Process Optimization for Antarctic Krill (Euphausia superba) Sauce Based on Back Propagation Neural Network Combined with Genetic Algorithm
Abstract
1. Introduction
2. Materials and Methods
2.1. Materials and Reagents
2.2. AkS Preparation
2.3. Optimization of Preparation Conditions for AkS
2.3.1. Single-Factor Experimental Design
2.3.2. Training and Fitting of BP Neural Networks
2.3.3. GA Optimization Design
2.4. Color Determination
2.5. Sensory Evaluation
2.6. Nutritional Indicator Determination
2.7. Oxidative Stability of AkS
2.8. Microbiological Detection of AkS
2.9. Statistical Analysis
3. Results
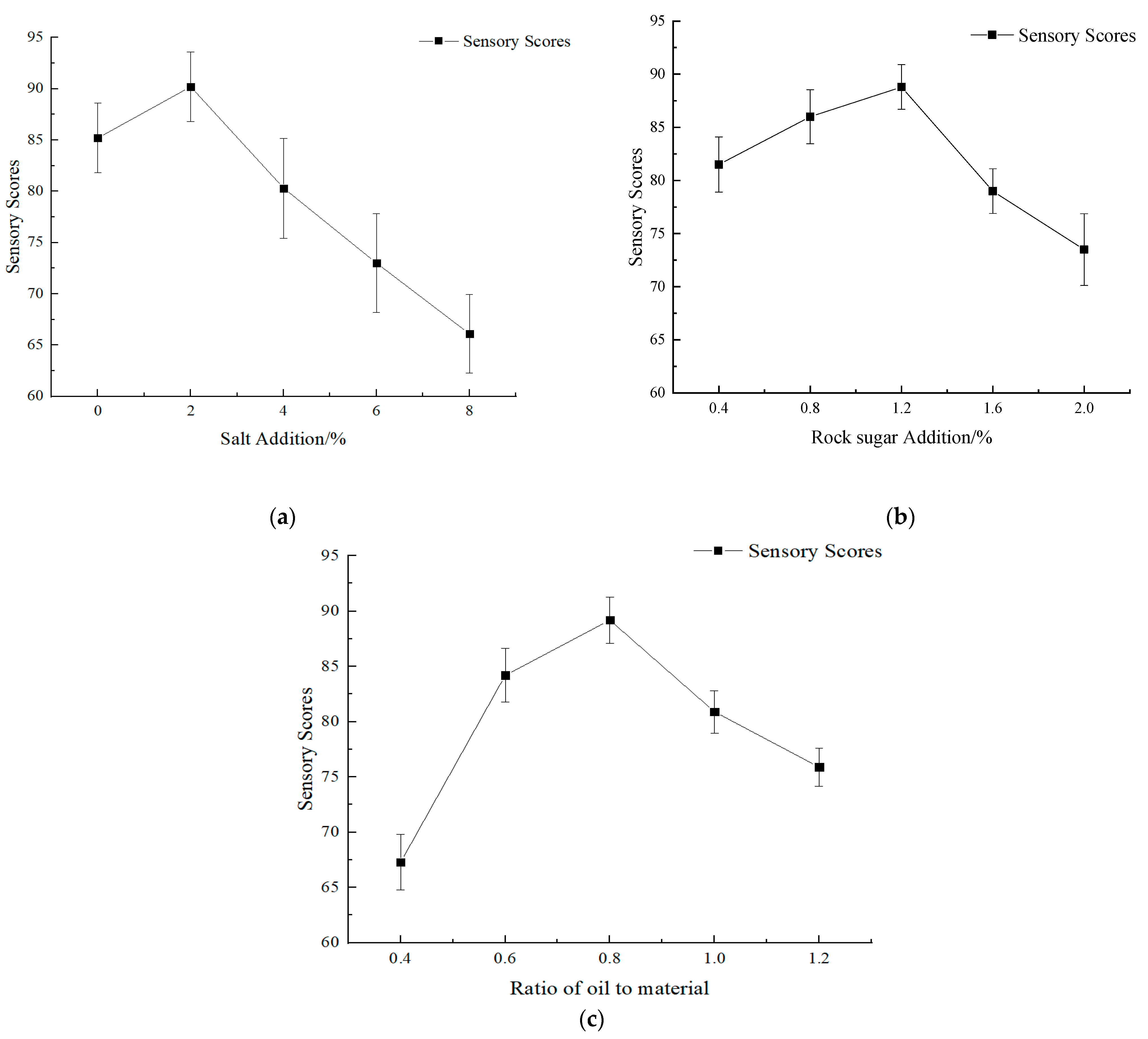
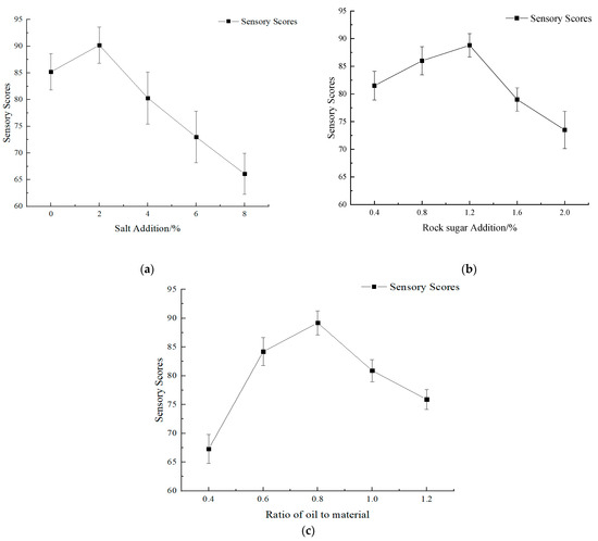
3.1. Single-Factor Analysis
3.2. Color Detection
3.3. Optimization of AkS by Response Surface Method
3.3.1. Analysis of Response Surface Model
3.3.2. Interaction Effects of Different Factors on Response Variables
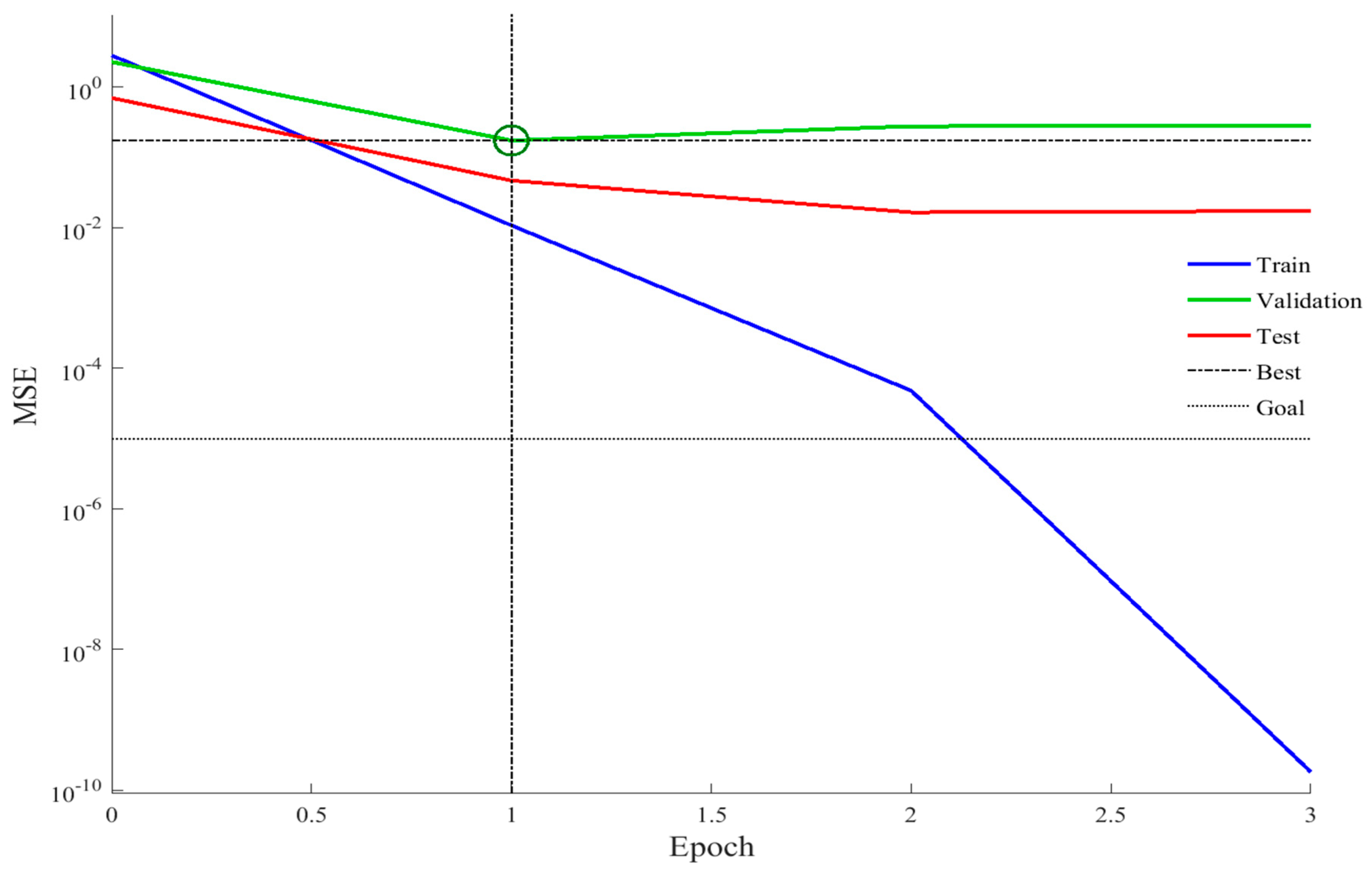
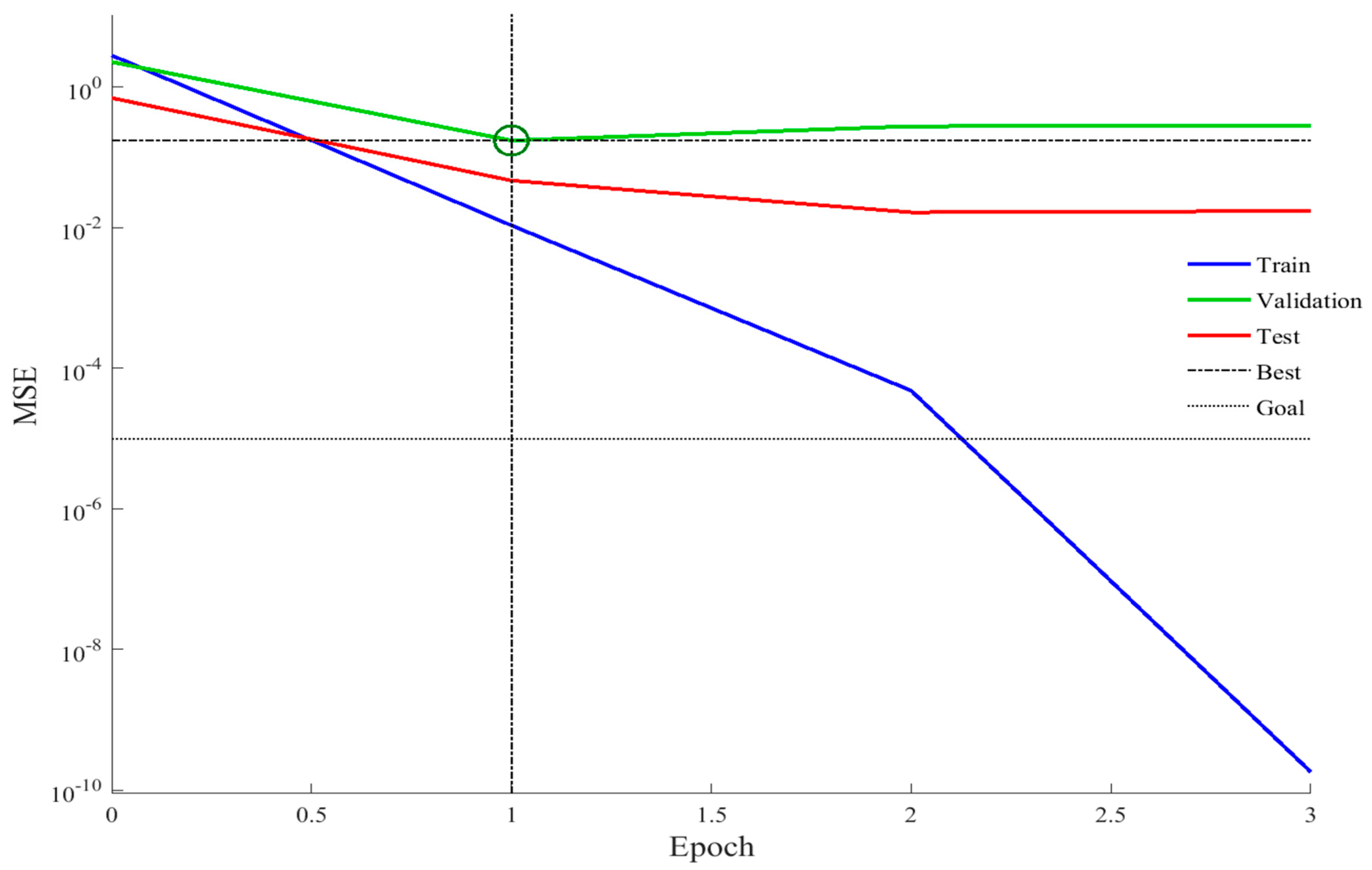
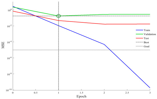
3.4. BP Neural Networks Established
3.5. Data Detection with BP Neural Networks
3.6. GA Optimization
3.7. Testing of Nutritional Indicators and Sensory Evaluation Detection
3.8. Oxidative Stability Analysis of AkS
3.9. Microbiological Detection
4. Discussion
5. Conclusions
Supplementary Materials
Author Contributions
Funding
Data Availability Statement
Conflicts of Interest
References
- Yang, X.; Shi, Y.; Cai, Y.; Chi, H. Quality changes and safety evaluation of ready-to-eat roasted Antarctic krill (Euphausia superba) during storage at room temperature (25 °C). J. Ocean. Univ. China 2023, 22, 235–241. [Google Scholar] [CrossRef]
- Chi, H.; Zhang, Y.; Zhao, L.; Lin, N.; Kang, W. Quality Analysis and Shelf-Life Prediction of Antarctic Krill (Euphausia superba) Sauce Based on Kinetic Model and Back Propagation Neural Network Model. J. Food Process. Preserv. 2024, 1, 4506851. [Google Scholar] [CrossRef]
- Suzuki, T.; Shibata, N. The utilization of Antarctic krill for human food. Food Rev. Int. 1990, 6, 119–147. [Google Scholar] [CrossRef]
- Nicol, S.; Foster, J.; Kawaguchi, S. The fishery for Antarctic krill-recent developments. Fish Fish. 2012, 13, 30–40. [Google Scholar] [CrossRef]
- Yoshitomi, B. Utilization of Antarctic krill for food and feed. Dev. Food Sci. 2004, 42, 45–54. [Google Scholar]
- Ge, M.; Chen, R.; Zhang, L.; Wang, Y.; Chi, C.; Wang, B. Novel Ca-Chelating Peptides from Protein Hydrolysate of Antarctic Krill (Euphausia superba): Preparation, Characterization, and Calcium Absorption Efficiency in Caco-2 Cell Monolayer Model. Mar. Drugs 2023, 21, 579. [Google Scholar] [CrossRef]
- Gigliotti, J.C.; Jaczynski, J.; Tou, J.C. Determination of the nutritional value, protein quality and safety of krill protein concentrate isolated using an isoelectric solubilization/precipitation technique. Food Chem. 2008, 111, 209–214. [Google Scholar] [CrossRef]
- Sun, R.; Liu, X.; Yu, Y.; Miao, J.; Leng, K.; Gao, H. Preparation process optimization, structural characterization and in vitro digestion stability analysis of Antarctic krill (Euphausia superba) peptides-zinc chelate. Food Chem. 2021, 340, 128056. [Google Scholar] [CrossRef] [PubMed]
- Khoshnoudi-Nia, S.; Moosavi-Nasab, M. Prediction of various freshness indicators in fish fillets by one multispectral imaging system. Sci. Rep. 2019, 9, 14704. [Google Scholar] [CrossRef]
- Fuchs, R.H.; Ribeiro, R.P.; Bona, E.; Matsushita, M. Development of a freeze-dried mixture of Nile tilapia (Oreochromis niloticus) croquette using a GA-based multiobjective optimisation. J. Sci. Food Agric. 2013, 93, 1042–1048. [Google Scholar] [CrossRef]
- Zhao, Z.; Zhang, Y.; Meng, H.; Li, W.; Wang, S. Identification and Optimization of a Novel Taxanes Extraction Process from Taxus cuspidata Needles by High-Intensity Pulsed Electric Field. Molecules 2022, 27, 3010. [Google Scholar] [CrossRef]
- Jacob, S.; Banerjee, R. Modeling and optimization of anaerobic codigestion of potato waste and aquatic weed by response surface methodology and artificial neural network coupled genetic algorithm. Bioresour. Technol. 2016, 214, 386–395. [Google Scholar] [CrossRef] [PubMed]
- Yin, F.; Mao, H.; Hua, L. A hybrid of back propagation neural network and genetic algorithm for optimization of injection molding process parameters. Mater. Des. 2011, 32, 3457–3464. [Google Scholar] [CrossRef]
- Adamczak, L.; Florowski, T.; Chmiel, M.; Pietrzak, D. Chemical Composition of Edible Ostrich Offal. J. Poult. Sci. 2017, 54, 326–330. [Google Scholar] [CrossRef][Green Version]
- Aberoumand, A. Preliminarily comparison of nutritional composition of some fresh and processed seafood. Pak. J. Biol. Sci. 2012, 15, 951–953. [Google Scholar] [CrossRef] [PubMed]
- Zhang, H.; Zhang, L.; Yang, X.; Cheng, W.; Huang, Y.; Liang, P. Oxidative stability of marine phospholipids derived from large yellow croaker roe. Food Res. Int. 2022, 160, 111743. [Google Scholar] [CrossRef]
- Jiang, L.; Zhang, B.; Liu, S.; Zhu, L.; Zhu, F. The MBS microbial rapid detection system for rapid detection of major pathogenic bacteria in feed: Comparison with plate counting method. BMC Microbiol. 2022, 22, 242. [Google Scholar] [CrossRef]
- GB/T 18867–2019; Determination of Coliforms in Feeds. Standards Press of China: Beijing, China, 2019.
- GB/T 13091–2018; Determination of Salmonella in Feeds. Standards Press of China: Beijing, China, 2018.
- GB/T 4789.10–2016; National Food Safety Standard Food Microbiological Examination: Staphylococcus aureus. Standards Press of China: Beijing, China, 2016.
- Xu, N.; Sun, Y.H.; Guo, X.L.; Liu, C.; Mao, Q.; Hou, J.M. Optimization of ultrasonic-microwave synergistic extraction of polysaccharides from Morchella conica. J. Food Process. Preserv. 2017, 42, e13423. [Google Scholar] [CrossRef]
- Schouteten, J.J.; Steur, H.D.; Pelsmaeker, S.D.; Lagast, S.; Juvinal, J.G.; Bourdeaudhuij, I.D. Emotional and sensory profiling of insect-, plant- and meat-based burgers under blind, expected and informed conditions. Food Qual. Prefer. 2016, 52, 27–31. [Google Scholar] [CrossRef]
- Pambo, K.O.; Okello, J.J.; Mbeche, R.M.; Kinyuru, J.N.; Alemu, M.H. The role of product information on consumer sensory evaluation, expectations, experiences and emotions of cricket-flour-containing buns. Food Res. Int. 2018, 106, 532–541. [Google Scholar] [CrossRef]
- Nath, P.C.; Mishra, A.K.; Sharma, R.; Bhunia, B.; Mishra, B.; Tiwari, A.; Nayak, P.K.; Sharma, M.; Bhuyan, T.; Kaushal, S.; et al. Recent advances in artificial intelligence towards the sustainable future of agri-food industry. Food Chem. 2024, 447, 138945. [Google Scholar] [CrossRef] [PubMed]
- Zhang, Z.; Guo, S.; Chen, C.; Lin, J.; Chen, L.; Wang, D.; Hu, J.; Chen, X.; Yang, J.; Li, Y.; et al. Optimization of extraction and bioactivity detection of celery leaf flavonoids using BP neural network combined with genetic algorithm and response. Prep. Biochem. Biotechnol. 2022, 52, 648–656. [Google Scholar] [CrossRef]
- Qiu, J.; Shi, M.; Li, S.; Ying, Q.; Zhang, X.; Mao, X.; Shi, S.; Wu, S. Artificial neural network model- and response surface methodology-based optimization of Atractylodis Macrocephalae Rhizoma polysaccharide extraction, kinetic modelling and structural characterization. Ultrason Sonochem. 2023, 95, 106408. [Google Scholar] [CrossRef] [PubMed]
- Xu, J.; Zhao, Y. Stability Analysis of Geotechnical Landslide Based on GA-BP Neural Network Model. Comput. Math. Methods Med. 2022, 2022, 3958985. [Google Scholar] [CrossRef]
- Ning, Y.; Jin, Y.; Peng, Y.; Yan, J. Small obstacle size prediction based on a GA-BP neural network. Appl. Opt. 2022, 61, 177–187. [Google Scholar] [CrossRef] [PubMed]
- Yang, T.; Lai, H.; Cao, Z.; Niu, Y.; Xiang, J.; Zhang, C.; Shang, L. Comparison of an Artificial Neural Network and a Response Surface Model during the Extraction of Selenium-Containing Protein from Selenium-Enriched Brassica napus L. Foods 2022, 11, 3823. [Google Scholar] [CrossRef]
- Qian, J.; Dai, B.; Wang, B.; Zha, Y.; Song, Q. Traceability in food processing: Problems, methods, and performance evaluations-a review. Crit. Rev. Food Sci. Nutr. 2022, 62, 679–692. [Google Scholar] [CrossRef]
- Bhagya, R.G.; Dash, K.K. Comprehensive study on applications of artificial neural network in food process modeling. Crit. Rev. Food Sci. Nutr. 2022, 62, 2756–2783. [Google Scholar] [CrossRef] [PubMed]
- Theodore, T.P.; Nfor, K.A.; Kim, J.I.; Kim, H.C. Applications of Artificial Intelligence, Machine Learning, and Deep Learning in Nutrition: A Systematic Review. Nutrients 2024, 16, 1073. [Google Scholar] [CrossRef]
- Peveler, W.J. Food for Thought: Optical Sensor Arrays and Machine Learning for the Food and Beverage Industry. ACS Sens. 2024, 9, 1656–1665. [Google Scholar] [CrossRef]
- GB/T 10133–2014; National Food Safety Standard Aquatic Condiment. Standards Press of China: Beijing, China, 2014.
- Zheng, Y.; Zhang, S.; Yang, L.; Wei, B.; Guo, Q. Prevention of the Quality Degradation of Antarctic Krill (Euphausia superba) Meal through Two-Stage Drying. Foods 2024, 13, 1706. [Google Scholar] [CrossRef] [PubMed]
- Ni, L.; Jiang, C.; Guo, Q.; Chi, H.; Fan, C.; Shi, J.; Lin, N.; Liu, Z.; Chen, S. Metabolomics analysis of physicochemical properties associated with freshness degradation in frozen Antarctic krill (Euphausia superba). Food Res. Int. 2024, 183, 114190. [Google Scholar] [CrossRef] [PubMed]
- Bao, J.; Chen, L.; Liu, T. Dandelion polysaccharide suppresses lipid oxidation in Antarctic krill (Euphausia superba). Int. J. Biol. Macromol. 2019, 133, 1164–1167. [Google Scholar] [CrossRef] [PubMed]





| Index | Criteria | |||
|---|---|---|---|---|
| Color | Lusterless. Dull color. | Less glossy. Not sufficiently red. | Oily and moist. Not sufficiently reddish. | Overall oiliness Reddish in color |
| Odor | Almost no seafood flavor at all. Smells burnt. | Heavy or insufficient sauce flavor. Overall odor is incongruous. | Has the unique flavor of seafood, with a slightly muted odor. | Prominent seafood flavor, overall odor harmonization, no off-flavors. |
| Flavor | Discomfort. Overly spicy and salty. Bitterness. | Salty and spicy. Less fresh flavor. A little bitter in the aftertaste. | Salty or spicy. Better taste. Less fresh flavor. | Spicy and savory. Delicate taste. Outstanding freshness. |
| Texture | The organization is very heterogeneous. Oil precipitation occurs. Poor mastication. | Uneven organization. Overly thin or thick. Average chewability. | More uniform organization. Slightly thin or slightly thick. Better chewability. | Uniformity of organization. Right consistency. Good chewability. |
| Grade | Bad (0~40) | General (40~60) | Good (60~80) | Excellent (80~100) |
| Factors | Implicit Variable | ||
|---|---|---|---|
| −1 | 0 | 1 | |
| A | 0% | 2.0% | 4.0% |
| B | 0.8% | 1.2% | 1.6% |
| C | 0.6:1 | 0.8:1 | 1.0:1 |
| Factors | Levels | L* | a* | b* | ΔE |
|---|---|---|---|---|---|
| Salt added/% | 0 | 23.84 ± 0.07 a | 3.07 ± 0.17 a | −13.96 ± 0.09 a | 75.75 ± 0.11 a |
| 2.0 | 24.54 ± 0.20 b | 2.96 ± 0.12 a | −12.85 ± 0.25 b | 75.35 ± 0.64 a | |
| 4.0 | 23.73 ± 0.27 a | 2.62 ± 0.07 b | −14.10 ± 0.32 a | 74.84 ± 0.87 a | |
| 6.0 | 24.06 ± 0.24 a | 2.98 ± 0.11 a | −14.03 ± 0.12 a | 75.83 ± 0.44 a | |
| 8.0 | 23.81 ± 0.07 a | 2.88 ± 0.10 a | −14.30 ± 0.51 a | 79.24 ± 5.30 a | |
| Rock sugar added/% | 0 | 24.87 ± 0.03 a | 2.63 ± 0.10 a | −12.89 ± 0.11 a | 74.26 ± 0.03 a |
| 0.8 | 24.61 ± 0.20 bc | 2.62 ± 0.07 a | −12.94 ± 0.15 a | 74.46 ± 0.15 a | |
| 1.2 | 24.88 ± 0.07 a | 2.58 ± 0.10 a | −12.77 ± 0.21 a | 74.20 ± 0.27 a | |
| 1.6 | 25.56 ± 0.05 b | 2.67 ± 0.08 a | −12.87 ± 0.10 a | 74.41 ± 0.06 a | |
| 2.0 | 27.96 ± 0.05 ac | 2.63 ± 0.09 a | −13.22 ± 0.0 b | 78.16 ± 6.22 a | |
| Oil-to-material ratio | 0.4 | 22.18 ± 0.04 a | 2.93 ± 0.36 a | −14.54 ± 0.56 a | 77.27 ± 0.42 a |
| 0.6 | 23.89 ± 0.03 b | 2.76 ± 0.13 a | −13.88 ± 1.12 a | 75.63 ± 0.84 b | |
| 0.8 | 24.13 ± 0.70 b | 2.76 ± 0.35 a | −13.69 ± 0.38 a | 75.33 ± 0.58 c | |
| 1.0 | 25.41 ± 0.15 c | 2.93 ± 0.10 a | −11.77 ± 0.16 b | 73.11 ± 0.21 c | |
| 1.2 | 27.96 ± 0.37 d | 2.75 ± 0.08 a | −9.01 ± 0.39 c | 69.30 ± 0.54 d |
| No. | Salt/% | Rock Sugar/% | Oil-to-Material Ratio | Sensory Scores |
|---|---|---|---|---|
| 1 | 1 | 0 | 1 | 74.2 |
| 2 | 0 | −1 | −1 | 84.1 |
| 3 | 0 | 0 | 0 | 89.0 |
| 4 | 0 | −1 | 1 | 80.8 |
| 5 | −1 | 0 | −1 | 83.1 |
| 6 | 0 | 0 | 0 | 89.3 |
| 7 | 0 | 1 | 1 | 77.4 |
| 8 | 0 | 1 | −1 | 82.8 |
| 9 | −1 | 0 | 1 | 77.4 |
| 10 | 0 | 0 | 0 | 88.5 |
| 11 | 0 | 0 | 0 | 91.0 |
| 12 | −1 | 1 | 0 | 79.6 |
| 13 | 0 | 0 | 0 | 90.6 |
| 14 | 1 | −1 | 0 | 78.2 |
| 15 | −1 | −1 | 0 | 83.3 |
| 16 | 1 | 1 | 0 | 72.6 |
| 17 | 1 | 0 | −1 | 73.5 |
| Sources | Square Sum | DF | Mean Square | F Value | p Value | Significance |
|---|---|---|---|---|---|---|
| Model | 583.74 | 9 | 64.86 | 50.42 | <0.0001 | ** |
| A | 77.50 | 1 | 77.50 | 60.24 | 0.0001 | ** |
| B | 24.50 | 1 | 24.50 | 19.04 | 0.0033 | ** |
| C | 23.46 | 1 | 23.46 | 18.24 | 0.0037 | ** |
| AB | 0.9025 | 1 | 0.9025 | 0.7015 | 0.4299 | |
| AC | 10.24 | 1 | 10.24 | 7.96 | 0.0257 | * |
| BC | 1.10 | 1 | 1.10 | 0.8570 | 0.3854 | |
| A2 | 252.24 | 1 | 252.24 | 196.07 | <0.0001 | ** |
| B2 | 52.02 | 1 | 52.02 | 40.44 | 0.0004 | ** |
| C2 | 100.68 | 1 | 100.68 | 78.26 | <0.0001 | ** |
| Residual | 9.01 | 7 | 1.29 | |||
| Lack of fit | 4.42 | 3 | 1.47 | 1.28 | 0.3939 | |
| Pure error | 4.59 | 4 | 1.15 | |||
| Cor total | 592.74 | 16 | ||||
| R2 = 0.98; R2 adjusted = 0.97 | ||||||
| No. | Sensory Evaluation | ||
|---|---|---|---|
| Test Values | Neural Network Prediction Values | Relative Error/% | |
| 1 | 80.00 | 78.91 | −1.38 |
| 2 | 85.00 | 83.48 | −1.82 |
| 3 | 75.00 | 75.02 | 0.02 |
| 4 | 85.00 | 83.06 | −2.22 |
| 5 | 75.00 | 77.30 | 3.06 |
| Indicators | Experimental Values | Standard Limit |
|---|---|---|
| AV/(mg/g) | 0.38 | 5.00 |
| POV/(g/100 g) | 0.04 | 0.25 |
| TBARS value/(mg/kg) | 0.62 | 2.00 |
| Indicators | Experimental Values/(CFU/g) | Standard Limit/(CFU/g) |
|---|---|---|
| TVC | <10 | 10000 |
| Coliform | <10 | 10 |
| Salmonella sp. | not detected | not detectable |
| S. aureus | not detected | 100 |
Disclaimer/Publisher’s Note: The statements, opinions and data contained in all publications are solely those of the individual author(s) and contributor(s) and not of MDPI and/or the editor(s). MDPI and/or the editor(s) disclaim responsibility for any injury to people or property resulting from any ideas, methods, instructions or products referred to in the content. |
© 2024 by the authors. Licensee MDPI, Basel, Switzerland. This article is an open access article distributed under the terms and conditions of the Creative Commons Attribution (CC BY) license (https://creativecommons.org/licenses/by/4.0/).
Share and Cite
Chi, H.; Fu, Z.; Wang, P.; Yu, D.; Zhao, L.; Li, L.; Liu, Y.; Zheng, J. Process Optimization for Antarctic Krill (Euphausia superba) Sauce Based on Back Propagation Neural Network Combined with Genetic Algorithm. Appl. Sci. 2024, 14, 7337. https://doi.org/10.3390/app14167337
Chi H, Fu Z, Wang P, Yu D, Zhao L, Li L, Liu Y, Zheng J. Process Optimization for Antarctic Krill (Euphausia superba) Sauce Based on Back Propagation Neural Network Combined with Genetic Algorithm. Applied Sciences. 2024; 14(16):7337. https://doi.org/10.3390/app14167337
Chicago/Turabian StyleChi, Hai, Zhiyu Fu, Peng Wang, Di Yu, Lukai Zhao, Long Li, Yujun Liu, and Jie Zheng. 2024. "Process Optimization for Antarctic Krill (Euphausia superba) Sauce Based on Back Propagation Neural Network Combined with Genetic Algorithm" Applied Sciences 14, no. 16: 7337. https://doi.org/10.3390/app14167337
APA StyleChi, H., Fu, Z., Wang, P., Yu, D., Zhao, L., Li, L., Liu, Y., & Zheng, J. (2024). Process Optimization for Antarctic Krill (Euphausia superba) Sauce Based on Back Propagation Neural Network Combined with Genetic Algorithm. Applied Sciences, 14(16), 7337. https://doi.org/10.3390/app14167337

