Abstract
The review explores the critical role of chirality in the pharmacology of antidepressant drugs, focusing on how the stereochemistry of these compounds influences their biological activity and therapeutic outcomes. Antidepressants, especially modern classes such as selective serotonin reuptake inhibitors (SSRIs) and serotonin–norepinephrine reuptake inhibitors (SNRIs), often possess chiral centers that result in enantiomers with distinct pharmacodynamic and pharmacokinetic profiles. The review systematically examines various chiral antidepressants, including racemic mixtures and enantiomerically pure drugs, highlighting the differential effects of each enantiomer on neurotransmitter reuptake inhibition and the potential clinical implications. By examining specific examples of chiral antidepressants, the review illustrates the differences in pharmacokinetics and pharmacodynamics between enantiomers and racemic mixtures, emphasizing the clinical advantages of using enantiomerically pure compounds. Understanding and leveraging chirality in drug design and therapy is crucial for optimizing antidepressant treatments, offering insights into future research directions that could enhance patient outcomes by tailoring medication more precisely to individual biological profiles.
1. Introduction
Depression, often referred to as major depressive disorder or clinical depression, is a common yet serious mood disorder, causing intense symptoms that profoundly impact an individual’s emotions, thoughts, and daily routine, including their sleep patterns, eating habits, and work performance. For a diagnosis of depression, the symptoms must persist for a minimum of 2 weeks [1,2].
There are different types of depression, with some types arising from various circumstances. Some of these types are listed below [2,3]:
- Major depressive disorder—the most common type of depression—involves a persistent depressed mood or loss of interest lasting for at least two weeks, significantly interfering with daily activities, and characterized by feelings of sadness and hopelessness;
- Persistent depressive disorder (dysthymia or dysthymic disorder)—a chronic form of depression with less severe symptoms lasting for at least two years, where a person feels depressed most of the day on most days;
- Perinatal depression (prenatal and postpartum depression)—occurs during or after pregnancy and involves sadness, anxiety, and exhaustion, affecting a mother’s ability to care for herself or her baby;
- Seasonal affective disorder—a type of depression that occurs at specific times of the year, typically beginning in late fall or early winter and resolving in spring or summer, often due to reduced natural sunlight;
- Psychotic depression—a severe form of depression that includes symptoms of psychosis, such as delusions or hallucinations;
- Bipolar disorders (manic depression)—involves alternating episodes of depression and mania, marked by high energy and risky behaviors.
Depression is a complex condition influenced by a combination of factors (genetics, personality, environmental factors, life events, medical conditions, substance abuse) and can affect people of all ages, races, ethnicities, and genders. The annual incidence of mood disorders in adults is 10%, with the World Health Organization (WHO) estimating that 4.5% of the global population suffers from depression. Women are diagnosed with depression more often than men; statistics show that women are about twice as likely to experience depression as men. However, men are less likely to seek help and may experience depression differently; depression in men is also more likely to go undiagnosed, contributing to a higher risk of suicide [4,5].
Risk factors for depression include personal or family history of the disorder, major life changes, trauma, stress, and co-occurring medical conditions. The exact causes of depression remain unclear, but it is believed to result from a combination of genetic, environmental, and psychosocial factors, with the offspring of depressed individuals being significantly more likely to develop depression, especially if both parents are affected, and experiences such as loss, abuse, and poverty are associated with higher incidences of the disorder. Depression often begins in adulthood but is also diagnosed in children and adolescents, potentially exacerbating other medical issues and making individuals more susceptible to severe illnesses [5,6].
Depression signs and symptoms include a persistent sad or anxious mood, feelings of hopelessness or guilt, irritability, loss of interest in activities, fatigue, changes in sleep and appetite, difficulty concentrating, and thoughts of death or suicide. Symptoms can vary widely among individuals, potentially including increased anger, social withdrawal, substance use, and unexplained physical pains [2,5,7].
Depression is typically treated using a combination of approaches tailored to the individual’s needs, including medication, psychotherapy, and lifestyle changes.
Psychotherapy, such as cognitive–behavioral therapy (CBT) and interpersonal therapy (IPT), helps individuals with depression by teaching them to identify and change troubling emotions, thoughts, and behaviors. Typically, psychotherapy involves one-on-one sessions with a licensed mental health professional or group sessions together with other patients [8,9].
Antidepressants are commonly prescribed to treat depression by adjusting how the brain handles certain neurotransmitters (serotonin, norepinephrine, dopamine) related to mood and stress. Finding the right medication can be a trial-and-error process, often needing several attempts to identify one that effectively alleviates symptoms with manageable side effects. Typically, antidepressants take 4–8 weeks to show results, with initial improvements in sleep, appetite, and concentration often occurring before mood enhancement. In some cases, mood stabilizers, antipsychotics, or anxiolytic medications may be used alongside classic antidepressants [10,11].
After achieving remission, it is generally advised to continue the effective antidepressant treatment for a minimum of six months. Since only about half of patients experience full symptom relief with their initial antidepressant, adjustments such as changing the medication, increasing the dosage, or adding another drug are often necessary. Maintenance therapy, which involves continuing the antidepressant after managing a major depressive episode, aims to prevent relapse and may extend for years or even a lifetime [10,11].
Other treatments for severe or specific types of depression include electroconvulsive therapy for treatment-resistant cases, transcranial magnetic stimulation using magnetic fields to stimulate brain nerve cells, and light therapy, particularly effective for seasonal affective disorder [12].
The monoamine hypothesis of depression suggests that a deficiency in neurotransmitters like serotonin, norepinephrine, and dopamine causes depression. This theory emerged after research on the antihypertensive drug reserpine showed it affected serotonin and norepinephrine metabolisms, causing depression-like symptoms. However, around 30% of patients do not respond to these agents, indicating the need for further investigation into the underlying mechanisms of depression [13,14].
Recent theories highlight the role of stress in depression, where elevated cortisol levels can damage neurons and disrupt brain structures such as the hippocampus, amygdala, and prefrontal cortex, with the neurotrophic hypothesis suggesting that stress and genetic vulnerability reduce brain-derived neurotrophic factor expression, leading to neuronal atrophy [15]. Additionally, inflammation can be linked to depression, as increased inflammatory markers can affect neurotransmitter signaling and neuroplasticity, while genetic and epigenetic changes, such as DNA methylation and histone modifications, alter gene expression involved in mood regulation and stress responses, with early life stress potentially having long-lasting effects on the epigenome [16].
Stereochemistry is a crucial aspect of pharmacology, determining how enantiomers interact with biological systems. Chiral drugs play a vital role in the global pharmaceutical market due to the significant impact of chirality on a drug’s biological and pharmacological properties. Drugs are categorized into achiral, racemic, and single-enantiomer (enantiopure) drugs, which can have one or multiple chiral centers [17].
The pharmaceutical activity of a chiral drug is typically associated with one enantiomer, known as the eutomer, which is more potent, while the other enantiomer, known as the distomer, is usually less potent but can sometimes be responsible for the adverse effects observed in the racemic mixture administration [17,18].
In 1992, the Food and Drug Administration (FDA) issued guidelines for the pharmaceutical development of single enantiomers and racemates, marking a significant shift in chiral drug development practices. This policy aimed to enhance drug efficacy and safety by focusing on the specific actions of individual enantiomers. European Medicines Agency (EMA) adopted a similar policy in 1994, reinforcing the importance of stereochemistry in drug development on a global scale. These guidelines have since influenced the development processes of chiral drugs, ensuring that both single-enantiomer drugs and racemic mixtures are thoroughly evaluated for their pharmacological profiles, therapeutic indices, and potential side effects [19]
Nearly 50% of pharmaceuticals in the market are chiral compounds; however, more than half of these are administered as racemates. However, recently, pharmaceutical companies have increasingly focused on developing enantiomerically pure substances. Using single-enantiomer drugs can result in simpler and more selective pharmacological profiles, better therapeutic indices, simpler pharmacokinetics, and fewer drug interactions [20].
Pharmaceutical companies encounter two scenarios in developing chiral drugs: switching an existing racemic drug to one of its enantiomers, usually the eutomer, and developing a new, enantiomerically pure drug. Chiral switch, particularly from 1990 to 2010, has been a significant aspect of enantiopure drug development. Nowadays, to develop an enantiomerically pure drug, the pharmaceutical industry can employ one of three approaches: starting with a pure enantiomer from a natural product, utilizing stereoselective synthesis (including enzymatic and biological methods), or separating a racemate produced by non-stereoselective synthesis [20,21].
Antidepressants are particularly notable from a chirality perspective, comprising numerous chiral substances used either as racemates or pure enantiomers. Modern antidepressants, including selective serotonin reuptake inhibitors (SSRIs) and serotonin and norepinephrine reuptake inhibitors (SNRIs), possess one or two centers of asymmetry, leading to the formation of enantiomers with distinct pharmacodynamic, pharmacokinetic, and pharmacotoxicologic properties [22,23]. The review focuses on chiral antidepressant drugs, demonstrating how chirality influences the properties of specific antidepressants and their metabolites while highlighting the pharmacological differences between racemic mixtures and pure enantiomers.
The review builds upon one of our previous works [22]. It expands by incorporating more recent advancements in the field, including updates on metabolic pathways. We have also emphasized novel stereoselective mechanisms not discussed in detail previously, ensuring that this review offers a fresh and updated perspective on the chirality of antidepressants.
The primary aim of the review is to provide a comprehensive analysis of the role of chirality in the pharmacological properties of antidepressant drugs. It examines how the stereochemistry of these drugs affects their efficacy, safety, and overall therapeutic outcomes. By analyzing various antidepressants, including enantiomers and racemic mixtures, the review seeks to elucidate the clinical implications of chirality and to emphasize the advantages of developing and utilizing enantiomerically pure compounds in the treatment of depression. Furthermore, the review underscores the importance of stereochemistry in optimizing drug design and therapeutic strategies, ultimately aiming to improve therapeutic outcomes.
2. Chiral Antidepressants
Antidepressants are classified into several categories based on their chemical structure and mechanism of action [11,24].
- Tricyclic antidepressants (TCAs): dibenzazepines (imipramine, clomipramine, trimipramine, desipramine), dibenzocycloheptadienes (amitriptyline, nortriptyline), dibenzoxepines (doxepine);
- Tetracyclic antidepressants: maprotiline, mianserin, mirtazapine;
- Selective serotonin reuptake inhibitors (SSRIs): citalopram, fluoxetine, fluvoxamine, paroxetine, sertraline;
- Serotonin–norepinephrine reuptake inhibitors (SNRIs): desvenlafaxine, duloxetine, milnacipran, venlafaxine;
- Serotonin antagonist and reuptake inhibitors (SARIs): nefazodone, trazodone;
- Norepinephrine reuptake inhibitors (NRIs): reboxetine, teniloxazine, viloxazine;
- Norepinephrine–dopamine reuptake inhibitors (NDRIs): bupropion;
- Monoamine oxidase inhibitors (MAOIs): irreversible (isocarboxazid, phenelzine, tranylcypromine), reversible (metralindole, moclobemide, pirlindole);
- Other antidepressants: agomelatine, esketamine, indeloxazine.
While antidepressants encompass a broad range of drug classes, this review primarily focuses on selective SSRIs, SNRIs, and other chiral antidepressants, such as NRIs, NDRIs, and tetracyclics, examining the role of chirality in these categories
2.1. Selective Serotonin Reuptake Inhibitors (SSRIs)
All SSRIs, except for fluvoxamine, are chiral substances. Some SSRIs have one chiral center (e.g., citalopram, fluoxetine), while others have two chiral centers (e.g., paroxetine, sertraline). These drugs are administered either as racemic mixtures (e.g., fluoxetine) or as pure enantiomers (e.g., paroxetine, sertraline), while in the case of citalopram, it is available both as a racemic mixture and as a pure enantiomer [22].
Fluoxetine (R, S-N-methyl-3-phenyl-3-[4-(trifluoromethyl)phenoxy]propan-1-amine) was the first SSRI used therapy; its introduction is often regarded as the beginning of modern approaches in depression management. Fluoxetine, marketed under the brand name Prozac® by Eli Lilly, received approval from the FDA in December 1987 for the treatment of major depressive disorder. Nowadays, fluoxetine has a variety of indications, including major depressive disorder, obsessive–compulsive disorder, bulimia nervosa, panic disorder, and premenstrual dysphoric disorder [25,26].
Fluoxetine’s chemical structure is characterized by its N-methylated phenoxypropan-1-amine structure, featuring a phenyl ring and a para-positioned trifluoromethyl group. It has a chiral center, which leads to the existence of two enantiomers R-fluoxetine and S-fluoxetine; it is marketed as a racemic mixture, R, S-fluoxetine [26,27]. The chemical structures of fluoxetine enantiomers are presented in Figure 1.
Figure 1.
Chemical structures of fluoxetine enantiomers.
Both fluoxetine enantiomers effectively block serotonin reuptake in vitro, but they differ significantly in vivo due to their distinct metabolic pathways. Fluoxetine undergoes extensive metabolism in the liver via the cytochrome P450 enzyme system, primarily through N-demethylation, producing the active metabolite norfluoxetine, which is also an SSRI, thereby potentiating fluoxetine antidepressant effects. Norfluoxetine is also a chiral substance, and fluoxetine’s main metabolic pathway is stereoselective [26,28]. Fluoxetine’s main metabolic route is presented in Figure 2.
Figure 2.
Fluoxetine metabolism [28,29].
R-fluoxetine and S-fluoxetine differ in their metabolic rates, with R-fluoxetine being cleared about four times faster than S-fluoxetine; consequently, the half-life of S-fluoxetine is longer, which may influence the duration of action and side effect profiles. S-norfluoxetine, the metabolite of S-fluoxetine, is a more potent SSRI than R-norfluoxetine and reaches higher plasma levels during therapy, with S/R-fluoxetine ratios ranging from 1 to 3.5 [29].
In vitro studies indicated that CYP2D6, along with CYP2C9 and CYP2C19, is involved in the stereoselective metabolism of fluoxetine and norfluoxetine. CYP2D6 shows higher activity toward S-norfluoxetine, while CYP2C9 and CYP2C19 favor the formation of R-norfluoxetine. Additionally, R-fluoxetine and its metabolite inhibit CYP2D6 less than S-fluoxetine and its metabolite [26,30].
R-fluoxetine was anticipated to produce more stable plasma levels of active substance and its active metabolites compared to the racemic mixture. As a result, clinical trials were initiated to evaluate the safety and effectiveness of R-fluoxetine as an antidepressant. Unfortunately, these trials were halted in phase II clinical trials due to the discovery of a slight but statistically significant prolongation of the QT interval at higher doses [31]. Similarly, S-fluoxetine was investigated for migraine prophylaxis but has not yet received FDA approval [32].
Citalopram (R, S-1-[3-(dimethylamino)propyl]-1-(4-fluorophenyl)-3H-2-benzofuran-5-carbonitrile) is another SSRI antidepressant, prescribed in the treatment of major depressive disorder, obsessive–compulsive disorder, panic disorder, and social phobia. Citalopram was originally marketed by Lundbeck in 1989 in Denmark and received FDA approval only in 1998 [33,34].
Citalopram’s chemical structure features a benzofuran core with a 4-fluorophenyl group and a dimethylamino propyl side chain. It has a chiral center, to which the fluorophenyl and the dimethyl-3-aminopropyl groups are bonded, which leads to the existence of two enantiomers R-citalopram and S-citalopram [35]. The chemical structures of CIT enantiomers are presented in Figure 3.
Figure 3.
Chemical structures of citalopram enantiomers.
Citalopram was initially marketed as a racemic drug; however, differences in their pharmacological potencies led to a “chiral switch” to the more active S-enantiomer, known as escitalopram. Currently, Citalopram is the only SSRI antidepressant available in both racemic and pure enantiomer forms [34,35].
The therapeutic activity of racemic citalopram resides primarily in the S-citalopram enantiomer. Studies have shown that S-citalopram exhibits significantly higher activity as an SSRI compared to R-citalopram, S-citalopram being about 30 times more potent than R-citalopram in inhibiting serotonin reuptake. After administration of R, S-citalopram, plasma concentrations of the distomer R-citalopram are higher than those of the eutomer S-citalopram, likely due to the stereoselective actions of cytochrome P450 enzymes in the liver [35,36].
Citalopram undergoes hepatic metabolism through N-demethylation to form active metabolites like desmethylcitalopram and didesmethylcitalopram. These metabolites also function as SSRIs, albeit with lower potency than the parent drug. S-desmethylcitalopram is about six times less potent than S-citalopram; however, R-desmethylcitalopram is approximately four times more potent than R-citalopram [37,38]. Citalopram’s main metabolic route is presented in Figure 4.
Figure 4.
Citalopram metabolism [37,38].
Citalopram metabolism is influenced by various cytochrome P450 enzymes. S-citalopram is preferred by CYP3A4 and CYP2C19, while R-citalopram is preferred by CYP2D6. This stereoselectivity results in more predictable pharmacokinetics for S-citalopram compared to the racemate. The interaction between R-citalopram and S-citalopram, where R-citalopram has a greater affinity for the primary binding site on the serotonin transporter, can explain the potential antagonistic effect of R-citalopram on S-citalopram. This effect might be due to an allosteric mechanism that causes the serotonin transporter to detach from S-citalopram; serotonin’s behavior in binding to both the primary and allosteric sites on the transporter may lead to enhanced binding and increased inhibition of serotonin reuptake by S-citalopram. This suggests that S-citalopram acts as an allosteric serotonin reuptake inhibitor. Furthermore, since R-citalopram is metabolized by CYP2D6, administering S-citalopram avoids the complications of genetic polymorphisms and variability in drug levels [39,40].
S-citalopram administration offers several advantages over R, S-citalopram, including increased potency, lower required doses, and reduced side effects attributable to R-citalopram. This makes S-citalopram a good example of the benefits of a successful “chiral switch”. Clinical trials demonstrated that S-citalopram has greater efficacy than R, S-citalopram at equivalent doses and is better tolerated, with a potential for an earlier onset of action. However, there is no current evidence suggesting that patients who respond well to R, S-citalopram will benefit more from switching to S-citalopram [34,37,41].
Sertraline ((1S, 4S)-4-(3, 4-dichlorophenyl)-N-methyl-1, 2, 3, 4-tetrahydronaphthalen-1-amine) is an SSRI used in the treatment of major depressive disorder, obsessive–compulsive disorder, generalized anxiety disorder, panic disorder, and social anxiety disorder. Sertraline, marketed under the brand name Zoloft® by Pfizer, received approval from the FDA in 1991 for the treatment of major depressive disorder [42].
Sertraline features a bicyclic structure, being classified as a tetralin derivative, with substitutions at positions 1 and 4 by a methylamino and a 3, 4-dichlorophenyl group, respectively. Sertraline possesses two chiral centers within its molecular structure, which leads to the existence of four stereoisomers (two pairs of enantiomers). The stereochemistry of the molecule significantly impacts its drug action selectivity; the enantiomer utilized in therapy has a (+)-cis-(1S, 4S) configuration [43]. Figure 5 presents the chemical structures of the sertraline diastereomers.
Figure 5.
Chemical structures of sertraline stereoisomers.
In the case of trans isomers, the (+)-1R, 4S-enantiomer effectively inhibits serotonin, dopamine, and norepinephrine, while the (−)-1S, 4R-enantiomer is more selective for norepinephrine inhibition. Among the cis isomers, the (+)-1S, 4S-enantiomer excels in inhibiting serotonin uptake, and even though (+)-trans-1R, 4S-enantiomer is twice as potent, the (+)-cis-1S, 4S was preferred in therapeutic applications due to its superior selectivity for serotonin uptake inhibition [42,44].
Sertraline undergoes primary metabolism via N-demethylation to form N-desmethylsertraline, primarily catalyzed by CYP3A4 and CYP2B6, with contributions from CYP2C19 and CYP2D6. Sertraline and desmethyl sertraline are further metabolized to sertraline ketone and hydroxy sertraline ketone; additionally, sertraline undergoes glucuronidation, forming sertraline N-carbamoyl glucuronide, which aids in its excretion from the body [45]. SER’s main metabolic route is presented in Figure 6.
Figure 6.
Sertraline metabolism [45].
Paroxetine ((3S, 4R)-3-(1, 3-benzodioxol-5-yloxymethyl)-4-(4-fluorophenyl)piperidine) is an SSRI used in the treatment of major depressive disorder, obsessive–compulsive disorder, generalized anxiety disorder, panic disorder, post-traumatic stress disorder, premenstrual dysphoric disorder, and social anxiety disorder. Paroxetine, marketed under the brand name Seroxat® by GlaxoSmithKline, received approval from the FDA in 1992 for the treatment of major depressive disorder [46].
Paroxetine is a benzodioxole compound consisting of a piperidine ring with a (3, 4-methylenedioxyphenoxy)methyl group at position 3 and a 4-fluorophenyl group at position 4. Paroxetine possesses two chiral centers within its molecular structure, which leads to the existence of four stereoisomers (two pairs of enantiomers). The stereochemistry of the molecule significantly impacts its drug action selectivity; the enantiomer utilized in therapy has a (−)-trans-(3S, 4R) configuration [47]. Figure 7 presents the chemical structures of the paroxetine diastereomers.
Figure 7.
Chemical structures of paroxetine stereoisomers.
Paroxetine is metabolized primarily by CYP1A2, CYP2C19, and CYP2D6 into hydroxylated derivatives as paroxetine catechols, with further metabolism by CYP3A4/5 and COMT [48]. Paroxetine’s main metabolic route is presented in Figure 8.
Figure 8.
Paroxetine metabolism [48].
2.2. Serotonin and Norepinephrine Reuptake Inhibitors (SNRIs)
All SNRIs used in therapy are chiral, with some containing one chiral center (e.g., duloxetine, venlafaxine) and others having two chiral centers (e.g., milnacipran). These drugs are administered either as racemic mixtures (e.g., venlafaxine), as pure enantiomers (e.g., duloxetine), or in the case of milnacipran, both as racemic mixtures and as pure enantiomers [22].
Venlafaxine (R, S-1-[2-(dimethylamino)-1-(4-methoxyphenyl)ethyl]cyclohexan-1-ol) was the first SNRI introduced in therapy. It was approved by the FDA in 1993 under the brand name Effexor®. It is used in the treatment of major depressive disorder, generalized anxiety disorder, panic disorder, and social anxiety disorder [49].
Venlafaxine is a tertiary amino compound, a bicyclic phenylethylamine derivative, featuring a cyclohexanol ring linked to a dimethylaminoethyl chain and a 4-methoxyphenyl group. It has a chiral center, which leads to the existence of two enantiomers: R-venlafaxine and S-venlafaxine. Venlafaxine is administered in therapy as a racemic mixture, with each enantiomer displaying beneficial pharmacological effects for treating depression, yet they interact with neurotransmitters in distinct ways [49,50]. The chemical structures of venlafaxine enantiomers are presented in Figure 9.
Figure 9.
Chemical structures of venlafaxine enantiomers.
R-venlafaxine is a potent inhibitor of both serotonin and norepinephrine reuptake, whereas S-venlafaxine is more selective for inhibiting serotonin reuptake. S-venlafaxine is also a more potent inhibitor of CYP2D6 in vitro compared to R-venlafaxine and is preferentially metabolized by CYP2D6 at therapeutic concentrations, with the opposite occurring at high concentrations [51].
Venlafaxine is metabolized in the liver by the CYP-450 system into three active metabolites: O-desmethylvenlafaxine, N-desmethylvenlafaxine, and N, O-didesmethylvenlafaxine. The primary metabolic pathway is O-demethylation to O-desmethylvenlafaxine (desvenlafaxine), which retains similar pharmacological activity to venlafaxine. N-desmethylvenlafaxine and N, O-didesmethylvenlafaxine are less potent than venlafaxine but still active. Venlafaxine metabolism is stereoselective, with CYP2D6 showing higher selectivity for converting R-venlafaxine to R-desvenlafaxine, whereas CYP3A4-mediated clearance to N-desmethylvenlafaxine is not stereoselective. The S-enantiomers of the active metabolites are also more potent than SSRIs [52,53]. Venlafaxine’s metabolism pathway is presented in Figure 10.
Figure 10.
Venlafaxine metabolism [52,53].
Desvenlafaxine (R, S-4-[2-(dimethylamino)-1-(1-hydroxycyclohexyl)ethyl]phenol), the main metabolite of VEN, was also approved by the FDA in 2008 for the treatment of major depression disorder. Desvenlafaxine also retains a chiral center, which leads to the existence of two enantiomers, R-desvenlafaxine and S-desvenlafaxine, and is used in therapy as a racemic mixture [54]. The chemical structures of venlafaxine enantiomers are presented in Figure 11.
Figure 11.
Chemical structures of desvenlafaxine enantiomers.
Duloxetine (3S-N-methyl-3-naphthalen-1-yloxy-3-thiophen-2-ylpropan-1-amine) is an SNRI used in the treatment of major depressive disorder, generalized anxiety disorder, obsessive–compulsive disorder, fibromyalgia, or neuropathic pain. It was approved by the FDA in 2004 under the brand name Cymbalta® [55].
Duloxetine possesses an asymmetric carbon atom and is used in therapy as a pure enantiomer, S-duloxetine [55]. The chemical structures of the duloxetine enantiomers are shown in Figure 12.
Figure 12.
Chemical structures of duloxetine enantiomers.
Both enantiomers of duloxetine act as SNRIs; however, S-duloxetine is found to be twice as active as R-duloxetine [56].
Duloxetine undergoes hepatic metabolism primarily via CYP1A2 and CYP2D6, leading to the formation of pharmacologically inactive metabolites, such as 4-hydroxy duloxetine and 5-hydroxy, 6-methoxy duloxetine, which are then conjugated with glucuronic acid or sulfate before excretion. The stereoselective nature of these metabolic processes means that genetic polymorphisms in CYP2D6 can significantly influence duloxetine’s pharmacokinetics [57].
Milnacipran ((1R, 2S)-2-(aminomethyl)-N, N-diethyl-1-phenyl-1-cyclopropanecarboxamide + (1S, 2R)-2-(aminomethyl)-N, N-diethyl-1-phenyl-1-cyclopropanecarboxamide mixture) is an SNRI used in the treatment of major depressive disorder and fibromyalgia [58]. Its initial approval came in France in 1996, specifically for the treatment of major depressive disorder; later, in 2009, the FDA approved milnacipran for treating fibromyalgia. Notably, despite being approved for fibromyalgia, milnacipran has not been approved for treating major depressive disorder in the U.S., while the EMA has not approved it for the treatment of fibromyalgia [58,59].
Milnacipran features a cyclopropane ring bonded to a phenyl group, with a carboxamide functional group and an aminomethyl group also attached to the cyclopropane. Milnacipran has two chiral centers located in the cyclopropane ring, which generate the existence of four stereoisomers, being used in therapy in the form of a mixture of two cis conformation isomers: 1R, 2S-milnacipran and 1S, 2R-milnacipran [60]. The chemical structures of milnacipran stereoisomers are presented in Figure 13.
Figure 13.
Chemical structures of milnacipran stereoisomers.
The levorotatory enantiomer levomilnacipran ((1S, 2R)-2-(aminomethyl)-N, N-diethyl-1-phenylcyclopropane-1-carboxamide) was approved by the FDA for the treatment of major depressive disorder in 2013. The chiral switch to the (1S, 2R)-isomer was justified because it most effectively inhibits the reuptake of serotonin and norepinephrine due to its favorable pharmacokinetic and pharmacodynamic properties. After administration, no interconversion between levomilnacipran and its stereoisomer was observed [59].
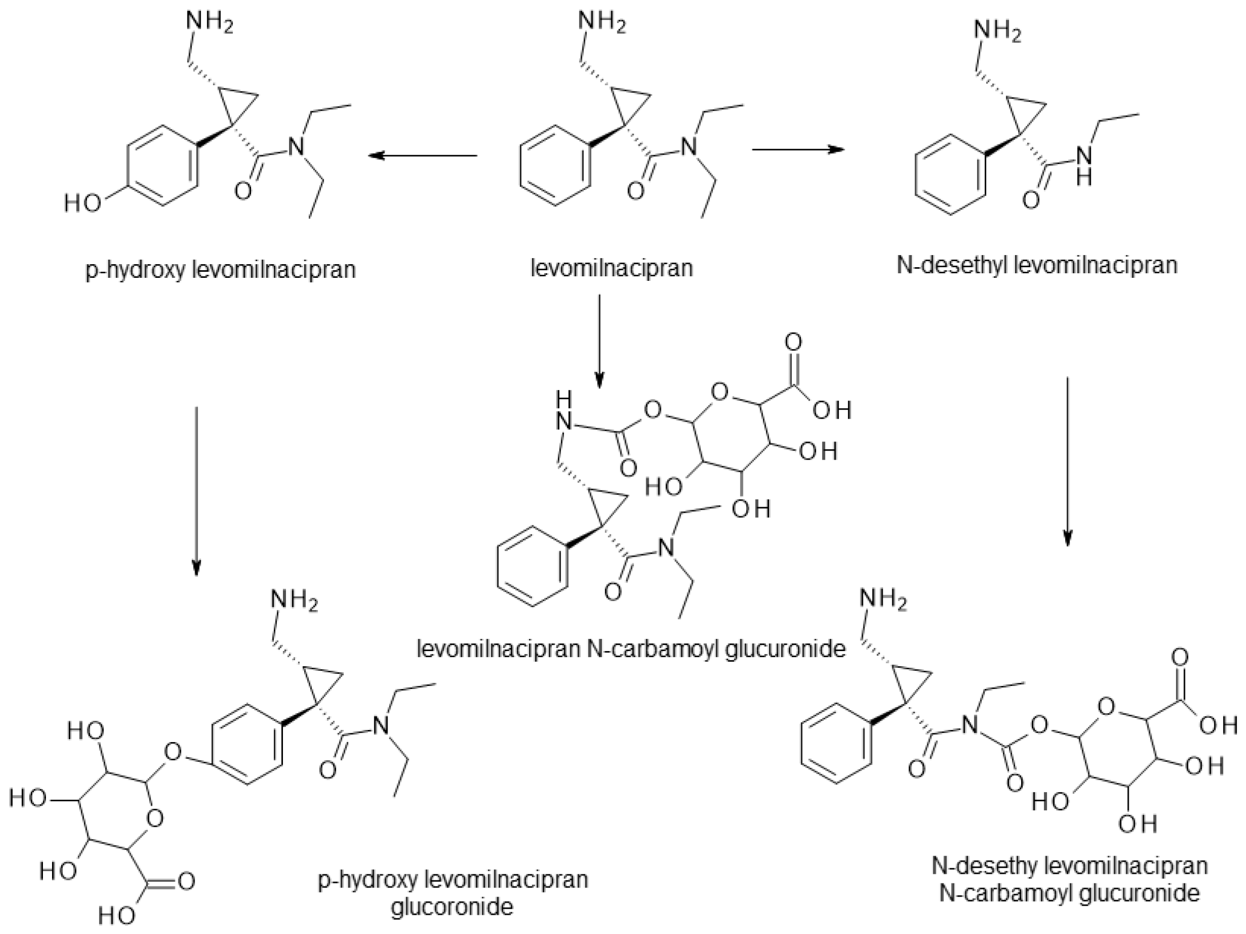
Milnacipran undergoes N-desethylation to form N-desethyl milnacipran, which is further metabolized to its N-carbamoyl glucuronide. It is also directly glucuronidated to form milnacipran N-carbamoyl glucuronide and p-hydroxy milnacipran glucuronide, with a significant portion of the dose excreted in urine as unchanged milnacipran. Approximately half of the administered dose of milnacipran is excreted in urine as unchanged milnacipran, with a slightly higher proportion being dextromilnacipran (1R, 2S-milnacipran). Additionally, around 20% of the dose is excreted as the milnacipran carbamoyl O-glucuronide metabolite, mainly in the form of the levomilnacipran carbamoyl O-glucuronide metabolite. Moreover, about 10% of the dose is excreted as the N-desethyl milnacipran metabolite [61,62]. A metabolic pathway for levomilnacipran is presented in Figure 14.
Figure 14.
Levomilnacipran metabolism [61,62].
2.3. Norepinephrine Reuptake Inhibitors (NRIs)
Reboxetine ((2R)-2-[(R)-(2-ethoxyphenoxy)-phenylmethyl]morpholine + (2S)-2-[(S)-(2-ethoxyphenoxy)-phenylmethyl]morpholine mixture) is an NRI used as an antidepressant for treating major depressive disorder and is also used off-label for panic disorder and attention deficit hyperactivity disorder (ADHD). Reboxetine received its first approval in Europe in 1997 and provisional FDA approval in 1999, but in 2001, the FDA issued a “not approvable” letter based on required clinical trial results [63].
Reboxetine contains a morpholine ring with an attached phenylmethyl group and includes a 2-ethoxyphenoxy moiety, where an ethoxy group is attached to the second position of a phenoxy group. Reboxetine has two chiral centers, which leads to the existence of four stereoisomers. It is used in therapy as a racemic mixture of two enantiomers, R, R-reboxetine and S, S-reboxetine [64]. The chemical structures of reboxetine stereoisomers are presented in Figure 15.
Figure 15.
Chemical structures of reboxetine stereoisomers.
S, S-reboxetine is more potent in inhibiting the norepinephrine transporter and provides the primary therapeutic effect, whereas R, R-reboxetine is less effective. The activity is not a consequence of stereoselective metabolism, as CYP3A4 acts on both enantiomers to the same extent. However, S, S-reboxetine seems to be also responsible for the drug’s vasomotor and cardiac side effects. The enantiomers exhibit similar half-lives, and the difference in plasma levels between them, with higher concentrations of R, R-reboxetine is likely due to better renal clearance of S, S-reboxetine. The main metabolite of reboxetine is O-desethylreboxetine, along with three minor metabolites [65].
2.4. Norepinephrine–Dopamine Reuptake Inhibitors (NDRIs)
Bupropion (R, S-2-(tert-butylamino)-1-(3-chlorophenyl)propan-1-one) is an NDRI atypical antidepressant used in the treatment of major depressive disorder and to support smoking cessation. Approved by the FDA in 1985, it was originally known by the name amfebutamone before being renamed in 2000 [66].
Chemically, bupropion is an aminoketone that falls under the class of substituted cathinones and, more broadly, belongs to the substituted amphetamines and substituted phenethylamines. Bupropion contains a 3-chlorophenyl group with an attached carbonyl group forming a ketone functionality, which is part of a propyl chain ending in a tert-butylamino group. Bupropion has a chiral center at the carbon atom to which the tert-butylamino group is attached, resulting in the existence of two enantiomers: R-bupropion and S-bupropion. It is used in therapy as a racemic mixture [67]. The chemical structures of bupropion enantiomers are presented in Figure 16.
Figure 16.
Chemical structures of bupropion enantiomers.
R-bupropion is more potent in inhibiting norepinephrine and dopamine reuptake, significantly contributing to its antidepressant effects, and has a slightly longer half-life, while S-bupropion is less potent with different receptor binding profiles and intrinsic activities [67].
Bupropion is metabolized primarily by CYP2B6 and to a lesser extent by CYP2C19 into various hydroxybupropion isomers, leading to R, R-hydroxybupropion and S, S-hydroxybupropion and, to a lesser degree, 4′-hydroxybupropion. Hydroxybupropion has two chiral centers in its structure. The reductive pathways involve 11β-hydroxysteroid dehydrogenase type 1 in the liver and AKR7A2/AKR7A3 in the intestine, producing throhydrobupropion, while an unknown enzyme is responsible for forming erythrohydrobupropion [68].
The stereoselective pharmacokinetics of bupropion and its metabolites indicate higher presystemic metabolism of S-bupropion by carbonyl reductases. The renal clearance of S, S-hydroxybupropion is nearly 10 times higher than that of R, R-hydroxybupropion. Plasma concentrations of S-bupropion were found to be 3 times higher than those of R-bupropion, while concentrations of R, R-hydroxybupropion were approximately 10 times higher than those of S, S-hydroxybupropion [68]. A metabolic pathway for bupropion is presented in Figure 17.
Figure 17.
Bupropion metabolism [68].
2.5. Tetracyclic Antidepressants
Mianserin (5-methyl-2, 5-diazatetracyclo [13.4.0.02,7.08,13]nonadeca-1 (19), 8, 10, 12, 15, 17-hexane) is a tetracyclic antidepressant used in the treatment of major depressive disorder. It was first introduced in therapy in 1979 in France. Mianserin exerts its effects primarily through the antagonism of histamine and serotonin receptors, as well as by inhibiting the reuptake of norepinephrine [69].
Mianserin’s complex tetracyclic structure consists of a dibenzazepine skeleton with three fused benzene rings, a seven-membered nitrogen-containing ring, and a piperazine ring, both bearing methyl group attachments. It has a chiral center in its structure, which generates the existence of two enantiomers: R-mianserin and S-mianserin; it is used in therapy as a racemic mixture [69]. The chemical structures of the mianserin enantiomers are presented in Figure 18.
Figure 18.
Chemical structures of mianserin enantiomers.
Mianserin enantiomers exhibit distinct pharmacological and metabolic profiles, with S-mianserin being more potent in inhibiting norepinephrine reuptake and showing stereoselective metabolism, while both enantiomers share similar sedative effects and activity at α2-adrenergic and 5-HT receptors. This shared activity leads to comparable effects in terms of sedation and anxiety reduction; however, the antidepressant efficacy is more pronounced with S-mianserin due to its stronger norepinephrine reuptake inhibition [70].
S-mianserin is metabolized more efficiently through 8-hydroxylation and N-oxidation by CYP2D6 and CYP3A, whereas R-mianserin undergoes more rapid N-demethylation by CYP1A2, leading to differences in enantiomer pharmacokinetics [70].
Mirtazapine (5-methyl-2, 5, 19-triazatetracyclo [13.4.0.02,7.08,13]nonadeca-1 (15), 8, 10, 12, 16, 18-hexaene) is a tetracyclic antidepressant used in the treatment of major depressive disorder. It was first introduced in therapy in 1994 in the Netherlands. Mirtazapine has antihistamine, α2-blocker, and antiserotonergic activity [71].
Mirtazapine’s structure features a tetracyclic dibenzoazepine core like mianserin, with a piperazine ring attached, a methyl group on the azepine nitrogen, and a dimethylaminomethyl group at the 4-position of the piperazine ring. It has a chiral center in its structure, which generates the existence of two enantiomers: R-mirtazapine and S-mirtazapine; it is used in therapy as a racemic mixture [71]. The chemical structures of mirtazapine enantiomers are presented in Figure 19.
Figure 19.
Chemical structures of mirtazapine enantiomers.
Mirtazapine functions as a potent noradrenergic and serotonergic antidepressant, with S-mirtazapine being a stronger antagonist of α2-autoreceptors and 5-HT2 receptors, while R-mirtazapine targeting α2-heteroreceptors and 5-HT3 receptors. Both enantiomers contribute to the antagonism of H1 and α2-adrenergic receptors [72].
2.6. Other Antidepressants
Esketamine ((2S)-2-(2-chlorophenyl)-2-(methylamino)cyclohexan-1-one) is the S-enantiomer of ketamine, an N-methyl-D-aspartate (NMDA) receptor antagonist and an intravenous general anesthetic. It was approved recently by the FDA in 2019 for the treatment of major depression that is resistant to other therapies in the form of nasal spray under the brand name Spravato® by Janssen Pharmaceuticals [72,73].
Ketamine is part of the arylcyclohexylamine class of drugs, characterized by a chlorine-substituted phenyl group attached to the 2-position of the cyclohexane ring; a ketone group and a methylamino group, giving ketamine both aryl and amine functionalities. It has a chiral center in its structure, which generates the existence of two enantiomers: R-ketamine and S-ketamine [73,74]. The chemical structures of ketamine enantiomers are presented in Figure 20.
Figure 20.
Chemical structures of ketamine enantiomers.
Esketamine, the more potent S-enantiomer of ketamine, works by modulating glutamate, a key neurotransmitter involved in mood regulation, through NMDA receptor antagonism. It is approximately twice as potent as racemic ketamine as an anesthetic. Unlike traditional antidepressants, which often take weeks to take effect, esketamine can rapidly improve depressive symptoms, making it particularly beneficial for patients with treatment-resistant depression. Its fast-acting nature provides hope for individuals with major depressive disorder, especially those at high risk of suicide or in need of immediate intervention [72,75].
While ketamine has been misused as a recreational drug, known as “Special K”, for its dissociative and hallucinogenic effects, esketamine is a medically supervised treatment. In the United States, it is classified as a Schedule III controlled substance due to its potential for abuse [75].
3. Discussion
The review highlights the crucial role of chirality in the pharmacology of antidepressant medications, with important ramifications for both future research and clinical practice. The role of stereochemistry in drug efficacy and safety has long been recognized, but the review highlights the nuanced differences in pharmacokinetics and pharmacodynamics between enantiomers of widely used antidepressants, such as SSRIs and SNRIs.
Most antidepressants contain one or more asymmetric centers, leading to enantiomers with distinct pharmacodynamic and pharmacokinetic properties. Using pure enantiomers offers significant advantages, such as reduced dosage, enhanced receptor selectivity, fewer side effects, and decreased drug interactions [22,23].
Table 1 presents summarizes the key compounds mentioned in the review, along with their relevant pharmacological properties and stereochemistry.
Table 1.
Summary of chiral antidepressants: stereochemistry, pharmacological activity.
The enantiomers can exhibit distinct pharmacological profiles despite being chemically identical except for their spatial orientation. For instance, the differences in effect potency between citalopram R- and S-enantiomers highlight how important it is to take chirality into account while developing new medications. Escitalopram is a classic illustration of how focusing on the eutomer, the enantiomer with the intended therapeutic effect, can result in improved patient outcomes with fewer side effects, demonstrating clinical superiority over its racemic counterpart [76,77].
The review also supports the hypothesis that enantiomerically pure drugs often provide a more predictable and targeted therapeutic effect. Another example of the advantages of enantiopure medications in terms of both efficacy and tolerability is the instance of duloxetine, where the S-enantiomer is used for its more powerful serotonin and norepinephrine reuptake inhibition. These findings align with previous studies that have advocated for the development and use of enantiomerically pure substances in clinical practice, as they tend to exhibit simpler pharmacokinetic profiles and fewer interactions with other drugs.
Moreover, the discussion of metabolic pathways highlights how stereoselective metabolism can impact the efficacy and safety of chiral antidepressants. Enantiomers may be metabolized at different rates or via different pathways, leading to variations in drug concentrations and, consequently, therapeutic outcomes. This is particularly evident in the metabolism of fluoxetine and its active metabolite norfluoxetine, where the stereoselectivity of CYP2D6 and other enzymes plays a pivotal role in determining the drug’s pharmacokinetic properties [76,78].
It is crucial to consider the larger implications for medication development and regulatory procedures when interpreting these results. The move toward enantiomerically pure pharmaceuticals is not just a fad; rather, it is a method that has scientific backing for enhancing the safety and effectiveness of medications. This research, however, also calls into question the possible advantages of reassessing older, racemic medications that are still in use today. As seen with escitalopram, there might be chances to improve the therapeutic characteristics of these medications through chiral switch.
4. Materials and Methods
This review is based on a comprehensive analysis of the existing literature on the chirality of antidepressant drugs. A systematic literature search was conducted using databases such as PubMed, Scopus, and Web of Science to identify relevant studies published from 2000 to 2024. The keywords used in the search included “chirality”, “antidepressants”, “enantiomers”, “SSRI”, “SNRI”, and “stereochemistry”. Studies were included if they provided significant insights into the stereochemical aspects of antidepressant drugs, including their pharmacokinetics, pharmacodynamics, clinical efficacy, and safety profiles.
5. Conclusions
The role of stereochemistry in antidepressant pharmacotherapy is significant, shaping not only the pharmacokinetic and pharmacodynamic profiles of these drugs but also their overall clinical efficacy and safety. By understanding the specific actions of enantiomers, it is possible to refine therapeutic strategies, leading to more targeted treatments and improved patient outcomes.
Racemates, while offering the advantage of potentially complementary actions between enantiomers, can sometimes introduce variability and adverse effects due to the differing pharmacological properties of the enantiomers. In contrast, the development and use of enantiomerically pure antidepressants provide therapeutic benefits, including more predictable pharmacological responses, better receptor specificity, and the potential to reduce the total drug dose and unwanted side effects.
The trend toward developing enantiomerically pure antidepressants, exemplified by drugs like escitalopram and S-duloxetine, marks an important step forward in providing more precise and effective treatments.
The review highlights the importance of continued research into chiral antidepressants. Further exploration of enantiomer-specific interactions, metabolism, and receptor targeting will help guide future drug design, ultimately leading to safer and more effective therapies for depression and related disorders.
Author Contributions
Conceptualization, G.H. and N.M.B.; methodology, G.H.; formal analysis, G.H.; investigation, G.H., A.U. and N.M.B.; data curation, G.H. and A.U.; writing—original draft preparation, G.H. and A.U.; writing—review and editing, G.H., A.U. and N.M.B.; visualization, G.H.; supervision, G.H.; project administration, G.H.; funding acquisition, G.H. All authors have read and agreed to the published version of the manuscript.
Funding
This research received no external funding.
Conflicts of Interest
The authors declare no conflicts of interest.
References
- Bernard, J.E.R. Depression: A review of its definition. MOJ Addict. Med. Ther. 2018, 5, 6–7. [Google Scholar]
- Richards, D. Prevalence and clinical course of depression: A review. Clin. Psychol. Rev. 2011, 31, 1117–1125. [Google Scholar] [CrossRef] [PubMed]
- Zimmerman, M.; Martinez, J.H.; Young, D.; Chelminski, I.; Dalrymple, K. Severity classification on the Hamilton depression rating scale. J. Affect. Disord. 2013, 150, 384–388. [Google Scholar] [CrossRef] [PubMed]
- Durisko, Z.; Mulsant, B.H.; Andrews, P.W. An adaptationist perspective on the etiology of depression. J. Affect. Disord. 2015, 172, 315–323. [Google Scholar] [CrossRef]
- Saveanu, R.V.; Nemeroff, C.B. Etiology of depression: Genetic and environmental factors. Psychiatr. Clin. 2012, 35, 51–71. [Google Scholar] [CrossRef]
- Lépine, J.P.; Briley, M. The increasing burden of depression. Neuropsychiatr. Dis. Treat. 2011, 7 (Suppl. S1), 3–7. [Google Scholar]
- Fried, E.I.; Nesse, R.M. Depression sum-scores don’t add up: Why analyzing specific depression symptoms is essential. BMC Med. 2015, 13, 72. [Google Scholar] [CrossRef]
- Cuijpers, P.; van Straten, A.; Schuurmans, J.; van Oppen, P.; Hollon, S.D.; Andersson, G. Psychotherapy for chronic major depression and dysthymia: A meta-analysis. Clin. Psychol. Rev. 2010, 30, 51–62. [Google Scholar] [CrossRef] [PubMed]
- Cuijpers, P.; Huibers, M.; Ebert, D.D.; Koole, S.L.; Andersson, G. How much psychotherapy is needed to treat depression? A meta-regression analysis. J. Affect. Disord. 2013, 149, 1–13. [Google Scholar] [CrossRef]
- Pigott, H.E.; Leventhal, A.M.; Alter, G.S.; Boren, J.J. Efficacy and effectiveness of antidepressants: Current status of research. Psychother. Psychosom. 2010, 79, 267–279. [Google Scholar] [CrossRef]
- Faquih, A.E.; Memon, R.I.; Hafeez, H.; Zeshan, M.; Naveed, S. A review of novel antidepressants: A guide for clinicians. Cureus 2019, 11, e4185. [Google Scholar] [CrossRef] [PubMed]
- Penn, E.; Tracy, D.K. The drugs don’t work? Antidepressants and the current and future pharmacological management of depression. Ther. Adv. Psychopharmacol. 2012, 2, 179–188. [Google Scholar] [CrossRef]
- Boku, S.; Nakagawa, S.; Toda, H.; Hishimoto, A. Neural basis of major depressive disorder: Beyond monoamine hypothesis. Psychiatry Clin. Neurosci. 2018, 72, 3–12. [Google Scholar] [CrossRef] [PubMed]
- Marathe, S.V.; D’almeida, P.L.; Virmani, G.; Bathini, P.; Alberi, L. Effects of monoamines and antidepressants on astrocyte physiology: Implications for monoamine hypothesis of depression. J. Exp. Neurosci. 2018, 12, 1179069518789149. [Google Scholar] [CrossRef]
- Hammen, C. Depression and stressful environments: Identifying gaps in conceptualization and measurement. Anxiety Stress Coping 2016, 29, 335–351. [Google Scholar] [CrossRef]
- Miller, A.H.; Raison, C.L. The role of inflammation in depression: From evolutionary imperative to modern treatment target. Nat. Rev. Immunol. 2016, 16, 22–34. [Google Scholar] [CrossRef]
- Sekhon, B.S. Exploiting the power of stereochemistry in drugs: An overview of racemic and enantiopure drugs. J. Mod. Med. Chem. 2013, 1, 10–36. [Google Scholar] [CrossRef]
- Peepliwal, A.K.; Bagade, S.B.; Bonde, C.G. A Review: Stereochemical consideration and eudismic ratio in chiral drug development. J. Biomed. Sci. Res. 2010, 2, 29–45. [Google Scholar]
- de la Torre, G.B.; Albericio, F. The pharmaceutical industry in 2018. An analysis of FDA drug approvals from the perspective of molecules. Molecules 2019, 24, 809. [Google Scholar] [CrossRef]
- Calcaterra, A.; D’Acquarica, I. The market of chiral drugs: Chiral switches versus de novo enantiomerically pure compounds. J. Pharm. Biomed. Anal. 2018, 147, 323–340. [Google Scholar] [CrossRef]
- Nguyen, L.A.; He, H.; Pham-Huy, C. Chiral drugs: An overview. Int. J. Biomed. Sci. 2006, 2, 85. [Google Scholar]
- Budău, M.; Hancu, G.; Rusu, A.; Cârcu-Dobrin, M.; Muntean, D.L. Chirality of modern antidepressants: An overview. Adv. Pharm. Bull. 2017, 7, 495. [Google Scholar] [CrossRef]
- Vashistha, V.K.; Sethi, S.; Tyagi, I.; Das, D.K. Chirality of antidepressive drugs: An overview of stereoselectivity. Asian Biomed. 2022, 16, 55–69. [Google Scholar] [CrossRef] [PubMed]
- Alvano, S.A.; Zieher, L.M. An updated classification of antidepressants: A proposal to simplify treatment. Pers. Med. Psychiatry 2020, 19, 100042. [Google Scholar] [CrossRef]
- Rossi, A.; Barraco, A.; Donda, P. Fluoxetine: A review on evidence based medicine. Ann. Gen. Hosp. Psychiatry 2004, 3, 2. [Google Scholar] [CrossRef]
- Wong, D.T.; Perry, K.W.; Bymaster, F.P. The discovery of fluoxetine hydrochloride (Prozac). Nat. Rev. Drug Discov. 2005, 4, 764–774. [Google Scholar] [CrossRef]
- Perez-Caballero, L.; Torres-Sanchez, S.; Bravo, L.; Mico, J.A.; Berrocoso, E. Fluoxetine: A case history of its discovery and preclinical development. Expert Opin. Drug Discov. 2014, 9, 567–578. [Google Scholar] [CrossRef]
- Mandrioli, R.; Forti, G.C.; Raggi, M.A. Fluoxetine metabolism and pharmacological interactions: The role of cytochrome p450. Curr. Drug Metab. 2006, 7, 127–133. [Google Scholar] [CrossRef]
- Eap, C.B.; Bondolfi, G.; Zullino, D.; Savary-Cosendai, L.; Powell-Golay, K.; Kosel, M.; Baumann, P. Concentrations of the enantiomers of fluoxetine and norfluoxetine after multiple doses of fluoxetine in cytochrome P4502D6 poor and extensive metabolizers. J. Clin. Psychopharmacol. 2001, 21, 330–334. [Google Scholar] [CrossRef]
- Scordo, M.G.; Spina, E.; Dahl, M.L.; Gatti, G.; Perucca, E. Influence of CYP2C9, 2C19 and 2D6 genetic polymorphisms on the steady-state plasma concentrations of the enantiomers of fluoxetine and norfluoxetine. Basic Clin. Pharmacol. Toxicol. 2005, 97, 296–301. [Google Scholar] [CrossRef]
- McConathy, J.; Owens, M.J. Stereochemistry in drug action. Prim. Care Companion J. Clin. Psychiatry 2003, 5, 70. [Google Scholar] [CrossRef] [PubMed]
- Steiner, T.J.; Ahmed, F.; Findley, L.J.; MacGregor, E.A.; Wilkinson, M. S-fluoxetine in the prophylaxis of migraine: A phase II double-blind randomized placebo-controlled study. Cephalalgia 1998, 18, 283–286. [Google Scholar] [CrossRef]
- Bezchlibnyk-Butler, K.; Aleksic, I.; Kennedy, S.H. Citalopram—A review of pharmacological and clinical effects. J. Psychiatry Neurosci. 2000, 25, 241. [Google Scholar]
- Pollock, B.G. Citalopram: A comprehensive review. Expert Opin. Pharmacother. 2001, 2, 681–698. [Google Scholar] [CrossRef] [PubMed]
- Hyttel, J.; Bøgesø, K.P.; Perregaard, J.; Sanchez, C. The pharmacological effect of citalopram resides in the (S)-(+)-enantiomer. J. Neural Transm. Gen. Sect. JNT 1992, 88, 157–160. [Google Scholar] [CrossRef] [PubMed]
- Sidhu, J.; Priskorn, M.; Poulsen, M.; Segonzac, A.; Grollier, G.; Larsen, F. Steady-state pharmacokinetics of the enantiomers of citalopram and its metabolites in humans. Chirality 1997, 9, 686–692. [Google Scholar] [CrossRef]
- Baumann, P. Pharmacology and pharmacokinetics of citalopram and other SSRIs. Int. Clin. Psychopharmacol. 1996, 11, 5–12. [Google Scholar] [CrossRef]
- Brøsen, K.; Naranjo, C.A. Review of pharmacokinetic and pharmacodynamic interaction studies with citalopram. Eur. Neuropsychopharmacol. 2001, 11, 275–283. [Google Scholar] [CrossRef]
- Sánchez, C. The pharmacology of citalopram enantiomers: The antagonism by R-citalopram on the effect of S-citalopram. Basic Clin. Pharmacol. Toxicol. 2006, 99, 91–95. [Google Scholar] [CrossRef]
- Sánchez, C.; Bøgesø, K.P.; Ebert, B.; Reines, E.H.; Braestrup, C. Escitalopram versus citalopram: The surprising role of the R-enantiomer. Psychopharmacology 2004, 174, 163–176. [Google Scholar] [CrossRef]
- Montgomery, S.A.; Loft, H.; Sánchez, C.; Reines, E.H.; Papp, M. Escitalopram (S-enantiomer of citalopram): Clinical efficacy and onset of action predicted from a rat model. Pharmacol. Toxicol. 2001, 88, 282–286. [Google Scholar] [CrossRef] [PubMed]
- McRae, A.L.; Brady, K.T. Review of sertraline and its clinical applications in psychiatric disorders. Expert Opin. Pharmacother. 2001, 2, 883–892. [Google Scholar] [CrossRef]
- Doogan, D.P.; Caillard, V. Sertraline in the prevention of depression. Br. J. Psychiatry 1992, 160, 217–222. [Google Scholar] [CrossRef] [PubMed]
- MacQueen, G.; Born, L.; Steiner, M. The selective serotonin reuptake inhibitor sertraline: Its profile and use in psychiatric disorders. CNS Drug Rev. 2001, 7, 1–24. [Google Scholar] [CrossRef]
- De Vane, C.L.; Liston, H.L.; Markowitz, J.S. Clinical pharmacokinetics of sertraline. Clin. Pharmacokinet. 2002, 41, 1247–1266. [Google Scholar] [CrossRef] [PubMed]
- Bourin, M.; Chue, P.; Guillon, Y. Paroxetine: A review. CNS Drug Rev. 2001, 7, 25–47. [Google Scholar] [CrossRef]
- Tang, S.W.; Helmeste, D. Paroxetine. Expert Opin. Pharmacother. 2008, 9, 787–794. [Google Scholar] [CrossRef]
- Kaye, C.M.; Haddock, R.E.; Langley, P.F.; Mellows, G.; Tasker, T.C.G.; Zussman, B.D.; Greb, W.H. A review of the metabolism and pharmacokinetics of paroxetine in man. Acta Psychiatr. Scand. 1989, 80, 60–75. [Google Scholar] [CrossRef]
- Gutierrez, M.A.; Stimmel, G.L.; Aiso, J.Y. Venlafaxine: A 2003 update. Clin. Ther. 2003, 25, 2138–2154. [Google Scholar] [CrossRef]
- Roseboom, P.H.; Kalin, N.H. Neuropharmacology of venlafaxine. Depress. Anxiety 2000, 12, 20–29. [Google Scholar] [CrossRef]
- Harvey, A.T.; Rudolph, R.L.; Preskorn, S.H. Evidence of the dual mechanisms of action of venlafaxine. Arch. Gen. Psychiatry 2000, 57, 503–509. [Google Scholar] [CrossRef] [PubMed]
- Ereshefsky, L.; Dugan, D. Review of the pharmacokinetics, pharmacogenetics, and drug interaction potential of antidepressants: Focus on venlafaxine. Depress. Anxiety 2000, 12, 30–44. [Google Scholar] [CrossRef] [PubMed]
- Magalhães, P.; Alves, G.; Llerena, A.; Falcão, A. Venlafaxine pharmacokinetics focused on drug metabolism and potential biomarkers. Drug Metab. Drug Interact. 2014, 29, 129–141. [Google Scholar] [CrossRef] [PubMed]
- Deecher, D.C.; Beyer, C.E.; Johnston, G.; Bray, J.; Shah, S.; Abou-Gharbia, M.; Andree, T.H. Desvenlafaxine succinate: A new serotonin and norepinephrine reuptake inhibitor. J. Pharmacol. Exp. Ther. 2006, 318, 657–665. [Google Scholar] [CrossRef] [PubMed]
- Nemeroff, C.B.; Schatzberg, A.F.; Goldstein, D.J.; Detke, M.J.; Mallinckrodt, C.; Lu, Y.; Tran, P.V. Duloxetine for the treatment of major depressive disorder. Psychopharmacol. Bull. 2002, 36, 106–132. [Google Scholar]
- Rodrigues-Amorim, D.; Olivares, J.M.; Spuch, C.; Rivera-Baltanás, T. A systematic review of efficacy, safety, and tolerability of duloxetine. Front. Psychiatry 2020, 11, 554899. [Google Scholar] [CrossRef]
- Knadler, M.P.; Lobo, E.; Chappell, J.; Bergstrom, R. Duloxetine: Clinical pharmacokinetics and drug interactions. Clin. Pharmacokinet. 2011, 50, 281–294. [Google Scholar] [CrossRef]
- Pae, C.U.; Marks, D.M.; Shah, M.; Han, C.; Ham, B.J.; Patkar, A.A.; Masand, P.S. Milnacipran: Beyond a role of antidepressant. Clin. Neuropharmacol. 2009, 32, 355–363. [Google Scholar] [CrossRef]
- Kasper, S.; Pail, G. Milnacipran: A unique antidepressant? Neuropsychiatr. Dis. Treat. 2010, 6 (Suppl. S1), 23–31. [Google Scholar]
- Lopez-Ibor, J.; Guelfi, J.D.; Pletan, Y.; Tournoux, A.; Prost, J.F. Milnacipran and selective serotonin reuptake inhibitors in major depression. Int. Clin. Psychopharmacol. 1996, 11, 41–46. [Google Scholar] [CrossRef]
- Puozzo, C.; Panconi, E.; Deprez, D. Pharmacology and pharmacokinetics of milnacipran. Int. Clin. Psychopharmacol. 2002, 17 (Suppl. S1), S25–S35. [Google Scholar] [CrossRef] [PubMed]
- Hindmarch, I.; Rigney, U.; Stanley, N.; Briley, M. Pharmacodynamics of milnacipran in young and elderly volunteers. Br. J. Clin. Pharmacol. 2000, 49, 118–125. [Google Scholar] [CrossRef] [PubMed]
- Hajós, M.; Fleishaker, J.C.; Filipiak-Reisner, J.K.; Brown, M.T.; Wong, E.H. The selective norepinephrine reuptake inhibitor antidepressant reboxetine: Pharmacological and clinical profile. CNS Drug Rev. 2004, 10, 23–44. [Google Scholar] [CrossRef]
- Schatzberg, A.F. Clinical efficacy of reboxetine in major depression. J. Clin. Psychiatry 2000, 61 (Suppl. S10), 31–38. [Google Scholar]
- Fleishaker, J.C. Clinical pharmacokinetics of reboxetine, a selective norepinephrine reuptake inhibitor for the treatment of patients with depression. Clin. Pharmacokinet. 2000, 39, 413–427. [Google Scholar] [CrossRef]
- Foley, K.F.; DeSanty, K.P.; Kast, R.E. Bupropion: Pharmacology and therapeutic applications. Expert Rev. Neurother. 2006, 6, 1249–1265. [Google Scholar] [CrossRef] [PubMed]
- Dhillon, S.; Yang, L.P.; Curran, M.P. Bupropion: A review of its use in the management of major depressive disorder. Drugs 2008, 68, 653–689. [Google Scholar] [CrossRef] [PubMed]
- Jefferson, J.W.; Pradko, J.F.; Muir, K.T. Bupropion for major depressive disorder: Pharmacokinetic and formulation considerations. Clin. Ther. 2005, 27, 1685–1695. [Google Scholar] [CrossRef]
- Montgomery, S.A.; Bullock, T.; Pinder, R.M. The clinical profile of mianserin. Nord. Psykiatr. Tidsskr. 1991, 45 (Suppl. S24), 27–35. [Google Scholar] [CrossRef]
- Pinder, R.M. Mianserin: Pharmacological and clinical correlates. Nord. Psykiatr. Tidsskr. 1991, 45 (Suppl. S24), 13–26. [Google Scholar] [CrossRef]
- Gorman, J.M. Mirtazapine: Clinical overview. J. Clin. Psychiatry 1999, 60, 9–13. [Google Scholar] [PubMed]
- Molero, P.; Ramos-Quiroga, J.A.; Martin-Santos, R.; Calvo-Sánchez, E.; Gutiérrez-Rojas, L.; Meana, J.J. Antidepressant efficacy and tolerability of ketamine and esketamine: A critical review. CNS Drugs 2018, 32, 411–420. [Google Scholar] [CrossRef] [PubMed]
- Nikayin, S.; Murphy, E.; Krystal, J.H.; Wilkinson, S.T. Long-term safety of ketamine and esketamine in treatment of depression. Expert Opin. Drug Saf. 2022, 21, 777–787. [Google Scholar] [CrossRef]
- Bahji, A.; Vazquez, G.H.; Zarate, C.A., Jr. Comparative efficacy of racemic ketamine and esketamine for depression: A systematic review and meta-analysis. J. Affect. Disord. 2021, 278, 542–555. [Google Scholar] [CrossRef]
- Bozymski, K.M.; Crouse, E.L.; Titus-Lay, E.N.; Ott, C.A.; Nofziger, J.L.; Kirkwood, C.K. Esketamine: A novel option for treatment-resistant depression. Ann. Pharmacother. 2020, 54, 567–576. [Google Scholar] [CrossRef] [PubMed]
- Anttila, S.A.; Leinonen, E.V. A review of the pharmacological and clinical profile of mirtazapine. CNS Drug Rev. 2001, 7, 249–264. [Google Scholar] [CrossRef]
- Baker, G.B.; Prior, T.I. Stereochemistry and drug efficacy and development: Relevance of chirality to antidepressant and antipsychotic drugs. Ann. Med. 2002, 34, 537–543. [Google Scholar] [CrossRef]
- DeVane, C.L.; Boulton, D.W. Great expectations in stereochemistry: Focus on antidepressants. CNS Spectr. 2002, 7, 28–33. [Google Scholar] [CrossRef]
Disclaimer/Publisher’s Note: The statements, opinions and data contained in all publications are solely those of the individual author(s) and contributor(s) and not of MDPI and/or the editor(s). MDPI and/or the editor(s) disclaim responsibility for any injury to people or property resulting from any ideas, methods, instructions or products referred to in the content. |
© 2024 by the authors. Licensee MDPI, Basel, Switzerland. This article is an open access article distributed under the terms and conditions of the Creative Commons Attribution (CC BY) license (https://creativecommons.org/licenses/by/4.0/).



















