Nutritional Properties, Antioxidant Activity, and Consumer Acceptability of Sourdough Bread Supplemented with Marine Algae Powder Using Selected Traditional Starters
Abstract
1. Introduction
2. Materials and Methods
2.1. Seaweed Preparation
2.1.1. Seaweed Powder Preparation
2.1.2. Seaweed Powder Characterization
Reducing Sugars
Total Sugars
Phenolic Compounds Content
Flavonoids Contents
Microbial Load of Algae Powder
2.2. Development of Sourdoughs Recipe
2.2.1. LAB Strains
2.2.2. Mono-Inoculated Sourdoughs
2.2.3. Mixed-Culture Sourdoughs
2.2.4. Analyses of Sourdoughs
pH and Titratable Acidity
CO2 Production
2.3. Development of Algae-Enriched Bread
2.3.1. Bread Making
2.3.2. Analyses of Algae-Enriched Bread
Nutritional Composition
Antioxidant Activity (DPPH)
β-Carotene–Linoleic Acid Assay
2.4. Sensory Evaluation of Algae-Enriched Bread
2.5. Statistical Evaluation
3. Results and Discussion
3.1. Algae Powder Characterization
3.1.1. Reducing and Total Sugars
3.1.2. Total Phenolic Content (TPC)
3.1.3. Flavonoids Contents
3.1.4. Microbial Load
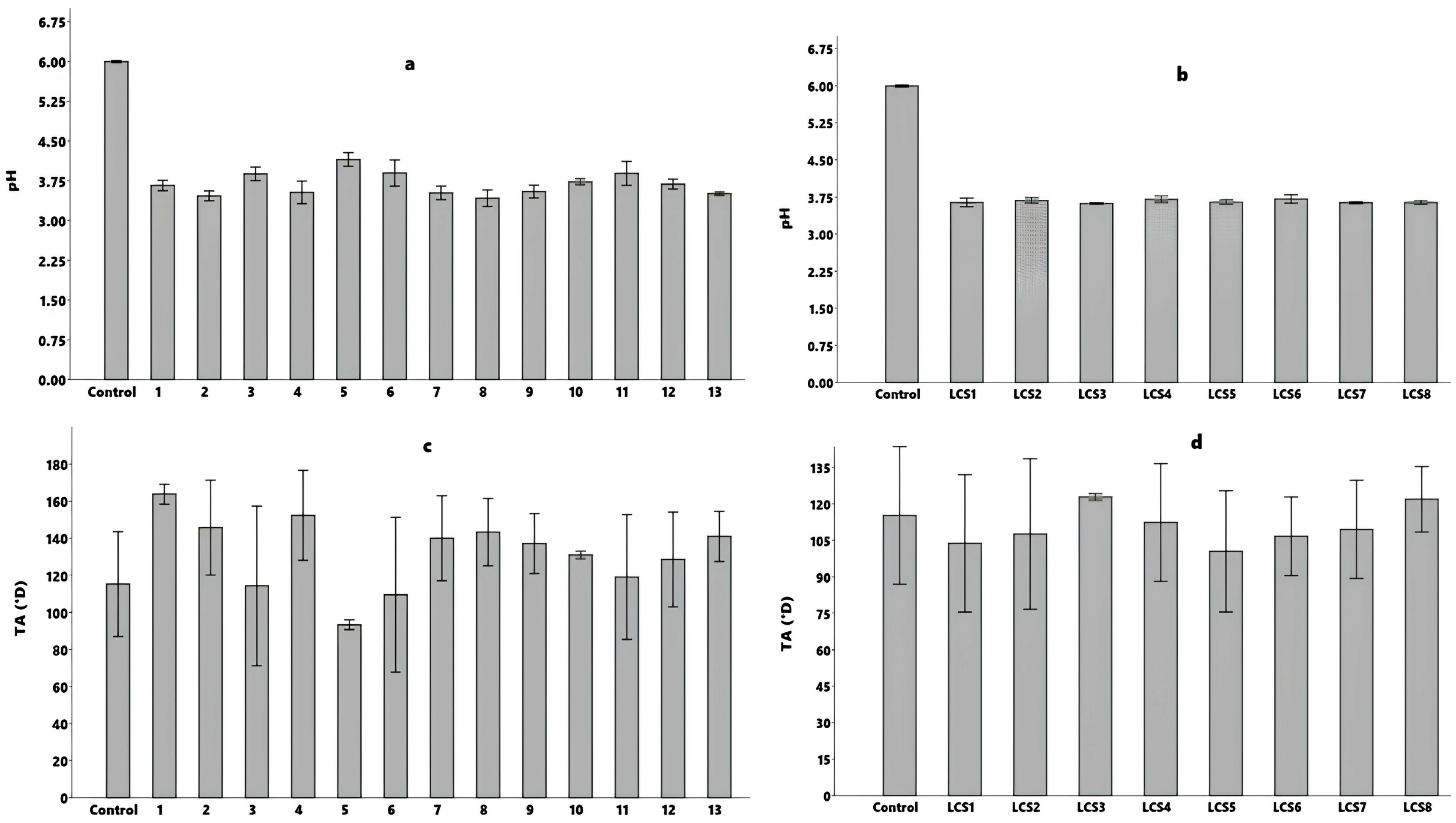
3.2. Performance of Developed Sourdough
3.2.1. pH and Titratable Acidity
3.2.2. CO2 Production
3.3. Nutritional and Functional Properties of Algae-Enriched Bread
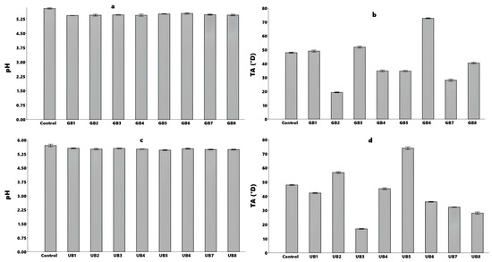
3.3.1. pH and Titratable Acidity
3.3.2. Nutritional Content
Reducing and Total Sugars
Proteins Contents
Total Phenolic Compounds and Flavonoids
Antioxidant Activity
3.4. Consumer Sensory Evaluation
4. Conclusions
Author Contributions
Funding
Institutional Review Board Statement
Informed Consent Statement
Data Availability Statement
Acknowledgments
Conflicts of Interest
References
- Siddiqui, S.A.; Erol, Z.; Rugji, J.; Taşçı, F.; Kahraman, H.A.; Toppi, V.; Musa, L.; Di Giacinto, G.; Bahmid, N.A.; Mehdizadeh, M.; et al. An Overview of Fermentation in the Food Industry—Looking Back from a New Perspective. Bioresour. Bioprocess. 2023, 10, 85. [Google Scholar] [CrossRef] [PubMed]
- De Vuyst, L.; Comasio, A.; Kerrebroeck, S. Van Sourdough Production: Fermentation Strategies, Microbial Ecology, and Use of Non-Flour Ingredients. Crit. Rev. Food Sci. Nutr. 2021, 63, 2447–2479. [Google Scholar] [CrossRef]
- Hammes, W.P.; Brandt, M.J.; Francis, K.L.; Rosenheim, J.; Seitter, M.F.H.; Vogelmann, S.A. Microbial Ecology of Cereal Fermentations. Trends Food Sci. Technol. 2005, 16, 4–11. [Google Scholar] [CrossRef]
- Gharekhani, M.; Nami, Y.; Aalami, M.; Hejazi, M.A. Sourdoughs Fermented by Autochthonous Lactobacillus Strains Improve the Quality of Gluten-free Bread. Food Sci. Nutr. 2021, 9, 6372–6381. [Google Scholar] [CrossRef] [PubMed]
- Amr, A.S.; Alkhamaiseh, A.M. Sourdough Use in Bread Production: Review. Jordan J. Agric. Sci. 2022, 18, 81–98. [Google Scholar] [CrossRef]
- Durán-Aranguren, D.D.; Muñoz-Daza, L.F.; Castillo-Hurtado, L.J.; Posada, J.A.; Mussatto, S.I.; Sierra, R.; Hernández-Carrión, M. Design of a Baked Good Using Food Ingredients Recovered from Agro-Industrial by-Products of Fruits. LWT 2023, 185, 115174. [Google Scholar] [CrossRef]
- Nionelli, L.; Montemurro, M.; Pontonio, E.; Verni, M.; Gobbetti, M.; Giuseppe, C. Pro-Technological and Functional Characterization of Lactic Acid Bacteria to Be Used as Starters for Hemp (Cannabis sativa L.) Sourdough Fermentation and Wheat Bread Forti Fi Cation. Int. J. Food Microbiol. 2018, 279, 14–25. [Google Scholar] [CrossRef] [PubMed]
- Math, N.; Jagadeesh, K.S.; Masur, S.; Bharati, P. Sourdough Bread Preparation Using Selected Lactic Acid Bacterial Starter Cultures. J. Appl. Nat. Sci. 2014, 6, 426–429. [Google Scholar] [CrossRef][Green Version]
- Corona, O.; Alfonzo, A.; Ventimiglia, G.; Nasca, A.; Francesca, N.; Martorana, A.; Moschetti, G.; Settanni, L. Industrial Application of Selected Lactic Acid Bacteria Isolated from Local Semolinas for Typical Sourdough Bread Production. Food Microbiol. 2016, 59, 43–56. [Google Scholar] [CrossRef] [PubMed]
- Bartkiene, E.; Bartkevics, V.; Krungleviciute, V.; Pugajeva, I.; Zadeike, D.; Juodeikiene, G.; Luhs, L.; Luhs, P.; Luhs, L.; Luhs, E.; et al. Lactic Acid Bacteria Combinations for Wheat Sourdough Preparation and Their Influence on Wheat Bread Quality and Acrylamide Formation. J. Food Sci. 2017, 82, 2371–2378. [Google Scholar] [CrossRef]
- Fashogbon, R.O.; Sanusi, J.; Ogunleye, G.E.; Akintunde, M.O.; Adebayo-Tayo, B.C. Potential Application of Exopolysaccharides from Lactobacillus delbrueckii FASHADFF1 (LDYG2) and Weissella confusa FASHADFF1 (WCFF1) in Sourdough Bread Production. Adv. Microbiol. 2022, 12, 481–499. [Google Scholar] [CrossRef]
- Coda, R.; Rizzello, C.G.; Gobbetti, M. Use of Sourdough Fermentation and Pseudo-Cereals and Leguminous Flours for the Making of a Functional Bread Enriched of γ-Aminobutyric Acid (GABA). Int. J. Food Microbiol. 2010, 137, 236–245. [Google Scholar] [CrossRef] [PubMed]
- Pérez-Alvarado, O.; Zepeda-Hernández, A.; Garcia-Amezquita, L.E.; Requena, T.; Vinderola, G.; García-Cayuela, T. Role of Lactic Acid Bacteria and Yeasts in Sourdough Fermentation during Breadmaking: Evaluation of Postbiotic-like Components and Health Benefits. Front. Microbiol. 2022, 13, 1–15. [Google Scholar] [CrossRef] [PubMed]
- Cutroneo, S.; Petrusan, J.-I.; Stolzenberger, R.; Zurlini, C.; Tedeschi, T. Formulation of New Sourdough Bread Prototypes Fortified with Non-Compliant Chickpea and Pea Residues. Front. Nutr. 2024, 11, 1351443. [Google Scholar] [CrossRef]
- Peñalver, R.; Ros, G.; Nieto, G. Development of Functional Gluten-Free Sourdough Bread with Pseudocereals and Enriched with Moringa Oleifera. Foods 2023, 12, 3920. [Google Scholar] [CrossRef]
- Bouhlal, O.; Taghouti, M.; Benbrahim, N.; Benali, A.; Visioni, A.; Benba, J. Wheat-Lentil Fortified Flours: Health Benefits, Phsicochemical, Nutritional and Technological Properties. J. Mater. Environ. Sci. 2019, 10, 1098–1106. [Google Scholar]
- Prasad, R.V.; Dhital, S.; Williamson, G.; Barber, E. Nutrient Composition, Physical Characteristics and Sensory Quality of Spinach-Enriched Wheat Bread. Foods 2024, 13, 2401. [Google Scholar] [CrossRef]
- El Amrani Zerrifi, S.; El Khalloufi, F.; Mugani, R.; El Mahdi, R.; Kasrati, A.; Soulaimani, B.; Barros, L.; Ferreira, I.C.F.R.; Amaral, J.S.; Finimundy, T.C.; et al. Seaweed Essential Oils as a New Source of Bioactive Compounds for Cyanobacteria Growth Control: Innovative Ecological Biocontrol Approach. Toxins 2020, 12, 527. [Google Scholar] [CrossRef] [PubMed]
- Benhniya, B.; Lakhdar, F.; Al Qoh, S.; Zidane, H.; Etahiri, S.; Rezzoum, N. New Checklist of Marine Macroalgae in the Coast of El Jadida (Morocco): Temporal Variation of Physico-Chemical Parameters of Water. Ecol. Front. 2024, 44, 760–768. [Google Scholar] [CrossRef]
- Ouahabi, S.; Daoudi, N.E.; Loukili, E.H.; Asmae, H.; Merzouki, M.; Bnouham, M.; Challioui, A.; Hammouti, B.; Fauconnier, M.-L.; Rhazi, L.; et al. Investigation into the Phytochemical Composition, Antioxidant Properties, and In-Vitro Anti-Diabetic Efficacy of Ulva Lactuca Extracts. Mar. Drugs 2024, 22, 240. [Google Scholar] [CrossRef] [PubMed]
- Nissen, L.; Casciano, F.; Chiarello, E.; Di Nunzio, M.; Bordoni, A.; Gianotti, A. Sourdough Process and Spirulina-Enrichment Can Mitigate the Limitations of Colon Fermentation Performances of Gluten-Free Breads in Non-Celiac Gut Model. Food Chem. 2024, 436, 137633. [Google Scholar] [CrossRef] [PubMed]
- Bhatnagar, P.; Gururani, P.; Parveen, A.; Gautam, P.; Chandra Joshi, N.; Tomar, M.S.; Nanda, M.; Vlaskin, M.S.; Kumar, V. Algae: A Promising and Sustainable Protein-Rich Food Ingredient for Bakery and Dairy Products. Food Chem. 2024, 441, 138322. [Google Scholar] [CrossRef] [PubMed]
- Mercha, I.; Lakram, N.; Kabbour, M.R.; Bouksaim, M.; Zkhiri, F.; El Maadoudi, E.H. Probiotic and Technological Features of Enterococcus and Weissella Isolates from Camel Milk Characterised by an Argane Feeding Regimen. Arch. Microbiol. 2020, 202, 2207–2219. [Google Scholar] [CrossRef] [PubMed]
- Siddiqui, S.A.; Srikanth, S.P.; Wu, Y.S.; Kalita, T.; Ambartsumov, T.G.; Tseng, W.; Kumar, A.P.; Ahmad, A.; Michalek, J.E. Different Types of Algae Beneficial for Bone Health in Animals and in Humans—A Review. Algal Res. 2024, 82, 103593. [Google Scholar] [CrossRef]
- Taouam, I.; El Bouqdaoui, K.; Ridaoui, K.; Bourjilat, F.; Kabine, M.; Maata, N.; Cherki, M. Nutritional Profile, Phytochemical Composition, Antioxidant and Antibacterial Activities of Gelidium Corneum from Dar Bouazza, Morocco. Egypt. J. Aquat. Res. 2024, 50, 516–527. [Google Scholar] [CrossRef]
- Miller, G.L. Use of Dinitrosalicylic Acid Reagent for Determination of Reducing Sugar. Anal. Chem. 1959, 31, 426–428. [Google Scholar] [CrossRef]
- Montenegro, O.N.; Sosa, R.; De Torre, J.B.; Acosta, J.V. Total Carbohydrates Concentration Evaluation in Products of Microbial Origin. J. Chem. Eng. Theor. Appl. Chem. 2019, 76, 83–90. [Google Scholar]
- Sakulpong, A.; Wongklom, A.; Moonsin, P. Total Phenolics, Flavonoids and Antioxidant Activity of Macroalgae Fermented with Lactic Acid Bacteria. J. Food Sci. Agric. Technol. 2015, 1, 177–181. [Google Scholar]
- Ennadir, J.; Hassikou, R.; Ohmani, F.; Hammamouchi, J.; Bouazza, F.; Qasmaoui, A.; Mennane, Z.; Touhami, A.O.; Charof, R.; Khedid, K. Qualité Microbiologique Des Farines de Blé Consommées Au Maroc. Can. J. Microbiol. 2012, 58, 145–150. [Google Scholar] [CrossRef] [PubMed]
- El Khaider, K.; Chafik, I.; Hamouda, A.; Afechtal, M.; Alaoui, M.I.; Mounir, M. Selection of Mixed Starters for the Preparation of Traditional Moroccan Bread. J. Biol. Res. 2023, 96, 1–30. [Google Scholar] [CrossRef]
- Komatsuzaki, N.; Izawa, M.; Suzumori, M.; Fujihara, S.; Shima, J. Characteristics of New Sourdough Using Lactic Acid Bacteria and Wild Yeast. J. Food Sci. Nutr. Res. 2019, 2, 1–12. [Google Scholar] [CrossRef]
- Supasil, R.; Suttisansanee, U.; Santivarangkna, C.; Tangsuphoom, N. Improvement of Sourdough and Bread Qualities by Fermented Water of Asian Pears and Assam Tea Leaves with Co-Cultures of Lactiplantibacillus plantarum and Saccharomyces cerevisiae. Foods 2022, 11, 2071. [Google Scholar] [CrossRef]
- Aouine, M.; Misbah, A.; Elabed, S.; Haggoud, A.; Mohammed, I.H. Isolation and Characterization of Potential Starter. Microorganisms 2021, 49, 501–509. [Google Scholar]
- Novotni, D.; Mutak, N.; Nanjara, L.; Drakula, S.; Čukelj Mustač, N.; Voučko, B.; Ćurić, D. Sourdough Fermentation of Carob Flour and Its Application to Wheat Bread. Food Technol. Biotechnol. 2020, 58, 465–474. [Google Scholar] [CrossRef]
- Lowry, O.H.; Rosebrough, N.J.; Farr, A.L.; Randall, R.J. Protein Measurement with the Folin Phenol Reagent. J. Biol. Chem. 1951, 193, 265–275. [Google Scholar] [CrossRef] [PubMed]
- Niamke, S.; Kouame, L.P.; Kouadio, J.P.; Faulet, B.M.; Dabonne, S. Effect of some chemicals on the accuracy of protein estimation by the Lowry method. Biokemistri 2005, 17, 73–81. [Google Scholar] [CrossRef]
- Chen, P.; Zhang, Q.; Dang, H.; Liu, X.; Tian, F.; Zhao, J.; Chen, Y.; Zhang, H.; Chen, W. Screening for Potential New Probiotic Based on Probiotic Properties and α-Glucosidase Inhibitory Activity. Food Control 2014, 35, 65–72. [Google Scholar] [CrossRef]
- Kelen, M.; Tepe, B. Chemical Composition, Antioxidant and Antimicrobial Properties of the Essential Oils of Three Salvia Species from Turkish Flora. Bioresour. Technol. 2008, 99, 4096–4104. [Google Scholar] [CrossRef] [PubMed]
- Mohy El-Din, S.M.; Alagawany, N.I. Phytochemical Constituents and Anticoagulation Property of Marine Algae Gelidium Crinale, Sargassum Hornschuchii and Ulva Linza. Thalass. An Int. J. Mar. Sci. 2019, 35, 381–397. [Google Scholar] [CrossRef]
- Tolpeznikaite, E.; Bartkevics, V.; Ruzauskas, M.; Pilkaityte, R.; Viskelis, P.; Urbonaviciene, D.; Zavistanaviciute, P.; Zokaityte, E.; Ruibys, R.; Bartkiene, E. Characterization of Macro- and Microalgae Extracts Bioactive Compounds and Micro- and Macroelements Transition from Algae to Extract. Foods 2021, 10, 2226. [Google Scholar] [CrossRef]
- Cavaco, M.; Duarte, A.; Freitas, M.V.; Afonso, C.; Bernardino, S.; Pereira, L.; Martins, M.; Mouga, T. Seasonal Nutritional Profile of Gelidium corneum (Rhodophyta, Gelidiaceae) from the Center of Portugal. Foods 2021, 10, 2394. [Google Scholar] [CrossRef] [PubMed]
- Chitra, G.; Krishna, R. Evaluation of Bioactive and Biochemical Constituents of Ulva Lactuca (Linn.) Le Jolis and Padina Tetrastromatica Hauck. Int. J. Creat. Res. Thoughts 2022, 10, i114–i119. [Google Scholar]
- Dhaouafi, J.; Nedjar, N.; Jridi, M.; Romdhani, M.; Balti, R. Extraction of Protein and Bioactive Compounds from Mediterranean Red Algae (Sphaerococcus coronopifolius and Gelidium spinosum) Using Various Innovative Pretreatment Strategies. Foods 2024, 13, 1362. [Google Scholar] [CrossRef] [PubMed]
- Stabili, L.; Acquaviva, M.I.; Cavallo, R.A.; Cecere, E.; Giandomenico, S.; Licciano, M.; Portacci, G.; Petrocelli, A.; Verri, T.; Quarta, E. Microbiological and Chemical Analysis of Macroalgae Biomasses in an Integrated Mariculture System. In Proceedings of the 2023 IEEE International Workshop on Metrology for the Sea; Learning to Measure Sea Health Parameters (MetroSea), La Valletta, Malta, 4–6 October 2023; pp. 254–258. [Google Scholar]
- Mirzaei, H.; Suarez, J.A.; Longo, V.D. Protein and Amino Acid Restriction, Aging and Disease: From Yeast to Humans. Trends Endocrinol. Metab. 2014, 25, 558–566. [Google Scholar] [CrossRef]
- Viola, E.; Garofalo, G.; Busetta, G.; Supper, M.; Alfonzo, A.; Tolone, M.; Francesca, N.; Moschetti, G.; Sottile, F.; Gaglio, R.; et al. Selection of Lactic Acid Bacteria from Home-Made Sourdoughs for Resistance to the Main Almond Skin Polyphenols. J. Agric. Food Res. 2024, 15, 100951. [Google Scholar] [CrossRef]
- Islam, M.A.; Islam, S. Sourdough Bread Quality: Facts and Factors. Foods 2024, 13, 2132. [Google Scholar] [CrossRef] [PubMed]
- Garzon, R.; Skendi, A.; Antonio Lazo-Velez, M.; Papageorgiou, M.; Rosell, C.M. Interaction of Dough Acidity and Microalga Level on Bread Quality and Antioxidant Properties. Food Chem. 2021, 344, 128710. [Google Scholar] [CrossRef] [PubMed]
- Sukhikh, S.; Ivanova, S.; Dolganyuk, V.; Pilevinova, I.; Prosekov, A.; Ulrikh, E.; Noskova, S.; Michaud, P.; Babich, O. Evaluation of the Prospects for the Use of Microalgae in Functional Bread Production. Appl. Sci. 2022, 12, 12563. [Google Scholar] [CrossRef]
- Cabello-Olmo, M.; Krishnan, P.G.; Araña, M.; Oneca, M.; Díaz, J.V.; Barajas, M.; Rovai, M. Development, Analysis, and Sensory Evaluation of Improved Bread Fortified with a Plant-Based Fermented Food Product. Foods 2023, 12, 2817. [Google Scholar] [CrossRef] [PubMed]
- Bartkiene, E.; Özogul, F.; Rocha, J.M. Bread Sourdough Lactic Acid Bacteria—Technological, Antimicrobial, Toxin-Degrading, Immune System-, and Faecal Microbiota-Modelling Biological Agents for the Preparation of Food, Nutraceuticals and Feed. Foods 2022, 11, 452. [Google Scholar] [CrossRef] [PubMed]
- Tolve, R.; Simonato, B.; Rainero, G.; Bianchi, F.; Rizzi, C.; Cervini, M.; Giuberti, G. Wheat Bread Fortification by Grape Pomace Powder: Nutritional, Technological, Antioxidant, and Sensory Properties. Foods 2021, 10, 75. [Google Scholar] [CrossRef] [PubMed]
- Nachi, I.; Fhoula, I.; Smida, I.; Ben Taher, I.; Chouaibi, M.; Jaunbergs, J.; Bartkevics, V.; Hassouna, M. Assessment of Lactic Acid Bacteria Application for the Reduction of Acrylamide Formation in Bread. LWT 2018, 92, 435–441. [Google Scholar] [CrossRef]
- Rico, D.; Alonso de Linaje, A.; Herrero, A.; Asensio-Vegas, C.; Miranda, J.; Martínez-Villaluenga, C.; de Luis, D.A.; Martin-Diana, A.B. Carob By-Products and Seaweeds for the Development of Functional Bread. J. Food Process. Preserv. 2018, 42, 1–9. [Google Scholar] [CrossRef]
- Chwastowska-siwiecka, I.; Miciński, J. Characteristics and Applications of Marine Algae in the Agri-Food Industry and Animal Nutrition. J. Elem. 2023, 28. [Google Scholar] [CrossRef]
- Amini Khoozani, A.; Kebede, B.; Birch, J.; Bekhit, A.E.-D.A. The Effect of Bread Fortification with Whole Green Banana Flour on Its Physicochemical, Nutritional and In Vitro Digestibility. Foods 2020, 9, 152. [Google Scholar] [CrossRef] [PubMed]
- Özcan, M.M. Quality Evaluation of Bread Prepared from Wheat–Chufa Tuber Composite Flour. Foods 2023, 12, 444. [Google Scholar] [CrossRef] [PubMed]
- Tungmunnithum, D.; Thongboonyou, A.; Pholboon, A.; Yangsabai, A. Flavonoids and Other Phenolic Compounds from Medicinal Plants for Pharmaceutical and Medical Aspects: An Overview. Medicines 2018, 5, 93. [Google Scholar] [CrossRef]
- Yang, Z.; BK, A.; Zhao, W.; Shi, L.; Wu, H.; Barrow, C.; Dunshea, F.; Suleria, H.A.R. Bioaccessibility and Bioavailability Changes of Phenolic Compounds in Pumpkins (Cucurbita moschata): A Review. Food Biosci. 2022, 47, 101753. [Google Scholar] [CrossRef]
- Coulombier, N.; Jauffrais, T.; Lebouvier, N. Antioxidant Compounds from Microalgae: A Review. Mar. Drugs 2021, 19, 549. [Google Scholar] [CrossRef] [PubMed]
- Łepecka, A.; Szymański, P.; Okoń, A.; Zielińska, D. Antioxidant Activity of Environmental Lactic Acid Bacteria Strains Isolated from Organic Raw Fermented Meat Products. LWT 2023, 174, 114440. [Google Scholar] [CrossRef]
- Wang, Z.; Zhao, C.; Guo, Z.; Li, S.; Zhu, Z.; Grimi, N.; Xiao, J. Fermentation of Betaphycus Gelatinum Using Lactobacillus Brevis: Growth of Probiotics, Total Polyphenol Content, Polyphenol Profile, and Antioxidant Capacity. Foods 2023, 12, 3334. [Google Scholar] [CrossRef]
- Arufe, S.; Sineiro, J.; Moreira, R. Determination of Thermal Transitions of Gluten-Free Chestnut Flour Doughs Enriched with Brown Seaweed Powders and Antioxidant Properties of Baked Cookies. Heliyon 2019, 5, e01805. [Google Scholar] [CrossRef] [PubMed]
- Mendes, M.; Navalho, S.; Ferreira, A.; Paulino, C.; Figueiredo, D.; Silva, D.; Gao, F.; Gama, F.; Bombo, G.; Jacinto, R.; et al. Algae as Food in Europe: An Overview of Species Diversity and Their Application. Foods 2022, 11, 1871. [Google Scholar] [CrossRef] [PubMed]





| Sourdough Ferments | Inoculated LAB Strain |
|---|---|
| 1 | Levilactobacillus brevis S3 |
| 2 | Companilactobacillus paralimentarius S5 |
| 3 | Enterococcus hirae S4 |
| 4 | Pediococcus pentosaceus S6 |
| 5 | Levilactobacillus brevis S8 |
| 6 | Bifidobacterium pseudocatenulatum S12 |
| 7 | Pediococcus pentosaceus S15 |
| 8 | Lentilactobacillus parabuchneri S17 |
| 9 | Lactiplantibacillus plantarum S21 |
| 10 | Lentilactobacillus parabuchneri S23 |
| 11 | Pediococcus pentosaceus S24 |
| 12 | Pediococcus pentosaceus S27 |
| 13 | Pediococcus pentosaceus S28 |
| Combined Sourdough | Inoculated LAB Strain |
|---|---|
| 1 | Lactiplantibacillus plantarum S21 |
| Pediococcus pentosaceus S6 | |
| Lentilactobacillus parabuchneri S17 | |
| 2 | Lactiplantibacillus plantarum S21 |
| Pediococcus pentosaceus S15 | |
| Pediococcus pentosaceus S27 | |
| 3 | Lactiplantibacillus plantarum S21 |
| Levilactobacillus brevis S3 | |
| Levilactobacillus brevis S8 | |
| 4 | Pediococcus pentosaceus S6 |
| Lentilactobacillus parabuchneri S17 | |
| Pediococcus pentosaceus S15 | |
| 5 | Pediococcus pentosaceus S6 |
| Pediococcus pentosaceus S27 | |
| Levilactobacillus brevis S3 | |
| 6 | Lentilactobacillus parabuchneri S17 |
| Pediococcus pentosaceus S15 | |
| Pediococcus pentosaceus S27 | |
| 7 | Lentilactobacillus parabuchneri S17 |
| Levilactobacillus brevis S3 | |
| Levilactobacillus brevis S8 | |
| 8 | Pediococcus pentosaceus S15 |
| Pediococcus pentosaceus S27 | |
| Levilactobacillus brevis S8 |
| LAB Combination | Ulva Bread | Gelidium Bread | Fortification Level (%) |
|---|---|---|---|
| LCS1 | UB1 | GB1 | 2.5 |
| UB2 | GB2 | 5 | |
| UB3 | GB3 | 7.5 | |
| UB4 | GB4 | 10 | |
| LCS2 | UB5 | GB5 | 2.5 |
| UB6 | GB6 | 5 | |
| UB7 | GB7 | 7.5 | |
| UB8 | GB8 | 10 | |
| LCS3 | UB9 | GB9 | 2.5 |
| UB10 | GB10 | 5 | |
| UB11 | GB11 | 7.5 | |
| UB12 | GB12 | 10 |
| Algae Powder | RS (%) | TS (%) | Proteins (%) | PC (mg GAE/g DW) | F (mg QE/g DW) |
|---|---|---|---|---|---|
| G. corneum | 0.7 | 35 | 0.76 | 0.47 | 11.4 |
| U. lactuca | 0.9 | 28.8 | 0.33 | 9.95 | 21.39 |
| Algae Powder | TVC | EC | SA | SM | YM |
|---|---|---|---|---|---|
| G. corneum | 3.27 × 103 | nd | nd | nd | nd |
| U. lactuca | 4.18 × 103 | nd | nd | nd | nd |
| Bread Samples | RS (%) | TS (%) | TP (%) | TPC (mg GAE/g) | TF (mgQE/g) | DPPH (%) | β-Carotene Assay (%) | |
|---|---|---|---|---|---|---|---|---|
| Gelidium corneum | Control | 0.74 ± 0.09 | 45.45 ± 7.68 | 12.0 ± 0.4 | 0.31 ± 0.01 | - | 52.96 ± 3.24 | 28.86 ± 1.05 |
| GB1 | 0.77 ± 0.1 | 36.90 ± 3.15 | 8.3 ± 0.2 | 8.32 ± 1.20 | 225.00 ± 11.31 | 82.93 ± 3.61 | 71.05 ± 3.71 | |
| GB2 | 0.67 ± 0.07 | 34.87 ± 2.27 | 6.1 ± 0.7 | 8.32 ± 1.90 | 302.50 ± 20.51 | 64.30 ± 2.96 | 48.61 ± 2.54 | |
| GB3 | 0.75 ± 0.1 | 39.82 ± 2.34 | 5.8 ± 0.8 | 7.47 ± 0.92 | 203.70 ± 19.81 | 85.27 ± 2.51 | 64.37 ± 4.89 | |
| GB4 | 0.53 ± 0.08 | 32.40 ± 3.91 | 8.2 ± 0.6 | 6.11 ± 0.11 | 171.20 ± 12.17 | 74.71 ± 3.15 | 62.28 ± 2.88 | |
| GB5 | 0.57 ± 0.09 | 29.47 ± 3.48 | 9.9 ± 0.1 | 5.80 ± 2.31 | 157.50 ± 8.91 | 0.00 | 60.03 ± 5.95 | |
| GB6 | 0.52 ± 0.07 | 20.92 ± 5.22 | 9.4 ± 0.0 | 6.65 ± 1.18 | 166.20 ± 21.53 | 64.91 ± 2.20 | 54.39 ± 1.11 | |
| GB7 | 0.74 ± 0.07 | 23.17 ± 6.12 | 6.6 ± 0.6 | 7.07 ± 2.53 | 320.00 ± 17.52 | 39.21 ± 2.86 | 56.82 ± 3.32 | |
| GB8 | 0.50 ± 0.1 | 33.75 ± 5.41 | 7.5 ± 0.8 | 6.94 ± 2.82 | 306.20 ± 27.10 | 4.61 ± 1.10 | 45.85 ± 2.86 | |
| GB9 | 0.69 ± 0.09 | 44.55 ± 7.17 | 14.4 ± 0.1 | 6.32 ± 1.93 | 136.20 ± 13.35 | 61.76 ± 3.35 | 59.01 ± 3.83 | |
| GB10 | 0.58 ± 0.07 | 45.22 ± 5.33 | 4.3 ± 0.8 | 6.85 ± 1.14 | 120.00 ± 15.61 | 38.47 ± 0.95 | 42.64 ± 1.09 | |
| GB11 | 0.46 ± 0.09 | 44.10 ± 5.10 | 10.3 ± 0.7 | 6.40 ± 2.20 | 140.00 ± 12.37 | 7.27 ± 1.14 | 51.99 ± 2.80 | |
| GB12 | 0.71 ± 0.03 | 30.82 ± 4.53 | 5.8 ± 0.6 | 5.70 ± 2.71 | 162.50 ± 14.57 | 12.91 ± 0.83 | 59.52 ± 5.33 | |
| Ulva lactuca | UB1 | 0.49 ± 0.09 | 47.25 ± 2.27 | 8.4 ± 0.1 | 6.49 ± 1.94 | 216.20 ± 10.92 | 44.21 ± 1.53 | 59.02 ± 4.13 |
| UB2 | 0.47 ± 0.09 | 40.05 ± 4.45 | 9.7 ± 0.5 | 5.92 ± 0.95 | 98.70 ± 9.85 | 85.55 ± 2.19 | 54.32 ± 3.63 | |
| UB3 | 0.42 ± 0.01 | 43.42 ± 4.82 | 11.1 ± 0.9 | 4.65 ± 0.36 | 158.70 ± 10.31 | 82.73 ± 1.10 | 61.90 ± 7.52 | |
| UB4 | 0.49 ± 0.09 | 34.42 ± 6.43 | 4.2 ± 0.1 | 6.78 ± 1.86 | 110.00 ± 20.32 | 77.84 ± 0.81 | 73.80 ± 3.61 | |
| UB5 | 0.36 ± 0.08 | 53.10 ± 1.97 | 6.1 ± 0.6 | 5.74 ± 2.15 | 136.20 ± 8.64 | 36.84 ± 1.56 | 51.41 ± 2.85 | |
| UB6 | 0.28 ± 0.1 | 51.07 ± 10.42 | 5.0 ± 0.8 | 6.65 ± 1.61 | 81.20 ± 7.89 | 76.72 ± 2.23 | 48.45 ± 6.13 | |
| UB7 | 0.83 ± 0.07 | 43.87 ± 4.48 | 12.1 ± 0.5 | 6.49 ± 2.05 | 173.70 ± 14.53 | 80.42 ± 1.98 | 66.30 ± 5.67 | |
| UB8 | 0.40 ± 0.01 | 38.47 ± 2.56 | 10.0 ± 0.7 | 6.94 ± 1.86 | 116.20 ± 17.65 | 85.00 ± 2.54 | 51.40 ± 7.15 | |
| UB9 | 0.38 ± 0.07 | 49.95 ± 4.92 | 4.9 ± 0.6 | 6.41 ± 1.97 | 177.50 ± 8.88 | 55.46 ± 2.80 | 78.68 ± 4.56 | |
| UB10 | 0.28 ± 0.08 | 43.87 ± 3.81 | 5.5 ± 0.9 | 6.07 ± 0.86 | 140.00 ± 11.26 | 83.65 ± 1.78 | 43.05 ± 2.81 | |
| UB11 | 0.37 ± 0.05 | 38.25 ± 5.63 | 4.7 ± 0.08 | 6.09 ± 0.68 | 212.50 ± 10.13 | 62.05 ± 3.62 | 50.69 ± 5.13 | |
| UB12 | 0.48 ± 0.03 | 45.45 ± 5.75 | 3.7 ± 0.07 | 6.45 ± 1.19 | 191.20 ± 12.52 | 80.51 ± 1.72 | 52.06 ± 6.21 |
| LAB Combination | Samples | Crumb Color | Odor | Texture | Taste | General Appearance |
|---|---|---|---|---|---|---|
| - | Control | 3.70 ± 1.42 | 2.50 ± 1.08 | 3.00 ± 1.56 | 2.90 ± 0.56 | 2.70 ± 1.63 |
| LCS1 | GB1 (10%) | 4.00 ± 1.33 | 3.80 ± 1.03 | 3.30 ± 1.41 | 3.40 ± 0.84 | 3.90 ± 1.10 |
| LCS2 | GB2 (10%) | 3.90 ± 1.45 | 3.50 ± 1.08 | 3.50 ± 1.08 | 3.30 ± 1.06 | 3.60 ± 1.43 |
| LCS3 | GB3 (10%) | 3.80 ± 1.31 | 3.80 ± 1.03 | 2.60 ± 1.50 | 3.00 ± 0.66 | 3.20 ±1.26 |
| LCS1 | UB1 (10%) | 3.20 ± 1.03 | 3.50 ± 1.08 | 2.10 ± 0.73 | 2.90 ± 0.56 | 2.60 ± 1.26 |
| LCS2 | UB2 (10%) | 3.20 ± 1.03 | 3.50 ± 1.35 | 2.80 ± 1.03 | 3.20 ± 0.78 | 3.00 ± 1.33 |
| LCS3 | UB3 (10%) | 3.70 ± 1.16 | 3.30 ± 1.42 | 2.70 ± 1.42 | 3.20 ± 0.63 | 2.70 ± 1.16 |
Disclaimer/Publisher’s Note: The statements, opinions and data contained in all publications are solely those of the individual author(s) and contributor(s) and not of MDPI and/or the editor(s). MDPI and/or the editor(s) disclaim responsibility for any injury to people or property resulting from any ideas, methods, instructions or products referred to in the content. |
© 2025 by the authors. Licensee MDPI, Basel, Switzerland. This article is an open access article distributed under the terms and conditions of the Creative Commons Attribution (CC BY) license (https://creativecommons.org/licenses/by/4.0/).
Share and Cite
EL Boujamaai, M.; Brahimi, I.; Benyamane, M.; Belasla, N.; Rocha, J.M.; Errachidi, F.; Zinedine, A. Nutritional Properties, Antioxidant Activity, and Consumer Acceptability of Sourdough Bread Supplemented with Marine Algae Powder Using Selected Traditional Starters. Phycology 2025, 5, 7. https://doi.org/10.3390/phycology5010007
EL Boujamaai M, Brahimi I, Benyamane M, Belasla N, Rocha JM, Errachidi F, Zinedine A. Nutritional Properties, Antioxidant Activity, and Consumer Acceptability of Sourdough Bread Supplemented with Marine Algae Powder Using Selected Traditional Starters. Phycology. 2025; 5(1):7. https://doi.org/10.3390/phycology5010007
Chicago/Turabian StyleEL Boujamaai, Mounir, Imane Brahimi, Meryem Benyamane, Nouhaila Belasla, João Miguel Rocha, Faouzi Errachidi, and Abdellah Zinedine. 2025. "Nutritional Properties, Antioxidant Activity, and Consumer Acceptability of Sourdough Bread Supplemented with Marine Algae Powder Using Selected Traditional Starters" Phycology 5, no. 1: 7. https://doi.org/10.3390/phycology5010007
APA StyleEL Boujamaai, M., Brahimi, I., Benyamane, M., Belasla, N., Rocha, J. M., Errachidi, F., & Zinedine, A. (2025). Nutritional Properties, Antioxidant Activity, and Consumer Acceptability of Sourdough Bread Supplemented with Marine Algae Powder Using Selected Traditional Starters. Phycology, 5(1), 7. https://doi.org/10.3390/phycology5010007

