Quantifying Threespine Stickleback Gasterosteus aculeatus L. (Perciformes: Gasterosteidae) Coloration for Population Analysis: Method Development and Validation
Abstract
1. Introduction
2. Materials and Methods
3. Results
3.1. Standard Sites Selection and Coloration Description
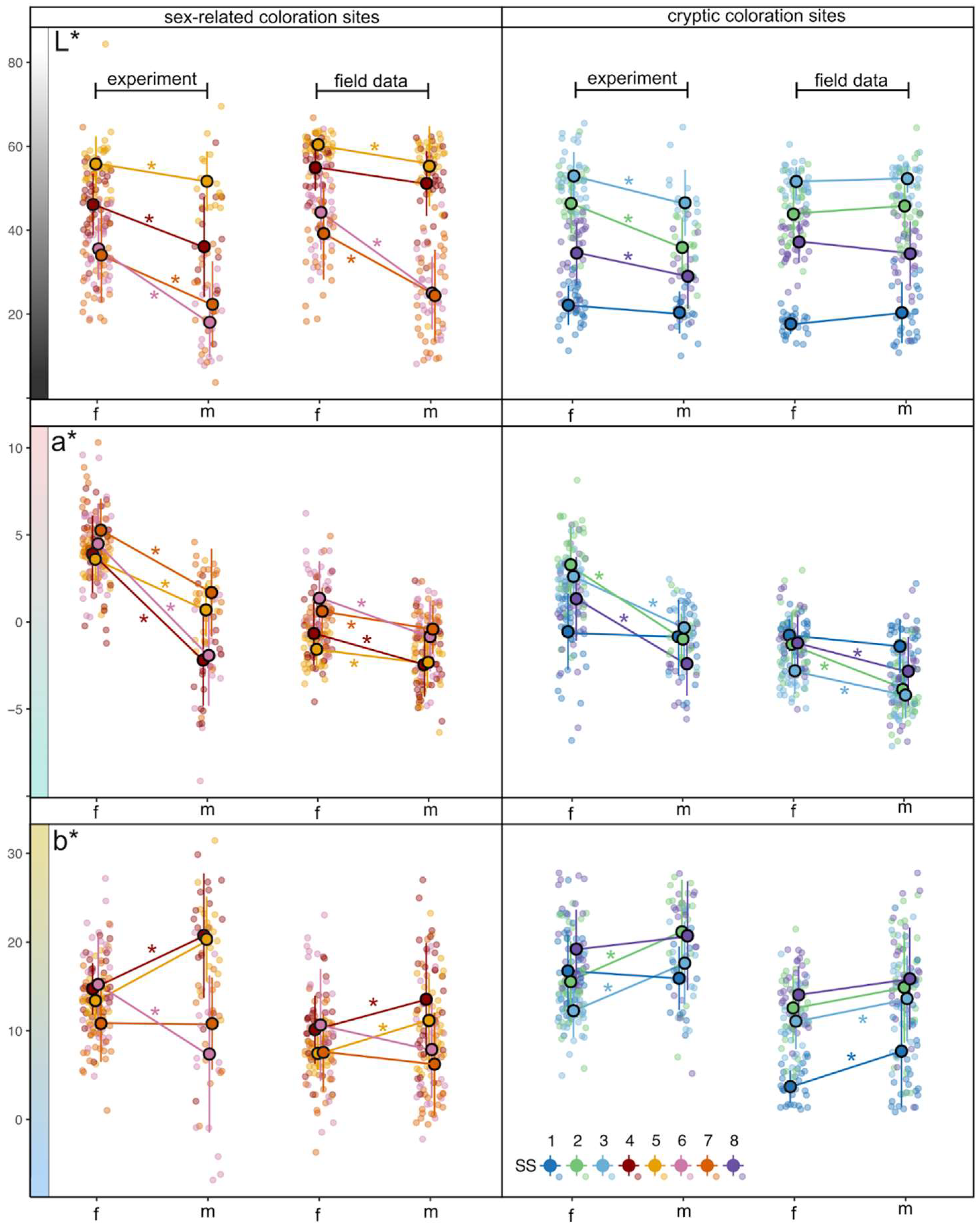
3.2. Lightness (L*)
3.3. Green to Magenta Axis (a*)
3.4. Blue to Yellow Axis (b*)
3.5. Principal Component Analysis
3.6. Pigmentation Index (E*)
4. Discussion
4.1. Image Capture Timing: Minimizing Color Shifts
4.2. Detection Thresholds: Human vs. Analytical Sensitivity
4.3. Nuptial Coloration as a Baseline
4.4. Method Validation in Experiment and in the Field
4.5. Site-Specific Variation: Sex-Related vs. Cryptic Standard Sites
4.6. Method Limitations and Future Developments
5. Conclusions
Supplementary Materials
Author Contributions
Funding
Institutional Review Board Statement
Data Availability Statement
Acknowledgments
Conflicts of Interest
References
- Maan, M.E.; Seehausen, O.; Van Alphen, J.J. Female Mating Preferences and Male Coloration Covary with Water Transparency in a Lake Victoria Cichlid Fish. Biol. J. Linn. Soc. 2010, 99, 398–406. [Google Scholar] [CrossRef]
- Bergstrom, C.; Whiteley, A.; Tallmon, D. The Heritable Basis and Cost of Colour Plasticity in Coastrange Sculpins. J. Evol. Biol. 2012, 25, 2526–2536. [Google Scholar] [CrossRef] [PubMed]
- Atsumi, K.; Koizumi, I. Web Image Search Revealed Large-Scale Variations in Breeding Season and Nuptial Coloration in a Mutually Ornamented Fish, Tribolodon hakonensis. Ecol. Res. 2017, 32, 567–578. [Google Scholar] [CrossRef]
- Morrongiello, J.; Bond, N.; Crook, D.; Wong, B. Nuptial Coloration Varies with Ambient Light Environment in a Freshwater Fish. J. Evol. Biol. 2010, 23, 2718–2725. [Google Scholar] [CrossRef]
- Nguyen, C.-N.; Vo, V.-T.; Nguyen, L.-H.-N.; Nhan, H.T.; Nguyen, C.-N. In Situ Measurement of Fish Color Based on Machine Vision: A Case Study of Measuring a Clownfish’s Color. Measurement 2022, 197, 111299. [Google Scholar] [CrossRef]
- Korzan, W.J.; Robison, R.R.; Zhao, S.; Fernald, R.D. Color Change as a Potential Behavioral Strategy. Horm. Behav. 2008, 54, 463–470. [Google Scholar] [CrossRef] [PubMed]
- Guillot, R.; Ceinos, R.M.; Cal, R.; Rotllant, J.; Cerda-Reverter, J.M. Transient Ectopic Overexpression of Agouti-Signalling Protein 1 (Asip1) Induces Pigment Anomalies in Flatfish. PLoS ONE 2012, 7, e48526. [Google Scholar] [CrossRef] [PubMed]
- Brady, P.C.; Gilerson, A.A.; Kattawar, G.W.; Sullivan, J.M.; Twardowski, M.S.; Dierssen, H.M.; Gao, M.; Travis, K.; Etheredge, R.I.; Tonizzo, A.; et al. Open-Ocean Fish Reveal an Omnidirectional Solution to Camouflage in Polarized Environments. Science 2015, 350, 965–969. [Google Scholar] [CrossRef]
- Ceinos, R.M.; Guillot, R.; Kelsh, R.N.; Cerdá-Reverter, J.M.; Rotllant, J. Pigment Patterns in Adult Fish Result from Superimposition of Two Largely Independent Pigmentation Mechanisms. Pigment Cell Melanoma Res. 2015, 28, 196–209. [Google Scholar] [CrossRef] [PubMed]
- Schweitzer, C.; Motreuil, S.; Dechaume-Moncharmont, F.-X. Coloration Reflects Behavioural Types in the Convict Cichlid, Amatitlania Siquia. Anim. Behav. 2015, 105, 201–209. [Google Scholar] [CrossRef]
- Morais, S.; Aragão, C.; Cabrita, E.; Conceição, L.E.; Constenla, M.; Costas, B.; Dias, J.; Duncan, N.; Engrola, S.; Estevez, A. New Developments and Biological Insights into the Farming of Solea Senegalensis Reinforcing Its Aquaculture Potential. Rev. Aquac. 2016, 8, 227–263. [Google Scholar] [CrossRef]
- Utagawa, U.; Higashi, S.; Kamei, Y.; Fukamachi, S. Characterization of Assortative Mating in Medaka: Mate Discrimination Cues and Factors That Bias Sexual Preference. Horm. Behav. 2016, 84, 9–17. [Google Scholar] [CrossRef] [PubMed]
- Cal, L.; Suarez-Bregua, P.; Comesaña, P.; Owen, J.; Braasch, I.; Kelsh, R.; Cerdá-Reverter, J.M.; Rotllant, J. Countershading in Zebrafish Results from an Asip1 Controlled Dorsoventral Gradient of Pigment Cell Differentiation. Sci. Rep. 2019, 9, 3449. [Google Scholar] [CrossRef]
- Sato, A.; Aihara, R.; Karino, K. Male Coloration Affects Female Gestation Period and Timing of Fertilization in the Guppy (Poecilia reticulata). PLoS ONE 2021, 16, e0261004. [Google Scholar] [CrossRef] [PubMed]
- Boughman, J.W. Divergent Sexual Selection Enhances Reproductive Isolation in Sticklebacks. Nature 2001, 411, 944–948. [Google Scholar] [CrossRef]
- Lewandowski, E.; Boughman, J. Effects of Genetics and Light Environment on Colour Expression in Threespine Sticklebacks: Quantitative Genetics of Nuptial Colour. Biol. J. Linn. Soc. 2008, 94, 663–673. [Google Scholar] [CrossRef]
- Tibblin, P.; Hall, M.; Svensson, P.A.; Merilä, J.; Forsman, A. Phenotypic Flexibility in Background-Mediated Color Change in Sticklebacks. Behav. Ecol. 2020, 31, 950–959. [Google Scholar] [CrossRef] [PubMed]
- Endler, J.A. Signals, Signal Conditions, and the Direction of Evolution. Am. Nat. 1992, 139, 125–153. [Google Scholar] [CrossRef]
- Price, A.C.; Weadick, C.J.; Shim, J.; Rodd, F.H. Pigments, Patterns, and Fish Behavior. Zebrafish 2008, 5, 297–307. [Google Scholar] [CrossRef]
- Phillips, B.L. The Evolution of Growth Rates on an Expanding Range Edge. Biol. Lett. 2009, 5, 802–804. [Google Scholar] [CrossRef]
- John, L.; Rick, I.P.; Vitt, S.; Thünken, T. Body Coloration as a Dynamic Signal during Intrasexual Communication in a Cichlid Fish. BMC Zool. 2021, 6, 9. [Google Scholar] [CrossRef]
- Yoshioka, S.; Matsuhana, B.; Tanaka, S.; Inouye, Y.; Oshima, N.; Kinoshita, S. Mechanism of Variable Structural Colour in the Neon Tetra: Quantitative Evaluation of the Venetian Blind Model. J. R. Soc. Interface 2011, 8, 56–66. [Google Scholar] [CrossRef]
- FitzGerald, G.J. The Reproductive Behavior of the Stickleback. Sci. Am. 1993, 268, 80–85. [Google Scholar] [CrossRef]
- Bell, M.A.; Foster, S.A. Introduction to the Evolutionary Biology of the Threespine Stickleback. In The Evolutionary Biology of the Threespine Stickleback; Oxford University Press: Oxford, UK, 1994; pp. 2–27. [Google Scholar]
- Hiermes, M.; Bakker, T.C.; Mehlis, M.; Rick, I.P. Context-Dependent Dynamic UV Signaling in Female Threespine Sticklebacks. Sci. Rep. 2015, 5, 17474. [Google Scholar] [CrossRef]
- Reimchen, T.E. Loss of Nuptial Color in Threespine Sticklebacks (Gasterosteus aculeatus). Evolution 1989, 43, 450–460. [Google Scholar]
- Clarke, J.M.; Schluter, D. Colour Plasticity and Background Matching in a Threespine Stickleback Species Pair. Biol. J. Linn. Soc. 2011, 102, 902–914. [Google Scholar] [CrossRef]
- Tapanes, E.; Rennison, D.J. The Genetic Basis of Divergent Melanic Pigmentation in Benthic and Limnetic Threespine Stickleback. Heredity 2024, 133, 207–215. [Google Scholar] [CrossRef]
- Sokołowska, E.; Kulczykowska, E. A New Insight into the Pigmentation of the Three-Spined Stickleback Exposed to Oxidative Stress: Day and Night Study. Front. Mar. Sci. 2024, 11, 1401537. [Google Scholar] [CrossRef]
- Lajus, D.L.; Golovin, P.V.; Zelenskaia, A.E.; Demchuk, A.S.; Dorgham, A.S.; Ivanov, M.V.; Ivanova, T.S.; Murzina, S.A.; Polyakova, N.V.; Rybkina, E.V.; et al. Threespine Stickleback of the White Sea: Population Characteristics and Role in the Ecosystem. Contemp. Probl. Ecol. 2020, 13, 132–145. [Google Scholar] [CrossRef]
- Wootton, R. A Functional Biology of Sticklebacks. Science 1985, 228, 574–575. [Google Scholar]
- French, C.M.; Ingram, T.; Bolnick, D.I. Geographical Variation in Colour of Female Threespine Stickleback (Gasterosteus aculeatus). PeerJ 2018, 6, e4807. [Google Scholar] [CrossRef]
- Ivanova, T.; Ivanov, M.; Golovin, P.; Polyakova, N.; Lajus, D. The White Sea Threespine Stickleback Population: Spawning Habitats, Mortality, and Abundance. Evol. Ecol. Res. 2016, 17, 301–315. [Google Scholar]
- Lajus, D.; Ivanova, T.; Rybkina, E.; Lajus, J.; Ivanov, M. Multidecadal Fluctuations of Threespine Stickleback in the White Sea and Their Correlation with Temperature. ICES J. Mar. Sci. 2021, 78, 653–665. [Google Scholar] [CrossRef]
- Borg, B. Field Studies on Three-Spined Sticklebacks in the Baltic. Behaviour 1985, 93, 153–157. [Google Scholar] [CrossRef]
- Genelt-Yanovskaya, A.S.; Polyakova, N.V.; Ivanov, M.V.; Nadtochii, E.V.; Ivanova, T.S.; Genelt-Yanovskiy, E.A.; Tiunov, A.V.; Lajus, D.L. Tracing the Food Web of Changing Arctic Ocean: Trophic Status of Highly Abundant Fish, Gasterosteus aculeatus (L.), in the White Sea Recovered Using Stomach Content and Stable Isotope Analyses. Diversity 2022, 14, 955. [Google Scholar] [CrossRef]
- Ivanov, M.; Zelenskaia, A.E.; Demchuk, A.S.; Ivanova, T.S.; Lajus, D.L. Threespine Stickleback Gasterosteus aculeatus as A Link Between the Inshore and Offshore Communities of the White Sea; Novosibirsk State Agrarian University: Novosibirsk, Russia, 2021; pp. 99–103. [Google Scholar]
- Bakker, T.C.; Milinski, M. The Advantages of Being Red: Sexual Selection in the Stickleback. Mar. Freshw. Behav. Physiol. 1993, 23, 287–300. [Google Scholar]
- Barber, I.; Arnott, S.A.; Braithwaite, V.; Andrew, J.; Mullen, W.; Huntingford, F. Carotenoid-Based Sexual Coloration and Body Condition in Nesting Male Sticklebacks. J. Fish Biol. 2000, 57, 777–790. [Google Scholar] [CrossRef]
- Candolin, U. Changes in Expression and Honesty of Sexual Signalling over the Reproductive Lifetime of Sticklebacks. Proc. R. Soc. Lond. Ser. B Biol. Sci. 2000, 267, 2425–2430. [Google Scholar] [CrossRef] [PubMed]
- Chiara, V.; Velando, A.; Kim, S.-Y. Relationships between Male Secondary Sexual Traits, Physiological State and Offspring Viability in the Three-Spined Stickleback. BMC Ecol. Evol. 2022, 22, 4. [Google Scholar] [CrossRef]
- Wright, D.S.; Yong, L.; Pierotti, M.E.; McKinnon, J.S. Male Red Throat Coloration, Pelvic Spine Coloration, and Courtship Behaviours in Threespine Stickleback. Evol. Ecol. Res. 2016, 17, 407–418. [Google Scholar]
- Anderson, C.M.; McKinnon, J.S. Phenotypic Correlates of Pelvic Spine Coloration in the Threespine Stickleback (Gasterosteus aculeatus): Implications for Function and Evolution. Behav. Ecol. Sociobiol. 2022, 76, 153. [Google Scholar] [CrossRef] [PubMed]
- Yurtseva, A.; Noreikiene, K.; Lajus, D.; Li, Z.; Alapassi, T.; Ivanova, T.; Ivanov, M.; Golovin, P.; Vesala, S.; Merilä, J. Aging Three-Spined Sticklebacks Gasterosteus aculeatus: Comparison of Estimates from Three Structures. J. Fish Biol. 2019, 95, 802–811. [Google Scholar] [CrossRef]
- Dorgham, A.; Candolin, U.; Ivanova, T.; Ivanov, M.; Nadtochii, E.; Yurtseva, A.; Lajus, D. Sexual Dimorphism Patterns of the White Sea Threespine Stickleback (Gasterosteus aculeatus). Biol. Commun. 2021, 66, 256–267. [Google Scholar] [CrossRef]
- Bakker, T.C.M.; Mundwiler, B. Female Mate Choice and Male Red Coloration in a Natural Three-Spined Stickleback (Gasterosteus aculeatus) Population. Behav. Ecol. 1994, 5, 74–80. [Google Scholar] [CrossRef]
- Schewe, J. The Digital Print: Preparing Images in Lightroom and Photoshop for Printing; Peachpit Press: Berkeley, CA, USA, 2013. [Google Scholar]
- Steeper, P. How to Achieve Accurate Color from Your Camera. PSA J. 2012, 78, 18–20. [Google Scholar]
- Abràmoff, M.D.; Magalhães, P.J.; Ram, S.J. Image Processing with ImageJ. Biophotonics Int. 2004, 11, 36–42. [Google Scholar]
- Ferreira, T.; Rasband, W. ImageJ User Guide. ImageJ/Fiji 2012, 1, 155–161. [Google Scholar]
- Ly, B.C.K.; Dyer, E.B.; Feig, J.L.; Chien, A.L.; Del Bino, S. Research Techniques Made Simple: Cutaneous Colorimetry: A Reliable Technique for Objective Skin Color Measurement. J. Investig. Dermatol. 2020, 140, 3–12. [Google Scholar] [CrossRef]
- Voss, D.H. Relating Colorimeter Measurement of Plant Color to the Royal Horticultural Society Colour Chart. HortScience 1992, 27, 1256–1260. [Google Scholar] [CrossRef]
- ChromaChecker. Available online: https://chromachecker.com/manuals/en/show/chromaspot (accessed on 24 May 2025).
- Kekäläinen, J.; Huuskonen, H.; Kiviniemi, V.; Taskinen, J. Visual Conditions and Habitat Shape the Coloration of the Eurasian Perch (Perca fluviatilis L.): A Trade-off between Camouflage and Communication? Biol. J. Linn. Soc. 2010, 99, 47–59. [Google Scholar] [CrossRef]
- Martin, C.H. Strong Assortative Mating by Diet, Color, Size, and Morphology but Limited Progress toward Sympatric Speciation in a Classic Example: Cameroon Crater Lake Cichlids. Evolution 2013, 67, 2114–2123. [Google Scholar] [CrossRef]
- Sundin, J.; Vossen, L.E.; Nilsson-Sköld, H.; Jutfelt, F. No Effect of Elevated Carbon Dioxide on Reproductive Behaviors in the Three-Spined Stickleback. Behav. Ecol. 2017, 28, 1482–1491. [Google Scholar] [CrossRef]
- Troscianko, J.; Stevens, M. Image Calibration and Analysis Toolbox—A Free Software Suite for Objectively Measuring Reflectance, Colour and Pattern. Methods Ecol. Evol. 2015, 6, 1320–1331. [Google Scholar] [CrossRef]
- Mahy, M.; Van Eycken, L.; Oosterlinck, A. Evaluation of Uniform Color Spaces Developed after the Adoption of CIELAB and CIELUV. Color Res. Appl. 1994, 19, 105–121. [Google Scholar] [CrossRef]
- Hammer, Ø.; Harper, D.A.; Ryan, P.D. PAST: Paleontological Statistics Software Package for Education and Data Analysis. Palaeontol. Electron. 2001, 4, 9. [Google Scholar]
- Love, J.; Selker, R.; Marsman, M.; Jamil, T.; Dropmann, D.; Verhagen, J.; Ly, A.; Gronau, Q.F.; Šmíra, M.; Epskamp, S. JASP: Graphical Statistical Software for Common Statistical Designs. J. Stat. Softw. 2019, 88, 1–17. [Google Scholar] [CrossRef]
- Python 3.13 Documentation. Python Software Foundation, Wilmington, Delaware, United States. Available online: https://docs.python.org/3/ (accessed on 23 May 2025).
- Anaconda.Org. Anaconda Inc., Austin, Texas, United States. Available online: https://www.anaconda.com/docs/tools/anaconda-org/main (accessed on 23 May 2025).
- R: A Language and Environment for Statistical Computing. R Foundation for Statistical Computing, Vienna, Austria. Available online: https://www.R-project.org/ (accessed on 23 May 2025).
- RStudio: Integrated Development Environment for R. Posit Software, PBC, Boston, MA, United States. Available online: http://www.posit.co/ (accessed on 23 May 2025).
- Colihueque, N.; Parraguez, M.; Estay, F.J.; Diaz, N.F. Skin Color Characterization in Rainbow Trout by Use of Computer-Based Image Analysis. N. Am. J. Aquac. 2011, 73, 249–258. [Google Scholar] [CrossRef]
- Wedekind, C.; Meyer, P.; Frischknecht, M.; Niggli, U.A.; Pfander, H. Different Carotenoids and Potential Information Content of Red Coloration of Male Three-Spined Stickleback. J. Chem. Ecol. 1998, 24, 787–801. [Google Scholar] [CrossRef]
- Bolnick, D.I.; Shim, K.C.; Schmerer, M.; Brock, C.D. Population-Specific Covariation between Immune Function and Color of Nesting Male Threespine Stickleback. PLoS ONE 2015, 10, e0126000. [Google Scholar] [CrossRef] [PubMed]
- Franco-Belussi, L.; De Oliveira, C.; Sköld, H. Regulation of Eye and Jaw Colouration in Three-Spined Stickleback Gasterosteus aculeatus. J. Fish Biol. 2018, 92, 1788–1804. [Google Scholar] [CrossRef] [PubMed]
- Candolin, U. The Relationship between Signal Quality and Physical Condition: Is Sexual Signalling Honest in the Three-Spined Stickleback? Anim. Behav. 1999, 58, 1261–1267. [Google Scholar] [CrossRef]
- MacAdam, D.L. Visual Sensitivities to Color Differences in Daylight. J. Opt. Soc. Am. 1942, 32, 247–274. [Google Scholar] [CrossRef]
- Leinonen, T.; Cano, J.M.; Merilä, J. Genetics of Body Shape and Armour Variation in Threespine Sticklebacks. J. Evol. Biol. 2011, 24, 206–218. [Google Scholar] [CrossRef] [PubMed]
- Münzing, J. The Evolution of Variation and Distributional Patterns in European Populations of the Three-Spined Stickleback, Gasterosteus aculeatus. Evolution 1963, 17, 320–332. [Google Scholar] [CrossRef]
- Jenck, C.S.; Lehto, W.R.; Ketterman, B.T.; Sloan, L.F.; Sexton, A.N.; Tinghitella, R.M. Phenotypic Divergence among Threespine Stickleback That Differ in Nuptial Coloration. Ecol. Evol. 2020, 10, 2900–2916. [Google Scholar] [CrossRef]
- Tinbergen, N. The Curious Behavior of the Stickleback. Sci. Am. 1952, 187, 22–27. [Google Scholar] [CrossRef]
- Milinski, M.; Bakker, T.C.M. Female Sticklebacks Use Male Coloration in Mate Choice and Hence Avoid Parasitized Males. Nature 1990, 344, 330–333. [Google Scholar] [CrossRef]
- Zyuganov, V.V. Fauna of the USSR. Fishes. The Sticklebacks (Gasterosteidae) of the World Fauna (Fauna SSSR. Ryby. Semeistvo Koliushkovykh (Gasterosteidae) Mirovoi Fauny); Nauka: Leningrad, Soviet Union, 1991. [Google Scholar]
- McKinnon, J.; Demayo, R.; Granquist, R.; Weggel, L. Female Red Throat Coloration in Two Populations of Threespine Stickleback. Behaviour 2000, 137, 947–963. [Google Scholar] [CrossRef]
- Yong, L.; Guo, R.; Wright, D.S.; Mears, S.A.; Pierotti, M.; McKinnon, J.S. Correlates of Red Throat Coloration in Female Stickleback and Their Potential Evolutionary Significance. Evol. Ecol. Res. 2013, 15, 453–472. [Google Scholar]
- von Hippel, F.A. Black Male Bellies and Red Female Throats: Color Changes with Breeding Status in a Threespine Stickleback. Environ. Biol. Fishes 1999, 55, 237–244. [Google Scholar] [CrossRef]
- Semler, D.E. Some Aspects of Adaptation in a Polymorphism for Breeding Colours in the Threespine Stickleback (Gasterosteus aculeatus). J. Zool. 1971, 165, 291–302. [Google Scholar] [CrossRef]
- Yong, L.; Peichel, C.L.; McKinnon, J.S. Genetic Architecture of Conspicuous Red Ornaments in Female Threespine Stickleback. G3 Genes Genomes Genet. 2016, 6, 579–588. [Google Scholar] [CrossRef]
- Dorgham, A.S.A.; Golovin, P.; Ivanova, T.; Ivanov, M.; Saveliev, P.; Lajus, D. Morphological Variation of Threespine Stickleback (Gasterosteus aculeatus) on Different Stages of Spawning Period. Proc. KarRC RAS 2018, 4, 59–73. [Google Scholar] [CrossRef]
- McLennan, D.A. Integrating Phylogenetic and Experimental Analyses: The Evolution of Male and Female Nuptial Coloration in the Stickleback Fishes (Gasterosteidae). Syst. Biol. 1996, 45, 261–277. [Google Scholar] [CrossRef]
- Hulslander, C.L. The Evolution of the Male Threespine Stickleback Color Signal. Ph.D. Thesis, Clark University, Worcester, MA, USA, 2003. [Google Scholar]
- Kraak, S.; Bakker, T.; Hočevar, S. Stickleback Males, Especially Large and Red Ones, Are More Likely to Nest Concealed in Macrophytes. Behaviour 2000, 137, 907–919. [Google Scholar] [CrossRef]
- Levine, J.S.; MacNichol, E.F. Color Vision in Fishes. Sci. Am. 1982, 246, 140–149. [Google Scholar] [CrossRef]
- Rennison, D.J.; Owens, G.L.; Heckman, N.; Schluter, D.; Veen, T. Rapid Adaptive Evolution of Colour Vision in the Threespine Stickleback Radiation. Proc. R. Soc. B Biol. Sci. 2016, 283, 20160242. [Google Scholar] [CrossRef]
- Wyszecki, G.; Stiles, W.S. Color Science: Concepts and Methods, Quantitative Data and Formulae; John Wiley & Sons, Inc.: Toronto, ON, Canada, 2000. [Google Scholar]
- Schnapf, J.; Kraft, T.; Baylor, D. Spectral Sensitivity of Human Cone Photoreceptors. Nature 1987, 325, 439–441. [Google Scholar] [CrossRef]
- Greenwood, A.K.; Jones, F.C.; Chan, Y.F.; Brady, S.D.; Absher, D.M.; Grimwood, J.; Schmutz, J.; Myers, R.M.; Kingsley, D.M.; Peichel, C.L. The Genetic Basis of Divergent Pigment Patterns in Juvenile Threespine Sticklebacks. Heredity 2011, 107, 155–166. [Google Scholar] [CrossRef]
- Greenwood, A.K.; Cech, J.N.; Peichel, C.L. Molecular and Developmental Contributions to Divergent Pigment Patterns in Marine and Freshwater Sticklebacks. Evol. Dev. 2012, 14, 351–362. [Google Scholar] [CrossRef]
- Gygax, M.; Rentsch, A.K.; Rudman, S.M.; Rennison, D.J. Differential Predation Alters Pigmentation in Threespine Stickleback (Gasterosteus aculeatus). J. Evol. Biol. 2018, 31, 1589–1598. [Google Scholar] [CrossRef] [PubMed]
- van den Berg, C.P.; Troscianko, J.; Endler, J.A.; Marshall, N.J.; Cheney, K.L. Quantitative Colour Pattern Analysis (QCPA): A Comprehensive Framework for the Analysis of Colour Patterns in Nature. Methods Ecol. Evol. 2020, 11, 316–332. [Google Scholar] [CrossRef]
- Bookstein, F.L. Morphometric Tools for Landmark Data; Cambridge University Press: Cambridge, UK, 1992. [Google Scholar]
- Rohlf, F.J. The Tps Series of Software. Hystrix 2015, 26, 9–12. [Google Scholar]
- Hand, D.M.; Brignon, W.R.; Olson, D.E.; Rivera, J. Comparing Two Methods Used to Mark Juvenile Chinook Salmon: Automated and Manual Marking. N. Am. J. Aquac. 2010, 72, 10–17. [Google Scholar] [CrossRef]
- Petrtýl, M.; Kalous, L.; MemiŞ, D. Comparison of Manual Measurements and Computer-Assisted Image Analysis in Fish Morphometry. Turk. J. Vet. Anim. Sci. 2014, 38, 88–94. [Google Scholar] [CrossRef]
- Mocho, J.-P.; Collymore, C.; Farmer, S.C.; Leguay, E.; Murray, K.N.; Pereira, N. FELASA-AALAS Recommendations for Monitoring and Reporting of Laboratory Fish Diseases and Health Status, with an Emphasis on Zebrafish (Danio Rerio). Comp. Med. 2022, 72, 127–148. [Google Scholar] [CrossRef]







| SS | Comparisons | |||
|---|---|---|---|---|
| Females vs. Males, Experiment | Females vs. Males, Field | Experiment vs. Field, Females | Experiment vs. Field, Males | |
| 1 | 6.17 ± 2.77 | 6.54 ± 5.39 | 10.30 ± 3.05 | 9.54 ± 3.28 |
| (0.81–17.75) | (0.24–23.51) | (3.35–20.40) | (1.64–21.43) | |
| 2 | 13.72 ± 6.54 | 8.99 ± 3.81 | 11.33 ± 4.49 | 13.12 ± 6.55 |
| (0.87–38.58) | (0.43–23.64) | (1.11–33.19) | (1.89–41.06) | |
| 3 | 11.34 ± 5.64 | 6.15 ± 2.96 | 9.71 ± 3.00 | 11.15 ± 4.27 |
| (1.69–32.29) | (0.43–16.09) | (2.74–21.73) | (3.34–25.90) | |
| 4 | 14.66 ± 4.49 | 9.00 ± 4.13 | 13.19 ± 5.93 | 17.94 ± 8.31 |
| (2.15–26.12) | (0.56–23.43) | (2.69–35.39) | (2.31–44.77) | |
| 5 | 9.70 ± 4.33 | 6.81 ± 4.80 | 10.66 ± 3.10 | 12.64 ± 5.59 |
| (1.20–30.59) | (0.55–23.74) | (4.45–26.49) | (1.55–49.06) | |
| 6 | 17.00 ± 5.96 | 14.81 ± 6.19 | 13.85 ± 6.51 | 11.91 ± 5.58 |
| (1.60–31.21) | (11.68–37.35) | (1.46–41.84) | (1.01–33.43) | |
| 7 | 12.12 ± 6.55 | 12.47 ± 6.73 | 14.64 ± 7.28 | 12.15 ± 5.30 |
| (1.39–37.82) | (0.22–35.37) | (3.04–44.43) | (1.61–31.25) | |
| 8 | 10.67 ± 3.99 | 7.89 ± 3.86 | 8.94 ± 3.43 | 10.23 ± 4.85 |
| (1.45–23.03) | (0.69–21.73) | (1.03–19.83) | (0.64–27.50) | |
Disclaimer/Publisher’s Note: The statements, opinions and data contained in all publications are solely those of the individual author(s) and contributor(s) and not of MDPI and/or the editor(s). MDPI and/or the editor(s) disclaim responsibility for any injury to people or property resulting from any ideas, methods, instructions or products referred to in the content. |
© 2025 by the authors. Licensee MDPI, Basel, Switzerland. This article is an open access article distributed under the terms and conditions of the Creative Commons Attribution (CC BY) license (https://creativecommons.org/licenses/by/4.0/).
Share and Cite
Nadtochii, E.V.; Genelt-Yanovskaya, A.S.; Genelt-Yanovskiy, E.A.; Ivanov, M.V.; Lajus, D.L. Quantifying Threespine Stickleback Gasterosteus aculeatus L. (Perciformes: Gasterosteidae) Coloration for Population Analysis: Method Development and Validation. Hydrobiology 2025, 4, 20. https://doi.org/10.3390/hydrobiology4030020
Nadtochii EV, Genelt-Yanovskaya AS, Genelt-Yanovskiy EA, Ivanov MV, Lajus DL. Quantifying Threespine Stickleback Gasterosteus aculeatus L. (Perciformes: Gasterosteidae) Coloration for Population Analysis: Method Development and Validation. Hydrobiology. 2025; 4(3):20. https://doi.org/10.3390/hydrobiology4030020
Chicago/Turabian StyleNadtochii, Ekaterina V., Anna S. Genelt-Yanovskaya, Evgeny A. Genelt-Yanovskiy, Mikhail V. Ivanov, and Dmitry L. Lajus. 2025. "Quantifying Threespine Stickleback Gasterosteus aculeatus L. (Perciformes: Gasterosteidae) Coloration for Population Analysis: Method Development and Validation" Hydrobiology 4, no. 3: 20. https://doi.org/10.3390/hydrobiology4030020
APA StyleNadtochii, E. V., Genelt-Yanovskaya, A. S., Genelt-Yanovskiy, E. A., Ivanov, M. V., & Lajus, D. L. (2025). Quantifying Threespine Stickleback Gasterosteus aculeatus L. (Perciformes: Gasterosteidae) Coloration for Population Analysis: Method Development and Validation. Hydrobiology, 4(3), 20. https://doi.org/10.3390/hydrobiology4030020

