2000; pp. 1–15. Available online: https://dl.acm.org/doi/10.5555/648054.743935 (accessed on 1 June 2024).
- Isleem, H.F.; Zewudie, B.B.; Bahrami, A.; Kumar, R.; Xingchong, W.; Samui, P. Parametric investigation of rectangular CFRP-confined concrete columns reinforced by inner elliptical steel tubes using finite element and machine learning models. Heliyon 2024, 10, e23666. [Google Scholar] [CrossRef]
- Zhang, J.; Ma, G.; Huang, Y.; Sun, J.; Aslani, F.; Nener, B. Modelling uniaxial compressive strength of lightweight self-compacting concrete using random forest regression. Constr. Build. Mater. 2019, 210, 713–719. [Google Scholar] [CrossRef]
- Chen, T.; Guestrin, C. XGBoost: A Scalable Tree Boosting System. In Proceedings of the 22nd ACM SIGKDD International Conference on Knowledge Discovery and Data Mining, San Francisco, CA, USA, 13–17 August 2016; Association for Computing Machinery: New York, NY, USA, 2016. [Google Scholar] [CrossRef]
- El Ouadrhiri, F.; Adachi, A.; Mehdaoui, I.; Moussaoui, F.; Fouad, K.; Lhassani, A.; Chaouch, M.; Lahkimi, A. Optimization of hydrochar production from almond shells using response surface methodology, artificial neural network, support vector machine and XGBoost. Desalination Water Treat. 2024, 317, 100154. [Google Scholar] [CrossRef]
- Ing, E.; Su, W.; Schonlau, M.; Torun, N. Support vector machines and logistic regression to predict temporal artery biopsy outcomes. Can. J. Ophthalmol. 2019, 54, 116–118. [Google Scholar] [CrossRef] [PubMed]
- Kiangala, S.K.; Wang, Z. An Effective adaptive customization framework for small manufacturing plants using extreme gradient boosting-XGBoost and random forest ensemble learning algorithms in an industry 4.0 environment. Mach. Learn. Appl. 2021, 4, 100024. [Google Scholar] [CrossRef]
- Kumar, R.; Rai, B.; Samui, P. A comparative study of prediction of compressive strength of ultra-high performance concrete using soft computing technique. Struct. Concr. 2023, 24, 5538–5555. [Google Scholar] [CrossRef]
- Byvatov, E.; Schneider, G. Support vector machine applications in bioinformatics. Appl. Bioinform. 2003, 2, 67–77. Available online: https://pubmed.ncbi.nlm.nih.gov/15130823/ (accessed on 1 June 2024). [PubMed]
- Vapnik, V.N. The Nature of Statistical Learning Theory; Springer: New York, NY, USA, 1995; p. 314. Available online: https://link.springer.com/book/10.1007/978-1-4757-3264-1 (accessed on 1 June 2024).
- El Bouchefry, K.; de Souza, R.S. Chapter 12—Learning in big data: Introduction to machine learning. In Knowledge Discovery in Big Data from Astronomy and Earth Observation; Skoda, P., Adam, F., Eds.; Elsevier: Amsterdam, The Netherlands, 2020; pp. 225–249. [Google Scholar] [CrossRef]
- Durgunoglu, H.T. Performance Evaluations of Soil Nailed Walls in Istanbul Graywatch-Case Anaysis. In Proceedings of the 6th International Conference on Case Histories in Geotechnical Engineering, Arlington, VA, USA, 11–16 August 2008; Available online: https://assets-global.website-files.com/63d0fcf37700711149421763/64a28870474cf5f87002311f_paperno59.pdf (accessed on 1 June 2024).
- Plaxis 2D Plaxis 2D Manual (Version 2023); Bentley Systems International Limited: Dublin, Ireland, 2023.
- Plaxis 3D Plaxis 3D Manual (Version 2023); Bentley Systems International Limited: Dublin, Ireland, 2023.
- Ou, C.-Y.; Shiau, B.-Y. Analysis of the corner effect on excavation behaviors. Can. Geotech. J. 1998, 35, 532–540. [Google Scholar] [CrossRef]
- Wu, C.-H.; Ou, C.-Y.; Tung, N. Corner effects in deep excavations-establishment of a forecast model for Taipei Basin T2 zone. J. Mar. Sci. Technol. 2010, 18, 1–11. [Google Scholar] [CrossRef]
- Whittle, A.J.; Hashash, Y.M.A.; Whitman, R.V. Analysis of deep excavation in Boston. J. Geotech. Eng. 1993, 119, 69–90. [Google Scholar] [CrossRef]
- Giger, M.W.; Krizek, R.J. Stability analysis of vertical cut with variable corner angle. Soils Found. 1975, 15, 63–71. [Google Scholar] [CrossRef]
- Tabur, S. A Study of Convex Corner Effects on Digging Pits. Master’s Thesis, Institute of Science, Istanbul Technical University, Istanbul, Turkey, 2014. Available online: http://hdl.handle.net/11527/13940 (accessed on 1 June 2024).
- Mohamed, A. Design Charts for Soil Nailing. Master’s Thesis, Faculty of Engineering-Shobra Benha University, New Benha, Egypt, 2010. Available online: https://www.researchgate.net/publication/294428581_Design_Charts_for_soil_Nailing/citations (accessed on 1 June 2024).
- Shekar, B.H.; Dagnew, G. Grid Search-Based Hyperparameter Tuning and Classification of Microarray Cancer Data. In Proceedings of the 2019 Second International Conference on Advanced Computational and Communication Paradigms (ICACCP), Gangtok, India, 25–28 February 2019. [Google Scholar] [CrossRef]
- Lorenzo, P.R.; Nalepa, J.; Kawulok, M.; Sanchez, L.; Ranilla, J. Particle Swarm Optimization for Hyper-Parameter Selection in Deep Neural Networks. In Proceedings of the GECCO’17: Proceedings of the Genetic and Evolutionary Computation Conference, New York, NY, USA, 1 July 2017; pp. 481–488. [Google Scholar] [CrossRef]
- Joseph, V.R. Optimal ratio for data splitting. Stat. Anal. Data Min. ASA Data Sci. J. 2022, 15, 531–538. [Google Scholar] [CrossRef]
- Amor, N.; Noman, M.T.; Petru, M. Prediction of functional properties of nano TiO2 coated cotton composites by artificial Neural network. Sci. Rep. 2021, 11, 12235. [Google Scholar] [CrossRef]

















| Soil Nailed Wall H (m) | Soil Nail Impact Area Sh × Sv (m2) | Soil Nailed Wall Angle α (°) | Soil Nail Angle ω (°) | Soil Nail Length L (m) | Nail Diameter D (mm) |
|---|---|---|---|---|---|
| 10.0 | 1.5 × 1.5 | 85 | 15 | 12 | 105 |
| Soil | Soil Model | Unit Volume Weight (kN/m3) | Friction Angle φ′ ° | Cohesion c (kPa) | E50ref kN/m2 | Eoedref kN/m2 | Eurref kN/m2 | vur | Rinter |
|---|---|---|---|---|---|---|---|---|---|
| Soil 1 | Hardening soil | 19 | 25 | 15 | 53,000 | 53,000 | 159,000 | 0.25 | 0.67 |
| FE | Soil Nail | E (kN/m2) | γ (kN/m3) | D (m) | Bond Strength (kPa) | Axial Skin Resistance | Tskin, Start, Max | Tskin, End, Max | Material |
|---|---|---|---|---|---|---|---|---|---|
| Plaxis 2D | Embedded Beam | 93.00 × 106 | 1 | 0.105 | 300 | Linear | 98.96 | 98.96 | Rock bolt, Rigid |
| Plaxis 3D | Embedded Beam | 93.00 × 106 | 1 | 0.105 | 300 | Linear | 98.96 | 98.96 | Rock bolt, Rigid |
| FE | Shotcrete | Material Type | γ (kN/m3) | d (m) | EA1 (kN/m) | E1 (kN/m2) | EI (kNm2/m) | V12 | Interface |
| Plaxis 2D | Plate | Elastic | 1.2 | 0.200 | 4.200 × 106 | 21.00 × 106 | 14.00 × 103 | 0.2 | Defined |
| Plaxis 3D | Plate | Elastic | 1.2 | 0.200 | - | 21.00 × 106 | - | 0.2 | Defined |
| Group 1 | Group 2 | Group 3 | Group 4 | Group 5 | |
|---|---|---|---|---|---|
| B1 = 2H | B2 = 4H | B3 = 6H | B4 = 8H | B5 = 10H | |
| L-1 | 2H | 2H | 2H | 2H | 2H |
| L-2 | 4H | 4H | 4H | 4H | 4H |
| L-3 | 6H | 6H | 6H | 6H | 6H |
| L-4 | 8H | 8H | 8H | 8H | 8H |
| L-5 | 10H | 10H | 10H | 10H | 10H |
| Correlation Coefficient | Description | Parameters |
|---|---|---|
| 0.80–1.00 | Very strong | PSR vs. xH |
| 0.60–0.79 | Strong | - |
| 0.40–0.59 | Moderate | - |
| 0.20–0.39 | Weak | PSR vs. β, β vs. H, β vs. L/H, |
| 0.00–0.19 | Very weak | L/H vs. xH, H vs. xH, α vs. L/H, α vs. H, β vs. α, PSR vs. α, H vs. L/H, PSR vs. H, PSR vs. L/H, β vs. xH, α vs. xH |
| ML | Parameters | Value |
|---|---|---|
| XGBoost | Number of estimator | 200 |
| Maximum depth | 5 | |
| Minimum child weight | 1 | |
| Learning rate | 0.1 | |
| SVR | Support vectors | 117 |
| Cost | 100 | |
| Epsilon | 0.1 | |
| Gamma | 0.01 | |
| Kernel | Radial basis functions | |
| CART | Max. depth | None |
| Min. samples leaf | 2 | |
| Min. samples split | 5 | |
| ANN | Hidden layer size | 2 |
| Neurons | 20 + 20 |
| No | Parameter | Equation |
|---|---|---|
| 1 | Coefficient of determination (R2) | |
| 2 | Mean absolute error (MAE) | |
| 3 | Root-mean-square error (RMSE) |
| Indicator Models Used | MAE | RMSE | ||||
|---|---|---|---|---|---|---|
| Training | Test | Training | Test | Training | Test | |
| ANN | 0.95 | 0.91 | 0.05 | 0.05 | 0.06 | 0.07 |
| SVR | 0.92 | 0.91 | 0.05 | 0.06 | 0.06 | 0.07 |
| CART | 0.99 | 0.98 | 0.00 | 0.01 | 0.01 | 0.02 |
| XGBoost | 0.99 | 0.99 | 0.00 | 0.01 | 0.00 | 0.01 |
| Features | A | B | C | D | E | F | G | H | I | J |
|---|---|---|---|---|---|---|---|---|---|---|
| Slope angle | 0 | 0 | 0 | 10 | 34 | 0 | 0 | 10 | 10 | 20 |
| Nailed wall angle | 0 | 0 | 10 | 10 | 5 | 10 | 5 | 0 | 5 | 0 |
| Excavation depth | 16 | 28 | 25 | 28 | 13 | 19 | 16 | 22 | 28 | 13 |
| Nail length | 1.00 | 1.25 | 0.75 | 0.75 | 1.25 | 0.50 | 0.75 | 1.25 | 1.25 | 1.25 |
| Distance from the corner | 0.5 | 2.0 | 0.5 | 0.5 | 1.5 | 0.0 | 1.0 | 0.0 | 1.0 | 2.5 |
Disclaimer/Publisher’s Note: The statements, opinions and data contained in all publications are solely those of the individual author(s) and contributor(s) and not of MDPI and/or the editor(s). MDPI and/or the editor(s) disclaim responsibility for any injury to people or property resulting from any ideas, methods, instructions or products referred to in the content. |
© 2024 by the authors. Licensee MDPI, Basel, Switzerland. This article is an open access article distributed under the terms and conditions of the Creative Commons Attribution (CC BY) license (https://creativecommons.org/licenses/by/4.0/).
Share and Cite
Poyraz, S.; Vural, İ. Parametric Investigation of Corner Effect on Soil Nailed Walls and Prediction Using Machine Learning Methods. Appl. Sci. 2024, 14, 7331. https://doi.org/10.3390/app14167331
Poyraz S, Vural İ. Parametric Investigation of Corner Effect on Soil Nailed Walls and Prediction Using Machine Learning Methods. Applied Sciences. 2024; 14(16):7331. https://doi.org/10.3390/app14167331
Chicago/Turabian StylePoyraz, Semiha, and İsa Vural. 2024. "Parametric Investigation of Corner Effect on Soil Nailed Walls and Prediction Using Machine Learning Methods" Applied Sciences 14, no. 16: 7331. https://doi.org/10.3390/app14167331
APA StylePoyraz, S., & Vural, İ. (2024). Parametric Investigation of Corner Effect on Soil Nailed Walls and Prediction Using Machine Learning Methods. Applied Sciences, 14(16), 7331. https://doi.org/10.3390/app14167331

