Lag Time Determinations in Beer Samples. Influence of Alcohol and PBN Concentration in EPR Spin Trapping Experiments
Abstract
:1. Introduction
2. Materials and Methods
2.1. Chemicals
2.2. Beer Samples
2.3. EPR Measurements
2.4. DPPH Assay
2.5. Statistical Analysis
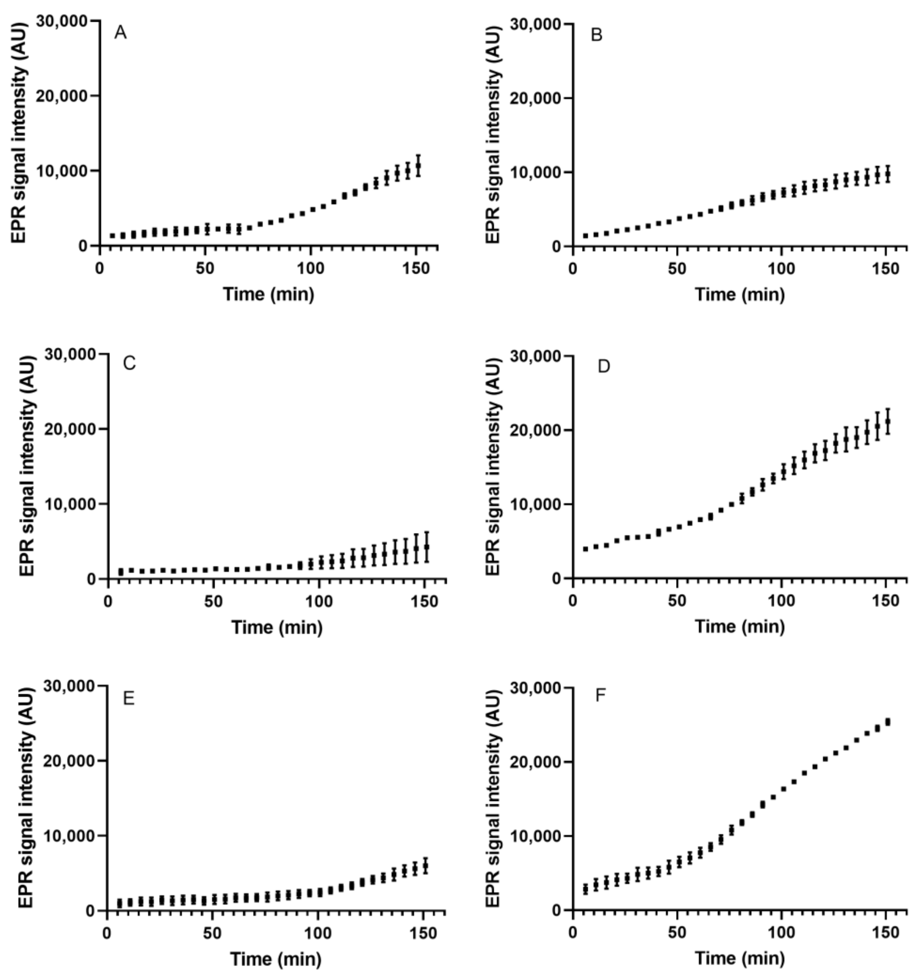
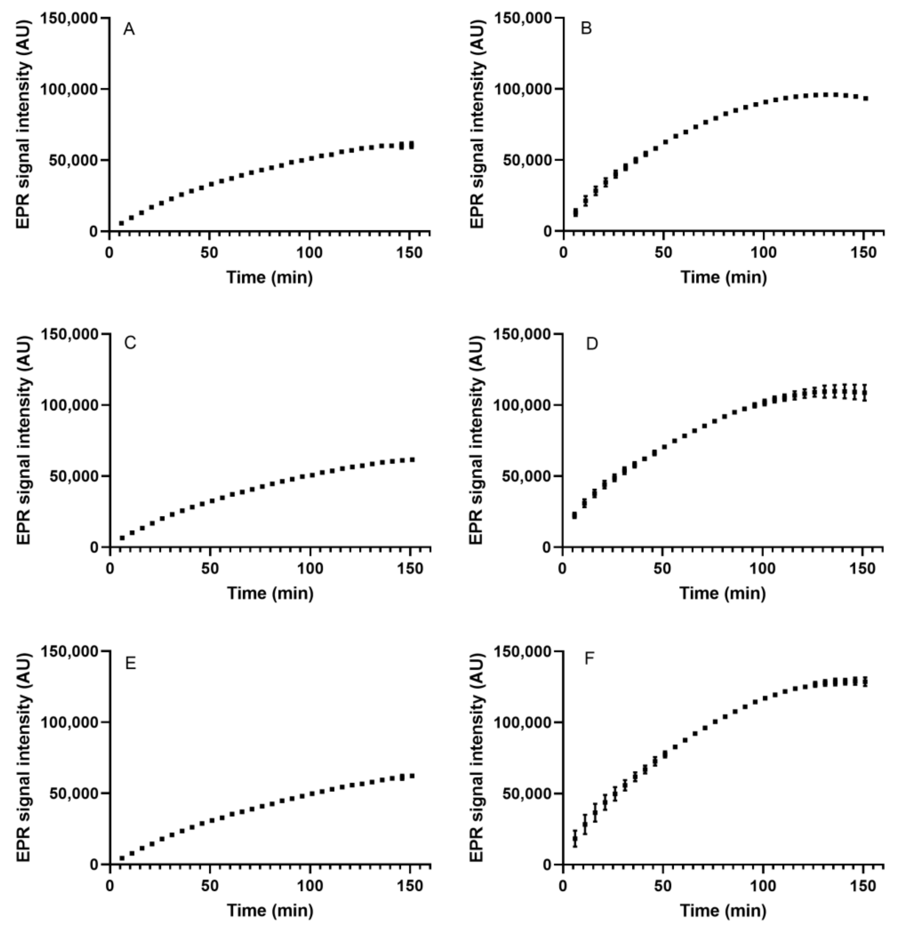
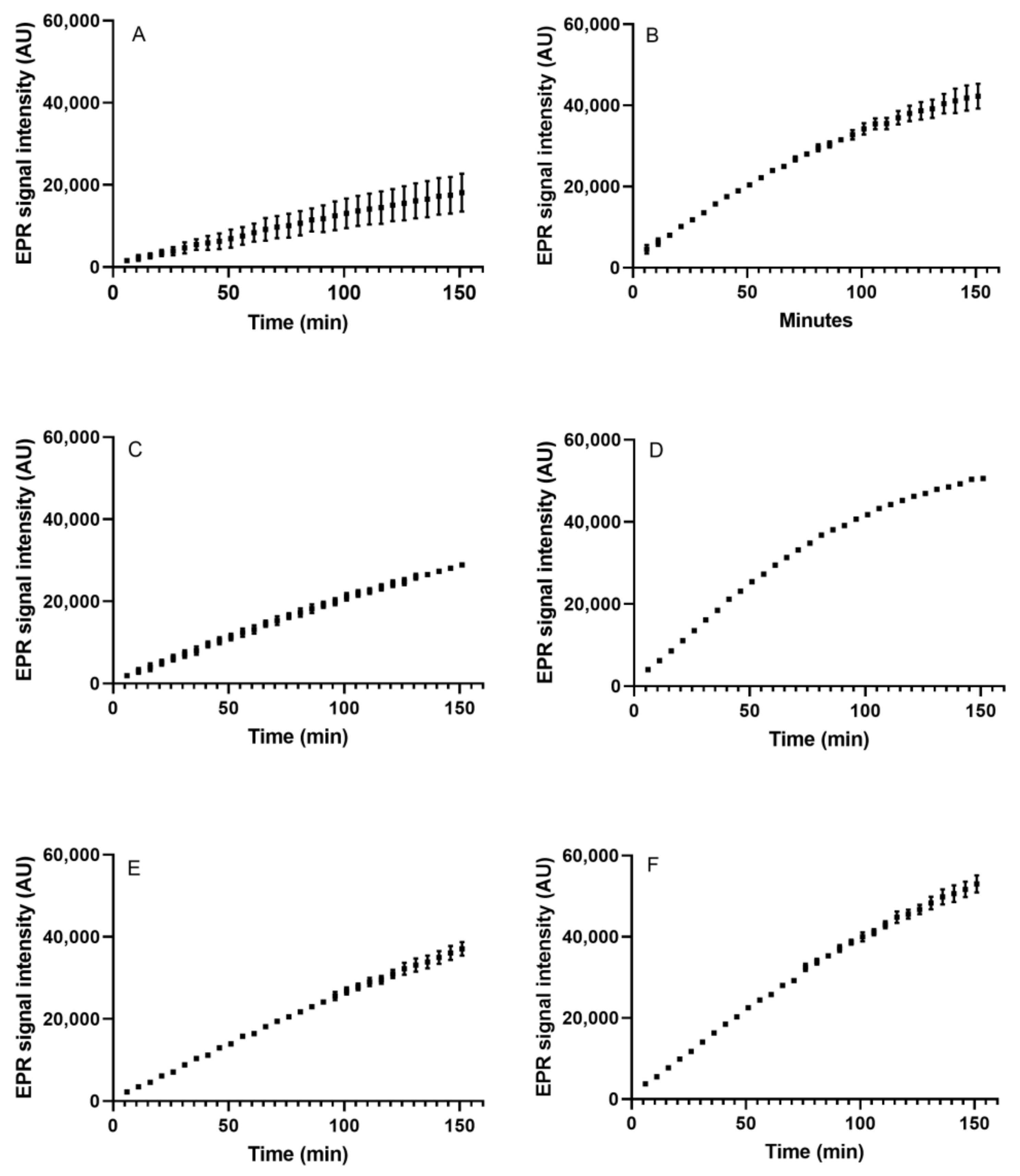
3. Results and Discussion
4. Conclusions
Author Contributions
Funding
Institutional Review Board Statement
Informed Consent Statement
Data Availability Statement
Conflicts of Interest
References
- Kaneda, H.; Kano, Y.; Osawa, T.; Ramarathnam, N.; Kawakishi, S.; Kamada, K. Detection of Free Radicals in Beer Oxidation. J. Food Sci. 1988, 53, 885–888. [Google Scholar] [CrossRef]
- Kaneda, H.; Kano, Y.; Osawa, T.; Kawakishi, S.; Kamada, K. The Role of Free Radicals in Beer Oxidation. J. Am. Soc. Brew. Chem. 1989, 47, 49–53. [Google Scholar] [CrossRef]
- Uchida, M.; Ono, M. Improvement for Oxidative Flavor Stability of Beer—Role of OH-Radical in Beer Oxidation. J. Am. Soc. Brew. Chem. 1996, 54, 198–204. [Google Scholar] [CrossRef]
- Uchida, M.; Suga, S.; Ono, M. Improvement for Oxidative Flavor Stability of Beer—Rapid Prediction Method for Beer Flavor Stability by Electron Spin Resonance Spectroscopy. J. Am. Soc. Brew. Chem. 1996, 54, 205–211. [Google Scholar] [CrossRef]
- Takaoka, S.; Kondo, H.; Uchida, M.; Kawasaki, Y. Improvement of beer flavor stability by applying ESR method to industrial plant. Tech. Q. Master Brew. Assoc. Am. 1998, 35, 157–161. [Google Scholar]
- Barr, D.; Heiss, A.; Kamlowski, A.; Maier, D.; Erstling, J.; Bruker, H.; Gmbh, B. Shelf Life Analysis of Beer Using an Automated Lag-Time EPR System. Spectroscopy 2001, 16, 16–19. [Google Scholar]
- Barr, D.; Bradshaw, T.; Browers, M.; Hight, H.; Kibor, T.; Kunz, T.; Loyet, D.; Robertson, V.; Robinette, K.; Romanov, K.; et al. Method for Measure of Resistance of Oxidation in Beer by Electron Paramagnetic Resonance. J. Am. Soc. Brew. Chem. 2006, 64, 250–251. [Google Scholar] [CrossRef]
- Barr, D.; Baker, B.; Bosben, S.; Bradshaw, T.; Converse, E.; Daar, A.; Garner, R.; Giarratano, C.; Gonzalez, S.; Hight, H.; et al. Standard Method for Measurement of Oxidative Resistance of Beer by Electron Paramagnetic Resonance. J. Am. Soc. Brew. Chem. 2008, 66, 259–260. [Google Scholar] [CrossRef]
- Uchida, M.; Ono, M. Determination of Hydrogen Peroxide in Beer and its Role in Beer Oxidation. J. Am. Soc. Brew. Chem. 1999, 57, 145–150. [Google Scholar] [CrossRef]
- Randhawa, S.; Bahna, S.L. Hypersensitivity reactions to food additives. Curr. Opin. Allergy Clin. Immunol. 2009, 9, 278–283. [Google Scholar] [CrossRef]
- Uchida, M.; Ono, M. Technological Approach to Improve Beer Flavor Stability: Adjustments of Wort Aeration in Modern Fermentation Systems Using the Electron Spin Resonance Method. J. Am. Soc. Brew. Chem. 2000, 58, 30–37. [Google Scholar] [CrossRef]
- Andersen, M.L.; Skibsted, L.H. Electron Spin Resonance Spin Trapping Identification of Radicals Formed during Aerobic Forced Aging of Beer. J. Agric. Food Chem. 1998, 46, 1272–1275. [Google Scholar] [CrossRef]
- Uchida, M.; Ono, M. Technological Approach to Improve Beer Flavor Stability: Analysis of the Effect of Brewing Processes on Beer Flavor Stability by the Electron Spin Resonance Method. J. Am. Soc. Brew. Chem. 2000, 58, 8–13. [Google Scholar] [CrossRef]
- ASBC Methods of Analysis. Beer Method 46: Measurement of Oxidative Resistance in Beer by Electron Paramagnetic Resonance; American Society of Brewing Chemists: St. Paul, MN, USA, 2008. [Google Scholar]
- Marques, L.; Espinosa, M.H.; Andrews, W.; Foster, R.T. Advancing Flavor Stability Improvements in Different Beer Types Using Novel Electron Paramagnetic Resonance Area and Forced Beer Aging Methods. J. Am. Soc. Brew. Chem. 2017, 75, 35–40. [Google Scholar] [CrossRef]
- Andersen, M.L.; Outtrup, H.; Skibsted, L.H. Potential Antioxidants in Beer Assessed by ESR Spin Trapping. J. Agric. Food Chem. 2000, 48, 3106–3111. [Google Scholar] [CrossRef]
- Andersen, M.L.; Skibsted, L.H. Modification of the Levels of Polyphenols in Wort and Beer by Addition of Hexamethylenetetramine or Sulfite during Mashing. J. Agric. Food Chem. 2001, 49, 5232–5237. [Google Scholar] [CrossRef]
- Nøddekær, T.V.; Andersen, M.L. Effects of Maillard and Caramelization Products on Oxidative Reactions in Lager Beer. J. Am. Soc. Brew. Chem. 2007, 65, 15–20. [Google Scholar] [CrossRef]
- Schmallegger, M.; Gescheidt, G. Antioxidant Activity of Beer: An EPR Experiment for an Undergraduate Physical-Chemistry Laboratory. J. Chem. Educ. 2018, 95, 2013–2016. [Google Scholar] [CrossRef]
- Fadda, A.; Molinu, M.G.; Deiana, P.; Sanna, D. Electron Paramagnetic Resonance Spin Trapping of Sunflower and Olive Oils Subjected to Thermal Treatment: Optimization of Experimental and Fitting Parameters. ACS Food Sci. Technol. 2021, 1, 1294–1303. [Google Scholar] [CrossRef]
- Schenker, N.; Gentleman, J.F. On Judging the Significance of Differences by Examining the Overlap Between Confidence Intervals. Am. Stat. 2001, 55, 182–186. [Google Scholar] [CrossRef]
- Sanna, D.; Mulas, M.; Molinu, M.G.; Fadda, A. Oxidative stability of plant hydroalcoholic extracts assessed by EPR spin trapping under forced ageing conditions: A myrtle case study. Food Chem. 2019, 271, 753–761. [Google Scholar] [CrossRef] [PubMed]
- Locatelli, M.; Gindro, R.; Travaglia, F.; Coïsson, J.-D.; Rinaldi, M.; Arlorio, M. Study of the DPPH-scavenging activity: Development of a free software for the correct interpretation of data. Food Chem. 2009, 114, 889–897. [Google Scholar] [CrossRef]
- Chen, Z.; Bertin, R.; Froldi, G. EC50 estimation of antioxidant activity in DPPH assay using several statistical programs. Food Chem. 2013, 138, 414–420. [Google Scholar] [CrossRef] [PubMed]
- Vicente, L.; Deighton, N.; Glidewell, S.M.; Empis, J.A.; Goodman, B.A. In situ measurement of free radical formation during the thermal decomposition of grape seed oil using “spin trapping” and electron paramagnetic resonance spectroscopy. Z. Lebensm. Unters. Forsch. 1995, 200, 44–46. [Google Scholar] [CrossRef]





| Sample | Obs. | Temperature | Added EtOH (a) | [PBN] | Ref. |
|---|---|---|---|---|---|
| Bottled lager | EPR spectra | 60 °C | no addition | 50 mM | [1] |
| Bottled lager | EPR spectra | 60 °C; 8 h | no addition | 50 mM | [2] |
| Japanese lager | Lag time | 60 °C | 0.05 mL added to 5 g of beer | 50 mM | [3] |
| Japanese canned beers; Wort German and North American bottled beers; | Lag time (EA) | 60, 70, 80 °C | 0.05 mL added to 5 g of beer | 50 mM | [4] |
| Lager | EPR spectra (radicals identification) | 55 °C | no addition | 50 mM | [12] |
| Japanese beers | Lag time | 60 °C | 0.05 mL added to 5 g of beer | 50 mM | [9] |
| Lager (different brewing conditions); Lager (from wort to packaged beer) | Lag time (EA); Intensity at 120 min | 60 °C | 0.05 mL added to 5 g of beer | 50 mM | [11,13] |
| Lager | Lag time | 55 °C | no addition | 30 mM | [16] |
| Lager | Lag time | 55 °C | no addition | 30 mM | [17] |
| Undefined | Lag time | 60 °C | undefined | 50 mM | [6] |
| Lager Stout/lager mix | Lag time | 55 °C | all samples adjusted to 4.8% | 30 mM | [18] |
| Undefined | Lag time; t150 | 60 ± 0.1 °C | 0.05 mL added to 5 mL of beer KLK K | 50 mM LK | [8] |
| Light lager 3%; Standard lager 5%; Standard Ale 5% | AUC | 60 °C | 0.11 mL added to 6 mL of beer | 100 mM | [15] |
| Marzen | Lag time | 60 °C | no addition | 50 mM | [19] |
| Pilsner | ||||
|---|---|---|---|---|
| Parameters | PBN (mM) | Ethanol concentration (%) | ||
| 4.4 | 9 | 13 | ||
| Lag time a | 50 | n. d. | n. d. | n. d. |
| 200 | n. d. | n. d. | n. d. | |
| AUC a | 50 | 1.48 × 106 ± 3.96 × 105 b (b) | 2.36 × 106 ± 1.15 × 105 ab (b) | 2.99 × 106 ± 9.14 × 104 a (b) |
| 200 | 3.89 × 106 ± 1.46 × 105 b (a) | 4.73 × 106 ± 4.08 × 103 a (a) | 4.51 × 106 ± 8.78 × 104 a (a) | |
| I150 a | 50 | 1.81 × 104 ± 4.60 × 103 b (b) | 2.89 × 104 ± 3.45 × 102 ab (b) | 3.71 × 104 ± 1.68 × 103 a (b) |
| 200 | 4.23 × 104 ± 3.06 × 103 b (a) | 5.06 × 104 ± 1.85 × 102 ab (a) | 5.30 × 104 ± 2.10 × 103 a (a) | |
| Strong lager | ||||
| Parameters | PBN (mM) | Ethanol concentration (%) | ||
| 7.7 | 9 | 13 | ||
| Lag time a | 50 | 83 ± 6 a (a) | 89 ± 17 a (a) | 106 ± 9 a (a) |
| 200 | 30 ± 9 a (b) | 55 ± 5 a (a) | 39 ± 8 a (b) | |
| AUC a | 50 | 6.19 × 105 ± 4.11 × 103 a (a) | 2.86 × 105 ± 8.22 × 104 b (b) | 3.62 × 105 ± 6.43 × 104 b (b) |
| 200 | 8.17 × 105 ± 5.99 × 104 b (a) | 1.65 × 106 ± 1.01 × 105 a (a) | 1.81 × 106 ± 5.67 × 104 a (a) | |
| I150 a | 50 | 1.07 × 104 ± 1.38 × 103 a (a) | 4.26 × 103 ± 1.98 × 103 b (a) | 6.00 × 103 ± 1.02 × 103 ab (b) |
| 200 | 9.78 × 103 ± 1.07 × 103 b (a) | 2.12 × 104 ± 1.69 × 103 a (a) | 2.54 × 104 ± 3.91 × 102 a (a) | |
| Blonde Ale | ||||
| Parameters | PBN (mM) | Ethanol concentration (%) | ||
| 6.6 | 9 | 13 | ||
| Lag time a | 50 | n. d. | n. d. | n. d. |
| 200 | n. d. | n. d. | n. d. | |
| AUC a | 50 | 5.96 × 106 ± 7.35 × 104 a (b) | 5.92 × 106 ± 3.42 × 104 a (b) | 5.73 × 106 ± 8.99 × 104 a (b) |
| 200 | 1.05 × 107 ± 1.48 × 105 c (a) | 1.21 × 107 ± 8.22 × 104 b (a) | 1.36 × 107 ± 1.74 × 105 a (a) | |
| I150 a | 50 | 6.07 × 104 ± 2.14 × 103 a (b) | 6.16 × 104 ± 7.64 × 102 a (b) | 6.23 × 104 ± 1.19 × 103 a (b) |
| 200 | 9.33 × 104 ± 9.62 × 102 c (a) | 1.09 × 105 ± 5.59 × 103 b (a) | 1.29 × 105 ± 3.04 × 103 a (a) | |
Publisher’s Note: MDPI stays neutral with regard to jurisdictional claims in published maps and institutional affiliations. |
© 2022 by the authors. Licensee MDPI, Basel, Switzerland. This article is an open access article distributed under the terms and conditions of the Creative Commons Attribution (CC BY) license (https://creativecommons.org/licenses/by/4.0/).
Share and Cite
Porcu, M.C.; Fadda, A.; Sanna, D. Lag Time Determinations in Beer Samples. Influence of Alcohol and PBN Concentration in EPR Spin Trapping Experiments. Oxygen 2022, 2, 605-615. https://doi.org/10.3390/oxygen2040040
Porcu MC, Fadda A, Sanna D. Lag Time Determinations in Beer Samples. Influence of Alcohol and PBN Concentration in EPR Spin Trapping Experiments. Oxygen. 2022; 2(4):605-615. https://doi.org/10.3390/oxygen2040040
Chicago/Turabian StylePorcu, Maria Cristina, Angela Fadda, and Daniele Sanna. 2022. "Lag Time Determinations in Beer Samples. Influence of Alcohol and PBN Concentration in EPR Spin Trapping Experiments" Oxygen 2, no. 4: 605-615. https://doi.org/10.3390/oxygen2040040
APA StylePorcu, M. C., Fadda, A., & Sanna, D. (2022). Lag Time Determinations in Beer Samples. Influence of Alcohol and PBN Concentration in EPR Spin Trapping Experiments. Oxygen, 2(4), 605-615. https://doi.org/10.3390/oxygen2040040

