Abstract
Dormant forage is generally understood to be low-quality, but how and why it changes over the dormant season have not been well studied. Therefore, this study evaluated the changes in the forage quality of bluebunch wheatgrass (Pseudoroegneria spicata) and Idaho fescue (Festuca idahoensis) over the course of the dormant season and in response to concurrent environmental conditions. We collected forage samples every 14 days for two consecutive winters in southwestern Montana, USA. Samples were analyzed for crude protein (CP), acid detergent fiber (ADF), and neutral detergent fiber (NDF). A suite of environmental metrics was derived from PRISM weather data. Data were analyzed with a linear mixed model and the STATICO ordination method. Crude protein and ADF varied throughout the winter across both years, with CP ranging from 1.9–4.0% and ADF from 37–42%. The differences between species were more pronounced and more consistent in CP. The differences between years were more pronounced in ADF and NDF. Relative temperature explained the most variation in forage quality. Crude protein is positively correlated with short-term warmer temperatures, whereas NDF is positively correlated with longer-term warmer temperatures. This demonstrates that forage quality can change over the dormant season and is influenced by winter weather events.
1. Introduction
Understanding the dynamics of native forage is key to successfully managing livestock grazing on rangelands. Characterizing rangeland forage quality was a focus of early rangeland livestock research in western North America [1,2,3] and has continued to be an area of interest today [4,5,6]. Most research has focused on documenting changes in forage quality during the growing season, which coincides with most livestock grazing and is when changes in forage quality are most pronounced. In an effort to reduce overhead costs by minimizing reliance on harvested feeds, some livestock producers continue grazing into the dormant season—the period during fall and winter when plants are not actively growing [7]. This shift necessitates the use of low-quality, dormant forage [8]. To compensate for this, producers often provide high-quality supplemental feedstuffs [9]; however, decisions about the kind and amount of supplementation are frequently based on professional judgment or anecdotal evidence. This highlights the need for robust data to inform these decisions. Despite this, how and why forage quality changes over the dormant season have not been thoroughly studied. Most of the studies that have reported on this are limited in temporal or spatial scale [10,11,12,13,14,15].
Bluebunch wheatgrass (Pseudoroegneria spicata [Pursh] Á. Löve) and Idaho fescue (Festuca idahoensis Elmer) are two important forage species in the sagebrush steppe, mixed-grass prairie, and Palouse prairie rangelands of western North America [16,17,18]. Similar to rangeland forage as a whole, the growing season forage quality of Idaho fescue and bluebunch wheatgrass has been well-documented [14,19,20,21]; however, changes in dormant season forage quality have been poorly tested in scope or sampling frequency. Additionally, while the influence of growing-season environmental conditions is largely understood [6,22,23,24], there has been little to no research on the influence of winter environmental conditions on forage quality. Therefore, this study sought to characterize the changes in the forage quality of bluebunch wheatgrass and Idaho fescue over the course of the dormant season and in response to concurrent environmental conditions. We hypothesized that forage quality would fluctuate over the course of the dormant season and that these changes would be correlated with variations in temperature and precipitation.
2. Materials and Methods
2.1. Study Area
This study was conducted in a 1064-ha management unit at Montana State University’s Red Bluff Research Ranch in Norris, MT at 45°35′ N, 111°38′ W. The area has a cold semi-arid climate (Köppen-Geiger Climate BSk [25]) with long, cold winters and warm summers. The mean annual temperature is 6.9 °C, and the mean annual precipitation is 418 mm, with 55% coming during the growing season months of May–September [26]. The elevation of the management unit ranges from 1415 to 1715 m in a combination of gently sloping alluvial fans, steep slopes, and broad ridges. Most of the soils in the study area are classified as mollisols or inceptisols [27].
The vegetation is characteristic of the region, dominated by grassland accompanied by scattered woodlands of Rocky Mountain juniper (Juniperus scopulorum Sarg.) and limber pine (Pinus flexilis James) on the slopes and ridges. Idaho fescue and bluebunch wheatgrass are the dominant grasses. Subdominant grasses are needle-and-thread (Hesperostipa comata [Trin. & Rupr.] Barkworth) and prairie Junegrass (Koeleria macrantha [Ledeb.] Schult.). Dominant forbs include fringed sagewort (Artemsia frigida Willd.), cudweed sagewort (Artemisia ludoviciana Nutt.), and lupine (Lupinus spp.). There are few shrubs in the management unit, but those that are present include scattered individuals of rubber rabbitbrush (Ericameria nauseosa [Pall. ex Pursh] G.L. Nesom & Baird) and skunkbush sumac (Rhus trilobata Nutt.), localized patches of antelope bitterbrush (Purshia tridentata [Pursh] DC.), and populations of mountain big sagebrush (Artemesia tridentata Nutt. ssp. vaseyana [Rydb.] Beetle) above 1550 m.
2.2. Field and Laboratory Methods
Idaho fescue and bluebunch wheatgrass were selected for investigation because they are the dominant forage species and constitute a large component of livestock diets in the study area [28,29,30,31]. Five sites were selected within the management unit that were representative of the vegetation and topography of the area and contained both species. Beginning on 17 October 2018 and continuing every fourteen days until 6 February 2019, we used step transects to collect seven to ten ungrazed individuals of Idaho fescue and bluebunch wheatgrass by clipping to a 1 cm stubble height. This was repeated for the winter of 2019–2020.
Samples were collected in paper bags in the field and transported to the Oscar Thomas Nutrition Center in Bozeman, MT. They were subsequently dried at 55 °C in a forced-air oven for 48 h, ground to pass a 1-mm screen, and stored in plastic bags at room temperature for subsequent chemical analysis. Samples were analyzed for crude protein content (CP) using a LECO 828 Series analyzer (LECO Corp., St. Joseph, MI, USA) [32]. Acid detergent fiber (ADF) and neutral detergent fiber (NDF) were analyzed using an ANKOM 200 Fiber Analyzer (ANKOM Technology, Macedon, NY, USA) [33]. Results are reported on a dry matter basis. All samples were run in duplicate, and any sample whose coefficient of variation was greater than 5% was reanalyzed.
2.3. Environmental Data
Daily mean temperature and precipitation data for the study area were obtained from PRISM [26]. Monthly precipitation for the 2018 and 2019 water years is shown in Figure 1. The water year is defined as the period from 1 October of the preceding year to 30 September of the named year [34]. Year one had a wet spring but a dry summer, whereas year two had a dry spring but a wet summer. Overall, both years were somewhat wetter than normal. Temperature and precipitation over the study period are shown in Figure 2. Both winters were typical for the study area.
Figure 1.
Monthly and total precipitation for the 2018 and 2019 water years (WY; ending 30 September of the named year) at the study site in southwestern Montana, USA. The black line indicates the 30-year mean. Year one received 137% of mean spring precipitation (April–June) but only received 55% of mean summer precipitation (July–September). In contrast, year two received 79% of mean spring precipitation but received 139% of mean summer precipitation.
Figure 2.
Daily precipitation and mean temperature over the winters of 2018–2019 (Year 1) and 2019–2020 (Year 2) at the study site in southwestern Montana, USA. Both winters were typical for the area. Over the study period in years one and two, total precipitation was 91 and 74 mm, respectively; mean weekly maximum temperature was 8.3 and 9.1 °C, respectively; mean weekly minimum temperature was −16.2 and −18.0 °C, respectively; and overall mean temperature was −1.3 and −1.0 °C, respectively.
Daily temperature and precipitation data were used to derive environmental metrics for each of the sampling dates (Table 1). Growing degree day (GDD) is a conceptual tool that quantifies heat accumulation above plant-specific growth thresholds [35]. It is routinely used to estimate plant phenology [36,37] and has been extended to predict forage quality [6,38]. For each sampling date, the number of GDD were calculated as follows:
where:
- GDDi is the accumulated number of GDD on day i,
- Tmean is the mean temperature on day i, and
- Tbase is the threshold temperature above which plants are able to initiate growth.
We set Tbase at 0 °C, as that is the temperature above which cool-season grasses are theoretically capable of growth [39,40].
Table 1.
Environmental metrics derived from daily temperature and precipitation data used in the study. See Equations (1)–(6) for mathematical descriptions of the calculations. See Results for the use of the listed codes.
Table 1.
Environmental metrics derived from daily temperature and precipitation data used in the study. See Equations (1)–(6) for mathematical descriptions of the calculations. See Results for the use of the listed codes.
| Group | Code | Description |
|---|---|---|
| Growing degree day | gdd_5 | 5-day sum |
| gdd_10 | 10-day sum | |
| gdd_15 | 15-day sum | |
| Precipitation | ppt_5 | 5-day sum |
| ppt_10 | 10-day sum | |
| ppt_15 | 15-day sum | |
| Absolute temperature | temp_5 | 5-day mean |
| temp_10 | 10-day mean | |
| temp_15 | 15-day mean | |
| Short-term thermal stress | stts5_5 | Difference of the 5-day mean from the previous 5-day mean |
| stts5_10 | Difference of the 5-day mean from the previous 10-day mean | |
| stts5_15 | Difference of the 5-day mean from the previous 15-day mean | |
| stts5_20 | Difference of the 5-day mean from the previous 20-day mean | |
| stts10_10 | Difference of the 10-day mean from the previous 10-day mean | |
| stts10_20 | Difference of the 10-day mean from the previous 20-day mean | |
| stts10_30 | Difference of the 10-day mean from the previous 30-day mean |
To derive metrics used in the analysis, we calculated the 5-, 10-, and 15-day sums for GDD and precipitation as follows:
And we calculated the 5-, 10-, and 15-day means for mean daily temperature as follows:
where:
- Metrici is the calculated mean for day i,
- n is the number of days in the summation window, and
- V(i−j) is the daily value for the variable of interest on day i−j.
Finally, we calculated short-term thermal stress (STTS), a metric that quantifies relative temperature. We adapted Senft and Rittenhouse’s STTS model [41] to apply to plants. Senft and Rittenhouse modeled thermal acclimation in cattle (Bos taurus), calculating the difference between the mean temperature for a given day, i, and a rolling mean of previous days’ temperatures. Since plants respond more slowly to changes in temperature compared to mammals, we adjusted the calculation to account for this lag. Specifically, we calculated the difference between the stimulus temperature, defined as the 5- and 10-day mean temperatures preceding day i, and the acclimated temperature, calculated as the 5- to 30-day mean temperatures prior to the stimulus temperature. For each sampling date, STTS was calculated as follows:
where:
- STTSi is the STTS for day i,
- Tstim is the stimulus temperature, and
- Taccl is the acclimated temperature.
Stimulus and acclimated temperatures were calculated as follows:
where:
- N is the number of days in the calculation of the stimulus temperature on day i,
- M is the number of days in the calculation of the acclimated temperature, and
- T(i−j) and T[i−(N+k)] are the mean daily temperatures on days i−j and i−(N+k), respectively.
2.4. Statistical Analysis
2.4.1. Analysis of Sampling Date
This analysis was split into two parts. To quantify how forage quality changed over the course of the study period, we used a linear mixed model. The analysis treated the study as a repeated measures completely randomized design with five replications of three factors (species, n = 2; year, n = 2; and sampling date, n = 9). The species-site sampling date was the experimental unit, and CP, ADF, and NDF were the response variables. Data were analyzed in R 4.3.1 [42] with the lmerTest 3.1-3 [43] and lme4 1.1-35.5 [44] packages using a mixed-effects model that included all factors and up to all two-way interactions, with site as a random intercept. For significant effects of sampling date, we tested linear, quadratic, and cubic orthogonal contrasts with the Kenward-Roger method using the emmeans package 1.10.1 [45].
To test for differences in the coefficient of variation (CV) of CP, ADF, and NDF between Idaho fescue and bluebunch wheatgrass, we implemented the Feltz–Miller CV equality test [46] using the cvequality package 0.2.0 [47] in R. Statistical significance was accepted at p ≤ 0.05, and tendencies were considered at 0.05 < p ≤ 0.10.
2.4.2. Analysis of Environment
To evaluate how changes in forage quality were related to concurrent environmental conditions, we implemented the STATICO method [48,49] using the ade4 package 1.7-22 [50] in R. STATICO assesses the relationship between paired series of ecological tables using co-inertia analysis on each pair of tables then partial triadic analysis on the resulting series of cross tables. This method produces two relevant outputs: the compromise and the intrastructure. Though primarily used in community ecology [51,52], STATICO and, more broadly, ordination analysis have precedent in forage nutrition [24,53,54,55]
In our case, the two series of tables were (1) environmental metrics at every sampling date and (2) forage quality metrics (CP, ADF, and NDF) for both species at every sampling date. The compromise, the primary final product of STATICO, represents the stable relationships between environmental metrics and forage quality across the two species. This provides a broad overview of how environmental conditions consistently influence the forage quality of both species. The intrastructure maps the relationship between environmental and forage quality metrics for each species back onto the compromise. This step describes how each species is influenced by environmental conditions and enables comparisons between them.
As the environmental metrics are at the scale of the study area, the experimental unit was the species-sampling date, so we used the species-level means of the forage quality metrics averaged across the sites. All data were standardized before analysis.
3. Results
3.1. Influence of Sampling Date
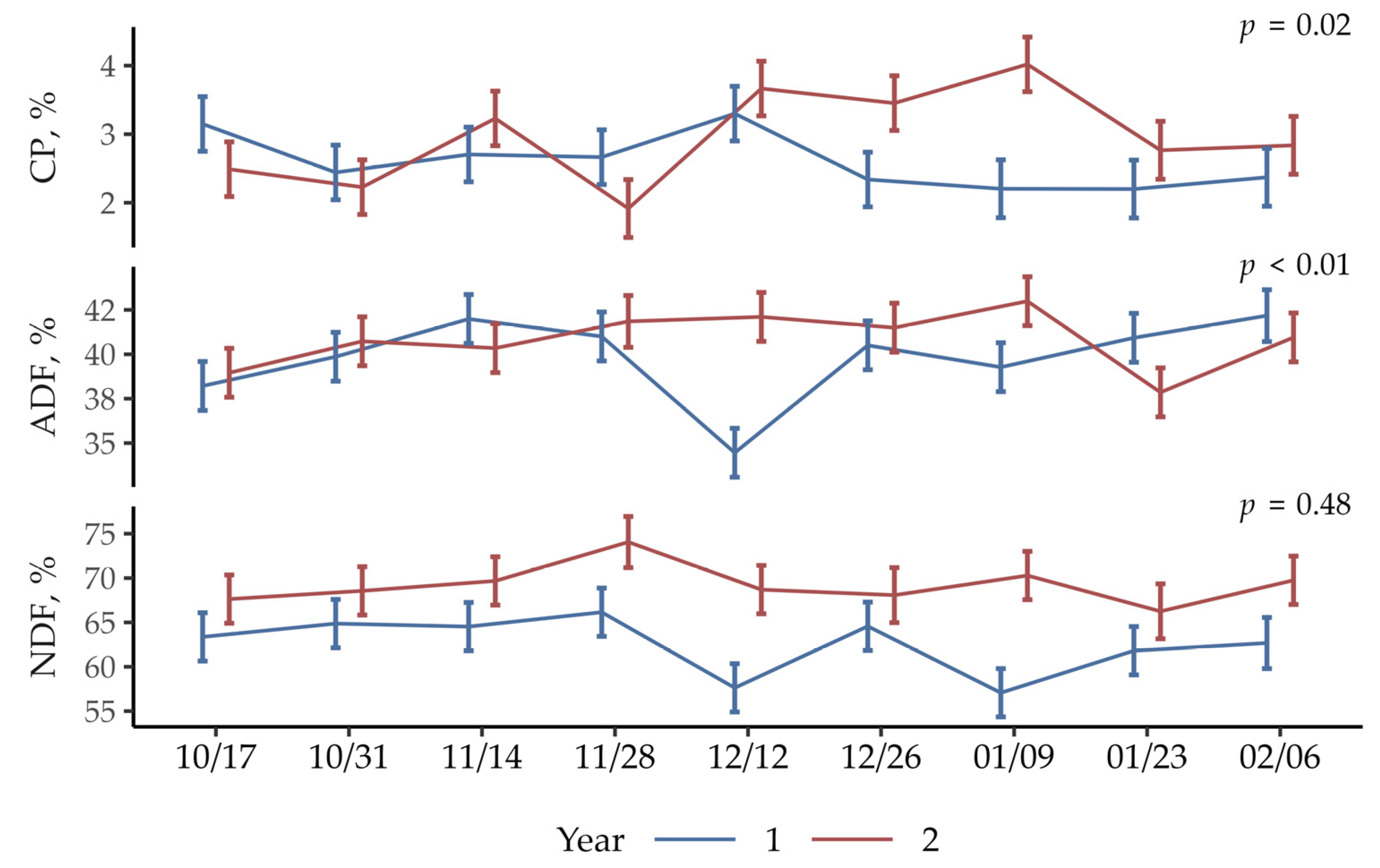
Crude protein was influenced by the main effect of species (p < 0.01) and the sampling date × year interaction (p = 0.02). Idaho fescue had a greater concentration of CP than bluebunch wheatgrass (3.14 ± 0.14% vs. 2.41 ± 0.14%, respectively; p < 0.01; Table 2); however, Idaho fescue also had a greater CV than bluebunch wheatgrass (p < 0.01; Table 3). In year one, we detected no trends in CP across sampling dates (p ≥ 0.11); however, in year two, there was a positive linear trend (p = 0.05) and a tendency for quadratic and cubic trends (p = 0.07; Figure 3, Table 4).
Table 2.
Influence of species and year on the crude protein (CP), acid detergent fiber (ADF), and neutral detergent fiber (NDF) of Idaho fescue and bluebunch wheatgrass sampled over 9 two-week intervals over two winters in southwestern Montana, USA.
Table 3.
Results of the Feltz–Miller coefficient of variation equality test for crude protein (CP), acid detergent fiber (ADF), and neutral detergent fiber (NDF) of Idaho fescue and bluebunch wheatgrass sampled over 9 two-week intervals over two winters in southwestern Montana, USA. The coefficient of variation represents variability in forage quality between sites, reflecting the spatial consistency in nutritive value available at each site relative to the area-level mean.
Figure 3.
Influence of sampling date and year on the crude protein (CP), acid detergent fiber (ADF), and neutral detergent fiber (NDF) of Idaho fescue and bluebunch wheatgrass sampled over 9 two-week intervals over two winters in southwestern Montana, USA. The p-values for the sampling date × year interactions are shown in the top right portion of each panel. The p-values for polynomial orthogonal contrasts of the significant interactions are shown in Table 4.
Table 4.
Results for polynomial orthogonal contrasts of crude protein (CP) and acid detergent fiber (ADF) of Idaho fescue and bluebunch wheatgrass sampled over 9 two-week intervals over two winters in southwestern Montana, USA.
Acid detergent fiber was influenced by the species × year (p < 0.01) and sampling date × year (p < 0.01) interactions. In year one, Idaho fescue had 1.8 percentage points more ADF than bluebunch wheatgrass (p = 0.05); however, in year two, Idaho fescue had 1.8 percentage points less ADF than bluebunch wheatgrass (p = 0.04; Table 2). Across years, the CV for bluebunch wheatgrass ADF was greater than the CV for Idaho fescue (p = 0.02; Table 3). In year one, ADF exhibited a cubic trend across sampling dates (p = 0.05), whereas in year two, there was a tendency for a quadratic trend (p = 0.06; Table 4).
Neutral detergent fiber was only influenced by the main effect of year (p < 0.01), where NDF was lower in year one than in year two (62.5 ± 0.90% vs. 69.3 ± 0.92%, respectively; p < 0.01). We detected no difference in the CV of NDF between Idaho fescue and bluebunch wheatgrass (p = 0.15; Table 3).
3.2. Influence of Environment
For each species, the relationships between forage quality and concurrent environmental conditions are visualized in the intrastructure biplots (Figure 4). The cos2 values quantify how well the species-specific relationships align with the overall compromise structure, which represents the shared patterns between the two species. While the compromise captures the information for both species well, it aligns more strongly with Idaho fescue (cos2 = 0.93) than bluebunch wheatgrass (cos2 = 0.89). This suggests that Idaho fescue exhibited a slightly more consistent relationship between environmental and forage quality metrics than bluebunch wheatgrass.
Figure 4.
Relationships between winter forage quality metrics (crude protein, CP; acid detergent fiber, ADF; and neutral detergent fiber, NDF) and environmental metrics (see Table 1 for environmental metric codes) for Idaho fescue and bluebunch wheatgrass sampled over 9 two-week intervals over two winters in southwestern Montana, USA. The first (PC1) and second (PC2) principal components represent the primary gradients of variability, where PC1 is characterized by short-term temperature changes, and PC2 is characterized by longer-term temperature changes. Distance from the origin indicates variability of each metric, and the angle between metrics indicates their correlation.
Inertia represents the total variability of the data captured by the components of the model. The proportion of the inertia contained by each component or variable indicates how well it explains variability in the data. In the compromise, the first axis (PC1) contains 57% of the overall inertia, while the second axis (PC2) contains 35%. The first axis is primarily characterized by short-term temperature changes with warmer temperatures on the right. Five-day STTS metrics contain 62% of PC1 inertia. The second axis is characterized by longer-term temperature changes with warmer temperatures in the lower part of the plot. Ten-day STTS metrics contain 54% of PC2 inertia.
At our study site, winter precipitation events are generally in the context of a winter storm from a passing cold front followed by a decrease in temperature. Precipitation metrics load in the second quadrant correlated with both short- and longer-term cold temperatures. Precipitation metrics contain 16% of PC1 inertia and 17% of PC2 inertia. Growing degree day metrics contain little overall inertia, only containing 7.3% of PC1 inertia and 1.4% of PC2 inertia, all loading on the left. Ten-day mean absolute temperature contained 15% of PC2 inertia; otherwise, individual absolute temperature metrics contained less than 7% of PC1 or PC2 inertia, all loading in the lower part of the plot.
Of the three forage quality metrics, CP exhibited the strongest structure, containing 49% of the overall inertia. Crude protein loaded into the fourth quadrant, with PC1 containing 75% of its inertia and PC2 containing 25% of its inertia. Both NDF and ADF loaded into the third quadrant. Neutral detergent fiber contained 34% of the overall inertia, with PC1 containing 35% of its inertia of NDF and PC2 containing 60% of its inertia. Acid detergent fiber had the weakest structure, only containing 18% of the overall inertia, with PC1 containing 42% of its inertia and PC2 containing 24% of its inertia.
4. Discussion
It has been well-documented that forage quality declines over the growing season [4,14,56,57]; however, there are conflicting reports on how forage quality changes over the dormant season [12,13,58,59]. Most previous studies that collected data during the dormant season sampled with a relatively coarse temporal resolution (1×/month to 1×/season). Therefore, they may not have been able to adequately characterize the change in forage quality. In contrast, we sampled every two weeks, a frequency that has scarcely been reported over the dormant season [3], allowing us to detect changes that may otherwise have been missed. Our results show that forage quality is relatively stable but can be dynamic within a narrower range of values than during the growing season. In year one, we did not detect any changes in CP, whereas in year two, CP fluctuated over the winter, at one point increasing by two percentage points (a 110% increase), over the course of six weeks. In both years, ADF followed either a cubic or quadratic pattern, fluctuating by over five percentage points.
The differences between species were more pronounced and consistent in CP, with Idaho fescue containing greater levels of CP than bluebunch wheatgrass. In contrast, ADF and NDF varied more between years and showed less consistent or no differences between species. The range of values and relationships between the species in our results are broadly consistent with previously published data. For example, in the salt desert shrubland of Utah, bluebunch wheatgrass had 2.8–3.4% CP during winter [60,61,62]. Similarly, in the sagebrush steppe of southeastern Oregon, bluebunch wheatgrass had 2.3% CP and 57.1% ADF during winter [63]. In southwestern Montana, bluebunch wheatgrass had 3.0% CP, 48.9% ADF, and 73.7% NDF during winter [64]. In contrast, in eastern Washington, Idaho fescue CP fluctuated between 3.6–5.8%, with a mean of 4.6% during late fall and winter [3]. In the mountains of northeastern Nevada, Idaho fescue contained more CP than bluebunch wheatgrass in the early fall (5.6 vs. 4.0% CP, respectively) [65]. Likewise, in the Palouse prairie of eastern Washington, Idaho fescue contained more CP and less crude fiber (CF) than bluebunch wheatgrass (4.62 vs. 2.94% CP and 27.2 vs. 33.4% CF, respectively) during the late fall and early winter [66].
Idaho fescue is preferentially consumed over bluebunch wheatgrass during the dormant season by elk (Cervus canadensis) [67,68], domestic sheep (Ovis aries) [69], and cattle [10,28,70]. Idaho fescue responds to fall precipitation by generating new vegetative growth [3,11] and does so more readily than bluebunch wheatgrass [10]. This fall growth retains its nutritional quality through the winter; in one study, it was reported at a mean of 15.8% CP, 26.5% ADF, and 53.3% NDF between October and February [10]. Livestock are selective foragers and are capable of consuming higher-quality diets than samples obtained by clipping [71,72,73]. Over the course of two winters at our study site, ewes and yearling heifers were able to select diets that contained 7.0 and 4.3% CP, respectively [74]. Livestock consuming a diet dominated by Idaho fescue may be able to exploit its greater variation in CP and select a proportionately higher quality diet compared to livestock consuming a diet dominated by bluebunch wheatgrass. Combined with Idaho fescue’s greater mean CP, this may partially explain why Idaho fescue is preferentially consumed over bluebunch wheatgrass during the dormant season.
The influence of growing season environmental conditions on forage quality is well understood and has been modeled [6,22,24]. Our results indicate that dormant season environmental conditions are also associated with patterns of forage quality. While several authors who measured forage quality during the dormant season have postulated the influence of environmental conditions on forage quality [14,58,75], to our knowledge, this is the first study to formally analyze this relationship.
A common modus operandi among range and livestock managers working on northern rangelands is to assume that between fall quiescence and spring green-up, cool-season perennial plants remain in an unresponsive, dormant state. However, this may not be the case. In contrast to spring annuals, which avoid harsh temperatures by not maintaining live tissue during the winter, fall annuals and perennials retain live tissue over the winter and must undergo physiological changes to protect their tissues from frost damage by avoiding or tolerating freezing [76]. Rather than a binary state, cold tolerance is a dynamic characteristic achieved through acclimatization, a process of adaptation in response to successively lower temperatures [77]. This process continues even below 0 °C [78,79]. The reverse process, deacclimatization, occurs in response to successively warmer temperatures [80]. Thus, a plant’s degree of cold tolerance is actively matched to its acclimated thermal environment.
In our study, relative temperature (STTS) accounted for the most variation in forage quality, surpassing both absolute temperature and GDD. This suggests that plants responded more to relative temperature change rather than to absolute temperature. Additionally, the minimal variation explained by GDD metrics indicates that plants responded to the full range of temperatures over the winter rather than exclusively temperatures above freezing.
In northern Idaho, Daubenmire reported slow, intermittent development of Idaho fescue and bluebunch wheatgrass over the course of the winter during periods of weather above freezing [81]. Although temperatures in southwestern Montana are typically colder than in northern Idaho, this illustrates that both species are capable of acclimatization and deacclimatization throughout the winter. In the STATICO analysis, Idaho fescue contained a more coherent data structure, which may imply that environmental factors have a more consistent influence on its forage quality than that of bluebunch wheatgrass. Idaho fescue has a larger proportion of its roots in the upper portions of the soil profile than bluebunch wheatgrass [82,83,84]. Relative to deeper horizons, soil temperatures of surface horizons are more dynamic and closely reflect changes in air temperature [85]. Consequently, Idaho fescue may be more sensitive and responsive to changes in air temperature than bluebunch wheatgrass.
While this study did not seek to identify the mechanisms behind the changes in forage quality, we can make some inferences. Rather than a progressive decline in quality that could be attributed to an external factor such as nutrient leeching or tissue decay, we observed fluctuations in forage quality throughout the winter. These fluctuations may reflect internal physiological changes, such as the translocation of phytochemicals during successive acclimatization and deacclimatization in response to temperature changes.
5. Conclusions
Our results show fine scale, at times, rapid changes in winter forage quality associated with environmental conditions. Livestock managers in the region can use this information to estimate baseline forage quality for pastures dominated by Idaho fescue and/or bluebunch wheatgrass.
Despite some differences, Idaho fescue and bluebunch wheatgrass shared many of the same patterns in forage quality. Although our study focused on specific conditions in southwestern Montana, the relationship between forage quality and environmental conditions is likely comparable in other cool-season perennial grasses found in similar rangelands worldwide.
In this study, we used modeled air temperature and precipitation data at the scale of the entire study area; however, the conditions experienced by plants are at the site scale and include ambient air and soil temperature. Future studies investigating this topic could improve data quality by measuring environmental conditions in the field at each site. Higher-quality data may allow investigators to move from relational analyses (ordination) to predictive analyses (regression). This would allow the development of tools to predict changes in forage quality in real-time as the winter progresses. Livestock managers would be able to use these tools to adjust management in response to changing conditions.
Author Contributions
Conceptualization, N.G.D., S.A.W. and T.D.; methodology, N.G.D., S.A.W. and T.D.; software, N.G.D.; validation, N.G.D.; formal analysis, N.G.D.; investigation, N.G.D.; resources, T.D.; data curation, N.G.D.; writing—original draft preparation, N.G.D.; writing—review and editing, N.G.D., S.A.W. and T.D.; visualization, N.G.D.; supervision, T.D.; project administration, N.G.D. and T.D.; funding acquisition, T.D. All authors have read and agreed to the published version of the manuscript.
Funding
This project was funded by the USDA-ARS Precision Range and Livestock Management on Western Rangelands Initiative and the Montana Agricultural Experiment Station.
Institutional Review Board Statement
Not applicable.
Informed Consent Statement
Not applicable.
Data Availability Statement
The data supporting the conclusions of this article will be made available by the authors on request.
Acknowledgments
We would like to thank the Montana Agricultural Experiment Station for providing access to the study site, and our lab technicians Daniela Alambarrio and Lauren Bigler for their help in completing this project.
Conflicts of Interest
The authors declare no conflicts of interest.
References
- Knight, H.G.; Nelson, A. Bulletin No. 65—Wyoming Forage Plants and Their Chemical Composition—Studies No. I; University of Wyoming Agricultural Experiment Station: Laramie, WY, USA, 1905. [Google Scholar]
- Green, J. Bulletin 283—Composition of Montana Feeds and Forages; Montana Agricultural Experiment Station: Bozeman, MT, USA, 1934; Volume 28, pp. 1–23. [Google Scholar]
- McCall, R. Seasonal variation in the composition of bluebunch fescue. J. Agric. Res. 1939, 58, 603–616. [Google Scholar]
- Davis, N.G.; Wyffels, S.; Damiran, D.; Darambazar, E.; Vavra, M.; Riggs, R.; DelCurto, T. Nutritional dynamics of plant growth forms in a forest-grassland mosaic. Rev. Rangel. Ecol. Manag. 2024. [Google Scholar]
- Larsen, R.E.; Shapero, M.W.; Striby, K.; Althouse, L.; Meade, D.E.; Brown, K.; Horney, M.R.; Rao, D.R.; Davy, J.S.; Rigby, C.W.; et al. Forage quantity and quality dynamics due to weathering over the dry season on California annual rangelands. Rangel. Ecol. Manag. 2021, 76, 150–156. [Google Scholar] [CrossRef]
- Tolleson, D.R.; Angerer, J.P.; Kreuter, U.P.; Sawyer, J.E. Growing degree day: Noninvasive remotely sensed method to monitor diet crude protein in free-ranging cattle. Rangel. Ecol. Manag. 2020, 73, 234–242. [Google Scholar] [CrossRef]
- DelCurto, T.; Wyffels, S.A.; Vavra, M.; Wisdom, M.J.; Posbergh, C.J. Western Rangeland Livestock Production Systems and Grazing Management. In Rangeland Wildlife Ecology and Conservation; McNew, L.B., Dahlgren, D.K., Beck, J.L., Eds.; Springer: Cham, Switzerland, 2023; pp. 75–106. [Google Scholar]
- Putnam, D.H.; DelCurto, T. Forage Systems for Arid Areas. In Forages; John Wiley & Sons, Inc.: Hoboken, NJ, USA, 2020; pp. 433–451. [Google Scholar]
- DelCurto, T.; Hess, B.W.; Huston, J.E.; Olson, K.C. Optimum supplementation strategies for beef cattle consuming low-quality roughages in the western United States. J. Anim. Sci. 2000, 77, 1–16. [Google Scholar] [CrossRef]
- Houseal, G.A.; Olson, B.E. Nutritive value of live and dead components of two bunchgrasses. Can. J. Anim. Sci. 1996, 76, 555–562. [Google Scholar] [CrossRef]
- Abouguendia, Z.M. Nutrient Content and Digestibility of Saskatchewan Range Plants; Saskatchewan Agriculture Development Fund: Regina, SK, USA, 1998.
- Waldron, B.L.; ZoBell, D.R.; Olson, K.C.; Jensen, K.B.; Snyder, D.L. Stockpiled forage kochia to maintain beef cows during winter. Rangel. Ecol. Manag. 2006, 59, 275–284. [Google Scholar] [CrossRef]
- Jensen, K.B.; Johnson, D.A.; Asay, K.H.; Olson, K.C. Seasonal-accumulated growth and forage quality of range grasses for fall and winter grazing. Can. J. Plant Sci. 2002, 82, 329–336. [Google Scholar] [CrossRef]
- Ganskopp, D.; Bohnert, D. Nutritional dynamics of 7 northern Great Basin grasses. J. Range Manag. 2001, 54, 640–647. [Google Scholar] [CrossRef]
- Ganskopp, D.; Aguilera, L.; Vavra, M. Livestock forage conditioning among six northern great basin grasses. Rangel. Ecol. Manag. 2007, 60, 71–78. [Google Scholar] [CrossRef]
- USDA, Forest Service. Range Plant Handbook; US Government Printing Office: Washington, DC, USA, 1937.
- Holechek, J.L.; Pieper, R.D.; Herbel, C.H. Range Management Principles and Practices; Prentice-Hall: Englewood Cliffs, NJ, USA, 1989. [Google Scholar]
- Rosiere, R.E. Range Types of North America. Available online: http://www.range.altervista.org/ (accessed on 24 September 2024).
- McLean, A.; Tisdale, E. Chemical compositions of native forage plants in British Columbia in relation to grazing practices. Can. J. Plant Sci. 1960, 40, 405–423. [Google Scholar] [CrossRef]
- Johnston, A.; Bezeau, L.M. Chemical composition of range forage plants of the Festuca scabrella association. Can. J. Plant Sci. 1961, 42, 105–115. [Google Scholar] [CrossRef]
- Skovlin, J.M. Fluctuations in Forage Quality on Summer Range in the Blue Mountains; Pacific Northwest Forest and Range Experiment Station, Forest Service, US Department of Agriculture: Portland, OR, USA, 1967.
- Peek, J.M. Annual Changes in Bluebunch Wheatgrass Biomass and Nutrients Related to Climate and Wildfire. Northwest Sci. 2014, 88, 129–139. [Google Scholar] [CrossRef]
- Bates, J.; Johnson, D.; Davies, K.W.; Svejcar, T.; Hardegree, S. Effects of Annual Weather Variation on Peak Herbaceous Yield Date in Sagebrush Steppe. West. N. Am. Nat. 2023, 83, 220–231. [Google Scholar] [CrossRef]
- Mainetti, A.; Ravetto Enri, S.; Pittarello, M.; Lombardi, G.; Lonati, M. Main ecological and environmental factors affecting forage yield and quality in alpine summer pastures (NW-Italy, Gran Paradiso National Park). Grass Forage Sci. 2023, 78, 254–267. [Google Scholar] [CrossRef]
- Kottek, M.; Grieser, J.; Beck, C.; Rudolf, B.; Rubel, F. World map of the Köppen-Geiger climate classification updated. Meteorol. Z. 2006, 15, 259–263. [Google Scholar] [CrossRef]
- PRISM Climate Group. Oregon State University. Available online: http://prism.oregonstate.edu (accessed on 18 July 2024).
- Soil Survey Staff. Web Soil Survey. Available online: http://websoilsurvey.nrcs.usda.gov/ (accessed on 10 September 2024).
- Kluth, J.; Davis, N.; Wyffels, S.; Marlow, C.; Vermeire, L.; Sitz, T.; Hamilton, T.; DelCurto, T. Foraging Behavior, Botanical Composition, and Quality of Beef Cattle Diets on Burned Versus Unburned Foothill Rangelands. In Review. Grasses 2025. [Google Scholar]
- A Kluth, J.; Davis, N.G.; Wyffels, S.; Marlow, C.; Vermeire, L.; Van Emon, M.L.; Nack, M.; Sitz, T.; Hamilton, T.; Peterson, J.; et al. 245 The influence of deferment and season of use on beef cattle diet quality and composition following a rangeland wildfire. J. Anim. Sci. 2024, 102, 363–364. [Google Scholar] [CrossRef]
- Davis, N. Long-Term Vegetation Response to Grazing on a Southwest Montana Foothills Range. Intermt. J. Sci. 2018, 24, 175. [Google Scholar]
- Hamilton, T. Personal Communication; Montana State University: Bozeman, MT, USA, 2024. [Google Scholar]
- Association of Official Analytical Chemists. Official Methods of Analysis, 15th ed.; AOAC: Arlington, VA, USA, 1990; p. 1175. [Google Scholar]
- Goering, H.K.; Van Soest, P.J. Forage Fiber Analyses: Apparatus, Reagents, Procedures, and Some Applications; Agricultural Research Service, US Department of Agriculture: Washington, DC, USA, 1970.
- U.S. Geological Survey. Explanations for the National Water Conditions. Available online: https://water.usgs.gov/nwc/explain_data.html (accessed on 8 October 2024).
- McMaster, G.S.; Wilhelm, W.W. Growing degree-days: One equation, two interpretations. Agric. For. Meteorol. 1997, 87, 291–300. [Google Scholar] [CrossRef]
- Frank, A.; Hofmann, L. Relationship among grazing management, growing degree-days, and morphological development for native grasses on the Northern Great Plains. J. Range Manag. 1989, 42, 199–202. [Google Scholar] [CrossRef]
- Zavalloni, C.; Andresen, J.A.; Flore, J. Phenological models of flower bud stages and fruit growth ofmontmorency’sour cherry based on growing degree-day accumulation. J. Am. Soc. Hortic. Sci. 2006, 131, 601–607. [Google Scholar] [CrossRef]
- Peratoner, G.; Niedrist, G.; Figl, U.; Della Chiesa, S.; Vitalone, L.; Matteazzi, A. Effect of growing degree days and soil moisture on forage quality. In Proceedings of the 28th General Meeting of the European Grassland Federation, Meeting the Future Demands for Grassland Production, Helsinki, Finland, 19–22 October 2020; pp. 130–132. [Google Scholar]
- Moot, D.J.; Scott, W.R.; Roy, A.M.; Nicholls, A.C. Base temperature and thermal time requirements for germination and emergence of temperate pasture species. N. Z. J. Agric. Res. 2000, 43, 15–25. [Google Scholar] [CrossRef]
- Nagelmüller, S.; Kirchgessner, N.; Yates, S.; Hiltpold, M.; Walter, A. Leaf Length Tracker: A novel approach to analyse leaf elongation close to the thermal limit of growth in the field. J. Exp. Bot. 2016, 67, 1897–1906. [Google Scholar] [CrossRef]
- Senft, R.L.; Rittenhouse, L.R. A Model of Thermal Acclimation in Cattle. J. Anim. Sci. 1985, 61, 297–306. [Google Scholar] [CrossRef]
- R Core Team. R: A Language and Environment for Statistical Computing; R Foundation for Statistical Computing: Vienna, Austria, 2023. [Google Scholar]
- Kuznetsova, A.; Brockhoff, P.B.; Christensen, R.H.B. lmerTest package: Tests in linear mixed effects models. J. Stat. Softw. 2017, 82, 1–26. [Google Scholar] [CrossRef]
- Bates, D.; Machler, M.; Bolker, B.M.; Walker, S.C. Fitting linear mixed-effects models using lme4. J. Stat. Softw. 2015, 67, 1–48. [Google Scholar] [CrossRef]
- Lenth, R.V. emmeans: Estimated Marginal Means, aka Least-Squares Means, R Package, Version 1.10.1, CRAN. 2024. Available online: https://CRAN.R-project.org/package=emmeans (accessed on 24 September 2024).
- Feltz, C.J.; Miller, G.E. An asymptotic test for the equality of coefficients of variation from k populations. Stat. Med. 1996, 15, 647–658. [Google Scholar] [CrossRef]
- Marwick, B.; Krishnamoorthy, K. cvequality: Tests for the Equality of Coefficients of Variation from Multiple Groups, R Package, Version 0.2.0, CRAN. 2019. Available online: https://CRAN.R-project.org/package=cvequality (accessed on 24 September 2024).
- Thioulouse, J.; Simier, M.; Chessel, D. Simultaneous analysis of a sequence of paired ecological tables. Ecology 2004, 85, 272–283. [Google Scholar] [CrossRef]
- Simier, M.; Blanc, L.; Pellegrin, F.; Nandris, D. Approche simultanée de K couples de tableaux: Application à l’étude des relations pathologie végétale-environnement. Rev. De Stat. Appliquée 1999, 47, 31–46. [Google Scholar]
- Thioulouse, J.; Dray, S.; Dufour, A.-B.; Siberchicot, A.; Jombart, T.; Pavoine, S. Multivariate Analysis of Ecological Data with ade4; Springer: Berlin/Heidelberg, Germany, 2018. [Google Scholar] [CrossRef]
- Kraus, C.N.; Maciel, D.A.; Bonnet, M.P.; de Moraes Novo, E.M.L. Phytoplankton Genera Structure Revealed from the Multispectral Vertical Diffuse Attenuation Coefficient. Remote Sens. 2021, 13, 4114. [Google Scholar] [CrossRef]
- Certain, G.; Masse, J.; Van Canneyt, O.; Petitgas, P.; Doremus, G.; Santos, M.B.; Ridoux, V. Investigating the coupling between small pelagic fish and marine top predators using data collected from ecosystem-based surveys. Mar. Ecol. Prog. Ser. 2011, 422, 23–39. [Google Scholar] [CrossRef]
- Andueza, D.; Rodrigues, A.M.; Picard, F.; Rossignol, N.; Baumont, R.; Cecato, U.; Farruggia, A. Relationships between botanical composition, yield and forage quality of permanent grasslands over the first growth cycle. Grass Forage Sci. 2016, 71, 366–378. [Google Scholar] [CrossRef]
- Scasta, J. Seasonal forage dynamics of three grasses with different origins and photosynthetic pathways in a rural North American cold steppe. Livest. Res. Rural Dev. 2017, 29. Available online: http://www.lrrd.org/lrrd29/11/jsca29208.html (accessed on 24 September 2024).
- Locke, J.C.; French, J.T.; Gonzalez, C.E.; Harveson, L.A.; Warnock, B.J.; Gray, S.S. The Effects of Continuous and Rotational Livestock Grazing on Forb Quality and Quantity: Implications for Pronghorn Habitat Management. Rangel. Ecol. Manag. 2021, 77, 75–81. [Google Scholar] [CrossRef]
- Smart, A.J.; Schacht, W.H.; Volesky, J.D.; Moser, L.E. Seasonal Changes in Dry Matter Partitioning, Yield, and Crude Protein of Intermediate Wheatgrass and Smooth Bromegrass. Agron. J. 2006, 98, 986–991. [Google Scholar] [CrossRef]
- Jensen, K.B.; Robins, J.G.; Rigby, C.; Waldron, B.L. Comparative trends in forage nutritional quality across the growing season in 13 grasses. Can. J. Plant Sci. 2017, 97, 72–82. [Google Scholar] [CrossRef][Green Version]
- Clark, P.E.; Krueger, W.C.; Bryant, L.D.; Thomas, D.R. Livestock grazing effects on forage quality of elk winter range. J. Range Manag. 2000, 53, 97–105. [Google Scholar] [CrossRef]
- Wagner, G.D.; Peek, J.M. Bighorn sheep diet selection and forage quality in central Idaho. Northwest Sci. 2006, 80, 246. [Google Scholar]
- Cook, C.W.; Harris, L.E. Bulletin No. 342—The Nutritive Content of the Grazing Sheep’s Diet on Summer and Winter Ranges of Utah. In UAES Bulletins; Utah State University: Logan, UT, USA, 1950; p. 303. [Google Scholar]
- Cook, C.W.; Stoddart, L.A.; Harris, L.E. Bulletin No. 372—The Nutritive Value of Winter Range Plants in the Great Basin as Determined with Digestion Trials with Sheep. In UAES Bulletins; Utah State University: Logan, UT, USA, 1954; p. 331. [Google Scholar]
- Cook, C.W.; Harris, L.E. Bulletin No. 472—Nutritive Value of Seasonal Ranges. In UAES Bulletins; Utah State University: Logan, UT, USA, 1968; p. 350. [Google Scholar]
- McInnis, M.L.; Vavra, M. Dietary relationships among feral horses, cattle, and pronghorn in southeastern Oregon. J. Range Manag. 1987, 40, 60–66. [Google Scholar] [CrossRef]
- Wambolt, C.L.; Frisina, M.R.; Douglass, K.S.; Sherwood, H.W. Grazing effects on nutritional quality of bluebunch wheatgrass for elk. J. Range Manag. 1997, 50, 503–506. [Google Scholar] [CrossRef]
- Beck, J.L.; Peek, J.M. Great Basin summer range forage quality: Do plant nutrients meet elk requirements? West. N. Am. Nat. 2005, 65, 516–527. [Google Scholar]
- McCall, R. The Digestibility of Mature Range Grasses and Range Mixtures Fed Alone and with Supplements. J. Agric. Res. 1940, 60, 39–50. [Google Scholar]
- Dragt, W.; Havstad, K. Effects of cattle grazing upon chemical constituents within important forages for elk. Northwest Sci. 1987, 61, 70–73. [Google Scholar]
- Frisina, M.R.; Wambolt, C.L.; Fraas, W.W.; Guenther, G. Mule deer and elk winter diet as an indicator of habitat competition. In Proceedings RMRS-P-52; U.S. Department of Agriculture, Forest Service, Rocky Mountain Research Station: Fort Collins, CO, USA, 2008; pp. 123–126. [Google Scholar]
- Franco Urcos, R.C. Personal Communication; Montana State University: Norris, MT, USA, 2024. [Google Scholar]
- Holechek, J.L.; Vavra, M.; Skovlin, J.; Krueger, W.C. Cattle Diets in the Blue Mountains of Oregon, I. Grasslands. J. Range Manag. 1982, 35, 109–112. [Google Scholar] [CrossRef]
- Hart, R.; Abdalla, O.; Clark, D.; Marshall, M.; Hamid, M. Quality of forage and cattle diets on the Wyoming high plains. J. Range Manag. 1983, 36, 46–51. [Google Scholar] [CrossRef]
- Cruz, R.; Ganskopp, D. Seasonal preferences of steers for prominent northern Great Basin grasses. J. Range Manag. 1998, 51, 557–565. [Google Scholar] [CrossRef]
- Clark, A.; DelCurto, T.; Vavra, M.; Dick, B.L. Stocking Rate and Fuels Reduction Effects on Beef Cattle Diet Composition and Quality. Rangel. Ecol. Manag. 2013, 66, 714–720. [Google Scholar] [CrossRef]
- Van Dyne, G.M.; Thomas, O.O.; Van Horn, J.L. Diets of Cattle and Sheep Grazing on Winter Range. Proc. West. Sec. Am. Soc. Anim. Sci. 1964, 15, LXI 1-6. [Google Scholar]
- Ganskopp, D.; Bohnert, D. Mineral concentration dynamics among 7 northern Great Basin grasses. J. Range Manag. 2003, 56, 174–184. [Google Scholar] [CrossRef]
- Smallwood, M.; Bowles, D.J. Plants in a cold climate. Philos. Trans. R. Soc. London. Ser. B 2002, 357, 831–847. [Google Scholar] [CrossRef] [PubMed]
- Źróbek-Sokolnik, A. Temperature Stress and Responses of Plants. In Environmental Adaptations and Stress Tolerance of Plants in the Era of Climate Change; Ahmad, P., Prasad, M.N.V., Eds.; Springer: New York, NY, USA, 2012; pp. 113–134. [Google Scholar]
- Yu, J.; Cang, J.; Lu, Q.; Fan, B.; Xu, Q.; Li, W.; Wang, X. ABA enhanced cold tolerance of wheat ‘dn1’ via increasing ROS scavenging system. Plant Signal. Behav. 2020, 15, e1780403. [Google Scholar] [CrossRef] [PubMed]
- Bykova, O.; Sage, R.F. Winter cold tolerance and the geographic range separation of Bromus tectorum and Bromus rubens, two severe invasive species in North America. Glob. Change Biol. 2012, 18, 3654–3663. [Google Scholar] [CrossRef]
- Hoffman, L.; DaCosta, M.; Bertrand, A.; Castonguay, Y.; Ebdon, J.S. Comparative assessment of metabolic responses to cold acclimation and deacclimation in annual bluegrass and creeping bentgrass. Environ. Exp. Bot. 2014, 106, 197–206. [Google Scholar] [CrossRef]
- Daubenmire, R. Soil Moisture in Relation to Vegetation Distribution in the Mountains of Northern Idaho. Ecology 1968, 49, 431–438. [Google Scholar] [CrossRef]
- Goodwin, J.R.; Doescher, P.S.; Eddleman, L.E. Germination of Idaho fescue and cheatgrass seeds from coexisting populations. Northwest Sci. 1996, 70, 230–241. [Google Scholar]
- Weaver, T. Distribution of Root Biomass in Well-drained Surface Soils. Am. Midl. Nat. 1982, 107, 393–395. [Google Scholar] [CrossRef]
- Spence, L.E. Root Studies of Important Range Plants of the Boise River Watershed. J. For. 1937, 35, 747–754. [Google Scholar]
- Smith, G.D.; Newhall, F.; Robinson, L.H. Soil-Temperature Regimes—Their Characteristics and Predictability; USDA-SCS, US Government Publishing Office: Washington, DC, USA, 1964; Volume SCS-TP-144.
Disclaimer/Publisher’s Note: The statements, opinions and data contained in all publications are solely those of the individual author(s) and contributor(s) and not of MDPI and/or the editor(s). MDPI and/or the editor(s) disclaim responsibility for any injury to people or property resulting from any ideas, methods, instructions or products referred to in the content. |
© 2025 by the authors. Licensee MDPI, Basel, Switzerland. This article is an open access article distributed under the terms and conditions of the Creative Commons Attribution (CC BY) license (https://creativecommons.org/licenses/by/4.0/).



