Abstract
In our study, we investigate the phenomenon of information loss, as measured by the Kullback–Leibler divergence, in a many-fermion system, such as the Lipkin model. Information loss is introduced as the number N of particles increases, particularly when the system is in a mixed state. We find that there is a significant loss of information under these conditions. However, we observe that this loss nearly disappears when the system is in a pure state. Our analysis employs tools from information theory to quantify and understand these effects.
MSC:
81-82
1. Introduction
In this paper we study, using information theory tools, peculiarities of quantum mixtures [1,2,3,4,5] in the context of an exactly solvable model of N interacting fermions of mass m called the Lipkin model. Our focus is on information losses, as measured by the Kullback–Leibler divergence (KL), that take place when N augments from a previous, lower, reference fermion number .
We present below the main contents of our study.
The Lipkin model [6,7,8,9,10,11,12,13,14] is a well-known model of N interacting fermions of mass m. It is well known in nuclear physics and for quantum many-body systems, particularly in the study of the interplay between pairing correlations and quantum phase transitions [6]. Using information theory tools to explore correlations between the degree of quantum mixture (QMx) and some model traits is an interesting and valid research direction. Here, we pay special attention to the QMx–particle number N relationship. Information theory provides a formalism for quantifying and understanding correlations, entropy, and information content in physical systems. Key concepts include entropy, mutual information, and conditional entropy. These tools can be applied to analyze the relationships between different parameters in a quantum system and provide insights into the complexity, correlations, and entanglement present in the system. Such an interdisciplinary approach, combining the Lipkin model, information theory, and quantum statistical mechanics, can provide a rich framework for exploring the intricate connections between model traits and special statistical quantifiers.
1.1. Quantum Mixtures
In this contribution, the concept of a quantum mixture (QMx) [1,2,3,4] is studied from the viewpoint of interacting many-fermions systems. QMx is important in quantum mechanics because it reflects the inherent probabilistic nature of quantum systems and provides a way to describe their statistical behavior. Quantum mechanics is fundamentally different from classical mechanics and one of its key features is the existence of superposition states and the associated concept of quantum entanglement. The concept of quantum mixtures is important because [1,2,3,4,5]:
- In quantum mechanics, systems can exist in multiple states simultaneously, a phenomenon known as superposition. A quantum mixture is a probabilistic combination of these states, and it allows us to describe the overall state of a system when it is not in a pure state;
- Probabilistic predictions: quantum mechanics predicts outcomes probabilistically. The state of a system is described by a wave function, and the probabilities of different outcomes are determined by the squared magnitudes of probability amplitudes. A quantum mixture encapsulates these probabilistic predictions for composite systems;
- Measurement and observables: when a measurement is made on a quantum system, the system typically collapses into one of its possible states, and the outcome of the measurement is probabilistic. Quantum mixtures provide a way to express the statistical distribution of outcomes for measurements on an ensemble of identically prepared systems;
- Quantum information theory: quantum mixture concepts are fundamental in quantum information theory, where the manipulation and transmission of quantum information are studied. Understanding how mixed states evolve and interact is essential for developing quantum algorithms and quantum communication protocols;
- Statistical mechanics: in the context of statistical mechanics, quantum mixtures are used to describe the statistical ensembles of quantum systems. The grand canonical ensemble, for example, involves a mixture of states with different particle numbers;
- In summary [1,2,3,4,5], the concept of a quantum mixture is a fundamental aspect of quantum mechanics that allows us to handle the probabilistic and statistical nature of quantum systems. It is a crucial tool for making predictions, understanding correlations, and developing quantum technologies.
The above considerations make it abundantly clear that mixed states play a crucial role in quantum mechanics, and that their importance lies in providing a more complete and realistic description of physical systems compared to pure states alone. As stated above, mixed state represents a statistical ensemble of pure states. This ensemble may include different pure states with certain probabilities. Mathematically, a mixed state is described by a density matrix, which is a positive semi-definite, Hermitian operator acting on Hilbert’s space. Mixed states are essential when dealing with statistical ensembles, thermal equilibrium, or open quantum systems that are subject to interactions with their environment. In many practical situations, we may not have complete knowledge about the exact state of a quantum system. Instead, we might have statistical information about the probabilities of different pure states that the system could be in. Mixed states provide a natural way to describe such statistical ensembles. In quantum information theory, mixed states play a central role in characterizing the performance of diverse quantum algorithms and quantum communication protocols. Indeed, it must be emphasized that mixed states are fundamental to a comprehensive understanding of quantum systems, especially when considering the statistical nature of measurements, thermal effects, and the impact of interactions with the environment. They provide a bridge between the idealized concept of pure states and the practicalities of real-world quantum systems [1,2,3,4,5]. Finally, it is interesting for our present purposes to note that the loss of quantum characteristic behaviors as the number of particles becomes large is a well-known phenomenon [5]. Indeed, we know that when the number of fermions in a collective becomes very large, certain quantum systems can exhibit behavior that approximates classical behavior. This is often referred to as the correspondence principle. The statistical comportment of a large number of quantum particles can then resemble classical behavior on a macroscopic scale [5].
1.2. Nature of Our Results
Let us emphasize that in the present contribution, every result is exact. We use an easily solvable many-fermion model called the Lipkin model (LM) [6] that is of significant relevance in the field of quantum physics and condensed matter physics [6,7,8,9,10,11,12,13,14]. This model, while simplified, offers valuable insights into the behavior of complex quantum systems and provides simplified settings in which fundamental quantum principles can be explored analytically. Researchers often use the LM to develop and test new theoretical frameworks, such as many-body techniques and quantum field theory [6,7,8,9,10,11,12,13,14].
We will use here very low temperatures. This is a well-known statistical mechanics technique to approximate the ground-state properties of a system. It results in a common and powerful approach in condensed matter physics and quantum mechanics. This approach exploits the relationship between low-temperature properties and the ground state of a system [13,14]. We take as our low temperatures T the values corresponding to the inverse temperature or 10, with and k being the Boltzmann constant.
1.3. Present Goal and Organization
It is our goal to investigate some clues regarding the precedent considerations in the context of a celebrated nuclear physics model called the Lipkin Model [7]. There are hundreds of pertinent references that one could cite. Of course, there is no space for such a task. We content ourselves with [6,7,8,9,10,11,12,13,14]. The model offers us a purely quantum environment. We wish to investigate those of the model’s traits that depict quantum mixtures. The rest of the paper is organized as follows. We begin in Section 2 by describing the mathematics of the Lipkin model [6,7,8,9,10,11,12,13,14]. Section 3 recalls materials relevant to the Kullback–Leibler divergence, one of the two main information tools that we employ herein. The second tool is advanced in this effort in the context of the Likpin model (it is well known elsewhere), being addressed in Section 4, where we show that it constitutes a valid quantifier for assessing the mixture degree. Our central topic regarding information loss is discussed in Section 5 and conclusions are drawn in Section 6.
2. The Lipkin Formalism [13,14]
We consider N interacting fermions of mass m and define . The Lipkin model [6,7,8,9,10,11,12,13,14] consists of fermions of mass m that accommodate themselves into two distinct single-particle (sp) energy levels, each of them N-fold degenerate. An energy gap separates the two levels. This gap is called . Thus we face a total of s.p. microstates, labeled by two quantum numbers (denominated and p). The first quantum number attains the values (lower level) and (upper level). The quantum number p, called the quasi spin, pertains to a -fold degeneracy. This pair p, is customarily viewed as a “site”. This site can be occupied (by a fermion) or be empty. Lipkin sets [6]
where J acts as a sort of angular momentum. In addition, Lipkin [6] employs particular angular-momentum-like operators denominated by quasi-spin operators, which are
together with the Casimir operator
The eigenvalues of take the form and the Lipkin Hamiltonian takes the form (v is a coupling constant) [6]
The matrix of our Hamiltonian reads [6]
with for . A diagonalization (numerical) gives the energetic eigenvalues .
2.1. System’s External Environment: Gibb’s Canonical Ensemble Heat Bath at Temperature T
Our Lipkin structure is supposed to interact with a heat reservoir. With the above eigenvalues [13,14] we construct a canonical ensemble partition function Z [13] from which we obtain all the associated thermal quantifiers that emerge [13,14].
We build up Z employing probabilities entering Z [14]. Our thermal indicators and Z derive from probability distributions [14] . is, as we saw above, the inverse temperature. The pertinent formulas are found in [14]. If we denominate the mean energy U, the entropy S, and the free energy F, we obtain [13,14]
These thermal quantifiers yield much more information than that derived via the quantum quantifiers of zero temperature T [14]. As stated above, using a low enough T, our indicators provide a reasonably good representation of the panorama [14]. Below, we often take or even lower.
2.2. Lipkin’s Degree of Mixture for a Quantum State
Purity and mixing are basic notions that play a significant role in describing quantum systems like the Lipkin model. The two notions are very important in the analysis of quantum information, computation, entanglement, and measurements. Understanding the difference between pure states and mixed ones requires an understanding of the coherence, superposition, and statistical behavior. As is well known, the degree of mixture of a state is, in terms of the probabilities [15],
where is the purity (upper case P). For a pure state, one has and . is a very important quantifier in this study. and .
We reiterate also, at the risk of redundancy, that for a Lipkin’s state at the fixed temperature T, one uses, for the probabilities and partition function, all the important quantities
3. The Kullback–Leibler Divergence (KL) [16]
This is an important tool of information theory. The Kullback–Leibler divergence (KL) quantifies the distinguishability between two states. For quantum states, the KL divergence can capture differences related to interference and entanglement, providing valuable information about the quantum system’s properties. One finds KL applications in quantum information theory, quantum computing, and quantum communication, where understanding and quantifying it yields a measure of the difference between two probability distributions. In classical information theory, the KL divergence between probability distributions and is given by:
The divergence quantifies how much information is lost when using Q to approximate P. It is non-negative and equal to zero if and only if the two distributions are the same. In the context of quantum mechanics, the concept of divergence can be extended to compare two quantum states. For two quantum states described by density operators and , the quantum Kullback–Leibler FF divergence is given by
4. New Quantum-Thermal Indicator for the Lipkin Model
This may sound strange at first, but consider the quantity (with length units)
called the de Broglie thermal length. Of course, there is no dimension of length in the Lipkin model, but our scenario contains fermions of mass m (system’s mass ) at the temperature T so that a value can be computed and is up to us to show its relevance to the Lipkin model, which we do below. According to de Broglie convention, very small ’s should indicate classicality. This happens obviously for high T and large N as indicated by (17), as should intuitively be expected.
The proton mass is kg. The Hydrogen atom’s radius is m. One can plot versus . Since , one obtains
where the center considers and is expressed in meters, while the last equality is expressed in units and we took with .
4.1. Relationship between and N
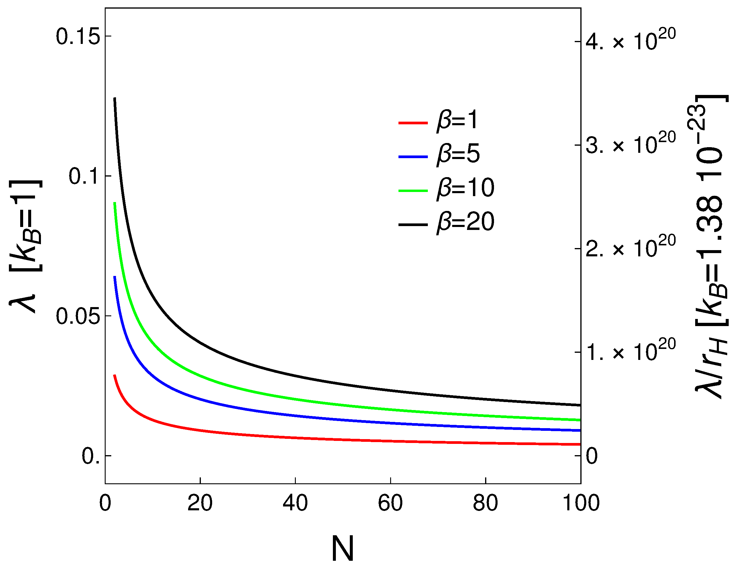
Figure 1 depicts versus the fermion number N. The latter diminishes, as expected, when N grows. We expect this behavior because it is well known that classicality begins to insinuate itself for large N [5].
Figure 1.
Thermal length quantifier vs. N for several values of , 5, 10, and 20 (in meters for the left vertical scale and in terms of the Hydrogen atom radius in the right vertical scale) taking (left) and (right). We see that the thermal length decreases as the number of fermions in the system grows, at rates regulated by the temperature. The rates increase as the temperature decreases. The length becomes smaller as N grows, which can be read as a vestige of classicality. That the effects are more noticeable for lower temperatures than for higher ones, is something that one should intuitively expect.
Let us repeat that the graph clearly indicates that our quantifier does work in the fashion one would expect. Indeed, as mentioned above, the well-known emergence of classicality as the number of particles N in a system grows is a fascinating aspect of quantum physics [5]. We will NOT encounter this phenomenon further in this work.
4.2. Relationship between Purity, Temperature, and
Figure 2 plots versus .
Figure 2.
Purity versus de Broglie thermal wavelength (in meters) for , , and . When the purity is small, the wavelength is also small, and vice versa when the purity approaches unity. One detects a minimum purity equal to one-half (see text).
We see that, as promised above, the thermal length displays the expected properties of growing when the purity is large and diminishing when the mixture degree is large. Thus, is validated as a quantum indicator.
The limitation we observe in the Lipkin model, in which the degree of quantum mixture cannot exceed one-half likely arises from the combination of the Pauli exclusion principle and the specific characteristics of degenerate levels in the system. The Pauli exclusion principle restricts the occupancy of sites by fermions. No two fermions can occupy the same site simultaneously. In our case, each quasi-spin —site can accommodate two fermions (one with spin up and one with spin down).
In the Lipkin model, each level can host multiple fermions. However, the maximum number of fermions that can occupy the pertinent degenerate levels is . This is because there are available distinct sites.
When the system is half-filled, as is the case here, we have N fermions in total. This situation corresponds to one fermion in each of the twice degenerate p-spins, and it represents a scenario of maximum quantum mixture.
The Pauli exclusion principle still applies independently to each spin site–state, allowing for a maximum of two fermions (spin up and spin down) in each degenerate p spin.
In summary, the Pauli exclusion principle, combined with the degeneracy of the levels, results in a maximum quantum mixture when the system is half-filled by N fermions. This situation corresponds to one fermion in each twice degenerate p quasi-spin, leading to a state of maximum superposition. The specific structure of the Lipkin model, considering quais-spin degeneracy, determines the constraints on the occupancy and the resulting quantum mixture.
5. Information Loss and
5.1. The KL–Information Loss Relationship
We reframe here our Kullback–Leibler material in terms of the number of fermions N that our Lipkin system contains. The Kullback–Leibler (KL) divergence between two probability distributions and provides, as we saw, a measure of how one probability distribution diverges from another. Specifically, quantifies the information lost when is used to approximate . In other words, the KL divergence measures the expected additional amount of information needed to encode data from using a probability distribution that is, it quantifies how much information is lost when the true distribution is approximated by In this work, the first distribution will be that describing an N-fermion system while does the same for an identical system but containing particles.
5.2. The Degree of Information Loss as N changes
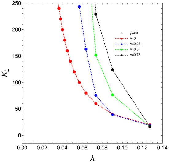
We tackle now an issue regarding the degree of information loss as N changes, using as a measure of how one probability distribution (PD) diverges from a second PD in the context of comparing systems with different particle numbers. We will find that the KL divergence diminishes when comparing a system with a relatively small particle number N to one with a larger N for quantum mixed systems. The diminution effect is drastically smaller if the systems are in a pure state. This issue is addressed in Figure 3, which relates (in meters) to the KL divergence between N and fermions (). Information is lost when N increases, but it does so in a very different manner if the state is mixed or pure. This fact constitutes the main finding of the present work.
Figure 3.
vs. for several v values, obtained by comparing probability distributions pertaining to N versus scenarios. These KL values measure our information loss. We take . When we reach 13 cm, we are in the pure-state range of our indicator, as we saw above. In this pure-state regime, the information loss is so small that it cannot be seen in the vertical scale we have chosen here. Differences are smaller than the dots used there. We see that information loss when we augment N is immensely larger for mixed states than for pure ones.
The graph shows that this loss process also occurs at larger thermal lengths, the larger v becomes. The main feature here is that the degree of information loss is rather big for small thermal lengths. We contend that the loss continues to exist at large lengths. We do not see this occur in our graph for scale reasons. What becomes clear is that the larger the purity, the smaller the information loss.
5.3. Possible Interpretations
In quantum mechanics, entanglement is a unique feature that can exist in pure states. When a system is in a pure state, the entanglement between particles can lead to more complex and correlated probability distributions. In contrast, mixed states arise from ensembles of quantum systems, potentially with reduced entanglement. The presence of mixed states might lead to a more gradual change in the probability distribution with increasing particle number, resulting in a smaller KL divergence.
Mixed states can be viewed as statistical ensembles of pure states. When comparing a system of small particle number to one with a large particle number in a mixed-state scenario, you are effectively considering an average over a variety of possible pure states within the ensemble. This averaging might lead to a smoother and less pronounced change in the probability distribution, contributing to a smaller KL divergence.
Quantum mixtures can exhibit reduced correlations between particles compared to entangled pure states. As the particle number increases, the statistical independence between particles might become more pronounced, leading to a less complex and more predictable probability distribution.
Mixed states often have higher entropy than pure states. The increased entropy may contribute to a more uniform and less informative probability distribution, particularly as the particle number increases. This can result in a smaller KL divergence.
6. Conclusions
We have encountered different ways of visualizing the difference between mixed and pure states and also introduced a new quantifier for the quantum mixture degree, called , that can be cast as a length.
For the systems considered in this work, -values larger than ∼12 cm indicate purity equal to unity while smaller values indicate increasing degrees of state mixing (see Figure 3). It should be noted that, according to Equation (18), values smaller than, say, mm, might be evidence of the vestiges of classical behavior. Thus, we can properly call our a pseudo thermal length that is a helpful purity indicator for the Lipkin model. For high purity, it yields large values, and vice versa for a large degree of of state mixing.
We saw that, at a finite temperature T, the system purity diminishes in a faster fashion when the degree of fermion–fermion interaction v becomes larger.
We discovered that, in the Lipkin model at a finite temperature T, the growth of N increases the degree of mixture. If one augments N, information, as measured by the KL divergence, is lost. The larger the mixture degree, the greater the accompanying information loss. In the case of pure states (at zero temperature), the loss becomes vanishingly small.
Author Contributions
Investigation, D.M., A.P. and A.R.P.; Project administration, A.P.; Writing—original draft, D.M., A.P. and A.R.P. All authors have read and agreed to the published version of the manuscript.
Funding
This research was partially supported by CONICET (National Scientific and Technical Research Council of Argentina).
Data Availability Statement
All data are contained in the manuscript.
Conflicts of Interest
The authors declare no conflicts of interest.
References
- Bengtsson, I.; Zyczkowski, K. Geometry of Quantum States: An Introduction to Quantum Entanglement; Cambridge University Press: Cambridge, MA, USA, 2006. [Google Scholar]
- Jaeger, G. Quantum Information: An Overview; Springer: Berlin/Heidelberg, Germany, 2007. [Google Scholar]
- Giulini, D.; Joos, E.; Kiefer, C.; Kupsch, J.; Stamatescu, I.-O.; Zeh, H.D. Decoherence and the Appearance of a Classical World in Quantum Theory; Springer: Berlin/Heidelberg, Germany, 1996. [Google Scholar]
- Facchi, P.; Mariano, A.; Pascazio, S. Decoherence versus entropy in neutron interferometry. Phys. Rev. A 2001, 63, 052108. [Google Scholar] [CrossRef]
- Zurek, W.H. Decoherence and the Transition from Quantum to Classical—Revisited. Phys. Today 1991, 44, 1–31. [Google Scholar] [CrossRef]
- Lipkin, H.J.; Meshkov, N.; Glick, A.J. Validity of many-body approximation methods for a solvable model: (I) Exact solutions and perturbation theory. Nucl. Phys. 1965, 62, 188. [Google Scholar] [CrossRef]
- Lipkin, H.J.; Meshkov, N.; Glick, A.J. Validity of many-body approximation methods for a solvable model: (II). Linearization procedures. Nucl. Phys. 1965, 62, 199. [Google Scholar] [CrossRef]
- Lipkin, H.J.; Meshkov, N.; Glick, A.J. Validity of many-body approximation methods for a solvable model: (III). Diagram summations. Nucl. Phys. 1965, 62, 211. [Google Scholar]
- Lipkin, H.J.; Meshkov, N.; Glick, A.J. Validity of many-body approximation methods for a solvable model: (IV). The deformed Hartree-Fock solution. Nucl. Phys. 1965, 62, 321. [Google Scholar]
- Rowe, D.J. The Lipkin model. Rev. Mod. Phys. 1968, 40, 153. [Google Scholar] [CrossRef]
- Schmid, K.W.; Bauer, A. The Lipkin model. Phys. Rep. 1982, 88, 251–334. [Google Scholar]
- Dukelsky, J.; Pittel, S.; Sierra, G. Quantum phase transitions in the Lipkin-Meshkov-Glick model. Rev. Mod. Phys. 2004, 76, 643. [Google Scholar] [CrossRef]
- Plastino, A.R.; Monteoliva, D.; Plastino, A. Information-theoretic features of many fermion systems: An exploration based on exactly solvable models. Entropy 2021, 23, 1488. [Google Scholar] [CrossRef] [PubMed]
- Monteoliva, D.; Plastino, A.; Plastino, A.R. Statistical Quantifiers Resolve a Nuclear Theory Controversy. Q. Rep. 2022, 4, 127. [Google Scholar] [CrossRef]
- Ring, P.; Schuck, P. The Nuclear Many-Body Problem; Springer: Berlin/Heidelberg, Germany, 1980. [Google Scholar]
- Sanchez-Moreno, P.; Zarzo, A.; Dehesa, J.S. Jensen divergence based on Fisher’s information. J. Phys. A Math. Theor. 2012, 45, 125305. [Google Scholar] [CrossRef]
Disclaimer/Publisher’s Note: The statements, opinions and data contained in all publications are solely those of the individual author(s) and contributor(s) and not of MDPI and/or the editor(s). MDPI and/or the editor(s) disclaim responsibility for any injury to people or property resulting from any ideas, methods, instructions or products referred to in the content. |
© 2024 by the authors. Licensee MDPI, Basel, Switzerland. This article is an open access article distributed under the terms and conditions of the Creative Commons Attribution (CC BY) license (https://creativecommons.org/licenses/by/4.0/).


