Abstract
Soybean (Glycine max) is one of the most important proteins and oilseed crops in the world due to a boom in its demand. In order to meet this demand, various modern agricultural methods are being employed, of which magneto-priming (treatment of seeds with magnetic field) is becoming the most popular technique owing to its efficiency and eco-friendly nature to improve seed vigour, growth and yield of soybean plants. Therefore, we conducted a field experiment to evaluate the impact of magneto-priming of seeds with static magnetic field on soybean var. JS-335 plants. We used static magnetic field (SMF) strengths of 150 mT (1 h) and 200 mT (1 h) for this study. Both the SMF treatments improved growth (shoot as well as root growth parameters), carbon fixation (PSII efficiency, gas exchange parameters, carbonic anhydrase activity) and nitrogen fixation (leghemoglobin content, total protein content, nitrate reductase activity). We observed an association between these parameters which contributed to biomass accumulation and hence to the enhanced crop yield. In addition, reduced levels of ASA (reduced form of ascorbate), MDA (malondialdehyde) and antioxidant enzymes suggest that magneto-priming alleviates oxidative stress in SMF-primed soybean plants. Field strength of 200 mT (1 h) proved to be more effective in improving all the parameters as compared to 150 mT. Our study suggested that pre-sowing SMF treatment can be efficaciously employed for improving the growth, development and production of soybean.
1. Introduction
Soybean fulfills half the world’s demand for vegetable oils and protein; and hence considered one of the major oilseed crop. Also, there is a rising demand for its increased production because of its affordability and accessibility as compared to expensive animal alternatives available. Currently (2021–2022), soybean crop is grown in 127.70 million ha globally with an annual production of 363.57 million tons and average productivity of 2.85 t/ha. India contributes ~10% to the world’s soybean growing area, but its contribution to total world soybean production is merely ~3%, indicating its relatively lower productivity levels (0.8 t/ha) as compared to the world average (2.85 t/ha), which is a major cause of concern [1]. Therefore, various modern agricultural methods are being employed to boost the productivity of soybean in India. About 93% of land under soybean cultivation is predominantly within three Indian states: Madhya Pradesh, Maharashtra and Rajasthan; with Indore city as the epicentre of the soybean renaissance, situated at 22°4′ N and 75°50′ E [2], where the present study was conducted. This study provides experimental data for one of the popular methods for seed invigoration/priming, i.e., magneto-priming.
Earth’s magnetic field is an inevitable environmental factor for plants as well as for other living organisms on the planet. The intensity of the geomagnetic field ranges between 30 and 70 μT at Earth’s surface where plants and seedlings generally grow. Variation in the earth’s magnetic environment may result in the alterations in the plant growth [3]. This makes the magnetic environment one of the factors that might influence the development of plants, thereby making it the basis of the present study. This phenomenon is called magneto-priming, i.e., physical treatment of seeds with SMF before sowing. It has become popular and one of the successful methods which has shown to improve the growth, photosynthesis and yield of plants [4,5,6]. Previous studies with different plant species such as corn, rice, cucumber, wheat, beans, soybean and sunflower reported that the pre-sowing treatment of seeds with magnetic fields improves the germination, growth and production of plants [7,8,9,10,11,12]. Other studies also revealed that magnetic fields, including electromagnetic fields, affect plant and seedling vigor based on the field intensity, exposure duration, signal form, flux density and source frequencies [13]. Therefore, we used 150 mT (1 h) and 200 mT (1 h) in the present study because these strengths showed positive effects on soybean var. JS-335 [14]. Previous studies with soybean var. JS-335 have revealed to alleviate abiotic stresses, i.e., UV radiation [15,16], salinity [17] and water stress [18] after SMF pre-treatment of seeds. Although magneto-priming is now known as a bio-stimulator for soybean as well as for other plants, the underlying physiology is still being researched at the different stages of crop growth. Therefore, the current study aimed to investigate the impact of magneto-priming on soybean in detail to broaden the knowledge of the underlying physiological changes chiefly concerning biomass, carbon and nitrogen metabolism, efficiency of PSII, the antioxidant defence system, and yield.
2. Material and Methods
2.1. Plant Material
Seeds of soybean (Glycine max L. Merrill) var. JS-335 were collected from ICAR-Indian Institute of Soybean Research, Indore (M.P.), India. Field experiments under natural sunlight were conducted in Indore (22°4′ N and 75°50′ E), India during August–November 2014. Seeds of soybean were treated with recommended fungicides, viz., bavistin and dithane M at 2 g/kg seeds and inoculated with slurry of Rhizobium japonicum at 3 g/kg seeds before sowing. The seeds were sown in plastic bags (34 cm height × 34 cm breadth; filled with mixture of coarse sand, black soil and yard manure 1:4:1) and kept under field conditions. The plants were watered as per need, and weeds were eradicated manually. The experiments were conducted in a randomized block design with three replicates for each treatment.
2.2. Magnetic Field Treatment
An electromagnetic field generator “Testron EM-20” (fabricated by Testron Instruments, Delhi, India) with variable magnetic field strength of 50 to 500 mT was used for the present study. It consisted of two cylindrical pole pieces (9 cm diameter and 16 cm length; total of 3000 turns of copper coil per pole piece and coil resistance of 16 Ohm) with five cm gap between them. A DC power supply (0–85 V/10 A) with continuously variable output current was used for the electromagnet. A digital gauss meter (model DGM-30), operating on the principle of Hall effect, monitored magnetic field strength generated between the poles (Figure 1).
Figure 1.
Electromagnetic field generator with variable magnetic field strength (50–500 mT) and a pole gap of 5 cm.
Visibly sound, mature and healthy soybean seeds were exposed to pre-standardized [14] magnetic field of 150 mT (1 h) and 200 mT (1 h) in a rectangular sample holder, made from thin cardboard sheet, of 51.246 cm3 capacity (2.7 L × 2.6 B × 7.3 H); For treatment at 25 °C, the container was positioned between the electromagnet’s poles under a uniform static magnetic field (SMF).
2.3. Data Collection and Analysis
Sampling for growth parameters was conducted on 35th, 45th, 55th, 65th DAE (days after emergence), and biochemical estimations were performed on 45th DAE. Each experiment was performed in triplicate of five plants each.
2.4. Growth Analysis: Above Ground Parts
Plant height was measured from the soil line to shoot tip, using a centimetre scale.
Leaf area was measured using Leaf Area Meter CI-202 (CID Bio Sciences, Camas, WA, USA).
Fresh weight and Dry weight: Plant fresh weight was measured after removing the plants from bags and roots washed thoroughly with water. To obtain dry matter, plants were dried at 60 °C for 72 h in an oven and weighed on an analytical balance.
2.5. Growth Analysis: Below Ground Parts
Root length: Uprooted plants were, thoroughly washed, and length of longest root was recorded using a centimetre scale.
Root fresh and dry weight: Cleaned roots with nodules were weighed for the fresh weight. For dry weight, roots were dried at 60 °C for 72 h in an oven and weighed.
Number of root nodules per plant: Nodules on each root were counted and recorded.
Nodule fresh weight: Weight of nodules was recorded in grams per plant for all the treatments.
2.6. Crop Yield and Yield Attributes
Yield parameters, viz., number of pods per plant, number of seeds per plant, seed weight per plant and 100-seed weight were recorded at harvest maturity (120 DAE) of soybean.
2.7. Photosynthesis and Carbon Fixation Parameters
- Photosynthetic pigments
Total chlorophyll (chl) content was determined (third trifoliate leaf on 45th DAE) using dimethyl sulfoxide (DMSO) method [19]. Equations by Wellburn [20] were used to derive chl a, chl b and total chl content.
- Fluorescence measurements
A Handy PEA fluorimeter (Plant Efficiency Analyzer, Hansatech Instruments, King’s Lynn, Norfolk, UK) was used to measure the chlorophyll a fluorescence transients exhibited by dark-adapted (30 min) leaf (third trifoliate leaf on 45th DAE). OJIP transient was analysed according to the JIP test (sensitive to detecting stress and provides details on several scales of the PSII photosynthetic machinery’s performance), and the following parameters were calculated: (1) maximum quantum yield of primary photochemistry (Fv/Fm); (2) the efficiency by which a trapped excitation, having triggered the reduction of QA to QA−, can move an electron further than QA− into intersystem electron transport chain (ψo= ETo/CSm); (3) the quantum yield of electron transport (φEo = ETo/ABS) and (4) The performance index (PI) reflects the overall performance of the energy flow. These parameters were calculated using the “Biolyzer HP 3” (the chlorophyll fluorescence analysing programme by Bioenergetics Laboratory, University of Geneva, Switzerland) software, as described by Strasser et al. [21,22].
- Carbonic anhydrase (E.C. 4.2.1.1)
Carbonic anhydrase (CA) activity was determined using the method of Li et al. [23], whereby it measures the pH decrease at 0 to 2 °C with a pH electrode. Enzyme activity was defined as 1 unit = 10 (To − T)/T, where T and To represent the time(s) required for pH to decrease from 8.25 to 6.45, respectively, with and without enzyme.
- Gas exchange parameters
Photosynthetic parameters like rate of photosynthesis (µmol CO2 m−2s−1), internal CO2 concentration (µmol CO2 mol−1), stomatal conductance (mmol H2O m−2s−1) and transpiration rate (mmol H2O m−2s−1) of the leaves (third trifoliate leaf on 45th DAE) were measured by a portable infrared gas analyser (IRGA, LI-6400, LI-COR Inc., Lincoln, NE, USA). Measurements were performed in intact plants grown in field conditions under natural sunlight, ambient temperature and CO2 concentration. On clear days at noon, photosynthetic photon flux density (PPFD) was 1300–1600 µmol m−2s−1, air flow was 500 µmol s−1, and CO2 concentration was 350–380ppm. The measurements were taken on sunny days from 9:00 to 11:00 a.m. at ambient temperature (30 to 35 °C temperature, 1200–1600 mM m−2s−1 PAR (photosynthetically active radiation) at the leaf surface). IRGA was calibrated before recording the measurements and zeroed every ~30 min during the measurement period.
2.8. Extraction and Estimation of the Antioxidant Enzymes
- Guaiacol Peroxidase (EC 1.11.1.7)
A total of 100 mg of leaf tissue was crushed using a pre-chilled mortar and pestle in chilled 80% acetone at 4 °C. The extract was centrifuged at 5000 rpm for 10 min. The supernatant was discarded and the pellet re-dissolved in 10 mL of 0.02 M phosphate buffer (pH 6.4) and centrifuged for 15 min at 10,000 rpm. The buffered supernatant was used for the cytosolic peroxidase assay described by Maehly [24].
- Ascorbic acid peroxidase (EC 1.11.1.11)
A total of 100 mg of leaf tissue was crushed using pre-chilled mortar and pestle in an extraction media containing 50 mM sodium phosphate buffer (pH 7.4), 1 mM EDTA, 1% PVP and 1 mM ascorbic acid. The homogenate was centrifuged at 12,000 rpm for 20 min at 4 °C. Two layers of Whatmann No. 1 filter paper were used to filter the supernatant. The buffered filtrate acted as enzyme extract for measuring ascorbate peroxidase activity using the method described by Nakano and Asada [25].
- Superoxide Dismutase (EC 1.15.1.1)
A total of 100 mg of excised leaf tissue was homogenized in chilled 5 mL of TrisHCl (50 mM, pH 7.8) containing 1% PVP and 1 mM EDTA. The homogenate was centrifuged at 14,000 rpm for 15 min. The resulting supernatant was used as enzyme extract to determine SOD activity according to the method described by Beauchamp and Fridovich [26], which measures enzyme extract ability to inhibit the photochemical reduction of NBT (Nitroblue tetrazolium).
- Catalase (EC1.11.1.6)
The crude enzyme extract was made by grinding 100 mg of soybean leaf tissue from each treatment in chilled 80% acetone in a mortar and pestle, centrifuging the homogenate at 10,000× g for 10 min at 5 °C. The supernatant was discarded, acetone evaporated at room temperature and pellet dissolved in 5 mL of sodium phosphate buffer (0.05 M, pH 7.0) and centrifuged at 20,000× g for 20 min at 5 °C. The supernatant was used for assaying the catalase enzyme and estimation of protein. Catalase was assayed according to the method of Aebi [27].
2.9. Estimation of L-Ascorbic Acid
Ascorbate was measured using 0.1 g of tissue sample by the method described by Arakawa et al. [28] and was determined according to Kataria et al. [29]. Ascorbate (ASA; reduced form of ascorbate) and dehydroascorbate (DHA; oxidized form of ascorbate) were measured based on the reduction of ferric to ferrous ions with ascorbic acid in acid solution followed by the formation of a red-chelate between ferrous ion and 2,2′-bipyridyl (Arakawa et al. [28], with some modifications). Briefly, 0.1 g of tissue samples was powdered in liquid nitrogen and homogenized in 2 mL of ice-cold 5% TCA containing 4% (w/v) PVP-40. The homogenate was filtered through 4 layers of muslin cloth and centrifuged at 16,000× g for 15 min at 4 °C. The supernatant was used for the ASA and total ASA (DHA + ASA) assay. The reaction mixture for ASA assay contained 20% ethanol, 4% TCA, 0.04% o-phosphoric acid-ethanol, 0.1% 2,2′-bipyridyl-ethanol and 0.003% ferric chloride-ethanol. The reaction mixture was incubated at 30 °C for 90 min for the Fe2+-bipyridyl complex to develop, and the absorbance at 534 nm was recorded. Total ASA was determined through a reduction of DHA to ASA by dithiothreitol (DTT)-ethanol, after which 0.24% N-ethylmaleimide (NEM)-ethanol was added in addition to the reaction mixture used for estimating ASA, and the absorbance of the colour developed was recorded at 534 nm. DHA was measured from the difference of total ASA and reduced ASA values.
2.10. Lipid Peroxidation (MDA)
Lipid peroxidation was determined spectrophotometrically by measuring malondialdehyde (MDA) content in 500 mg leaf tissue using Heath and Parker’s [30] method. Absorbance was read at 532 nm, and value for the non-specific absorption was read at 600 nm. The amount of malondialdehyde (A532–A600) present was calculated from a calibration curve using malondialdehyde as a standard.
2.11. Nitrogen Fixation Parameters after SMF Pre-Treatment
- Extraction and estimation of leghemoglobin (Lb) content
Leghemoglobin (Lb) was extracted from the root nodules (1.25 g) of soybean plants on 45th DAE and measured using the method of Jun et al. [31]. The absorbance of Lb-containing fraction was detected at 410 nm using a UV–Visible Shimadzu Spectrophotometer (model-1601). Total soluble protein content was measured in Lb-containing fractions by the method of Lowry et al. [32].
- Heme concentration
Heme concentration in leghemoglobin was determined in 500 mg fresh root nodules at 45 DAE using pyridine hemechromogen assay described by Appleby and Bergersen [33].
- Nitrate reductase (NR) activity (E.C. 1.6.6.1)
The intact tissue assay method described by Jaworski [34] was used to determine nitrate reductase activity in 100 mg leaf tissue. NR activity was calculated as nM NO2 g−1 fresh weight h−1.
- Protein Analysis
Protein was estimated in leaves (third trifoliate leaf on 45th DAE) of soybean by the method described by Lowry et al. [32].
- Total free amino acids
Total free amino acids were extracted using Noorudeen and Kulandaivelu’s [35] method and measured using Troll and Cannan’s [36] method.
2.12. Statistical Analysis
Data are expressed as means ± SEM and analysed using Prism 5’s (GraphPad Software Inc., LaJolla, CA, USA) analysis of variance (one-way ANOVA) followed by a post hoc Newman-Keuls multiple comparison test (* p < 0.05; ** p < 0.01, *** p < 0.001).
3. Results
3.1. Growth and Biomass
Growth parameters were analysed on 35th, 45th, 55th and 65th DAE in plants grown from seeds treated with SMFs (150 mT for 1 h and 200 mT for 1 h). Under field conditions, these treatments improved all of the measured growth parameters at all DAEs. Seed pre-treatment with 200 mT (1 h) proved to be more effective than 150 mT (1 h). Figure 2 depicts the impact of SMF on soybean at an early and later stage of growth.
Figure 2.
Photograph showing effect of pre-sowing magnetic field treatment of soybean seeds on growth at (a) early stage (35 DAE) and (b) later stage (55 DAE).
3.1.1. Plant Height
SMF treatments with 150 mT (1 h) and 200 mT (1 h) both enhanced the plant height significantly (Figure 3). This enhancement ranged from 5% to 32% by 150 mT (1 h) and from 7% to 39% by 200 mT (1 h) after SMF-treatment at different stages of soybean growth/development. The maximum difference between control and treated groups was observed on the 45th DAE, i.e., 32% (150 mT for 1 h) and 39% (200 mT for 1 h).
Figure 3.
Effect of pre-sowing exposure of soybean seeds to magnetic field on plant height. *** and ** indicate significance at p < 0.001 and 0.01, respectively, compared to control.
3.1.2. Leaf Area
Leaf area (of fully expanded third leaf from the top) was maximally enhanced (20%) on 45th DAE after SMF treatment of 200 mT (Figure 4a,b).
Figure 4.
(a) Photograph showing the representative effect of pre-sowing magnetic field treatment of soybean seeds on leaf area at 45 DAE. (b) Effect of pre-germination magnetic field treatment of soybean seeds on leaf area. ** and * indicate significance at p < 0.01 and 0.05, respectively, compared to control.
3.1.3. Plant Fresh Weight and Dry Weight
Plant fresh weight and dry weight significantly enhanced after SMF treatment as compared to control plants. The maximum difference in fresh weight and dry weight between the control and the treated plants was recorded on 45th DAE at 200 mT for 1 h (32% in fresh weight and 45% in dry weight) (Figure 5a,b). At later stages (55th and 65th DAE), although SMF treatment enhanced growth over the control plants, the difference was less (Figure 5a,b).
Figure 5.
Effect of pre-sowing magnetic field treatment of soybean seeds on plant fresh weight (a) and plant dry weight (b). ***, ** and * indicate significance at p < 0.001, 0.01 and 0.05, respectively, compared to control.
3.2. Photosynthesis and Carbon Fixation Parameters
3.2.1. Chlorophyll Content
Enhancement in chlorophyll content was recorded in plants that emerged from SMF-treated seeds (Figure 6a,b,d). Enhancement in the level of chlorophyll b (27% in 150 mT and 31% in 200 mT) was higher than chlorophyll a (22% in 150 mT and 25% in 200 mT) on 45th DAE (Figure 6a,b). No significant difference was found in chlorophyll a/b ratio (Figure 6c). Pre-sowing magnetic field treatment of seeds resulted in enhancement in carotenoid content; maximum promotion was 8% in 200 mT and 6% in 150 mT on 45th DAE (Figure 6e).

Figure 6.
Effect of pre-sowing magnetic field treatment of soybean seeds on chlorophyll a (a), chlorophyll b (b), chlorophyll a:b ratio (c), total chlorophyll (d), and carotenoid (e) content. *** and ** indicate significance at p < 0.001 and 0.01, respectively, compared to control.
3.2.2. Chlorophyll a Fluorescence
Polyphasic chlorophyll a fluorescence transient was measured on 45th DAE to evaluate the effect of pre-sowing SMF treatment of soybean seeds on photochemical efficiency of PSII. The time course of fluorescence yield in dark-adapted intact leaves plotted on logarithmic time scale clearly showed the separation of OJIP phase (Figure 7). Table 1 summarises various parameters derived from the JIP test. Fluorescence yield at the O phase decreased by 2% and 1% and J phase by 4% and 9% on the 45th DAE in 150 and 200 mT, respectively. The fluorescence yield at the I and P phase increased after SMF treatment (more in 200 mT followed by 150 mT). The fluorescence yield was enhanced by 7% and 10% at the I phase and by 10% and 16% at the P phase (Fm) in plants after treatment with 150 and 200 mT, respectively. Reduction in maximum fluorescence (Fm) in control plants indicated a reduction in the amount of PSII centres, which are available to reduce QA. In our experiments, lower fluorescence in the control was due to both retardation of electron flow and a decrease in the absorption cross-section area. The derived specific fluxes per active PSII maximum cross-section area were also affected by magnetic field treatment. TRo/CSm showed significant enhancement of 13% in 150 mT and 22% in 200 mT, showing a maximum trapping rate by which an excitation is trapped per cross-section area of PSII. ETo/CSm showed significant enhancement in both 150 mT (44%) and 200 mT (78%) (Table 1), whereas DIo/CSm (reduced by 3% in 150 mT and by 4% in 200 mT) was lower in plants that emerged after magnetic field treatment, showing effective dissipated flux of untrapped excitations per cross-section (Figure 8). These parameters further contributed to the increase in the performance index. The performance index (PI), which indicates sample vitality, was the most sensitive parameter determined by the JIP test equation. PI was significantly enhanced by magnetic field treatment. PI was enhanced by 78% and 152% in 150 and 200 mT magnetically treated plants, respectively. The results indicate that the 200 mT magnetic field is suitable for better harvesting of sunlight and improves photosynthetic yield in soybean plants.
Figure 7.
Changes in polyphasic chlorophyll a fluorescence (OJIP) transient curves in soybean leaves after pre-sowing magnetic field treatment of seeds with strengths of 150 and 200 mT for 60 min (O-J-I-P are fluorescence yield at 20 µs, 2 ms, 30 ms, and maximum fluorescence, respectively).
Table 1.
Summary of parameters and their description using data extracted from the fluorescence transient OJIP for soybean after magnetic field treatment.
Figure 8.
Phenomenological leaf model of soybean leaves demonstrating the effect of magnetic field treatment. Each relative value is represented by the size of the proper parameters (arrow), empty circles represent reducing QA reaction centres (active), and full black circles represent non-reducing QA reaction centres (inactive or silent).
3.2.3. Carbonic Anhydrase
Carbonic anhydrase (CA) plays a crucial role in the acceleration of carbon assimilation, as it catalyses the reversible interconversion of CO2 and HCO3−.
CO2 + H2O→H2CO3
CA activity was estimated in third trifoliate leaves on the 45th DAE and was found to be enhanced by 21% and 26% after treatment with 150 and 200 mT, respectively (Figure 9).
Figure 9.
Effect of pre-sowing magnetic field treatment of soybean seeds on carbonic anhydrase activity. ** indicates significance at p < 0.01 compared to control.
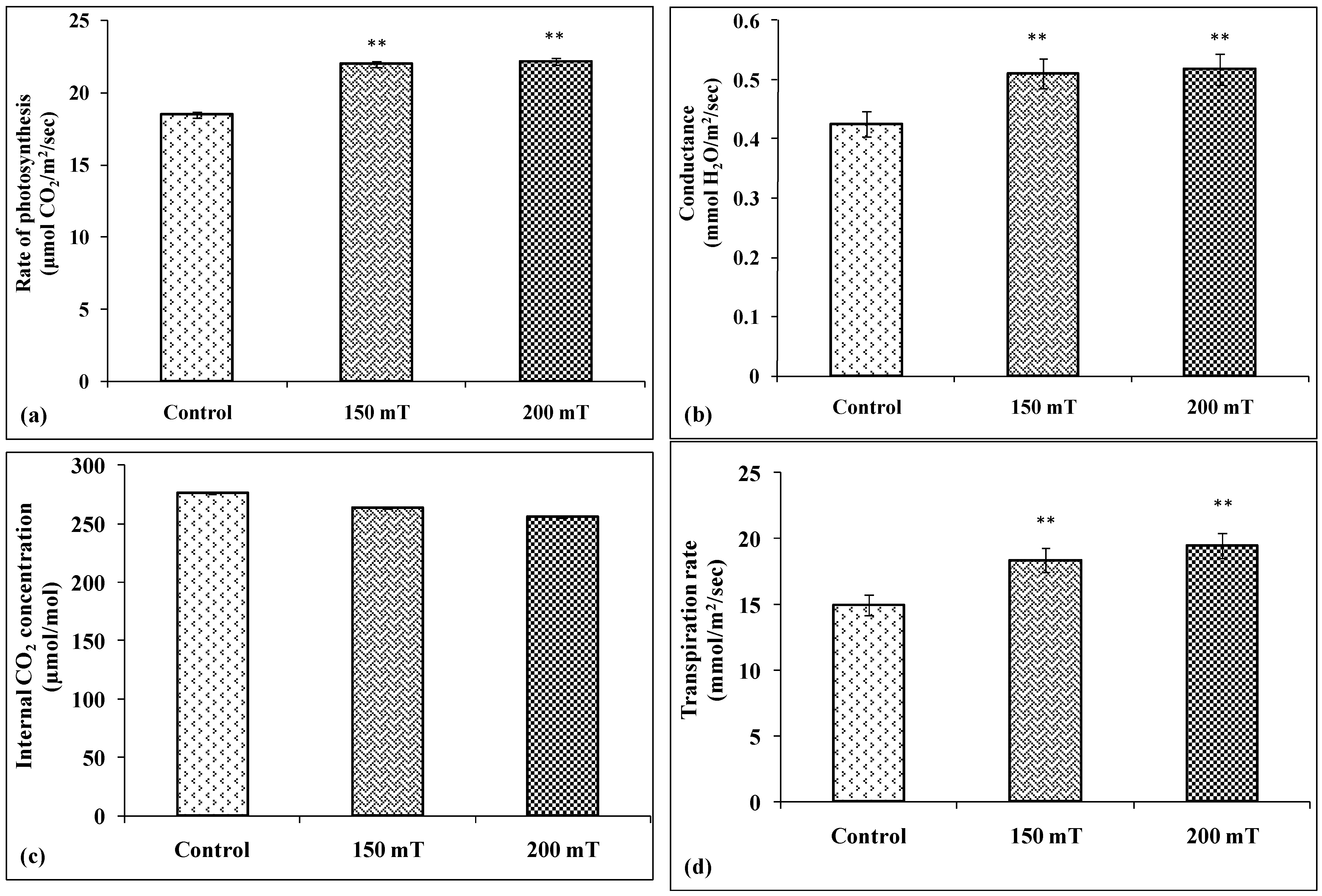
3.2.4. CO2 Fixation
Measurements were performed on intact leaves (third trifoliate leaf) on the 45th DAE using IRGA to determine gas exchange parameters, which provide direct evidence of CO2 fixation. An increase of 19% (150 mT) and 20% (200 mT) in net photosynthesis (PN) was recorded in the plants that emerged from SMF-treated seeds as compared to untreated seeds (Figure 10a). Other parameters such as stomatal conductance (gs), inter-cellular CO2 concentration (Ci) and transpiration rate (E) play important roles in the increase in net photosynthesis. These parameters were also enhanced by the magnetic field. Stomatal conductance was enhanced by 20% (150 mT) and 21% (200 mT) (Figure 10b); transpiration rate was enhanced by 23% (150 mT) and 30% (200 mT) (Figure 10d), whereas no significant difference was observed in inter-cellular concentration of CO2 in treated groups as compared to untreated controls (Figure 10c).
Figure 10.
Effect of pre-sowing magnetic field treatment of soybean seeds on gas exchange parameters: Rate of photosynthesis (a), stomatal conductance (b), internal CO2 concentration (c), and transpiration rate (d). ** indicates significance at p < 0.01 compared to control.
3.3. Antioxidant Defence System
3.3.1. Ascorbic Acid Level (ASA)
Total, reduced and oxidized ASA contents were affected after 200 mT SMF treatment. Total ASA levels decreased by 13% after pre-sowing treatment of seeds with SMF 200 mT (Figure 11a), whereas reduced ascorbic acid content showed no significant difference (Figure 11b). DHA in leaves was significantly reduced by magnetic field treatment. DHA decreased by up to 27% in 150 mT and to 45% in 200 mT (Figure 11c). The ratio of ASA/DHA increased significantly by 25% in 150 mT treatment and 59% in 200 mT (Figure 11d).
Figure 11.
Effect of pre-sowing magnetic field treatment of soybean seeds on ascorbic acid content: Total ASA (a), reduced ASA (b), DHA (c), and ASA/DHA (d). *** and * indicate significance at p < 0.001 and 0.05, respectively, compared to control.
3.3.2. Antioxidant Enzymes
The activity of antioxidant enzymes, i.e., guaiacol peroxidase, ascorbic acid peroxidase, superoxide dismutase and catalase, were found to decrease in the leaves of SMF-treated soybean samples at 45 DAE. A decrease of 26% (150 mT) and 26% (200 mT) in ascorbate peroxidise (Figure 12a); 23% (150 mT) and 23% (200 mT) in peroxidase (Figure 12b), 18% (150 mT) and 25% (200 mT) in superoxide dismutase (Figure 12c), and 19% (150 mT) and 25% (200 mT) in catalase was recorded after magnetic field treatment as compared to untreated plants (Figure 12d).
Figure 12.
Effect of pre-sowing magnetic field treatment of soybean seeds on antioxidant enzymes: Ascorbate (AA) peroxidase (a), guaiacol peroxidase (b), superoxide dismutase (c), and catalase (d). *** and ** indicate significance at p < 0.001 and 0.01, respectively, compared to control.
3.3.3. Malondialdehyde (MDA)
Malondialdehyde is a product of the peroxidation of tri-unsaturated lipids. When tri-unsaturated fatty acids with double bonds are three carbon atoms apart, linolenic [9,12,15-octadecatrienoic] acid peroxidises, and malondialdehyde is produced. A reduction of 14% in malondialdehyde (MDA) production was found after both SMF treatments (150 and 200 mT) (Figure 13).
Figure 13.
Effect of pre-sowing magnetic field treatment of soybean seeds on MDA content. * indicates significance at p < 0.05, compared to control.
3.4. Root Growth, Nodulation and Nitrogen Fixation after SMF Pre-Treatment
3.4.1. Root Length
Exposure of seeds to magnetic field resulted in promotion of root growth (Figure 14a) at all stages studied (35th, 45th, 55th and 65th DAE). On the 45th DAE, root length of plants that emerged from treated seeds were 37% (200 mT) and 32% (150 mT) longer than control plants. (Figure 14b). Promotion was to a lesser degree at other growth stages.

Figure 14.
Effect of pre-sowing magnetic field treatment of soybean seeds on root growth at 45 DAE (a), root length (b), root fresh weight (c), and root dry weight (d) at different growth stages. ***, ** and * indicate significance at p < 0.001, 0.01 and 0.05, respectively, compared to control.
3.4.2. Root Fresh Weight
Pre-treatment of seeds with SMF resulted in promotion of root fresh weight of plants that emerged from them. Maximum promotion of 38% (200 mT) and 32% (150 mT) was obtained on the 45th DAE as compared to control plants (Figure 14c). Promotion was to a lesser degree at other growth stages.
3.4.3. Root Dry Weight
Pre-treatment of seeds with SMF resulted in promotion of root dry weight as well. Maximum promotion of 41% (200 mT) and 31% (150 mT) was obtained on 45th DAE in comparison to control plants (Figure 14d).
3.4.4. Number of Nodules
Pre-treatment of seeds with SMF increased the number of nodules. Maximum enhancement in nodulation was recorded on the 45th DAE, i.e., 45% (200 mT) and 36% (150 mT), over control (Figure 15a). Promotion in the number of nodules was to a lesser degree at other growth stages.
Figure 15.
Effect of pre-sowing exposure of soybean seeds to magnetic field on number of nodules (a), and nodules fresh weight (b). *** and ** indicate significance at p < 0.001 and 0.01, respectively, compared to control.
3.4.5. Nodule Fresh Weight
Pre-sowing treatment of seeds with SMF also increased the fresh weight of nodules on the 35th DAE and 45th DAE. Highest enhancement was recorded on the 45th DAE, i.e., 40% (200 mT) and 38% (150 mT) over control (Figure 15b).
3.4.6. Nitrate Reductase Activity
Legumes have the ability to fix atmospheric nitrogen directly through their root nodules; however, the nodular activity declines at the pod filling stage when the activity of nitrate reductase is assumed to have particular importance. Plants that emerged from SMF-treated seeds showed enhanced nitrate reductase activity at all growth stages, but maximum enhancement was found on the 55th DAE, which was of 27% (200 mT) and 23% (150 mT). Enhancement in nitrate reductase activity was less at other stages of growth (Figure 16). This enhancement might particularly contribute to soybean yield.
Figure 16.
Effect of pre-sowing exposure of soybean seeds to magnetic field on nitrate reductase activity. ***, ** and * indicate significance at p < 0.001, 0.01 and 0.05, respectively, compared to control.
3.4.7. Leghemoglobin, Hemechrome and Total Protein Contents in Root Nodules
Nodule biochemical parameters, viz., total soluble protein, leghemoglobin and hemechrome content improved after SMF treatment on the 45th DAE (Table 2). Total protein in nodules was enhanced by 26% (150 mT) and 30% (200 mT); leghemoglobin per gram of fresh weight of the nodules was enhanced by 23% (150 mT) and 26% (200 mT); heme-chrome content per milligram of protein was enhanced by 16% (150 mT) and 20% (200 mT). The leghemoglobin spectra from various treatments are presented in Figure 17.
Table 2.
Total protein, leghemoglobin and hemechrome content of the root nodules of soybean var. JS-335 on 45th DAE. Values in parenthesis show maximum percentage increase as compared to control. ** and * indicate significance at p < 0.01 and 0.05, respectively, compared to control.
Figure 17.
Spectral analysis of leghemoglobin isolated from root nodules of soybean plants on 45th DAE, where A stands for absorbance and div for divisions.
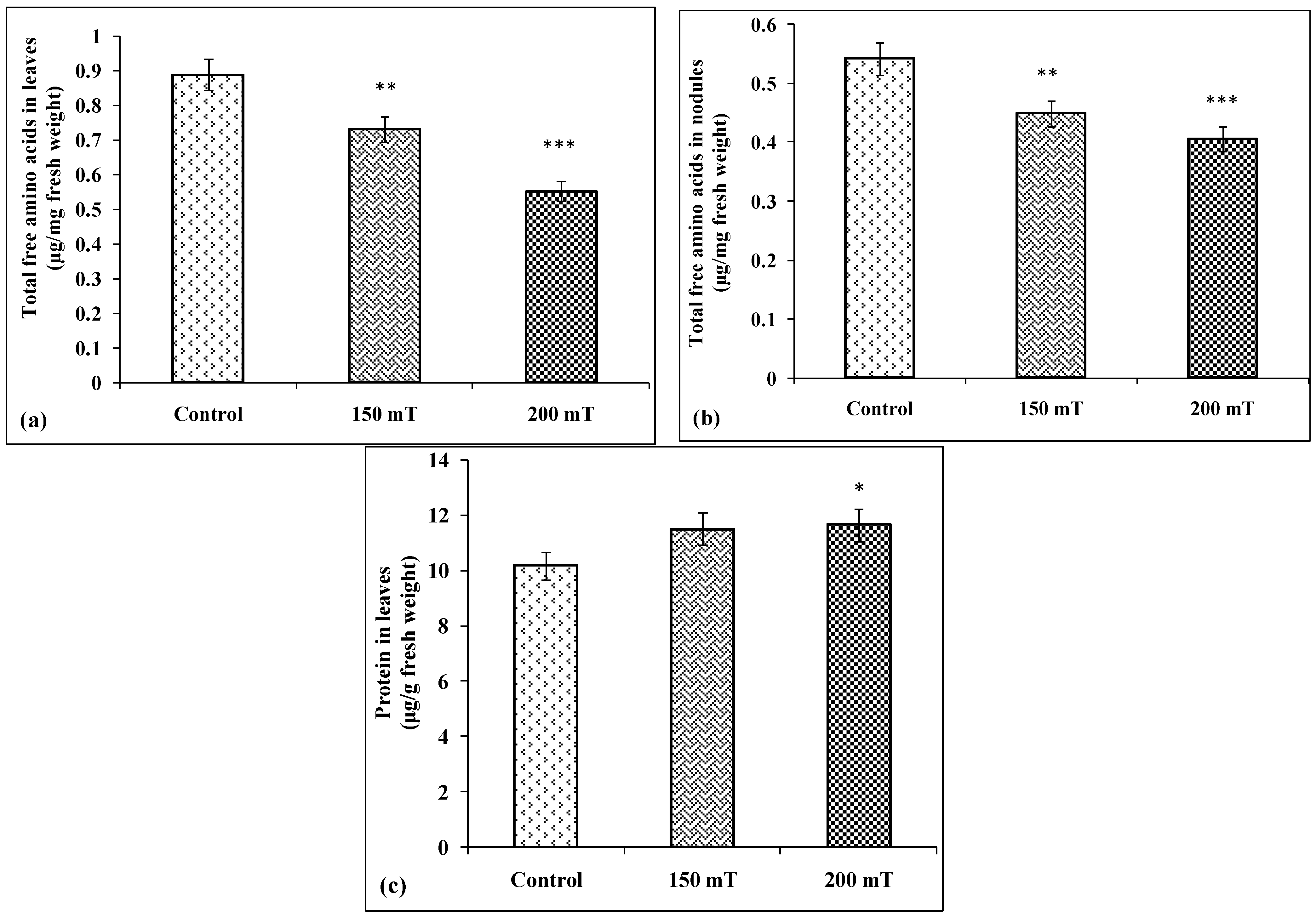
3.4.8. Total Free Amino Acids and Protein
Total free amino acids in leaves and nodules decreased after SMF treatment. A decrease in total free amino acids by 18% (150 mT) and 38% (200 mT) in leaves and 17% (150 mT) and 25% (200 mT) in nodules was recorded on the 45th DAE (Figure 18a,b). Total protein content in leaves was enhanced by 14% (200 mT) (Figure 18c).
Figure 18.
Effect of pre-sowing exposure of soybean seeds to magnetic field on total free amino acids in leaves (a), nodules (b), and protein content of leaves (c). ***, ** and * indicate significance at p < 0.001, 0.01 and 0.05, respectively, compared to control.
3.5. Yield and Its Attributes
3.5.1. Number of Pods per Plants
Figure 19 illustrates the effects of SMF on soybean yield attributes. Number of pods per plant was increased significantly (*** p < 0.001) in both 150 and 200 mT SMF treatments as compared to untreated control. Maximum enhancement was observed in 200 mT (35%). Enhancement in 150 mT was 34% (Figure 20a).
Figure 19.
Photograph showing effect of pre-sowing exposure of soybean seeds to magnetic field on yield attributes: pods at 55 DAE (a), pods (b), and seed size (c) at harvest maturity (120 DAE).
Figure 20.
Effect of pre-sowing exposure of soybean seeds to magnetic field on yield attributes: number of pods per plant (a), number of seeds per plant (b), seed weight per plant (c), and 100 seed weight (d). *** and ** indicate significance at p < 0.001 and 0.01, respectively, compared to control.
3.5.2. Number of Seeds per Plant
Maximum enhancement in number of seeds per plant was obtained at 200 mT (50%), whereas 150 mT treatment showed 47% enhancement in number of seeds per plant compared to the control (Figure 20b).
3.5.3. Seed Weight per Plant
3.5.4. Hundred Seed Weight
4. Discussion
The results show a positive impact of SMF on soybean plant metabolism. SMF promoted growth characteristics, viz., plant height, leaf area, shoot fresh and dry weight, suggesting enhanced carbon fixation after SMF treatment. Similar results of increased growth and biomass after magnetic field treatment were also recorded in soybean [14] and other plants, i.e., maize [11]; cucumber [37]; cotton [38]; sunflower [10] and chickpea [39] along with improved germination. Our study is also in accordance with previous literature that reported an increase in height and number of primary branches in tomato seeds [40]; an increase in safflower secondary branch number and yield [41] and broad bean [42]; and biomass in sunflower and barley [43,44,45] after treatment with magnetic field. Shoot fresh weight was enhanced by 72% compared to the control after treatment with 0.15 T magnetic field in maize [46], and fresh as well as dry biomass weight enhanced after 10 mT EMF treatment of wet maize seeds [47]. Growth and chemical content of chickpea increased after irrigation with magnetized water [48].
Chlorophyll a, chlorophyll b and total chlorophyll contents enhanced after SMF treatment in soybean. Similarly, SMF enhanced photochemical activities of chlorophyll molecules, resulting in an increase in green pigmentation in wheat and beans [49]. Saktheeswari and Subrahmanyam [50] also observed improvements in chlorophyll content and chlorosis prevention after fresh paddy seeds were treated with pulsed magnetic field. Pigments (chlorophyll a, chlorophyll b, carotenoids and total pigments) significantly enhanced under SMF in date palm [51] and soybean tissue cultures [52].
Photosynthesis is a critical process in plant metabolism that is extremely sensitive to environmental changes, so it is frequently used to assess plant health. Increased biomass accumulation in our study can be associated with improved photosynthetic parameters; therefore, we observed various photosynthetic parameters in SMF-treated plants. Chl a fluorescence has often been projected as a simple, rapid and sensitive method [53] to detect changes in the physiology of a photosystem. The rise in the fluorescence curve after SMF treatment is the consequence of a rapid reduction of electron acceptors in the photosynthetic pathway downstream of PSII, especially plastoquinone and particularly QA [54]. In the OJIP curve, the J step represents the momentary maximum of QA−, and I is suggested to be related to a heterogeneity in the filling of the plastoquinone pool [55,56]. Data of the present investigation reveal that OJIP transients of SMF-treated plants (200 and 150 mT for 60 min) show a higher fluorescence yield at the I–P phase. The phenomenological leaf model also showed that SMF-treated plants had more active reaction centres. Similar results were found in maize after SMF treatment [11].
Among the constellation of JIP expressions, one of the most sensitive parameters is the performance index (PI). Priming of soybean seeds with SMF exposure of 200 mT (1 h) and 150 mT (1 h) resulted in plants with enhanced performance index (PI) by 150 mT (77%) and 200 mT (152%). PI includes fluorescence changes associated with changes in antenna conformation and energy fluctuations. Therefore, it helps in the estimation of the vitality of the plants with high resolution. In maize, up to a two-fold increment in performance index was found after SMF treatment [11].
In photosynthetic organisms, the carbonic anhydrases (CA) are part of various physiological processes such as ion exchange, acid/base balance, carboxylation/decarboxylation reactions and inorganic carbon diffusion between the cell and its environment as well as within the cell. CA activity in leaves was enhanced by 21% and 26% after treatment with 150 and 200 mT, respectively (Figure 8). These results indicate an overall increase in CO2 fixation. Enhancement in the leaf area and chlorophyll is accompanied by an enhancement in the rate of photosynthesis per unit area of leaf after SMF treatment.
Plants respond to oxidative stress by changing the in vivo level of antioxidants, which provides protection to a particular stress [57] or induces the activities of several antioxidant enzymes, and this balance between generation of and removal of reactive oxygen species (ROS) dictates the extent of damage [58]. To keep this damage to a minimum, plants possess enzymatic and non-enzymatic antioxidative defence systems. In our study, the ASA content was decreased after magnetic field treatment, and the DHA content and total ASA pool were decreased after magnetic field treatment, resulting in an increase in the ratio of ASA/DHA. In control plants, higher APX activity was shown, which produces more DHA. Decreased levels of MDA indicate a decreased level of ROS. Along with this, the activity of the antioxidant enzymes, guaiacol peroxidase, ascorbic acid peroxidase, catalase and superoxide dismutase also decreased after SMF treatment. The activity of the antioxidant enzymes are closely related to the amount of ROS produced in the tissue; the lesser the amount of ROS, the lesser the activity of these enzymes. The direct relationship between the two is well established by several observations. Electron paramagnetic resonance (EPR) spectroscopy studies by Shine and Guruprasad [11] showed that superoxide radicals decreased and hydroxyl radicals were unaltered in the maize leaves after SMF treatment. With a decrease in free radical content, antioxidant enzymes such as superoxide dismutase and peroxidase were reduced in the leaves of plants that emerged from SMF-treated maize seeds.The EPR spectrum of O2−-Phenyl t-butylnitrone (PBN) adduct showed that the O2− radical level decreased after SMF treatment, and thus, SMF treated seeds have a prolonged stimulatory effect on plants, as they have decreased superoxide production [58].
SMF treatment seemed to have a positive influence on root growth in the present study. Similarly, Vashisth and Nagarajan [10] showed an increase in root length and root surface area after SMF treatment in sunflower. Muraji et al. [59] also recorded that alternating the magnetic field of 10 and 20 Hz resulted in a 20% higher root growth than the control plants in corn. It has been found that SMF-regulated root growth is mediated by CRY and auxin signalling pathways in Arabidopsis [60].
Biochemical analysis of root nodules showed a significant enhancement in total soluble protein and leghemoglobin content. The higher the content of leghemoglobin, the higher the plant’s capacity to fix atmospheric nitrogen [61]. The present data indicate a positive effect of SMF treatment on nitrogen fixation as leghemoglobin content increased after treatment. Total free amino acids in soybean leaves and nodules decreased after SMF treatment at 45 DAE. These results are in agreement with enhanced protein content after SMF treatment. This indicates that SMF pre-treatment can increase the utilization of free amino acids in protein synthesis, as shown in the present study.
Root nodules in legumes can fix nitrogen directly; however, nitrate reductase plays an important role, particularly at the pod filling stage, when the nodular activity reduces. SMF treatment maximally enhanced nitrate reductase activity in leaves of soybean at the pod filling stage (55 DAE). This is particularly important because nodule activity declines at this stage. This increment may contribute to the yield of soybean in particular. Similarly, Radhakrishnan and Kumari [62] also observed an increase in nitrate reductase in 10-day-old soybean seedlings that emerged from magneto-primed seeds. Alterations in nitrate reductase activity in germinating seeds treated with varying magnetic fields were also reported by Bhatnagar and Deb [63].
The effects of magneto-priming on plants can be best understood in the outline of two mechanisms, specifically: the radical-pair models (RPM) and ion cyclotron resonance (ICR) [4,64]. The RPM is presently the only conceivable mechanism representative of the purpose of cryptochromes as a contestant for magneto-reception [4]. ROS- and NR-dependent nitric oxide production are also reported to contribute to SMF-induced seedling growth of soybean and mung beans [65,66]. Our results also suggest that pre-sowing SMF treatment of seeds with 150 and 200 mT persevered in soybean plants under field conditions until their maturity, which also stimulated plant growth and biomass and improved production. This enhanced growth and biomass appear to be the result of improved light harvesting and reduced free radicals in plants that emerged from SMF-treated seeds. [4,67]. Thus, we found enhanced activity of carbonic anhydrase in SMF-treated soybean plants which ultimately increased the rate of photosynthesis and channelized this additional fixation of carbon towards the improvement of soybean yield. Both the SMF treatments 150 and 200 mT enhanced all the parameters studied, but some of the parameters such as PI, leghemoglobin content, total ascorbic acid, and total free amino acids in leaves and nodules enormously enhanced by 200 mT as compared to 150 mT over the controls.
5. Conclusions
In conclusion, SMF treatment regulates photosynthesis, nodulation and nitrate reductase in soybean. SMF treatment increases productivity of soybean apart from reducing fertilizer use. Thus, it is advantageous in agriculture in terms of carbon and nitrogen fixation, as it improved shoot as well as root biomass and nodulation in the roots. The enhanced functional root characteristics suggested that SMF-treated soybean could be used for rain-fed cultivation, as better root characteristics will provide efficient extraction of moisture from the soil. The combination of all these observations suggests that the influence of SMF can lead to better establishment of seedlings, development and production of soybean. Magneto-priming may provide a feasible non-chemical solution in agriculture, as it is safe towards both the environment and the applicator.
Author Contributions
J.J.-P. and K.N.G. conceived and designed the experiments; J.J.-P. and S.S. performed the experiments; J.J.-P. and K.N.G. analysed the data; J.J.-P. wrote the paper; K.N.G., S.K. and S.S. helped in revision of the manuscript. All authors have read and agreed to the published version of the manuscript.
Funding
This research received no external funding.
Institutional Review Board Statement
Not applicable.
Informed Consent Statement
Not applicable.
Data Availability Statement
Not applicable.
Conflicts of Interest
The authors declare no conflict of interest.
References
- FAS USDA. Available online: https://apps.fas.usda.gov/psdonline/circulars/production.pdf (accessed on 21 December 2021).
- SOPA. Available online: http://www.sopa.org/statistics/soybean-production-by-state/ (accessed on 21 December 2021).
- Maffei, M.E. Magnetic field effects on plant growth, development, and evolution. Front. Plant Sci. 2014, 5, 445. [Google Scholar] [CrossRef]
- Sarraf, M.; Kataria, S.; Taimourya, H.; Santos, L.O.; Menegatti, R.D.; Jain, M.; Ihtisham, M.; Liu, S. Magnetic Field (MF) Applications in Plants: An Overview. Plants 2020, 9, 1139. [Google Scholar] [CrossRef] [PubMed]
- Radhakrishnan, R. Magnetic field regulates plant functions, growth and enhances tolerance against environmental stresses. Physiol. Mol. Biol. Plants 2019, 25, 1107–1119. [Google Scholar] [CrossRef]
- Himoud, M.S.; Lazim, S.K.; Al-Bahadliy, A.H. Effect of tillage depths and static magnetic seed treatment on growth parameters and yield of maize (Zea mays L.). Indian J. Ecol. 2022, 49, 18–23. [Google Scholar]
- Alexander, M.P.; Doijode, S.D. Electromagnetic field: A novel tool to increase germination and seedling vigor of conserved onion (Allium cepa L.) and rice (Oryza sativa L.) seeds with low viability. Plant Gen. Res. Newslett. 1995, 104, 1–5. [Google Scholar]
- Yinan, L.; Yuan, L.; Yongquing, Y.; Chunyang, L. Effect of seed pre-treatment by magnetic field on the sensitivity of cucumber (Cucumis sativus) seedlings to ultraviolet-B radiation. Environ. Exp. Bot. 2005, 54, 286–294. [Google Scholar]
- Cakmak, T.; Dumlupinar, R.; Erdal, S. Acceleration of germination and early growth of wheat and bean seedlings grown under various magnetic field and osmotic conditions. Bioelectromagnetics 2010, 31, 120–129. [Google Scholar] [CrossRef] [PubMed]
- Vashisth, A.; Nagarajan, S. Effect on germination and early growth characteristics in sunflower (Helianthus annuus) seeds exposed to static magnetic field. J. Plant Physiol. 2010, 167, 149–156. [Google Scholar] [CrossRef]
- Shine, M.B.; Guruprasad, K.N. Impact of pre-sowing magnetic field exposure of seeds to stationary magnetic field on growth, reactive oxygen species and photosynthesis of maize under field conditions. Acta Physiol. Plant. 2012, 34, 255–265. [Google Scholar] [CrossRef]
- Kataria, S.; Baghel, L.; Guruprasad, K.N. Acceleration of germination and early growth characteristics of soybean and maize after pre-treatment of seeds with static magnetic field. Int. J. Trop. Agri. 2015, 33, 985–992. [Google Scholar]
- Sarraf, M.; Deamici, K.M.; Taimourya, H.; Islam, M.; Kataria, S.; Raipuria, R.K.; Abdi, G.; Brestic, M. Effect of magnetopriming on photosynthetic performance of plants. Int. J. Mol. Sci. 2021, 22, 9353. [Google Scholar] [CrossRef]
- Shine, M.B.; Guruprasad, K.N.; Anjali, A. Enhancement of germination, growth and photosynthesis in soybean by pre-treatment of seeds with magnetic field. Bioelectromagnetics 2011, 32, 474–484. [Google Scholar] [CrossRef] [PubMed]
- Kataria, S.; Baghel, L.; Guruprasad, K.N. Alleviation of adverse effects of ambient UV stress on growth and some potential physiological attributes in soybean (Glycine max) by seed pretreatment with static magnetic field. J. Plant Growth Regul. 2017, 36, 550–565. [Google Scholar] [CrossRef]
- Kataria, S.; Jain, M.; Rastogi, A.; Brestic, M. Static magnetic field treatment enhanced photosynthetic performance in soybean under supplemental ultraviolet-B radiation. Photosyn. Res. 2021, 150, 263–278. [Google Scholar] [CrossRef] [PubMed]
- Kataria, S.; Baghel, L.; Jain, M.; Guruprasad, K.N. Magnetopriming regulates antioxidant defense system in soybean against salt stress. Biocatal. Agric. Biotechnol. 2019, 18, 101090. [Google Scholar] [CrossRef]
- Baghel, L.; Kataria, S.; Guruprasad, K.N. Effect of SMF pretreatment on growth, photosynthetic performance and yield of soybean under water stress. Photosynthetica 2018, 56, 718–730. [Google Scholar] [CrossRef]
- Hiscox, J.D.; Israelstam, G.F. A method for the extraction of chlorophyll from leaf tissue without maceration. Can. J. Bot. 1979, 57, 1332–1334. [Google Scholar] [CrossRef]
- Wellburn, A.R. The spectral determination of chlorophylls a and b, as well as total Carotenoids, using various solvents with spectrophotometers of different resolution. J. Plant Physiol. 1994, 144, 307–313. [Google Scholar] [CrossRef]
- Strasser, R.J.; Micheal, T.; Srivastava, A. The fluorescence transient as a tool to characterize and screen photosynthetic samples. In Probing Photosynthesis: Mechanisms, Regulation and Adaptation; Yunus, M., Pathre, U., Mohanty, P., Eds.; Taylor and Francis: London, UK, 2000; pp. 445–483. [Google Scholar]
- Strasser, R.J.; Micheal, T.; Srivastava, A. Analysis of the chlorophyll a fluorescence transient. In A Signature of Photosynthesis, Advances in Photosynthesis and Respiration; Papageorgiou, G.C., Govindjee, Eds.; Springer: Dordrecht, The Netherlands, 2004; pp. 321–362. [Google Scholar]
- Li, W.; Yu, L.; Yuan, D.; Xu, H.B.; Yang, Y. Bacteria biomass and carbonic anhydrase activity in some karst areas of Southwest China. J. Asian Earth Sci. 2004, 24, 145–152. [Google Scholar] [CrossRef]
- Maehly, A.C. Plant peroxidases. In Methods in Enzymology; Colowick, P.S., Kaplan, N.O., Eds.; Academic Press: New York, NY, USA, 1955; Volume II, pp. 271–285. [Google Scholar]
- Nakano, Y.; Asada, K. Purification of ascorbate peroxidase in spinach chloroplasts: Its inactivation in ascorbate-depleted medium and reactivation by mono dehydroascorbate radical. Plant Cell Physiol. 1987, 28, 131–140. [Google Scholar]
- Beauchamp, C.O.; Fridovich, I. Superoxide dismutase: Improved assays and an assay applicable to acrylamide gels. Anal. Biochem. 1971, 44, 276–287. [Google Scholar] [CrossRef] [PubMed]
- Aebi, H.E. Catalase. In Methods of Enzymatic Analysis, 3rd ed.; Bergmeyer, H.U., Ed.; Verlag Chemie: Weinhem, Germany, 1983; pp. 273–286. [Google Scholar]
- Arakawa, N.; Tsutsumi, K.; Sanceda, N.G.; Kurata, T.; Inagaki, C. A rapid and sensitive method for determination of ascorbic acid using 4,7-Diphenyl-l,10-bathophenanthroline. Agric. Biol. Chem. 1981, 45, 1289–1290. [Google Scholar]
- Kataria, S.; Dehariya, P.; Guruprasad, K.N.; Pandey, G.P. Effect of exclusion of ambient solar UV-A/B components on growth and antioxidant response of cotton (Gossypium hirsutum L.). Acta Biol. Crac. Ser. Bot. 2012, 54, 47–53. [Google Scholar] [CrossRef]
- Heath, R.L.; Parker, L. Photoperoxidation in isolated chloroplasts. I. Kinetics Stoichiometry of fatty acid peroxidation. Arch. Biochem. Biophys. 1968, 125, 189–198. [Google Scholar] [CrossRef]
- Jun, H.K.; Sarath, G.; Wagner, F.W. Detection and purification of modified leghemoglobins from soybean root nodules. Plant Sci. 1994, 100, 31–40. [Google Scholar] [CrossRef]
- Lowry, O.H.; Rosebrough, N.J.; Farr, A.L.; Randall, R.J. Protein measurement with the folin phenol reagent. J. Biol. Chem. 1951, 193, 265–275. [Google Scholar] [CrossRef]
- Appleby, C.A.; Bergersen, F.J. Preparation and experimental use of leghaemoglobin. In Methods of Evaluating Biological Nitrogen Fixation; Bergersen, F.J., Ed.; Wiley: Chichester, UK, 1980; pp. 315–335. [Google Scholar]
- Jaworski, E.K. Nitrate reductase assay in intact plant tissues. Biochem. Biophys. Res. Commun. 1971, 43, 1274–1279. [Google Scholar] [CrossRef]
- Noorudeen, A.M.; Kulandaivelu, G. On the possible site of inhibition of photosynthetic electron transport by UV-B radiation. Physiol. Plant 1982, 55, 161–166. [Google Scholar] [CrossRef]
- Troll, W.; Cannan, R.K. A modified photometric ninhydrin method for the analysis of amino and imino acids. J. Biol. Chem. 1953, 200, 803–811. [Google Scholar] [CrossRef]
- Bhardwaj, J.; Anand, A.; Nagarajan, S. Biochemical and biophysical changes associated with magnetopriming in germinating cucumber seeds. Plant Physiol. Biochem. 2012, 57, 67–73. [Google Scholar] [CrossRef]
- Bilalis, D.; Katsenios, N.; Efthimiadou, A.; Karkanis, A.; Efthimiadis, P. Investigation of pulsed electromagnetic field as a novel organic pre-sowing method on germination and initial growth stages of cotton. Electromagn. Biol. Med. 2011, 31, 143–150. [Google Scholar] [CrossRef] [PubMed]
- Vashisth, A.; Nagarajan, S. Exposure of seeds to static magnetic field enhances germination and early growth characteristics in chickpea (Cicer arietinum L.). Bioelectromagnetics 2008, 29, 571–578. [Google Scholar] [CrossRef] [PubMed]
- Dayal, S.; Singh, R.P. Effect of seed exposure to magnetic field on the height of tomato plants. Indian J. Agric. Sci. 1986, 56, 483–486. [Google Scholar]
- Faqenabi, F.; Tajbakhsh, M.; Bernoosi, I.; Saber-Rezaii, M.; Tahri, F.; Parvizi, S.; Izadkhah, M.; Gorttapeh, A.H.; Sedqi, H. The effect of magnetic field on growth, development and yield of safflower and its comparison with others treatments. J. Biol. Sci. 2009, 4, 174–178. [Google Scholar]
- Podlesny, J.; Pietruszewski, S.; Podlesna, A. Efficiency of the magnetic treatment of broad bean seeds cultivated under experimental plot conditions. Int. Agrophys. 2004, 18, 65–71. [Google Scholar]
- Bukhari, S.A.; Tanveer, M.; Mustafa, G.; Zia-Ud-Den, N. Magnetic field stimulation effect on germination and antioxidant activities of presown hybrid seeds of sunflower and its seedlings. J Food Qual. 2021, 2021, 5594183. [Google Scholar] [CrossRef]
- Vashisth, A.; Meena, N.; Krishnan, P. Magnetic field affects growth and yield of sunflower under different moisture stress conditions. Bioelectromagnetics 2021, 42, 473–483. [Google Scholar] [CrossRef]
- Shabrangy, A.; Ghatak, A.; Zhang, S.; Priller, A.; Chaturvedi, P.; Weckwerth, W. Magnetic field induced changes in the shoot and root proteome of barley (Hordeum vulgare L.). Front. Plant Sci. 2021, 12, 622795. [Google Scholar] [CrossRef]
- Aladjadjiyan, A. Study of the influence of magnetic field on some biological characteristics of Zea mays. J. Cent. Euro. Agric. 2002, 3, 89–94. [Google Scholar]
- Shabrangi, A.; Majd, A.; Sheidai, M.; Nabyouni, M.; Dorranian, D. Comparing effects of extremely low frequency electromagnetic fields on the biomass weight of C3 and C4 plants in early vegetative growth. InProgress In Electromagnetics Research Symposium Proceedings; The Electromagnetics Academy, Cambridge, USA, 2010; pp. 593–598.
- Grewal, H.S.; Maheshwari, B.L. Magnetic treatment of irrigation water and snow pea and chickpea seeds enhances early growth and nutrient contents of seedlings. Bioelectromagnetics 2011, 32, 58–65. [Google Scholar] [CrossRef]
- Lebedev, I.S.; Litvinenko, L.G.; Shiyan, L.T. After-effect of a permanent magnetic field on photochemical activity of chloroplasts. Sov. Plant Physiol. 1977, 24, 394–395. [Google Scholar]
- Saktheeswari, N.; Subrahmanyam, S. Effects of pulsed magnetic field on histology, biochemistry and magnetotropism of paddy (Oryza sativa). Bioelectromag. Biomed. 1989, 2, 37–44. [Google Scholar]
- Dhawi, F.; Al-Khayari, J.M. Magnetic fields induce changes in photosynthetic pigments content in date palm (Phoenix dactylifera L.) seedlings. Open Agri. J. 2009, 3, 1–5. [Google Scholar] [CrossRef]
- Atak, Ç.; Çelik, Ö.; Olgun, A.; Alikamanoğlu, S.; Rzakoulieva, A. Effect of magnetic field on peroxidase activities of soybean tissue culture. Biotechnology 2007, 21, 166–171. [Google Scholar] [CrossRef]
- Maxwell, K.; Johnson, G.N. Chlorophyll fluorescence-a practical guide. J. Exp. Bot. 2000, 51, 659–668. [Google Scholar] [CrossRef] [PubMed]
- Govindjee. Sixty-three years since Kautsky: Chlorophyll a fluorescence. Australian J. Plant Physiol. 1995, 22, 131–160.
- Strasser, R.J.; Srivastava, A.; Govindjee. Polyphasic chlorophyll a fluorescence transients in plants and cyanobacteria. Photochem. Photobiol. 1995, 61, 32–42. [Google Scholar] [CrossRef]
- Wise, R.R.; Naylor, R.A. Chilling enhanced photooxidation. Evidence for the role of singlet oxygen and superoxide in the breakdown of pigments and endogenous antioxidants. Plant Physiol. 1987, 83, 272–277. [Google Scholar] [CrossRef]
- Foyer, C.H.; Lopez-Delgado, H.; Dat, J.E.; Scott, I.M. Hydrogen peroxide and glutathione- associated mechanisms of acclimatory stress tolerance and signaling. Physiol. Plant 1997, 100, 241–254. [Google Scholar] [CrossRef]
- Shine, M.B.; Guruprasad, K.N.; Anjali, A. Superoxide radical production and performance index of Photosystem II in leaves from magnetoprimed soybean seeds. Plant Signal. Behav. 2011, 6, 1635–1637. [Google Scholar]
- Muraji, M.; Asai, T.; Wataru, T. Primary root growth rate of Zea mays seedlings grown in an alternating magnetic field of different frequencies. Bioelectrochem. Bioenerget. 1998, 44, 271–273. [Google Scholar] [CrossRef]
- Jin, Y.; Guo, W.; Hu, X.; Liu, M.; Xu, X.; Hu, F.; Lan, Y.; Lv, C.; Fang, Y.; Liu, M.; et al. Static magnetic field regulates Arabidopsis root growth via auxin signaling. Sci. Rep. 2019, 9, 14384. [Google Scholar] [CrossRef] [PubMed]
- Gurumoorthi, P.; Senthil Kumar, S.; Vadivel, V.; Janardhnan, K. Studies on agro botanical characters of different accessions of velvet bean collected from Western Ghats, South India. Trop. Subtrop. Agroecosystems 2003, 2, 105–115. [Google Scholar]
- Radhakrishnan, R.; Kumari, B.D.R. Influence of pulsed magnetic field on soybean (Glycine max L.) seed germination, seedling growth and soil microbial population. Indian J. Biochem. Biophys. 2013, 50, 312–317. [Google Scholar] [PubMed]
- Bhatnagar, D.; Deb, A.R. Some effect of pre-germination exposure of wheat seeds to magnetic fields: Effect on some physiological process. Seed Res. 1977, 5, 129–137. [Google Scholar]
- Galland, P.; Pazur, A. Magnetoreception in plants. J. Plant Res. 2005, 118, 371–389. [Google Scholar] [CrossRef]
- Kataria, S.; Jain, M.; Tripathi, D.K.; Singh, V.P. Involvement of nitrate reductase-dependent nitric oxide production in magnetopriming-induced salt tolerance in soybean. Physiol. Plant 2020, 168, 422–436. [Google Scholar] [CrossRef]
- Chen, Y.-p.; Li, R.; He, J.M. Magnetic field can alleviate toxicological effect induced by cadmium in mungbean seedlings. Ecotoxicology 2011, 20, 760–769. [Google Scholar] [CrossRef]
- Latef, A.A.H.A.; Dawood, M.F.; Hassanpour, H.; Rezayian, M.; Younes, N.A. Impact of the static magnetic field on growth, pigments, osmolytes, nitric oxide, hydrogen sulfide, phenylalanine ammonia-lyase activity, antioxidant defense system, and yield in lettuce. Biology 2020, 9, 172. [Google Scholar] [CrossRef]
Disclaimer/Publisher’s Note: The statements, opinions and data contained in all publications are solely those of the individual author(s) and contributor(s) and not of MDPI and/or the editor(s). MDPI and/or the editor(s) disclaim responsibility for any injury to people or property resulting from any ideas, methods, instructions or products referred to in the content. |
© 2023 by the authors. Licensee MDPI, Basel, Switzerland. This article is an open access article distributed under the terms and conditions of the Creative Commons Attribution (CC BY) license (https://creativecommons.org/licenses/by/4.0/).





















