Extending the Cultivation Period of Undaria pinnatifida by Using Regional Strains with Phenotypic Differentiation along the Sanriku Coast in Northern Japan
Abstract
:1. Introduction
2. Materials and Methods
2.1. Preparing the MAT and HRT Strains
2.2. Sporeling Production
2.3. Environmental Measurements
2.4. Morphological Measurements
2.5. Photosynthesis and Nutrient Uptake Rates
2.6. Statistical Analysis
3. Results
3.1. Environmental Conditions
3.2. Growth at the Different Dates of Cultivation Start and Yield of MAT and HRT
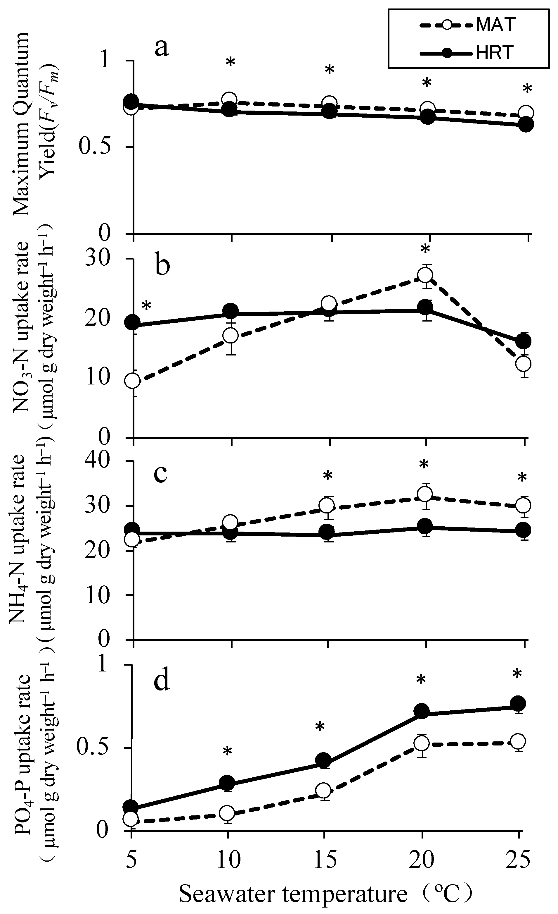
3.3. Effects of Temperature on Fv/Fm and the Nutrient Uptake Rates
4. Discussion
4.1. Environmental Conditions
4.2. Differences in the Growth Characteristics of MAT and HRT
4.3. Physiological Characteristics of MAT and HRT
4.4. Applications in the Undaria Farming Industry
5. Conclusions and Perspectives
Supplementary Materials
Author Contributions
Funding
Institutional Review Board Statement
Informed Consent Statement
Data Availability Statement
Acknowledgments
Conflicts of Interest
References
- Holdt, S.L.; Kraan, S. Bioactive compounds in seaweed: Functional food applications and legislation. J. Appl. Phycol. 2011, 23, 543–597. [Google Scholar] [CrossRef]
- Wells, M.L.; Potin, P.; Craigie, J.S.; Raven, J.A.; Merchant, S.S.; Helliwell, K.E.; Smith, A.G.; Camire, M.E.; Brawley, S.H. Algae as nutritional and functional food sources: Revisiting our understanding. J. Appl. Phycol. 2017, 29, 949–982. [Google Scholar] [CrossRef]
- Yamanaka, R.; Akiyama, K. Cultivation and utilization of Undaria pinnatifida (wakame) as food. J. Appl. Phycol. 1993, 5, 249–253. [Google Scholar] [CrossRef]
- Kikunaga, S.; Miyata, Y.; Ishibashi, G.; Koyama, F.; Tano, K. The bioavailability of magnesium from Wakame (Undaria pinnatifida) and Hijiki (Hijikia fusiforme) and the effect of alginic acid on magnesium utilization of rats. Plant Foods Hum. Nut. 1999, 53, 265–274. [Google Scholar] [CrossRef]
- Synytsya, A.; Bleha, R.; Synytsya, A.; Pohl, R.; Hayashi, K.; Yoshinaga, K.; Nakano, T.; Hayashi, T. Mekabu fucoidan: Structural complexity and defensive effects against avian influenza A viruses. Carbohydr. Polym. 2014, 111, 633–644. [Google Scholar] [CrossRef] [PubMed]
- Maruyama, H.; Tamauchi, H.; Kawakami, F.; Yoshinaga, K.; Nakano, T. Suppressive effect of dietary fucoidan on proinflammatory immune response and MMP-1 expression in UVB-irradiated mouse skin. Planta Med. 2015, 81, 1370–1374. [Google Scholar]
- Yoshinaga, K.; Mitamura, R. Effects of Undaria pinnatifida (Wakame) on postprandial glycemia and insulin levels in humans: A randomized crossover trial. Plants Foods Human Nut. 2019, 74, 461–467. [Google Scholar] [CrossRef] [PubMed]
- Dellatorre, F.G.; Amoroso, R.O.; Saravia, J.; Orensanz, J.M. Rapid expansion and potential range of the invasive kelp Undaria pinnatifida in the southwestern Atlantic. Aquat. Invasions. 2014, 9, 467–478. [Google Scholar] [CrossRef]
- Epstein, G.; Smale, D.A. Undaria pinnatifida: A case study to highlight challenges in marine invasion ecology and management. Ecol. Evol. 2017, 7, 8624–8642. [Google Scholar] [CrossRef] [PubMed]
- Japan Fisheries Cooperative. Annual Report of Wakame in the Sanriku Region. 2021. Available online: https://www.zengyoren.or.jp/ (accessed on 15 September 2021).
- Iwate Prefecture. 2018. Available online: http://www3.pref.iwate.jp/webdb/view/outside/s118Tokei/ (accessed on 15 September 2021).
- Ishikawa, Y. Analysis of quantitative traits in cultured wakame for breeding. Fish Genet. Breed. Sci. 1991, 16, 19–24. (In Japanese) [Google Scholar]
- Hara, M.; Akiyama, K. Heterosis in growth of Undaria pinnatifida (Harvey) Suringar. Bull. Tohoku Reg. Fish. Res. Lab. 1985, 47, 47–50. [Google Scholar]
- Pang, S.J.; Hu, X.Y.; Wu, C.Y.; Hirosawa, A.; Ohno, M. Intraspecific crossing of Undaria pinnatifida (Harv.) Sur.—A possible timesaving way of strain selection. Chin. J. Oceanol. Limnol. 1997, 15, 227–235. [Google Scholar]
- Dan, A.; Kato, S. Differences of morphology and growth between the two culture varieties originating from Undaria pinnatifida f. distans and U. pinnatifida f. typica in Naruto Strait. Bull. Tokushima Pref. Fish Res. Ins. 2008, 6, 79–83. (In Japanese) [Google Scholar]
- Kato, S.; Sumitomo, T.; Dan, A. Cultivar improvement of Undaria pinnatifida by crossing gametophytes originated from one zoospore. Algal Resour. 2010, 3, 205–210. (In Japanese) [Google Scholar]
- Shan, T.F.; Pang, S.J.; Li, J.; Gao, S.Q. Breeding of an elite cultivar Haibao No.1 of Undaria pinnatifida (Phaeophyceae) through gametophyte clone crossing and consecutive selection. J. Appl. Phycol. 2016, 28, 2419–2426. [Google Scholar] [CrossRef]
- Niwa, K.; Harada, K. Experiment on forcing cultivation of Undaria pinnatifida sporophytes in the Seto Inland Sea by using free-living gametophytes cultured in laboratory. Jpn. J. Phycol. 2016, 64, 10–18. (In Japanese) [Google Scholar]
- Gao, X.; Endo, H.; Taniguchi, K.; Agatsuma, Y. Genetic differentiation of high-temperature tolerance in the kelp Undaria pinnatifida sporophytes from geographically separated populations along the Pacific coast of Japan. J. Appl. Phycol. 2013, 25, 567–574. [Google Scholar] [CrossRef]
- Sato, Y.; Hirano, T.; Niwa, K.; Suzuki, T.; Fukunishi, N.; Abe, T.; Kawano, S. Phenotypic differentiation in the morphology and nutrient uptake kinetics among Undaria pinnatifida cultivated at six sites in Japan. J. Appl. Phycol. 2016, 28, 3447–3458. [Google Scholar] [CrossRef]
- Sato, Y.; Yamaguchi, M.; Hirano, T.; Fukunishi, N.; Abe, T.; Kawano, S. Effect of water velocity on Undaria pinnatifida and Saccharina japonica growth in a novel tank system designed for macroalgae cultivation. J. Appl. Phycol. 2017, 29, 1683–1693. [Google Scholar] [CrossRef]
- Sato, Y.; Hirano, T.; Ichida, H.; Murakami, M.; Fukunishi, N.; Abe, T.; Kawano, S. Morphological and physiological differences among cultivation lines of Undaria pinnatifida in a common garden experiment using a tank culture system. J. Appl. Phycol. 2017, 29, 2287–2295. [Google Scholar] [CrossRef]
- Tatewaki, M. Formation of a crustose sporophyte with unilocular sporangia in Scytosiphon lomentaria. Phycologia 1966, 6, 62–66. [Google Scholar] [CrossRef]
- Dan, A.; Ohno, M.; Matsuoka, M. Changes of the research and development on the resources of Undaria and Laminaria in the culture ground of Tokushima coasts. Bull. Tokushima Pref. Fish Res. Ins. 2015, 10, 25–48. (In Japanese) [Google Scholar]
- White, A.J.; Critchley, C. Rapid light curves: A new fluorescence method to assess the state of the photosynthetic apparatus. Photosyn. Res. 1999, 59, 63–72. [Google Scholar] [CrossRef]
- Genty, B.; Briantais, J.M.; Baker, N.R. The relationship between the quantum yield of photosynthetic electron transport and quenching of chlorophyll fluorescence. Biochim. Biophys. Acta. 1989, 990, 87–92. [Google Scholar] [CrossRef]
- Sakanishi, Y.; Iizumi, H. Photosynthesis–temperature relationship of Laminaria longissima Miyabe (Laminariales, Phaeophyta). Jpn. J. Phycol. 1988, 46, 105–110. (In Japanese) [Google Scholar]
- Hurd, C.L.; Dring, M.J. Phosphate uptake by intertidal fucoid algae in relation to zonation and season. Mar. Biol. 1990, 107, 281–289. [Google Scholar] [CrossRef]
- Li, J.Y.; Agatsuma, Y.; Nagai, T.; Sato, Y.; Taniguchi, K. Differences in resource storage pattern between Laminaria longissima and Laminaria diabolica (Laminariaceae; Phaeophyta) reflecting their morphological characteristics. J. Appl. Phycol. 2009, 21, 215–224. [Google Scholar] [CrossRef]
- Maag, M.; Malinovsky, M.; Nielsen, S.M. Kinetics and temperature dependence of potential denitrification in riparian soils. J. Env. Qual. 1997, 26, 215–223. [Google Scholar] [CrossRef]
- Xu, D.; Gao, Z.; Zhang, X.; Qi, Z.; Meng, C.; Zhuang, Z.; Ye, N. Evaluation of the potential role of the macroalga Laminaria japonica for alleviating coastal eutrophication. Biores. Tech. 2011, 102, 9912–9918. [Google Scholar] [CrossRef]
- Nanba, N.; Fujiwara, T.; Kuwano, K.; Ishikawa, Y.; Ogawa, H.; Kado, R. Effect of water flow velocity on growth and morphology of cultured Undaria pinnatifida sporophytes (Laminariales, Phaeophyceae) in Okirai Bay on the Sanriku coast, northeast Japan. J. Appl. Phycol. 2011, 23, 1023–1030. [Google Scholar] [CrossRef]
- Hasegawa, K.; Suzuki, S. Work analysis of harvesting and salt–preserved Wakame seaweed (Undaria pinnatifida) processing. Tech. Rept. Nat. Res. Inst. Fish Eng. 2005, 27, 61–80. (In Japanese) [Google Scholar]
- Raven, J.A.; Geider, R.J. Temperature and algal growth. New Phytol. 1988, 110, 441–461. [Google Scholar] [CrossRef]
- Lobban, C.S.; Harrison, P.J. Seaweed Ecology and Physiology; Press Syndicate of the University of Cambridge: Cambridge, UK, 1994; 366p. [Google Scholar]
- Pedersen, A. The effects of temperature and nutrient concentrations on nitrate and phosphate uptake in different species of Porphyra from Long Island Sound (USA). J. Exp. Mar. Biol. Ecol. 2004, 312, 235–252. [Google Scholar] [CrossRef]
- Sato, J. Wakame Nyumon; The Japan Food Journal: Tokyo, Japan, 2015; 164p. (In Japanese) [Google Scholar]
- Gao, X.; Endo, H.; Yamana, M.; Taniguchi, K.; Agatsuma, Y. Compensation of the brown alga Undaria pinnatifida (Laminariales; Phaeophyta) after thallus excision under cultivation in Matsushima Bay, northern Japan. J. Appl. Phycol. 2013, 25, 1171–1178. [Google Scholar] [CrossRef]
- Kawamura, R. Rapidly developing extratropical cyclones and their associated strong and gusty winds in northern winter. Wind Eng. 2017, 42, 5–14. (In Japanese) [Google Scholar]





| Harvest Date | ||||||
|---|---|---|---|---|---|---|
| 30 December | 15 January | 13 February | 4 March | 4 April | 28 April | |
| MAT | 0.7 | 2.1 | 14.0 | 11.0 | 24.6 | 35.6 |
| HRT | 0.1 | 0.9 | 4.8 | 8.6 | 21.8 | 25.3 |
| Variables of Temperature | NO3–N | NH4–N | PO4–P | |||
|---|---|---|---|---|---|---|
| MAT | HRT | MAT | HRT | MAT | HRT | |
| 5–10 °C | 3.3 | 1.2 | 1.4 | 1.0 | 3.1 | 4.7 |
| 10–15 °C | 1.7 | 1.0 | 1.3 | 1.0 | 6.3 | 2.2 |
| 15–20 °C | 1.5 | 1.0 | 1.2 | 1.1 | 5.3 | 3.1 |
| 20–25 °C | 0.2 | 0.6 | 0.9 | 0.9 | 1.0 | 1.1 |
Publisher’s Note: MDPI stays neutral with regard to jurisdictional claims in published maps and institutional affiliations. |
© 2021 by the authors. Licensee MDPI, Basel, Switzerland. This article is an open access article distributed under the terms and conditions of the Creative Commons Attribution (CC BY) license (https://creativecommons.org/licenses/by/4.0/).
Share and Cite
Sato, Y.; Hirano, T.; Ichida, H.; Fukunishi, N.; Abe, T.; Kawano, S. Extending the Cultivation Period of Undaria pinnatifida by Using Regional Strains with Phenotypic Differentiation along the Sanriku Coast in Northern Japan. Phycology 2021, 1, 129-142. https://doi.org/10.3390/phycology1020010
Sato Y, Hirano T, Ichida H, Fukunishi N, Abe T, Kawano S. Extending the Cultivation Period of Undaria pinnatifida by Using Regional Strains with Phenotypic Differentiation along the Sanriku Coast in Northern Japan. Phycology. 2021; 1(2):129-142. https://doi.org/10.3390/phycology1020010
Chicago/Turabian StyleSato, Yoichi, Tomonari Hirano, Hiroyuki Ichida, Nobuhisa Fukunishi, Tomoko Abe, and Shigeyuki Kawano. 2021. "Extending the Cultivation Period of Undaria pinnatifida by Using Regional Strains with Phenotypic Differentiation along the Sanriku Coast in Northern Japan" Phycology 1, no. 2: 129-142. https://doi.org/10.3390/phycology1020010
APA StyleSato, Y., Hirano, T., Ichida, H., Fukunishi, N., Abe, T., & Kawano, S. (2021). Extending the Cultivation Period of Undaria pinnatifida by Using Regional Strains with Phenotypic Differentiation along the Sanriku Coast in Northern Japan. Phycology, 1(2), 129-142. https://doi.org/10.3390/phycology1020010

