Evolution of Synoptic Systems Associated with Lake-Effect Snow Events over Northwestern Pennsylvania
Abstract
1. Introduction
- An upper-level low geopotential height anomaly centered over or in close proximity to the Hudson Bay;
- A mid-latitude cyclone (hereafter referred to as “cyclone”) and associated cold front located east of the Great Lakes. The trailing cyclonic surface winds generally feature a westerly component which favors long air parcel residence times over the lakes.
2. Materials and Methods
2.1. LES Repository
- Start date and end date;
- Duration (hours);
- Counties affected;
- Property damage (US dollars);
- Peak snowfall amount (inches);
- Initial surface air temperature (°C);
- Initial wind speed (knots);
- Initial wind direction (°);
- Initial LST (°C).
2.2. Cyclone Classification
- Alberta Clippers (AC)—cyclogenesis in the lee of the Canadian Rocky Mountains, followed by a primarily east–southeast track towards and along the United States–Canada international border.
- Colorado Cyclones (CO)—cyclogenesis in the lee of the American Rocky Mountains, along with an initial east–southeast track followed by a northeast track towards the Great Lakes basin.
- Nor’easter (NE)—cyclogenesis in either the western Atlantic Ocean (i.e., near the Florida coast) or the Gulf of Mexico, followed by a northward track along the United States east coast.
- Great Lakes Low (GL)—cyclogenesis in the upper Midwest, River Valley, or Great Lakes basin, followed by a north/northeastward track toward New England.
2.3. Composite Construction and Analysis
2.4. Bootstrapping Analysis
3. Results
3.1. Preliminary Analysis
3.2. Alberta Clippers
3.3. Colorado Cyclones
3.4. Nor’easters
3.5. Great Lakes Lows
3.6. Bootstrap Analysis
4. Discussion
5. Conclusions
Author Contributions
Funding
Institutional Review Board Statement
Informed Consent Statement
Data Availability Statement
Acknowledgments
Conflicts of Interest
References
- Scott, R.W.; Huff, F.A. Impacts of the Great Lakes on Regional Climate Conditions. J. Great Lakes Res. 1996, 22, 845–863. [Google Scholar] [CrossRef]
- Notaro, M.; Holman, K.; Zarrin, A.; Fluck, E.; Vavrus, S.; Bennington, V. Influence of the Laurentian Great Lakes on Regional Climate. J. Clim. 2013, 26, 789–804. [Google Scholar] [CrossRef]
- Krantzberg, G.; Boer, C.D. A Valuation of Ecological Services in the Great Lakes Basin Ecosystem to Sustain Healthy Communities and a Dynamic Economy; McMaster University: Hamilton, ON, Canada, 2006. [Google Scholar]
- Vey, J.S.; Austin, J.C.; Bradley, J. The Next Economy: Economic Recovery and Transformation in the Great Lakes Region; Metropolitan Policy Program at Brookings: Washington, DC, USA, 2010. [Google Scholar]
- Hartnett, J.J. The Seasonal Snowfall Contributions of Different Snowstorm Types in Central New York State. Front. Water 2021, 3, 780869. [Google Scholar] [CrossRef]
- Great Lakes Commission. Available online: https://www.glc.org/lakes/#:~:text=They%20cover%20more%20than%2094%2C000,in%20the%20U.S.%20and%20Canada (accessed on 4 May 2023).
- Niziol, T.A.; Snyder, W.R.; Waldstreicher, J.S. Winter Weather Forecasting throughout the Eastern United States. Part IV: Lake Effect Snow. Weather Forecast. 1995, 10, 61–77. [Google Scholar] [CrossRef]
- Wiggin, B.L. Great Snows of the Great Lakes. Weatherwise 1950, 3, 123–126. [Google Scholar] [CrossRef]
- Eichenlaub, V.L. Lake Effect Snowfall to the Lee of the Great Lakes: Its Role in Michigan. Bull. Am. Meteorol. Soc. 1970, 51, 403–412. [Google Scholar] [CrossRef]
- Holroyd, E.W., III. Lake-Effect Cloud Bands as Seen from Weather Satellites. J. Atmos. Sci. 1971, 28, 1165–1170. [Google Scholar] [CrossRef]
- Niziol, T.A. Operational Forecasting of Lake Effect Snowfall in Western and Central New York. Weather Forecast. 1987, 2, 310–321. [Google Scholar] [CrossRef]
- Mann, G.E.; Wagenmaker, R.B.; Sousounis, P.J. The Influence of Multiple Lake Interactions upon Lake-Effect Storms. Mon. Weather Rev. 2002, 130, 1510–1530. [Google Scholar] [CrossRef]
- Kristovich, D.A.R.; Laird, N.F.; Hjelmfelt, M.R. Convective Evolution across Lake Michigan during a Widespread Lake-Effect Snow Event. Mon. Weather Rev. 2003, 131, 643–655. [Google Scholar] [CrossRef]
- Veals, P.G.; Steenburgh, W.J. Climatological Characteristics and Orographic Enhancement of Lake-Effect Precipitation East of Lake Ontario and over the Tug Hill Plateau. Mon. Weather Rev. 2015, 143, 3591–3609. [Google Scholar] [CrossRef]
- Kristovich, D.A.R.; Clark, R.D.; Frame, J.; Geerts, B.; Knupp, K.R.; Kosiba, K.A.; Laird, N.F.; Metz, N.D.; Minder, J.R.; Sikora, T.D.; et al. The Ontario Winter Lake-Effect Systems Field Campaign: Scientific and Educational Adventures to Further Our Knowledge and Prediction of Lake-Effect Storms. Bull. Am. Meteorol. Soc. 2017, 98, 315–332. [Google Scholar] [CrossRef]
- Wiley, J.; Mercer, A. Synoptic Climatology of Lake-Effect Snow Events off the Western Great Lakes. Climate 2021, 9, 43. [Google Scholar] [CrossRef]
- Monmonier, M. Lake Effect: Tales of Large Lakes, Arctic Winds, and Recurrent Snows, 1st ed.; Syracuse University Press: Syracuse, NY, USA, 2012; p. 17. [Google Scholar]
- Hill, J.D. Snow Squalls in the Lee of Lake Erie and Lake Ontario: A Review of the Literature; U.S. Department of Commerce, National Oceanic and Atmospheric Administration, National Weather Service Eastern Region: Bohemia, NY, USA, 1971; p. 20. [Google Scholar]
- Bergmaier, P.T.; Geerts, B.; Campbell, L.S.; Steenburgh, W.J. The OWLeS IOP2b Lake-Effect Snowstorm: Dynamics of the Secondary Circulation. Mon. Weather Rev. 2017, 145, 2437–2459. [Google Scholar] [CrossRef]
- Kristovich, D.A.R.; Steve, R.A. A Satellite Study of Oud-Band Frequencies over the Great Lakes. J. Appl. Meteorol. Climatol. 1995, 34, 2083–2090. [Google Scholar] [CrossRef]
- Laird, N.F.; Metz, N.D.; Gaudet, L.; Grasmick, C.; Higgins, L.; Loeser, C.; Zelinsky, D.A. Climatology of cold season lake-effect cloud bands for the North American Great Lakes. Int. J. Clim. 2017, 37, 2111–2121. [Google Scholar] [CrossRef]
- Peace, R.L.; Sykes, R.B. Mesoscale study of a lake effect snow storm. Mon. Weather Rev. 1966, 94, 495–507. [Google Scholar] [CrossRef]
- Ballentine, R.J.; Stamm, A.J.; Chermack, E.E.; Byrd, G.P.; Schleede, D. Mesoscale Model Simulation of the 4–5 January 1995 Lake-Effect Snowstorm. Weather Forecast. 1998, 13, 893–920. [Google Scholar] [CrossRef]
- Theeuwes, N.E.; Steeneveld, G.J.; Krikken, F.; Holtslag, A.A.M. Mesoscale modeling of lake effect snow over Lake Erie—Sensitivity to convection, microphysics and the water temperature. Adv. Sci. Res. 2010, 4, 15–22. [Google Scholar] [CrossRef][Green Version]
- Steenburgh, W.J.; Campbell, L.S. The OWLeS IOP2b Lake-Effect Snowstorm: Shoreline Geometry and the Mesoscale Forcing of Precipitation. Mon. Weather Rev. 2017, 145, 2421–2436. [Google Scholar] [CrossRef]
- Clark, C.A.; Metz, N.D.; Goebbert, K.H.; Ganesh-Babu, B.; Ballard, N.; Blackford, A.; Bottom, A.; Britt, C.; Carmer, K.; Davis, Q.; et al. Climatology of Lake-Effect Snow Days Along the Southern Shore of Lake Michigan: What Is the Sensitivity to Environmental Factors and Snowband Morphology? Front. Water 2022, 4, 826293. [Google Scholar] [CrossRef]
- Sousounis, P.J. Lake-Effect Storms. Encycl. Atmos. Sci. 2003, 1104–1115. [Google Scholar] [CrossRef]
- Kelly, R.D. A Single Doppler Radar Study of Horizontal-Roll Convection in a Lake-Effect Snow Storm. J. Atmos. Sci. 1982, 39, 1521–1531. [Google Scholar] [CrossRef]
- Kelly, R.D. Horizontal Roll and Boundary-Layer Interrelationships Observed over Lake Michigan. J. Atmos. Sci. 1984, 41, 1816–1826. [Google Scholar] [CrossRef]
- Kuo, H.L. Perturbations of Plane Couette Flow in Stratified Fluid and Origin of Cloud Streets. Phys. Fluids 1963, 6, 195–211. [Google Scholar] [CrossRef]
- Weckwerth, T.M.; Wilson, J.W.; Wakimoto, R.M.; Crook, N.A. Horizontal Convective Rolls: Determining the Environmental Conditions Supporting their Existence and Characteristics. Mon. Weather Rev. 1997, 125, 505–526. [Google Scholar] [CrossRef]
- Rothrock, H.J. An Aid in Forecasting Significant Lake Snows; ESSA Tech. Memo. WBTM CR-30, NOAA/NWS; National Weather Service: Kansas City, MO, USA, 1969; p. 18. [Google Scholar]
- Braham, R.R., Jr.; Dungey, M.J. Lake-Effect Snowfall over Lake Michigan. J. Appl. Meteorol. Climatol. 1995, 34, 282. [Google Scholar] [CrossRef]
- Kristovich, D.A.R.; Young, G.S.; Verlinde, J.; Sousounis, P.J.; Mourad, P.; Lenschow, D.; Rauber, R.M.; Ramamurthy, M.K.; Jewett, B.F.; Beard, K.; et al. The Lake—Induced Convection Experiment and the Snowband Dynamics Project. Bull. Am. Meteorol. Soc. 2000, 81, 519–542. [Google Scholar] [CrossRef]
- Hjelmfelt, M.R.; Braham, R.R., Jr. Numerical Simulation of the Airflow over Lake Michigan for a Major Lake-Effect Snow Event. Mon. Weather Rev. 1983, 111, 205–219. [Google Scholar] [CrossRef]
- Hsu, H.-M. Mesoscale Lake-effect Snowstorms in the Vicinity of Lake Michigan: Linear Theory and Numerical Simulations. J. Atmos. Sci. 1987, 44, 1019–1040. [Google Scholar] [CrossRef]
- Hjelmfelt, M.R. Numerical Study of the Influence of Environmental Conditions on Lake-Effect Snowstorms over Lake Michigan. Mon. Weather Rev. 1990, 3, 54–67. [Google Scholar] [CrossRef]
- Hjelmfelt, M.R. Orographic Effects in Simulated Lake-Effect Snowstorms over Lake Michigan. Mon. Weather Rev. 1992, 120, 373–377. [Google Scholar] [CrossRef]
- Cooper, K.A.; Hjelmfelt, M.R.; Derickson, R.G.; Kristovich, D.A.R.; Laird, N.F. Numerical Simulation of Transitions in Boundary Layer Convective Structures in a Lake-Effect Snow Event. Mon. Weather Rev. 2000, 128, 3283–3295. [Google Scholar] [CrossRef]
- Kelly, R.D. Mesoscale Frequencies and Seasonal Snowfalls for Different Types of Lake Michigan Snow Storms. J. Clim. Appl. Meteorol. 1986, 25, 308–312. [Google Scholar] [CrossRef]
- Ellis, A.W.; Leathers, D.J. A Synoptic Climatological Approach to the Analysis of Lake-Effect Snowfall: Potential Forecasting Applications. Weather Forecast. 1996, 11, 216–229. [Google Scholar] [CrossRef]
- Suriano, Z.J.; Leathers, D.J. Synoptically Classified Lake-Effect Snowfall Trends to the Lee of Lakes Erie and Ontario. Clim. Res. 2017, 74, 1–13. [Google Scholar] [CrossRef]
- Wiley, J.; Mercer, A. An Updated Synoptic Climatology of Lake Erie and Lake Ontario Heavy Lake-Effect Snow Events. Atmosphere 2020, 11, 872. [Google Scholar] [CrossRef]
- National Centers for Environmental Information. Available online: https://www.ncei.noaa.gov/ (accessed on 4 March 2024).
- National Weather Service Instruction 10-1605. Available online: https://www.ncdc.noaa.gov/stormevents/pd01016005curr.pdf (accessed on 26 July 2024).
- Hartnett, J.J. A classification scheme for identifying snowstorms affecting central New York State. Int. J. Clim. 2021, 41, 1712–1730. [Google Scholar] [CrossRef]
- NCEP/DOE Reanalysis 2 (R2); The NSF NCAR Research Data Archive at the National Center for Atmospheric Research, Computational and Information Systems Laboratory: Boulder, CO, USA, 2000; No. d091000. [CrossRef]
- Mesinger, F.; DiMego, G.; Kalnay, E.; Mitchell, K.; Shafran, P.C.; Ebisuzaki, W.; Jović, D.; Woollen, J.; Rogers, E.; Berbery, E.H.; et al. North American Regional Reanalysis. Bull. Am. Meteorol. Soc. 2006, 87, 343–360. [Google Scholar] [CrossRef]
- Wiley, J.; Mercer, A. Structure and Evolution of Non-Lake-Effect Snow Producing Alberta Clippers. Atmosphere 2021, 12, 1288. [Google Scholar] [CrossRef]
- Efron, B.; Tibshirani, R.J. An Introduction to the Bootstrap; Chapman and Hall/CRC: New York, NY, USA, 1993; p. 436. [Google Scholar]
- Petterssen, S. Motion and Motion Systems: Weather Analysis and Forecasting; McGraw-Hill: New York, NY, USA, 1956; Volume I, p. 428. [Google Scholar]
- Lackmann, G.M. Analysis of a Surprise Western New York Snowstorm. Weather Forecast. 2001, 16, 99–116. [Google Scholar] [CrossRef]
- Metz, N.D.; Bruick, Z.S.; Capute, P.K.; Neureuter, M.M.; Ott, E.W.; Sessa, M.F. An Investigation of Cold-Season Short-Wave Troughs in the Great Lakes Region and Their Concurrence with Lake-Effect Clouds. J. Appl. Meteorol. Clim. 2019, 58, 605–614. [Google Scholar] [CrossRef]
- Steiger, S.M.; Schrom, R.; Stamm, A.; Ruth, D.; Jaszka, K.; Kress, T.; Rathbun, B.; Frame, J.; Wurman, J.; Kosiba, K. Circulations, Bounded Weak Echo Regions, and Horizontal Vortices Observed within Long-Lake-Axis-Parallel—Lake-Effect Storms by the Doppler on Wheels. Mon. Weather Rev. 2013, 141, 2821–2840. [Google Scholar] [CrossRef]
- Campbell, L.S.; Steenburgh, W.J.; Veals, P.G.; Letcher, T.W.; Minder, J.R. Lake-Effect Mode and Precipitation Enhancement over the Tug Hill Plateau during OWLeS IOP2b. Mon. Weather Rev. 2016, 144, 1729–1748. [Google Scholar] [CrossRef]
















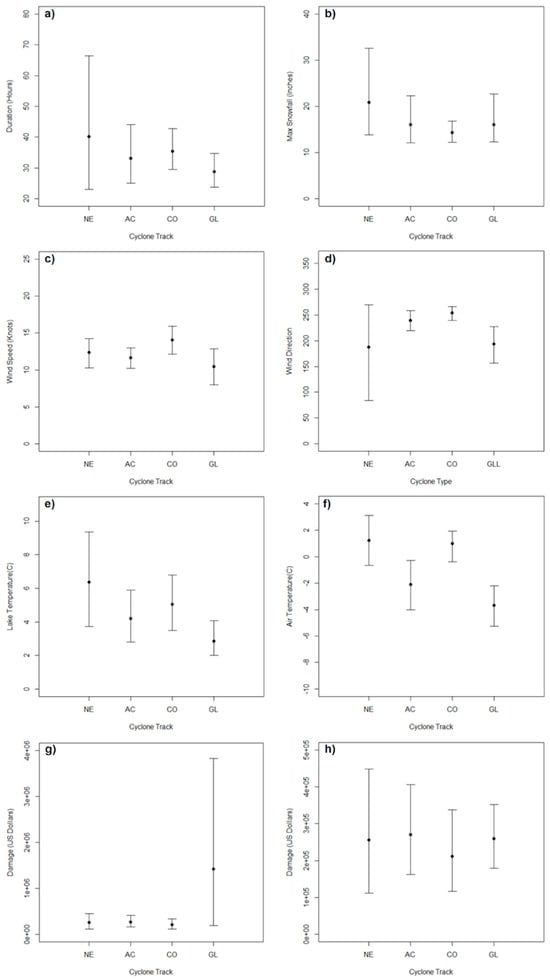
| Attribute | All Cases (n = 79) | Nor’easter (n = 8) | Alberta Clipper (n = 19) | Colorado Low (n = 19) | Great Lakes Low (n = 21) | |||||
|---|---|---|---|---|---|---|---|---|---|---|
| Mean | Median | Mean | Median | Mean | Median | Mean | Median | Mean | Median | |
| Duration (hours) | 32.7 | 29.0 | 41.1 | 27.0 | 33.6 | 25.0 | 35.6 | 32.0 | 28.9 | 25.0 |
| Max snowfall (inches) | 15.7 | 13.7 | 23.1 | 17.3 | 16.3 | 13.0 | 14.4 | 14.5 | 16.4 | 13.7 |
| Wind speed (knots) | 12.1 | 12.0 | 12.4 | 12.5 | 11.6 | 11.0 | 14.1 | 15.0 | 10.4 | 9.0 |
| Wind direction (°) | 224 | 240 | 186 | 250 | 239 | 240 | 254 | 250 | 192 | 200 |
| Lake surface temperature (°C) | 4.45 | 3.42 | 6.44 | 6.95 | 4.23 | 4.20 | 5.09 | 3.58 | 2.91 | 2.39 |
| Air temperature (°C) | −1.50 | −1.67 | 1.24 | 2.23 | −2.11 | −2.22 | 0.90 | 1.67 | −3.70 | −3.33 |
| Property damage (U.S. dollars) | USD 546,608 | USD 150,000 | USD 261,250 | USD 225,000 | USD 275,000 | USD 200,000 | USD 216,579 | USD 60,000 | USD 1,438,333 | USD 225,000 |
Disclaimer/Publisher’s Note: The statements, opinions and data contained in all publications are solely those of the individual author(s) and contributor(s) and not of MDPI and/or the editor(s). MDPI and/or the editor(s) disclaim responsibility for any injury to people or property resulting from any ideas, methods, instructions or products referred to in the content. |
© 2024 by the authors. Licensee MDPI, Basel, Switzerland. This article is an open access article distributed under the terms and conditions of the Creative Commons Attribution (CC BY) license (https://creativecommons.org/licenses/by/4.0/).
Share and Cite
Wiley, J.; Elcik, C. Evolution of Synoptic Systems Associated with Lake-Effect Snow Events over Northwestern Pennsylvania. Meteorology 2024, 3, 391-411. https://doi.org/10.3390/meteorology3040019
Wiley J, Elcik C. Evolution of Synoptic Systems Associated with Lake-Effect Snow Events over Northwestern Pennsylvania. Meteorology. 2024; 3(4):391-411. https://doi.org/10.3390/meteorology3040019
Chicago/Turabian StyleWiley, Jake, and Christopher Elcik. 2024. "Evolution of Synoptic Systems Associated with Lake-Effect Snow Events over Northwestern Pennsylvania" Meteorology 3, no. 4: 391-411. https://doi.org/10.3390/meteorology3040019
APA StyleWiley, J., & Elcik, C. (2024). Evolution of Synoptic Systems Associated with Lake-Effect Snow Events over Northwestern Pennsylvania. Meteorology, 3(4), 391-411. https://doi.org/10.3390/meteorology3040019

