Annual Sexual Behavior in Boer Bucks Located in the Guerrero Tropics in Mexico
Abstract
1. Introduction
2. Materials and Methods
2.1. General
2.2. Animals and Treatments
2.3. Management and Measuring of Males
2.4. Observation of Sexual Behavior
2.5. Food and Accommodation
2.6. Statistical Analysis
3. Results
3.1. Sexual Behavior
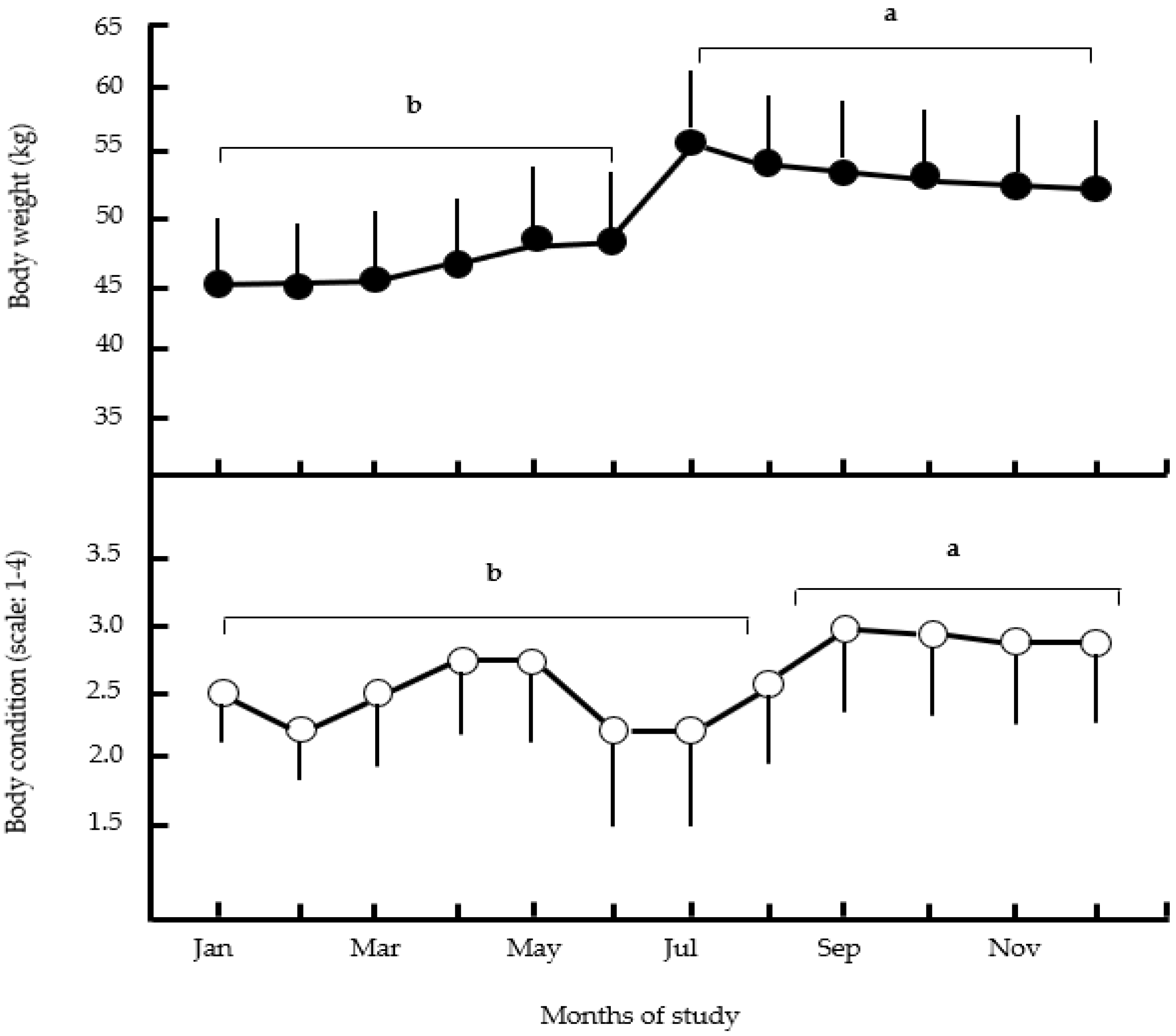
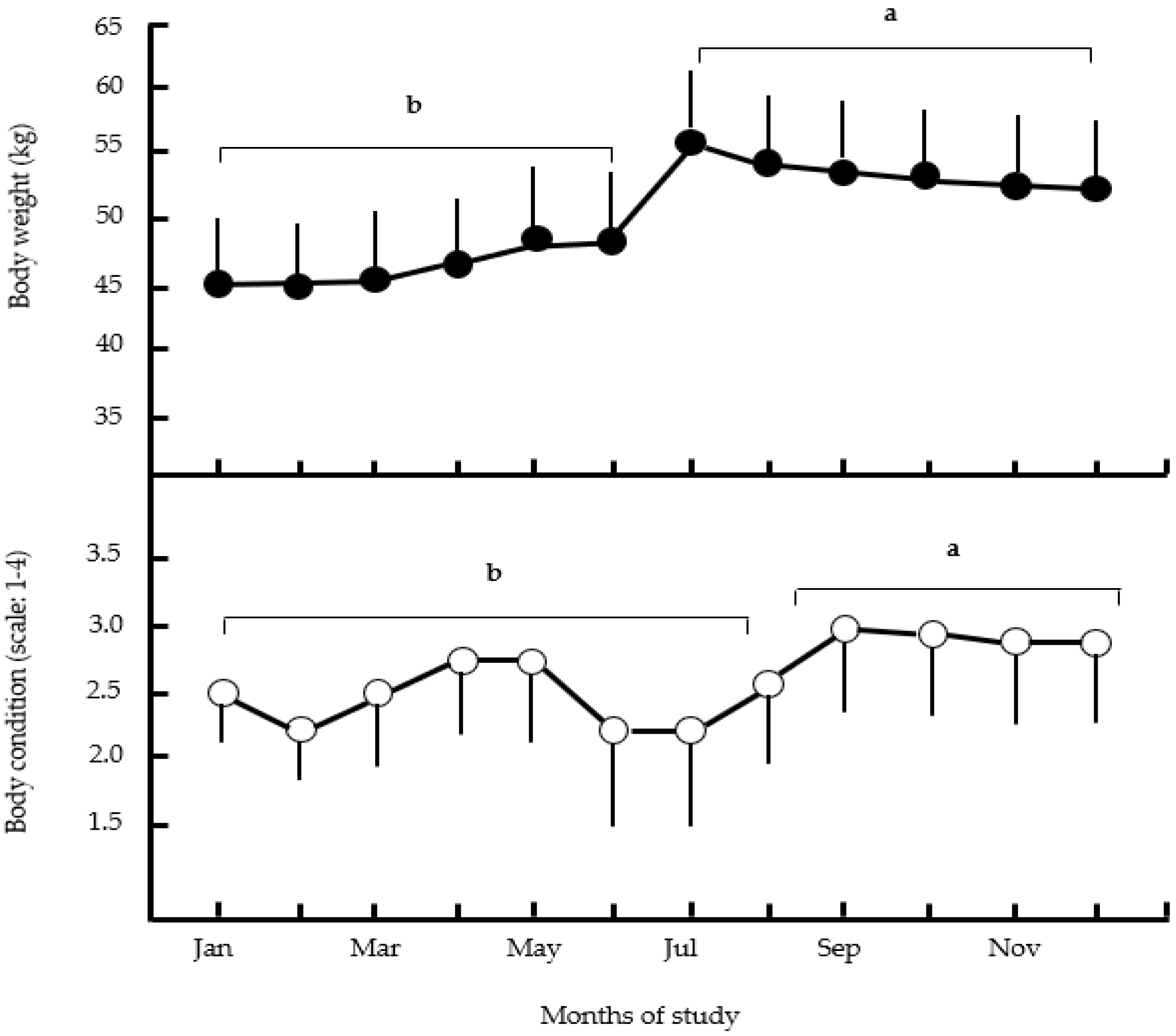
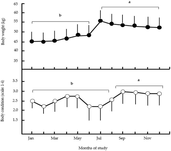
3.2. Body Weight and Condition
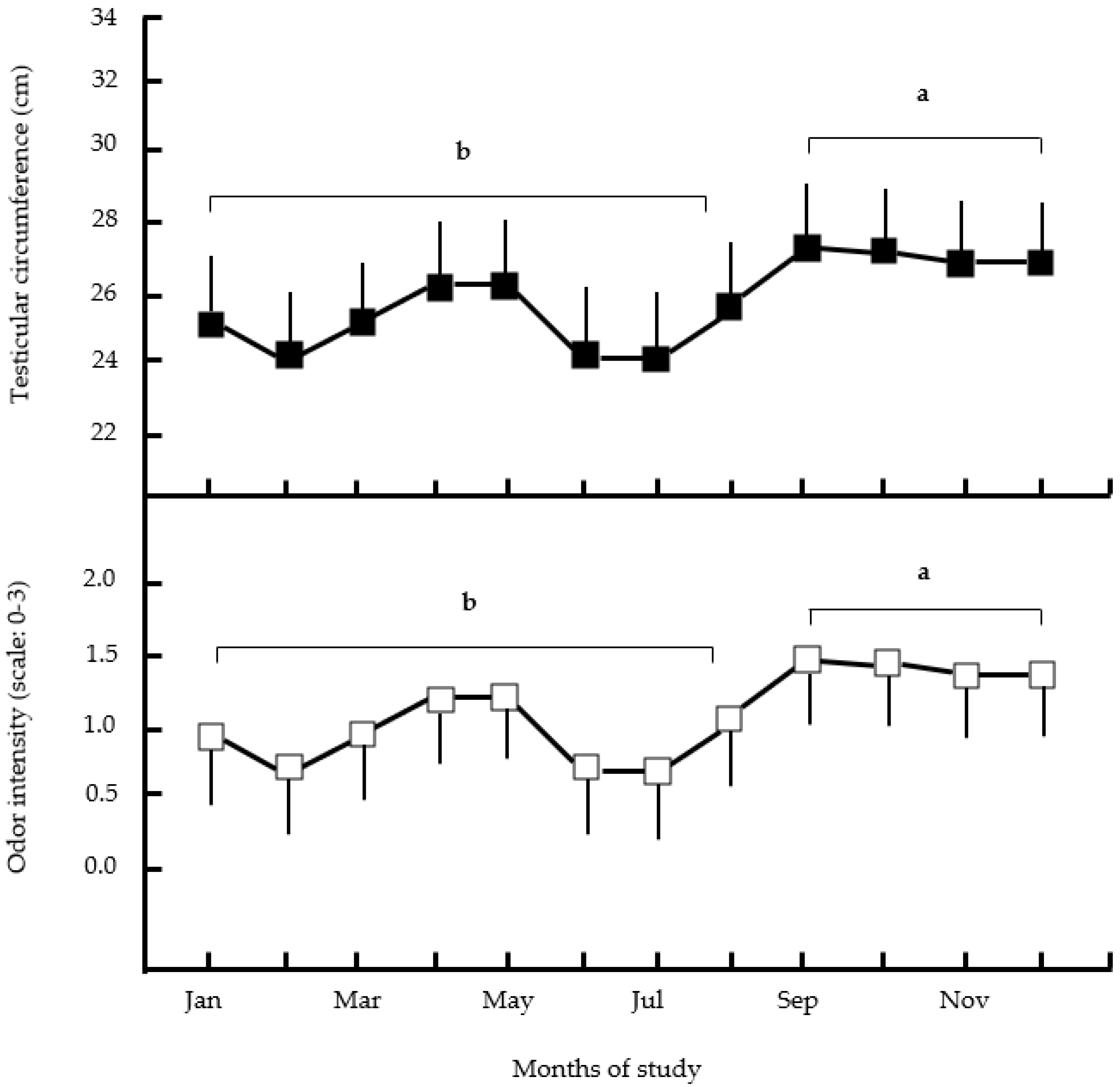
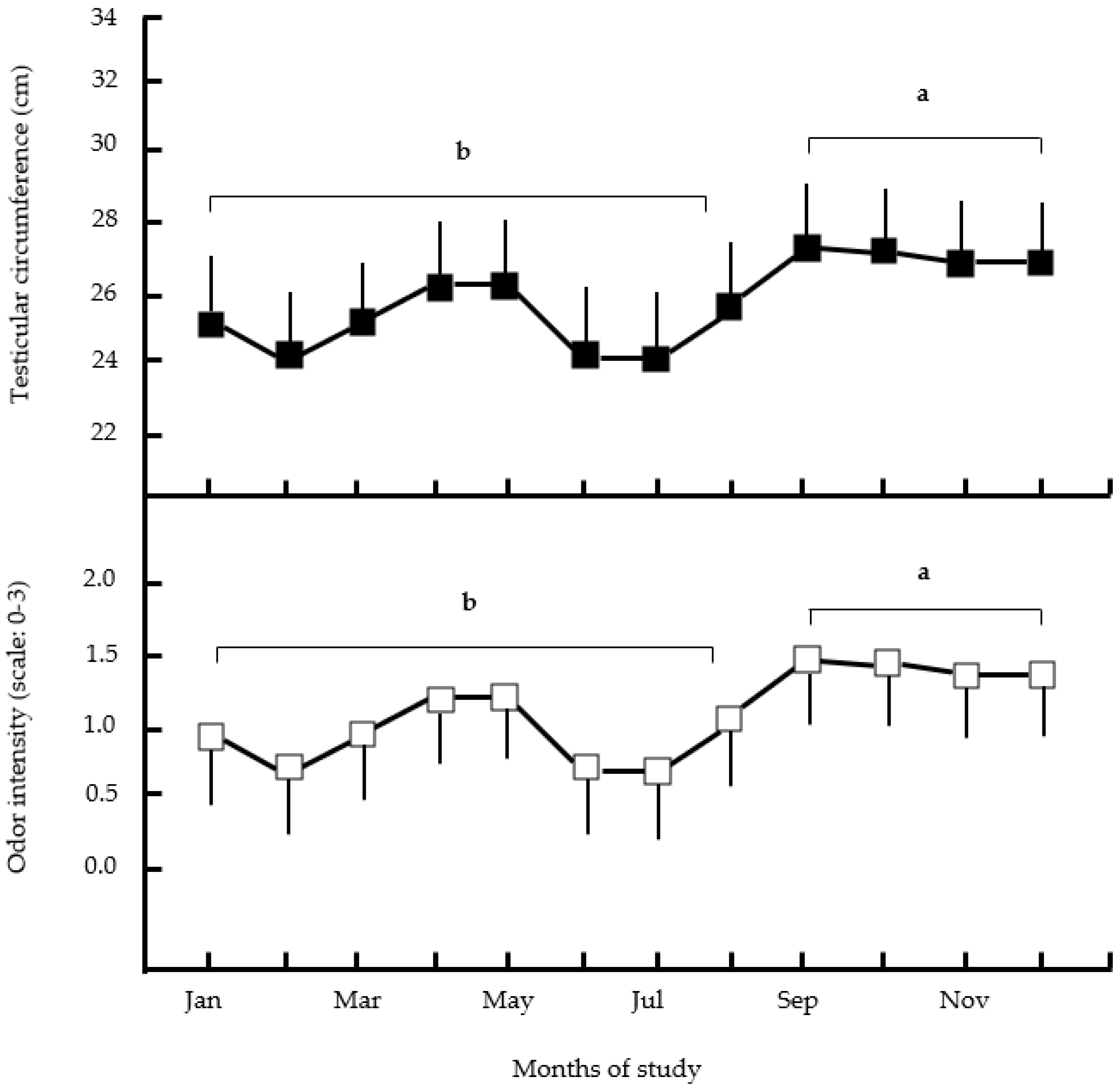
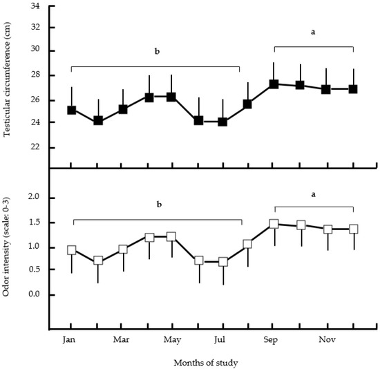
3.3. Testicular Circumference and Odor Intensity
4. Discussion
4.1. Sexual Behavior
4.2. Body Weight and Condition
4.3. Testicular Circumference and Odor Intensity
5. Conclusions
Author Contributions
Funding
Institutional Review Board Statement
Informed Consent Statement
Data Availability Statement
Acknowledgments
Conflicts of Interest
References
- Karsch, F.J.; Robinson, J.E.; Woodfill, C.J.I.; Brown, M.B. Circannual Cycles of Luteinizing Hormone and Prolactin Secretion in Ewes during Prolonged Exposure to a Fixed Photoperiod: Evidence for an Endogenous Reproductive Rhythm1. Biol. Reprod. 1989, 41, 1034–1046. [Google Scholar] [CrossRef] [PubMed]
- Vidal, A.; Médigue, C.; Malpaux, B.; Clément, F. Endogenous circannual rhythm in luteinizing hormone secretion: Insight from signal analysis coupled with mathematical modelling. Philos. Trans. R. Soc. A 2009, 367, 4759–4777. [Google Scholar] [CrossRef] [PubMed]
- Delgadillo, J.; Canedo, G.; Chemineau, P.; Guillaume, D.; Malpaux, B. Evidence for an annual reproductive rhythm independent of food availability in male creole goats in subtropical northern mexico. Theriogenology 1999, 52, 727–737. [Google Scholar] [CrossRef] [PubMed]
- Delgadillo, J.A.; Carrillo, E.; Morán, J.; Duarte, G.; Chemineau, P.; Malpaux, B. Induction of sexual activity of male creole goats in subtropical northern Mexico using long days and melatonin. J. Anim. Sci. 2001, 79, 2245–2252. [Google Scholar] [CrossRef] [PubMed]
- Zarazaga, L.; Gatica, M.; Celi, I.; Guzmán, J.; Malpaux, B. Artificial long days and daily contact with bucks induce ovarian but not oestrous activity during the non-breeding season in Mediterranean goat females. Anim. Reprod. Sci. 2011, 125, 81–87. [Google Scholar] [CrossRef]
- Hart, B.L.; Jones, T. Effects of castration on sexual behavior of tropical male goats. Horm. Behav. 1975, 6, 247–258. [Google Scholar] [CrossRef]
- Chemineau, P.; Xandé, A. Reproductive efficiency of creole meat goats permanetly kept with males relationship to a tropical environment. Trop. Anim. Prod. 1982, 7, 98–104. Available online: https://agris.fao.org/agris-search/search.do?recordID=US201302550380 (accessed on 21 November 2022).
- Aké-Villanueva, J.R.; Aké-López, J.R.; Magaña-Monforte, J.G.; Segura-Correa, J.C. Reproductive behavior in hair sheep rams under tropical conditions. Trop. Anim. Health Prod. 2019, 51, 1627–1635. [Google Scholar] [CrossRef]
- Ponce, J.; Velázquez, H.; Duarte, G.; Bedos, M.; Hernández, H.; Keller, M.; Chemineau, P.; Delgadillo, J. Reducing exposure to long days from 75 to 30 days of extra-light treatment does not decrease the capacity of male goats to stimulate ovulatory activity in seasonally anovulatory females. Domest. Anim. Endocrinol. 2014, 48, 119–125. [Google Scholar] [CrossRef]
- Zarazaga, L.A.; Gatica, M.C.; Delgado-Pertíñez, M.; Hernández, H.; Guzmán, J.L.; Delgadillo, J.A. Photoperiod-Treatment in Mediterranean Bucks Can Improve the Reproductive Performance of the Male Effect Depending on the Extent of Their Seasonality. Animals 2021, 11, 400. [Google Scholar] [CrossRef]
- Gorski, R.; Gordon, J.; Shryne, J.; Southam, A. Evidence for a morphological sex difference within the medial preoptic area of the rat brain. Brain Res. 1978, 148, 333–346. [Google Scholar] [CrossRef]
- Iwata, E.; Wakabayashi, Y.; Kakuma, Y.; Kikusui, T.; Takeuchi, Y.; Mori, Y. Testosterone-Dependent Primer Pheromone Production in the Sebaceous Gland of Male Goat. Biol. Reprod. 2000, 62, 806–810. [Google Scholar] [CrossRef]
- Giriboni, J.; Lacuesta, L.; Ungerfeld, R. Continuous contact with females in estrus throughout the year enhances testicular activity and improves seminal traits of male goats. Theriogenology 2017, 8, 284–289. [Google Scholar] [CrossRef]
- Ponce-Covarrubias, J.L.; González, E.C.G.Y.; Ramírez-Bribiesca, J.E.; Pineda-Burgos, B.C. Reproductive response of synchronized and extensively grazed Blackbelly ewes during the summer in the tropics. J. Anim. Behav. Biometeorol. 2023, 11, e2023001. [Google Scholar] [CrossRef]
- Rodríguez-Martínez, R.; Angel, O.; Guillén-Muñoz, J.M.; Robles-Trillo, P.A.; Santiago-Miramontes, M.D.L.A.D.; Meza-Herrera, C.A.; Mellado, M.; Véliz, F.G. Estrus induction in anestrous mixed-breed goats using the “female-to-female effect”. Trop. Anim. Health Prod. 2013, 45, 911–915. [Google Scholar] [CrossRef]
- Carrillo, E.; Meza-Herrera, C.; Olán-Sánchez, A.; Robles-Trillo, P.; Leyva, C.; Luna-Orozco, J.; Rodríguez-Martínez, R.; Véliz-Deras, F. The “female effect” positively affects the appetitive and consummatory sexual behaviour and testosterone concentrations of Alpine male goats under subtropical conditions. Czech J. Anim. Sci. 2014, 59, 337–343. [Google Scholar] [CrossRef]
- Ponce, J.L.; Hernández, H.; Flores, J.A.; Keller, M.; Chemineau, P.; Delgadillo, J.A. One day of contact with photostimulated bucks is sufficient to induce ovulation in seasonally anestrous goats. Theriogenology 2015, 84, 880–886. [Google Scholar] [CrossRef]
- Guillén-Muñoz, J.M.; Meza-Herrera, C.; Santos-Jimenez, Z.; Rivas-Muñoz, R.; Luna-Orozco, J.R.; Mellado, M.; Véliz-Deras, F. Exposure of sexually inactive males to estrogenized females increased the investigative and consummatory sexual behavior. Anim. Reprod. Sci. 2016, 173, 97–103. [Google Scholar] [CrossRef]
- Delgadillo, J.A.; Espinoza-Flores, L.A.; Abecia, J.A.; Hernández, H.; Keller, M.; Chemineau, P. Sexually active male goats stimulate the endocrine and sexual activities of other males in seasonal sexual rest through the “buck-to-buck effect”. Domest. Anim. Endocrinol. 2022, 81, 106746. [Google Scholar] [CrossRef]
- INEGI. Anuario Estadístico y Geográfico de Guerrero. 2016. Available online: http://www.diputados.gob.mx/sedia/biblio/usieg/mapas2016/gro_mapas.pdf (accessed on 2 February 2022).
- FASS. Guide for the Care and Use of Agricultural Animals in Agricultural Research and Teaching, 3rd ed.; Federation Animal Science Society: Champaing, IL, USA, 2010; p. 177. [Google Scholar]
- Walkden-Brown, S.W.; Restall, B.J.; Norton, B.W.; Scaramuzzi, R.; Martin, G.B. Effect of nutrition on seasonal patterns of LH, FSH and testosterone concentration, testicular mass, sebaceous gland volume and odour in Australian cashmere goats. Reproduction 1994, 102, 351–360. [Google Scholar] [CrossRef]
- Bedos, M.; Muñoz, A.L.; Orihuela, A.; Delgadillo, J.A. The sexual behavior of male goats exposed to long days is as intense as during their breeding season. Appl. Anim. Behav. Sci. 2016, 184, 35–40. [Google Scholar] [CrossRef]
- Ponce, J.L.; González, E.C.G.Y.; Cruz, U.M.; Reyes, L.A.; Morales, J.V.V.; Pérez, R.V.; Zúñiga, S. Parity of the Dorper sheep does not influence the reproductive and productive response when they are synchronized with an “ultra-short” protocol. Open Access J. Sci. 2018, 2, 193–196. [Google Scholar] [CrossRef]
- SYSTAT 13. Product of Cranes Software International Ltd. San José, CA, USA. Available online: https://systatsoftware.com/systat/ (accessed on 20 January 2021).
- Pérez, R.; Forsberg, M.; Rodriguez-Martinez, H. Seasonal Variation in Live Weight, Testes Size, Testosterone, LH Secretion, Melatonin and Thyroxine in Merino and Corriedale Rams in a Subtropical Climate. Acta Vet. Scand. 1998, 39, 35–47. [Google Scholar] [CrossRef]
- Delgadillo, J.; Sifuentes, P.; Flores, M.; Espinoza-Flores, L.; Andrade-Esparza, J.; Hernández, H.; Keller, M.; Chemineau, P. Nutritional supplementation improves the sexual response of bucks exposed to long days in semi-extensive management and their ability to stimulate reproduction in goats. Animal 2021, 15, 100114. [Google Scholar] [CrossRef]
- Gonzalez, A.; Murphy, B.; Foote, W.; Ortega, E. Circannual estrous variations and ovulation rate in Pelibuey ewes. Small Rumin. Res. 1992, 8, 225–232. [Google Scholar] [CrossRef]
- Godfrey, R.W.; Collins, J.R.; Gray, M.L. Evaluation of sexual behavior of hair sheep rams in a tropical environment. J. Anim. Sci. 1998, 76, 714–717. [Google Scholar] [CrossRef]
- de-Combellas, J. Comportamiento reproductivo en ovinos tropicales. Rev. Cient. Fac. 1993, 3, 135–141. Available online: https://www.produccioncientificaluz.org/index.php/cientifica/article/view/14103/14083 (accessed on 21 November 2022).
- Delgadillo, J.; Leboeuf, B.; Chemineau, P. Decrease in the seasonality of sexual behavior and sperm production in bucks by exposure to short photoperiodic cycles. Theriogenology 1991, 36, 755–770. [Google Scholar] [CrossRef]
- Hernández-Ruiz, P.E.; González, E.C.G.Y.; Pineda-Burgos, B.C.; Flores-López, E.; Valencia-Franco, E.; Carmona-Victoria, M.; Velázquez-Morales, J.V.; Covarrubias, J.L.P. Reproductive evaluation of bucks (Capra hircus L.) with usual management in herds from Benito Juarez, Guerrero, Mexico. Agro Prod. 2021, 14, 81–86. [Google Scholar] [CrossRef]
- Cárdenas-Gallegos, M.; Aké-López, J.; Centurión-Castro, F.; Magaña-Monforte, J. The Breed and Season Effects on Scrotal Circumference and Semen Characteristics of Hair Sheep Rams Under Tropical Conditions. Reprod. Domest. Anim. 2012, 47, e92–e94. [Google Scholar] [CrossRef]
- Rivas-Muñoz, R.; Fitz-Rodríguez, G.; Poindron, P.; Malpaux, B.; Delgadillo, J.A. Stimulation of estrous behavior in grazing female goats by continuous or discontinuous exposure to males. J. Anim. Sci. 2007, 85, 1257–1263. [Google Scholar] [CrossRef]
- González, F.; Sifuentes, L.; Ulloa-Arvizu, R.; Peiró, M.P.; Duarte, G.; Fernández, I. Group or individual housing does not reduce socio-sexual and reproductive responses in anestrous goats during the first contact with the photo-stimulated buck. Domest. Anim. Endocrinol. 2023, 82, 106772. [Google Scholar] [CrossRef]
- Ángel-García, O.; Meza-Herrera, C.; Contreras-Villarreal, V.; Guillen-Muñoz, J.; Leyva, C.; Robles-Trillo, P.; Rivas-Muñoz, R.; Rodríguez-Martínez, R.; Mellado, M.; Véliz, F. Effect of different male-to-female ratios and testosterone administration upon the male sexual behavior and the out-of-season reproductive response of anestrous goats. Small Rumin. Res. 2015, 133, 21–29. [Google Scholar] [CrossRef]

ano-genital sniffing □, flehmen ◊, mounting attempts ○, mounting with intromission
, and self-urination
). On the other hand, the figures with filling indicate the variables with lower SB (June to October; summer–autumn) (nudging ▲, ano-genital sniffing ■, mounting attempts ●, and self-urination ▄). Literals a,b in the geometric figures describe a significant difference (p < 0.001).
ano-genital sniffing □, flehmen ◊, mounting attempts ○, mounting with intromission
, and self-urination
). On the other hand, the figures with filling indicate the variables with lower SB (June to October; summer–autumn) (nudging ▲, ano-genital sniffing ■, mounting attempts ●, and self-urination ▄). Literals a,b in the geometric figures describe a significant difference (p < 0.001).


| Behavior | Description |
|---|---|
| Nudging | Lateral approach of the male flexing his front leg against the female with short, staccato kicks; these may be accompanied by licks and low vocalizations. |
| Ano-genital sniffing | Smells focalized in the perineal area of the female (>3 s). |
| Mounting attempts | The male tries to jump with his front legs and upper back onto another goat. There may or may not be pelvic movements, usually interrupted by female flight. |
| Mounting without intromission | The male places his front legs and upper back on another goat. Associated with pelvic movements and erection but without penetration; usually interrupted by female flight. |
| Mounting with intromission | The male attaches his front legs and the upper part of the back to another goat. Known as true mounting or with service, characterized by pelvic movements and the movement known as kidney blow: when the tip of the glands makes contact with the vulvar mucosa, a strong push is accompanied by penetration and ejaculation. |
| Flehmen | Rearward tilt of the upper lip that exposes the dental ridge, usually with the head raised and the neck extended. This occurs after smelling the perineal area, his urine, or that of the female to facilitate the arrival of olfactory signals to the vomeronasal organ. |
| Vocalizations | the emission of low sounds characteristic of the male during contact with the female. |
| Self-urination | The male urinates on his own face, mouth, and beard as the erect penis protrudes. |
Disclaimer/Publisher’s Note: The statements, opinions and data contained in all publications are solely those of the individual author(s) and contributor(s) and not of MDPI and/or the editor(s). MDPI and/or the editor(s) disclaim responsibility for any injury to people or property resulting from any ideas, methods, instructions or products referred to in the content. |
© 2023 by the authors. Licensee MDPI, Basel, Switzerland. This article is an open access article distributed under the terms and conditions of the Creative Commons Attribution (CC BY) license (https://creativecommons.org/licenses/by/4.0/).
Share and Cite
Ponce-Covarrubias, J.L.; García y González, E.C.; Pineda-Burgos, B.C.; Guevara-Arroyo, A.M.; Hernández-Ruiz, P.E.; Torres-Agatón, F.; Ruiz-Ortega, M.; Paredes-Alvarado, M.; Robles-Robles, J.M.; Rodríguez-Castillo, J.d.C.; et al. Annual Sexual Behavior in Boer Bucks Located in the Guerrero Tropics in Mexico. Ruminants 2023, 3, 149-157. https://doi.org/10.3390/ruminants3020014
Ponce-Covarrubias JL, García y González EC, Pineda-Burgos BC, Guevara-Arroyo AM, Hernández-Ruiz PE, Torres-Agatón F, Ruiz-Ortega M, Paredes-Alvarado M, Robles-Robles JM, Rodríguez-Castillo JdC, et al. Annual Sexual Behavior in Boer Bucks Located in the Guerrero Tropics in Mexico. Ruminants. 2023; 3(2):149-157. https://doi.org/10.3390/ruminants3020014
Chicago/Turabian StylePonce-Covarrubias, José Luis, Ethel Caterina García y González, Blanca Celia Pineda-Burgos, Aurora Matilde Guevara-Arroyo, Pedro Enrique Hernández-Ruiz, Fernando Torres-Agatón, Maricela Ruiz-Ortega, Marisol Paredes-Alvarado, José Manuel Robles-Robles, José del Carmen Rodríguez-Castillo, and et al. 2023. "Annual Sexual Behavior in Boer Bucks Located in the Guerrero Tropics in Mexico" Ruminants 3, no. 2: 149-157. https://doi.org/10.3390/ruminants3020014
APA StylePonce-Covarrubias, J. L., García y González, E. C., Pineda-Burgos, B. C., Guevara-Arroyo, A. M., Hernández-Ruiz, P. E., Torres-Agatón, F., Ruiz-Ortega, M., Paredes-Alvarado, M., Robles-Robles, J. M., Rodríguez-Castillo, J. d. C., Ángel-García, O., & Valencia-Franco, E. (2023). Annual Sexual Behavior in Boer Bucks Located in the Guerrero Tropics in Mexico. Ruminants, 3(2), 149-157. https://doi.org/10.3390/ruminants3020014

