Abstract
Nematodes are one of the main impactors on the health, welfare and productivity of farmed animals. Teladorsagia circumcincta are endemic throughout many sheep-producing countries, particularly in the northern hemisphere, and contribute to the pathology and economic losses seen on many farms. Control of these nematode infections is essential and heavily reliant on chemotherapy (anthelmintics), but this has been compromised by the development of anthelmintic resistance. In mammals, the composition of the intestinal microbiota has been shown to have a significant effect on overall health. The interactions between host, microbiota and pathogens are complex and influenced by numerous factors. In this study, comparisons between intestinal and faecal microbiota of sheep infected with sensitive or resistant strains of T. circumcincta, with or without monepantel administration were assessed. The findings from both faecal samples and terminal ileum mucosal scrapings showed clear differences between successfully treated animals and those sheep that were left untreated and/or those carrying resistant nematodes. Specifically, the potentially beneficial genus Bifidobacterium was identified as elevated in successfully treated animals. The detection of these and other biomarkers will provide the basis for new therapeutic reagents particularly relevant to the problems of emerging multidrug anthelmintic resistance.
1. Introduction
Within the gastrointestinal tract of mammals, including humans, microorganisms form a complex relationship with their hosts. In healthy animals, one of the many roles the microbiota plays are to provide essential nutrients and protection against colonisation by pathogenic species [1]. However, constant regulation is required to prevent the breakdown of these essential relationships between microorganisms and mammals. Where commensal bacteria, invading pathogenic bacteria and/or opportunistic pathobionts colonise similar ecological niches, competition for available nutrients occurs [2]. Such interactions can lead to perturbations in the microbial communities leading to dysfunction of the gastrointestinal tract [3]. The response of the commensal microbiota, therefore, needs to be robust to out-compete and deny the incoming infectious agent from colonising and proliferating [4,5]. However, when the microbiota becomes disrupted, unstable or damaged (for example, due to the use of antibiotics, pathogenic infections, physiological and/or environmental stresses), the ability of the commensal microorganisms to maintain a competent resistance to colonisation by pathogenic organisms can be compromised. These invading pathogenic microorganisms have their own arsenal to counteract the defensive mechanisms developed by the commensal microflora and the host, including physiological and immunological responses [2,6,7,8,9]. Gastrointestinal parasites provide just the type of disruption that results in breaching physical boundaries, inflammation and/or modulation of the immune response of the host, offering an opportunity for invading microorganisms to colonise [10]. A number of factors exist that impact on the helminth-host microbiota interaction including age, sex, nutrition and immune status [11,12]. Together, the host, its microbial community and the presence of parasites are known to shape both the microbial landscape and host health [13].
The impact of gastrointestinal parasites on the microbiota has not been extensively studied in mammals, let alone specifically in sheep or other ruminants [13]. However, it is clear that the perturbation of the gastrointestinal tract can be pronounced when pathogenic microorganisms are introduced, either naturally or experimentally [1,10,14,15]. Teladorsagia circumcincta is a pathogenic parasitic nematode that can cause severe gastroenteritis. It is one of the most common gastrointestinal nematodes in sheep worldwide within the temperate zone [16], causing considerable morbidity and occasionally mortality in heavily infected animals [17]. Clinical symptoms are attributed both to excretory-secretory (ES) products derived from the invading nematode and to histopathological tissue damage [18,19]. Control of T. circumcincta remains a challenge, with anthelmintics being the mainstay of control, although the use of some treatments has become restricted due to increased and widespread multidrug resistance developed by T. circumcincta [20,21].
The pathogenic nature of gastrointestinal nematodes has a significant effect on the microbiota of the gut [13]. However, quantifying precisely the dynamics of the microbial community has not been possible until the advent of culture-independent 16S rDNA-based sequence analysis and whole-genome shotgun high-throughput sequencing [22].
In this study, the changes in faecal and ileal microbiota from sheep infected with sensitive or resistant strains of T. circumcincta, with and without monepantel administration, were assessed using Illumina MiSeq technology. The hypothesis was to assess this approach to identify potential biomarkers for new therapeutic reagents based on beneficial microorganisms and/or their excreted/secreted products to restore dysfunctional microbiotas or prevent the destabilisation of the microbiota by invading pathogens or opportunistic commensal bacteria. These novel microbiota-based treatments will be particularly relevant to facing the problems of emerging multidrug anthelmintic resistance.
2. Materials and Methods
2.1. Experimental Design
The experimental design was as outlined in [23]. In brief, 20 parasite-naïve Suffolk greyface crossbred lambs of 5 to 9 months old (8 males and 12 females) were raised in containment, free from adventitious nematode contamination. All lambs were fed on a complementary concentrate-based diet (Maze lamb pellets; Carrs Billington Agriculture Ltd., (Unit 4 Eastfield Park Rd, Penicuik, UK) 16% crude protein, 10.5% crude ash, 9.5% crude fibre, 4.5% crude oil) and given ad libitum access to hay and water. The sheep were divided into 2 groups of 10 animals (4 males and 6 females) and experimentally challenged orally, with 7000 T. circumcincta infective larvae (L3) of either a monepantel (MPTL)-sensitive (S) parental strain (designated MTci7) or an MPTL-resistant (R) strain that had been artificially derived from the parent strain (designated MTci7-12; Table 1). Following the challenge, these 2 groups were housed separately. In accordance with Home Office 3Rs guidance, to reduce the numbers of animals used under experiment, no uninfected animals were included in this study.
Table 1.
T. circumcincta isolate designations pre- and post-selection for monepantel resistance.
After 28 days post-infection, the 2 groups were subdivided into groups of 5 animals and either left untreated (UT) to act as controls, or weighed and dosed orally by syringe at the manufacturer’s recommended dose rate with MPTL (T, 2.5 mg/kg body weight; Zolvix™ Elanco UK Animal Health Ltd., Form 2, Bartley Way, Bartley Wood Business Park, Hook, Hampshire, UK. Treated and untreated animals from each of the 2 challenge groups remained co-housed post-treatment. The 4 groups MTci7 untreated, MTci7 MPTL-treated MTci7-12 untreated and MTci7-12 MPTL-treated were designated as SUT, ST, RUT and RT, respectively (Table 1). All of the animals were necropsied 7 days post-treatment. The methods used to euthanise the animals, remove and process their organs for worm burden recovery were as described in [24]. In brief, the abomasum was split down the greater curvature, the contents were collected and incubated in 5 L of physiological saline (PS; 0.85% NaCl) alongside the tissue for 4 h at 37 °C. The surface and each fold of the abomasum was thoroughly cleaned into the PS to remove the mucus layer and any adherent worms (adult or immature) prior to sub-sampling. The total worm burdens were estimated from 2% sub-samples of the abomasal washings and saline digests. Recovered worms were sexed and staged. Total worm burdens were used to confirm treatment outcomes (Table 2), no adult or immature worms were found in any of the ST group animals, confirming that the treatment had successfully removed any resident worm burden after 7 days [24].
Table 2.
Worm burden estimation of sheep within defined infection and treatment groups.
Rectal faecal (RF) samples were collected and stored at −80 °C before processing. Terminal ileum were also collected and stored at −80 °C from these sheep before mucosal scraping (TIMS) samples were prepared. Briefly, terminal ileum tissue was thawed on ice and opened longitudinally to reveal the mucosal layer of the lumen. The lumen was washed with PBS to remove debris before the mucosal layer was scraped off using a microscope slide, transferred to a 50 mL tube and vortexed for 30 s. A volume of 400 µL of the scraped sample was added to 4.60 mL of RNAlater® and stored at −80 °C.
2.2. DNA Extraction
Microbial genomic DNA was purified with a MO BIO PowerFecalTM DNA Isolation Kit, according to the manufacturer’s protocols. Briefly, 0.25 g of faeces was homogenised, using bead beating, to facilitate microbial cell lysis. The total microbial genomic DNA was eluted in DNA elution buffer. Additionally, DNA was extracted from 0.25 mL TIMS samples using the Qiagen Tissue/Blood kit following the manufacturer’s protocol after bead beating as described above. Genomic DNA was quantified using NanoDropTM spectrophotometry.
2.3. Amplification of Bacterial 16S rRNA Genes
The bacterial 16S rRNA gene V4 region was amplified for Illumina MiSeq sequencing via a barcoded adapter-based PCR approach [25]. PCR reactions for the bacterial 16S rRNA gene V4 region contained 1x Taq buffer plus additional MgCl2 (final concentration of 2.5 mM), 0.2 mM of each of the 4 dNTPs, 0.25 µM of each primer, 0.05 U µL−1 Taq DNA polymerase (Roche), and 1 ng µL−1 template DNA in a total volume of 25 µL with PCR grade water, set up under contaminant-free conditions [26]. For each amplification reaction, the same forward primer (515F) together with a different barcoded reverse primer (806R) was used (the reverse primer sequences differed only at the barcode region [25]). Amplification of the bacterial 16S rRNA gene V4 region was as follows: 94 °C for 3 min; followed by 25 cycles of 94 °C for 45 s, 50 °C for 60 s, 72 °C for 90 s; followed by a single cycle of 72 °C for 10 min. For TIMS samples, which contained a lower amount of target DNA, 35 cycles of amplification via the above protocol were used. This extended amplification protocol, resulted in the PCR negative control template generating amplified sequences corresponding to possible contamination: 2 such Amplicon Sequence Variants (ASV) assigned to the genus Staphylococcus and the Species Bradyrhizobium elkanii were later removed from the dataset before further analysis described in section entitled “Data processing and filtering” below.
Size and concentrations of PCR amplicons were analysed by agarose gel electrophoresis. The PCR amplicons were gel-purified using a Wizard® Gel and PCR Clean-Up System (Promega, UK, 2 Benham Rd., Southampton Science Park, Chilworth, Southampton, Hampshire, UK. SO16 7QJ) and quantified using a Quant-iT PicoGreen dsDNA Assay Kit (Life Technologies, Paisley, UK, 3 Fountain Dr, Inchinnan, Renfrew, UK).
United Kingdom before pooling in equimolar quantities for Illumina sequencing.
2.4. Preparation of PCR Amplicons for Illumina Sequencing
Pooled PCR amplicons were sequenced at Edinburgh Genomics, University of Edinburgh. Paired-end sequencing (2 × 250 bp) was run on the Illumina MiSeq platform and ~11 M raw read clusters were generated. Three separate sequencing primers were used for sequencing; 2 used to read sequences from either end: Read 1 primer (TATGGTAATT GT GTGCCAGCMGCCGCGGTAA) to yield the 5’ read; Read 2 primer (AGTCAGTCAG CC GGACTACHVGGGTWTCTAAT) to yield the 3’ read and a third as the indexing primer (ATTAGAWACCCBDGTAGTCCGGCTGACTGACT) used to read the barcode sequence [25].
2.5. Data Processing and Filtering
Raw Illumina sequence reads were analysed to generate ASVs using the QIIME2 2019.1 workflow [27]. Demultiplexed forward and reverse sequence reads were paired using VSEARCH [28] with a minimum overlap of 200 bp for maximum accuracy [29], before quality filtering with a minimum quality score of 20. Deblur [30] was used to denoise the quality-filtered sequences with a trim length of 250 bp and with the parameter min-size and min-reads initially both set to one in order to obtain truly sample-independent feature tables. Total numbers of denoised sequences were: ~1.2 M from RF samples and ~230 K from TIMS samples. Taxonomic assignments against the SILVA 132 database [31] were performed using a q2-feature-classifier Naïve-Bayes classifier [32] trained on a set of V4-region sequences derived by in silico PCR with the amplification primer sequences of 99% ASV clusters from the same database. Following removal of contaminating sequences identified via PCR negative control samples and data merging, the sub-division feature tables were abundance-filtered to a minimum abundance cut-off of 10 across the dataset. Feature data with taxonomy were visualized in QIIME2 2019.1, and alpha rarefaction curves and beta-diversity similarity measures were generated.
2.6. Multivariate Statistical Analysis
Relative abundance feature table data were imported into Primer 6 Version 6.1.12 (Primer-E, Ivybridge, UK) and used to generate Bray-Curtis similarity matrices. UniFrac distance matrices [33] generated in QIIME2 2019.1, using rarefied feature tables, were similarly imported into Primer 6 for downstream analysis. PCoA and CAP ordinations were performed on the similarity or distance matrices in Primer 6. Additional multivariate statistical analyses, PERMANOVA and PERMDISP [34], were performed with the PERMANOVA+ add-on package for Primer 6. PERMANOVA and PERMDISP were used to test for significant differences in the distribution and dispersion of sample groups based on Bray-Curtis similarities or UniFrac distances.
To evaluate structural differences in the constituent microbial communities of untreated infected and successfully treated sheep (as confirmed by total worm burden estimates (Table 2)), across both the RF and TIMS sample groups, a highly discriminatory test which is insensitive to the compositional nature of metataxonomic datasets was required. Such characteristics were provided by the ANCOM test [35], which controls the false discovery rate better than other applicable methods [36]. Analysis of composition of microbiomes (ANCOM) analysis [35] at feature level and at taxonomic levels from genus to phylum was performed in QIIME2 to detect discriminant taxa between different groups of samples.
Sequencing data and metadata were uploaded to the European Nucleotide Archive (ENA) at the European Bioinformatics Institute (EBI); study accession number PRJEB24185. http://www.ebi.ac.uk/ena/data/view/PRJEB24185 (accession date: 4 January 2018)
3. Results
3.1. Data Quality Assessment and Diversity Measures
Sequence data were obtained on the RF and TIMS samples from four groups of five sheep (n = 20) infected with sensitive or resistant strains of T. circumcincta and either treated with MPTL or left untreated (Table 1).
Good’s coverage estimates were ≥97% for all faecal samples, demonstrating that the sequencing depth was adequate to capture true diversity (minimum ~118,000 sequences reads per sample; Table S1). In terminal ileum mucosal scraped (TIMS) samples taken from the same animals at postmortem, the yield of microbial DNA was much lower, and lower numbers of sequences per sample were obtained (Table S1). However, rarefaction curves (Figure 1) and good’s coverage estimates (>94% for all samples) suggested that the low microbial diversity in these samples was covered adequately at this sequencing depth. Observed species rarefaction curves showed high diversity within the faecal samples but much lower diversity in the TIMS samples (Figure 1). Correspondingly, Shannon diversities (mean ± SD at maximum rarefaction depth) for faecal samples were significantly higher (8.300 ± 0.386) than those for TIMS samples (6.334 ± 1.049), a difference with high statistical significance (Kruskal-Wallis test, H = 28.2, p = 1.09 × 10−7).
Figure 1.
Rarefaction curve (±Standard error) comparing the alpha diversity between RF and TIMS samples: Alpha rarefaction curves of Amplicon Sequence Variants (ASVs) in RF and TIMS samples from all sheep in the study (n = 20). Error bars represent standard deviations. Open circles represent data from the TIMS samples. Solid circles represent data from RF samples.
3.2. Comparative Abundance Assessment between RF and TIMS Samples
A total of 12 different taxonomic orders were identified in each of the RF and TIMS samples at a limit of >1% abundance across the dataset (Figure S1). The composition of the RF samples from all four treatment groups was dominated by Bacteroidales (31–49%) and Clostridiales (24–45%; Figure S1A). There were also significant but smaller abundances of Spirochaetales (1.6–4.8%), Campylobacterales (0.6–9.6%) and Fibrobacterales (0.2–4.5%). Order-level composition of the TIMS samples was more variable (Figure S1B), and included sequences corresponding to the 16S rRNA gene from the remnant chloroplast (apicoplast) of Eimeria. The most abundant order across this sample set was Clostridiales (15–66%). In addition, the microbial alpha-diversity of samples derived from the TIMS of the ST and RT groups was significantly decreased compared to those from the SUT and RUT groups (Kruskal–Wallis H = 6, p = 0.014; Table 3).
Table 3.
Analysis of species richness and diversity of samples using Kruskal–Wallis test.
3.3. Detailed Assessment of Sample Type and Treatment Group
To investigate finer-scale similarity between the two types of samples and four different treatment groups, Bray–Curtis similarity based on ASV abundances was visualised by NMDS ordination (Figure 2). This analysis revealed a highly significant composition difference between the two types of sample (PERMANOVA Pseudo-F = 17.5; p < 0.001), with an additional greater degree of variation within the TIMS samples compared to the faecal samples (PERMDISP F = 84.9; p < 0.001). Despite the observed inter-individual variability, especially within the TIMS samples, those sheep groups with ongoing nematode infections (SUT, RT, RUT) showed a significant difference in composition from those treated successfully (ST) in both TIMS and RF samples. The statistical significance of this difference was stronger for the RF samples (PERMANOVA Pseudo-F = 1.325, p = 0.023 for faecal; Pseudo-F = 1.352, p = 0.061 for TIMS), a finding that was not possible to illustrate in Figure 2 due to the multidimensional nature of the data. No such statistical significance was detected for the RF groups separated based on drug administration (p ≥ 0.4), although there was some significance for groupings based on the strain of infecting T. circumcincta (PERMANOVA Pseudo-F = 1.279, p = 0.029 for faecal; Pseudo-F = 1.514, p = 0.037 for TIMS).
Figure 2.
NMDS ordination plot comparing the association between treatment groups: NMDS ordination plot visualising Bray–Curtis similarity based on ASV abundances to investigate finer-scale similarity between RF and TIMS samples and four different treatment groups (SUT, RUT, ST and RT). Circles define data from RF and squares represent TIMS sample data. Solid shapes (squares and circles) represent data from sheep that were able to clear the infection, as determined by worm burden estimation (ST). Those that are open shapes (squares and circles) are derived from sheep either untreated (SUT and RUT) and treated sheep with resistant worms (RT).
3.4. Comparative Analysis between Treatment Groups
To isolate the variation due to the pre-defined treatment groups in the experimental set-up, a Canonical Analysis of Principal coordinates (CAP) ordination plot based on these groups was used. For the faecal samples, the CAP plot (using the same ASV-level similarity data as in Figure 2) showed that there was a clear separation of the successfully treated group (ST) from the untreated or resistant groups (SUT, RT, RUT) on the primary CAP1 axis, while the three latter groups were separated from each other on the CAP2 axis (Figure 3A). These treatment group-specific separations were associated with high eigenvalues (0.982 and 0.909 for CAP1 and CAP2 respectively), and a significant trace statistic (p < 0.001) and first canonical correlation (p = 0.006) [34]. As predicted, the vectors in Figure 3A show that there was a strong correlation (r = 0.677; p = 0.0005) between worm burden and the sample groups as separated on the CAP axes. There was also a strong correlation between the abundance of ASVs assigned to the phylum Actinobacteria and the primary CAP1 axis (r = 0.589; p = 0.003), while the separation of the treatment groups correlated with the abundance of the phylum Proteobacteria (r = 0.585; p = 0.003). Weaker correlations were also observed with the low-abundance archaeal phylum Euryarchaeota and with ASV sequences which were unclassified (Figure 3A).
Figure 3.
CAP ordination plot comparing the association between treatment groups: CAP ordination plot based on Bray-–Curtis similarity of ASVs in RF samples (A) and TIMS (B) from monepantel-treated and untreated sheep, infected with sensitive or resistant T. circumcincta (n = 5 for each treatment), to isolate the variation between these pre-defined treatment groups (using the same ASV-level similarity data as in Figure 2), Vectors show Pearson correlations between the abundances of major Phyla or the worm burden and the CAP axes. Filled squares and circles represent data from anthelmintic-treated resistant and sensitive T. circumcincta strains (RT and ST), while the open squares and circles indicate the untreated resistant and sensitive T. circumcincta strains (RUT and SUT), respectively.
A CAP analysis of Bray–Curtis similarities based on ASV abundances in TIMS samples (Figure 3B) indicated that, as for the faecal samples, the sheep with successfully treated nematode infections clustered separately from those with untreated or resistant infections (eigenvalues = 0.921 and 0.861; trace statistic p = 0.013). However, there was no statistically significant separation along the CAP1 axis (eigenvalue = 0.089). As expected, there were strong correlations between the CAP axes and worm burden (r = 0.700; p = 0.0004), and the abundance of Bacteroidetes (r = 0.782; p < 0.0001) and Fibrobacteres (r = 0.544; p = 0.008). Weaker but significant correlations were also observed with the abundance of Firmicutes and Synergistetes (Figure 3B).
3.5. Compositional Comparisons between RF and TIMS Samples Using ANCOM
The compositional comparison of the full set of RF and TIMS samples was analysed using ANCOM. As a result, a very large number of discriminant microbial communities (>100 at the level of ASVs) were detected at taxonomic levels ranging from phylum to individual features. The most statistically significant being an uncultured Bacteroides sequence elevated in the RF samples. In TIMS samples, the Eimeria chloroplast 16S rRNA gene sequence was identified as the most predominant sequence at three different taxonomic levels (class, order and genus), confirming the finding described above.
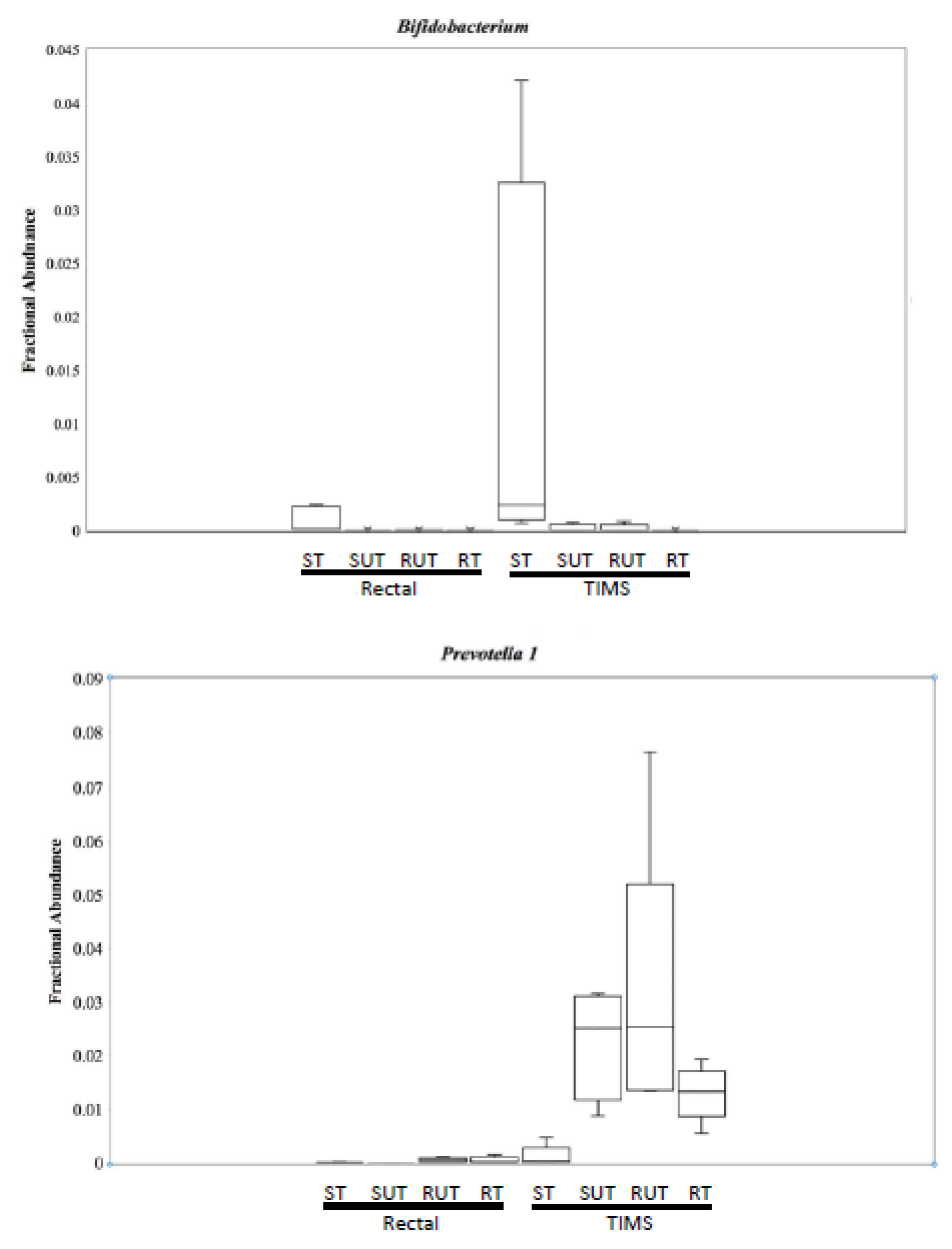
When tested against the background of high source-dependent and inter-individual variation, ANCOM was able to detect microbial communities specific to the successful treatment of nematode infection. When the RF and TIMS datasets were combined, ANCOM detected a single highly significant microbial community at both the feature and genus levels, with taxonomy assigned to the genus Bifidobacterium (Table 4). Application of the ANCOM test individually to the RF dataset at the genus level confirmed Bifidobacterium as the sole significant microbial population of successfully treated sheep (Figure 4-upper panel). In TIMS samples, the genus Prevotella-1 was also identified in sheep with patent infections (Figure 4-lower panel). Although the genus Bifidobacterium fell just below the significance threshold for this test (Table 4), the Bifidobacteriaceae was considered to be elevated in successfully treated sheep at both sampling sites at multiple taxonomic levels.
Table 4.
ANCOM analysis of single highly significant microbial communities at various taxonomic levels.
Figure 4.
Box and whisker plots of microbial communities identifying specific biomarkers associated with treatment group: Box-and-whisker plots calculated from ANCOM tests of the fractional abundances of the genera Bifidobacterium (upper panel) and Prevotella 1 (lower panel) in RF (OV) and TIMS samples from the 4 treatment groups. The bounds of the boxes represent the first and third quartiles of the data, while the solid line within the box indicates the median value. The whiskers span the minimum and maximum values.
4. Discussion
The primary aim of this study was to investigate the microbial compositional changes in intestinal microbiota resulting from MPTL resistant and sensitive T. circumcincta infection and subsequent anthelmintic administration in sheep.
By comparing the inherent variation between RF samples and TIMS samples, our results suggest that there was significantly less inter-sample variability of the microbiota between identically treated sheep in RF than in samples collected from TIMS. Further, results showed significant differences in microbial diversity between the RF and TIMS samples with a reduction in alpha diversity in the latter. These findings were consistent with previously published results which showed that bacterial abundance in the large intestine was greater than in the small intestine and that the microbiota within the mucosa of the terminal ileum is less diverse than in the rectum [37,38].
Those sheep groups with ongoing nematode infections (SUT, RT, RUT) showed a significant difference in diversity and composition in comparison to those treated successfully (ST) in both TIMS and RF samples. The diversity of the microbiota of sheep successfully treated (ST) was significantly lower than that of the three groups of sheep that maintained the parasitic infection (SUT, RT, and RUT). The statistical significance of this difference was stronger for the RF samples. No such statistical significance was detected from the RF samples based on drug treatment. However, there was some significance for groupings based on the infecting T. circumcincta strain from both faecal and TIMS samples.
Using the CAP analysis, there were compositional differences in the faecal microbiota of successfully treated sheep, with a strong correlation between worm burden and the sample groups, demonstrating a reduction in worm burden and an increase in the abundance of the phylum Actinobacteria in the ST group. The separation of the treatment groups also correlated with the abundance of the phylum Proteobacteria. Weaker correlations were also observed with the low-abundance archaeal phylum Euryarchaeota and with ASV sequences, which were unclassified.
Interestingly, the sequences corresponding to the 16S rRNA gene from the remnant chloroplast (apicoplast) of Eimeria were also identified in TIMS samples. Eimeria is a common endemic apicomplexan parasite in sheep, which, if pathogenic, can cause coccidiosis when present in large numbers. Only 2 of the 11 Eimerian species found in sheep in the UK are pathogenic [39]. No sheep in this study were observed with high oocyst counts or showed any clinical signs of coccidiosis (data not shown), but this finding does suggest that non-pathogenic Eimeria were prevalent in this study.
Microbial alpha-diversity (Shannon diversity) of samples derived from the TIMS of the ST and RT groups was significantly decreased compared to those from the SUT and RUT groups, suggesting that in this location, MPTL treatment affects microbial diversity irrespective of whether the parasite infection was successfully treated or not. This is suggestive of a drug (MPTL) effect on some microbial species in the terminal ileum mucosa. However, compositional (beta) diversity was affected by whether the infection was maintained, and these differences were strongly correlated to worm burden, a result consistent with that obtained from the RF samples. Unlike in faeces (where worm burden was strongly negatively correlated with the abundance of Actinobacteria), the abundances of Bacteroidetes and Fibrobacteres were positively correlated with worm burden in TIMS samples, while a negative correlation with the abundance of Firmicutes was observed.
Genera within the Prevotellaceae, known to be abundant in the rumen of sheep [40], were also biomarkers for nematode infection in both datasets. In contrast, members of the Bifidobacteriaceae were elevated in both TIMS and RF of successfully treated sheep (ST). In the TIMS samples, a single Bifidobacterium ASV (denovo3328) was the second most abundant in the absence of T. circumcincta infection (although under the threshold level). Bifidobacteria are abundant members of the gastrointestinal tract in mammals, and are thought to be acquired via maternal transmission in milk [41]. Three published studies support our finding, describing the identification of Bifidobacteria in sheep and the use of this microorganism as a potential probiotic. [42,43,44] In humans, they are generally thought to be a marker of good gut health [41].
Although the direct effects of MPTL on the microbiota of sheep are not well characterised, in this study, we were unable to detect differences in the RF samples due to MPTL application per se. However, there was a small but significant decrease in diversity of the microbiota in TIMS samples from sheep treated with MPTL compared to the untreated sheep, and a compositional effect additional to that caused by the successful eradication of helminths. This suggests that using RF as a surrogate for TIMS, may in some cases, not truly reflect the effects occurring. The effect in TIMS may be a direct effect on the microbial community in this specific area of the terminal ileum, but, as with other anthelmintics, the effect may also be immunological and/or physiological [2,6,7,8,9,45]. The implications of this finding suggest that faecal samples represent microbial populations (including parasitic nematodes) that are released to the environment for potential transmission to other susceptible animals, while those identified in the terminal ileum mucosa are those likely to be affecting the individual animal’s health, growth and welfare. There is some inconsistency in the literature regarding the effect of helminth infection on microbial alpha-diversity in the gut. The increase in microbial diversity described here is consistent with a study of helminth-colonised humans in Malaysia [46], whereas controlled studies of Trichuris muris infection in mice [47,48] suggest an association between helminth infection and decreased microbial diversity. There is also a divergence between these studies and our results in terms of the beta-diversity changes associated with helminth infection and clearance, which may be due to a number of factors, including the different mammalian hosts, parasite species and conditions (natural versus experimental) studied.
Treatment and clearance of the parasitic infection with the drug mebendazole enabled partial restoration of microbial alpha- and beta-diversity in infected animals, providing evidence that the parasitic infection was responsible for the induction and maintenance of the altered microbiota [47]. While universal changes in richness and taxonomic composition due to helminth infection across multiple hosts and parasite species are unlikely to be found, this study provided further evidence that these parasites cause changes in the gut microbiota in murine, ovine and human systems, which can be resolved by drug treatment.
5. Conclusions
In conclusion, we found microbiota variation in the ovine gut to be niche specific, as the microbiota sampled from the TIMS samples not only had reduced richness but were also much more variable between individual sheep when compared to the RF samples. However, in spite of this, biomarkers were identified common to both the TIMS samples and the RF samples distinguishing sheep with helminth infection from those that cleared infection using anthelmintic treatment (as determined by worm burden estimation). Specifically, the potentially beneficial genus Bifidobacterium was identified in successfully treated animals. In future studies, a longitudinal investigation of changes in the microbiota of artificially or naturally infected animals with parasites and/or pathogenic bacteria, alongside uninfected control groups of animals, should help clarify the causal relationship between infection, treatment and microbial composition. However, it is important to be aware that other host (including diet) and treatment factors may also play a part in alterations of the microbiota [49]. Further work will consider how the introduction of helminths (both experimentally and on pasture) can also alter the metabolome profiles within the intestine and the effect on the immune system [13,50].
Understanding the dynamic mechanisms required to sustain and control the balance between pathogenic, beneficial and commensal microbial communities within the gastrointestinal tract will enable progress in the discovery and development of new therapeutic reagents based on beneficial microorganisms and/or their excreted/secreted products to restore dysfunctional microbiotas or prevent the destabilisation of the microbiota by invading pathogens or opportunistic commensal bacteria [51,52]. These novel microbiota-based treatments will be particularly relevant to facing the problems of emerging multidrug anthelmintic resistance.
6. Limitations
As alluded to, the main limitation of this study is that there was no uninfected/untreated control group of sheep. The general limitations of these data are, therefore, acknowledged. However, the original design intentionally focused on considering the comparative differences in the response of anthelmintic treatment between nematode infections that were sensitive and resistant to the treatment only. An uninfected control group was not included in the original design of this experiment in order to reduce the number of animals needed and the financial cost. Ideally, a more comprehensive sampling before infection may have provided a more accurate and precise indication of the inherent variability between uninfected/untreated animals and differences between these control animals and those infected and treated. In the author’s opinion, this does not significantly affect the comparative nature of this research project and the findings described.
Supplementary Materials
The following are available online at https://www.mdpi.com/article/10.3390/ruminants1010003/s1, Figure S1: Relative abundance plots of taxonomic orders in RF samples and TIMS samples: Table S1: 16S V4 sequence depth data.
Author Contributions
Conceptualization involved C.A.W., D.J.B., and A.F.; methodology, C.A.W., B.G.E., B.Y., T.R.-W., A.A.M., M.J.R.S., F.S., L.A., and A.F.; software, A.F., T.R.-W., and F.S.; validation, C.A.W., D.J.B., and A.F.; formal analysis C.A.W., D.J.B., and A.F.; investigation, C.A.W., D.J.B., B.G.E., B.Y., M.J.R.S., F.S., and A.F.; resources, C.A.W., D.J.B., A.A.M., L.A., and A.F.; data curation, C.A.W., D.J.B., B.G.E., M.J.R.S., and A.F.; writing—original draft preparation, C.A.W.; writing—review and editing, C.A.W., D.J.B., and A.F.; visualization, C.A.W., D.J.B., and A.F.; supervision, C.A.W., D.J.B., and A.F.; project administration, C.A.W., D.J.B., and A.F.; funding acquisition, C.A.W., D.J.B., and A.F. All authors have read and agreed to the published version of the manuscript.
Funding
We gratefully acknowledge funding from The Scottish Government’s Rural and Environment Science and Analytical Services Division (RESAS) and the M.Sc. Biotechnology programme of the University of Edinburgh. B.Y. was supported by the Erasmus Programme, and M.J.R.S. was supported by the Xunta de Galicia under the Galeuropa programme.
Institutional Review Board Statement
The study was conducted according to the guidelines of the Declaration of Helsinki and approved by the Ethics Committee of Moredun Research Institute. Ethics and approval for all experimental procedures described were approved by the Moredun Research Institute Experiments and Ethics Committee and performed under the legislation of a UK Home Office License (reference PPL 60/03899), complying with the Animals (Scientific Procedures) Act 1986.
Informed Consent Statement
Not applicable.
Data Availability Statement
Data supporting reported sequencing data and metadata were uploaded at the European Nucleotide Archive (ENA) and are publicly available at the European Bioinformatics Institute (EBI); study accession number PRJEB24185. http://www.ebi.ac.uk/ena/data/view/PRJEB24185 (accession date: 4 January 2018).
Acknowledgments
We are grateful to the Bioservices Division, Moredun Research Institute, for expert care and assistance with animals.
Conflicts of Interest
The authors declare no conflict of interest.
References
- Li, R.W.; Wu, S.; Li, W.; Huang, Y.; Gasbarre, L.C. Metagenome plasticity of the bovine abomasal microbiota in immune animals in response to Ostertagia ostertagi infection. PLoS ONE 2011, 6, e24417. [Google Scholar] [CrossRef] [PubMed]
- Kamada, N.; Chen, G.Y.; Inohara, N.; Nunez, G. Control of pathogens and pathobionts by the gut microbiota. Nat. Immunol. 2013, 14, 685–690. [Google Scholar] [CrossRef]
- Buffie, C.G.; Pamer, E.G. Microbiota-mediated colonization resistance against intestinal pathogens. Nat. Rev. Immunol. 2013, 13, 790–801. [Google Scholar] [CrossRef]
- Hooper, L.V.; Macpherson, A.J. Immune adaptations that maintain homeostasis with the intestinal microbiota. Nat. Rev. Immunol. 2010, 10, 159–169. [Google Scholar] [CrossRef] [PubMed]
- Hooper, L.V.; Littman, D.R.; Macpherson, A.J. Interactions between the microbiota and the immune system. Science 2012, 336, 1268–1273. [Google Scholar] [CrossRef] [PubMed]
- Crosa, J.H.; Walsh, C.T. Genetics and assembly line enzymology of siderophore bi-osynthesis in bacteria. Microbiol. Mol. Biol. Rev. MMBR 2002, 66, 223–249. [Google Scholar] [CrossRef]
- Giel, J.L.; Sorg, J.A.; Sonenshein, A.L.; Zhu, J. Metabolism of bile salts in mice influences spore germination in Clostridium difficile. PLoS ONE 2010, 5, e8740. [Google Scholar] [CrossRef]
- Le Bouguenec, C.; Schouler, C. Sugar metabolism, an additional virulence factor in enterobacteria. Int. J. Med Microbiol. 2011, 301, 1–6. [Google Scholar] [CrossRef]
- Kamada, N.; Kim, Y.G.; Sham, H.P.; Vallance, B.A.; Puente, J.L.; Martens, E.C.; Nunez, G. Regulated virulence controls the ability of a pathogen to compete with the gut microbiota. Science 2012, 336, 1325–1329. [Google Scholar] [CrossRef]
- Li, R.W.; Li, W.; Sun, J.; Yu, P.; Baldwin, R.L.; Urban, J.F. The effect of helminth infection on the microbial composition and structure of the caprine abomasal microbiome. Sci. Rep. 2016, 6, 20606. [Google Scholar] [CrossRef]
- Stephenson, L.S.; Latham, M.C.; Ottesen, E.A. Malnutrition and parasitic helminth infections. Parasitology 2000, 121, S23–S38. [Google Scholar] [CrossRef]
- Lwanga, F.; Kirunda, B.E.; Orach, C.G. Intestinal helminth infections and nutritional status of children attending primary schools in Wakiso District, Central Uganda. Int. J. Environ. Res. Public Health 2012, 9, 2910–2921. [Google Scholar] [CrossRef]
- Zaiss, M.M.; Harris, N.L. Interactions between the intestinal microbiome and helminth parasites. Parasite Immunol. 2016, 38, 5–11. [Google Scholar] [CrossRef]
- Jolles, A.E.; Ezenwa, V.O. Ungulates as model systems for the study of disease processes in natural populations. J. Mammal. 2015, 96, 4–15. [Google Scholar] [CrossRef]
- Kaevska, M.; Videnska, P.; Sedlar, K.; Bartejsova, I.; Kralova, A.; Slana, I. Faecal bacterial composition in dairy cows shedding Mycobacterium avium subsp. paratuberculosis in faeces in comparison with nonshedding cows. Can. J. Microbiol. 2016, 62, 538–541. [Google Scholar] [CrossRef]
- Burgess, C.G.; Bartley, Y.; Redman, E.; Skuce, P.J.; Nath, M.; Whitelaw, F.; Tait, A.; Gilleard, J.S.; Jackson, F. A survey of the trichostrongylid nematode species present on UK sheep farms and associated anthelmintic control practices. Vet. Parasitol. 2012, 189, 299–307. [Google Scholar] [CrossRef]
- McKellar, Q.A. Interactions of Ostertagia species with their bovine and ovine hosts. Int. J. Parasitol. 1993, 23, 451–462. [Google Scholar] [CrossRef]
- Simpson, H.V. Pathophysiology of abomasal parasitism: Is the host or parasite responsible? Vet. J. 2000, 160, 177–191. [Google Scholar] [CrossRef]
- McNeilly, T.N.; Rocchi, M.; Bartley, Y.; Brown, J.K.; Frew, D.; Longhi, C.; McLean, L.; McIntyre, J.; Nisbet, A.J.; Wattegedera, S.; et al. Suppression of ovine lymphocyte activation by Teladorsagia circumcincta larval excretory-secretory products. Vet. Res. 2013, 44, 70. [Google Scholar] [CrossRef]
- Bartley, D.J.; Donnan, A.A.; Jackson, E.; Sargison, N.; Mitchell, G.B.; Jackson, F. A small scale survey of ivermectin resistance in sheep nematodes using the faecal egg count reduction test on samples collected from Scottish sheep. Vet. Parasitol. 2006, 137, 112–118. [Google Scholar] [CrossRef]
- Kaplan, R.M.; Vidyashankar, A.N. An inconvenient truth: Global worming and anthelmintic resistance. Vet. Parasitol. 2012, 186, 70–78. [Google Scholar] [CrossRef]
- Caporaso, J.G.; Lauber, C.L.; Walters, W.A.; Berg-Lyons, D.; Lozupone, C.A.; Turnbaugh, P.J.; Fierer, N.; Knight, R. Global patterns of 16S rRNA diversity at a depth of millions of sequences per sample. Proc. Natl. Acad. Sci. USA 2011, 108, 4516–4522. [Google Scholar] [CrossRef]
- Bartley, D.J.; Devin, L.; Nath, M.; Morrison, A.A. Selection and characterisation of monepantel resistance in Teladorsagia circumcincta isolates. Int. J. Parasitol. Drugs Drug Resist. 2015, 5, 69–76. [Google Scholar] [CrossRef]
- Patterson, D.M.; Jackson, F.; Huntley, J.F.; Stevenson, L.M.; Jones, D.G.; Jackson, E.; Russel, A.J. The response of breeding doses to nematodiasis: Segregation into “responders” and “non-responders”. Int. J. Parasitol. 1996, 26, 1295–1303. [Google Scholar] [CrossRef]
- Caporaso, J.G.; Lauber, C.L.; Walters, W.A.; Berg-Lyons, D.; Huntley, J.; Fierer, N.; Owens, S.M.; Betley, J.; Fraser, L.; Bauer, M.; et al. Ultra-high-throughput microbial community analysis on the Illumina HiSeq and MiSeq platforms. ISME J. 2012, 6, 1621–1624. [Google Scholar] [CrossRef]
- Padua, R.A.; Parrado, A.; Larghero, J.; Chomienne, C. UV and clean air result in contamination-free PCR. Leukemia 1999, 13, 1898–1899. [Google Scholar] [CrossRef][Green Version]
- Bolyen, E.; Rideout, J.R.; Dillon, M.R.; Bokulich, N.A.; Abnet, C.; Al-Ghalith, G.A.; Alexander, H.; Alm, E.J.; Arumugam, M.; Asnicar, F.; et al. QIIME 2: Reproducible, interactive, scalable, and extensible microbiome data science. PeerJ Prepr. 2018, 6, e27295v27292. [Google Scholar] [CrossRef] [PubMed]
- Rognes, T.; Flouri, T.; Nichols, B.; Quince, C.; Mahé, F. VSEARCH: A versatile open source tool for metagenomics. PeerJ 2016, 4, e2584. [Google Scholar] [CrossRef]
- Kozich, J.J.; Westcott, S.L.; Baxter, N.T.; Highlander, S.K.; Schloss, P.D. Development of a dual-index sequencing strategy and curation pipeline for analyzing amplicon sequence data on the MiSeq Illumina sequencing platform. Appl. Environ. Microbiol. 2013, 79, 5112–5120. [Google Scholar] [CrossRef]
- Amir, A.; McDonald, D.; Navas-Molina, J.A.; Kopylova, E.; Morton, J.T.; Zech Xu, Z.; Kightley, E.P.; Thompson, L.R.; Hyde, E.R.; Gonzalez, A.; et al. Deblur Rapidly Resolves Single-Nucleotide Community Sequence Patterns. mSystems 2017, 2, e00191-16. [Google Scholar] [CrossRef]
- Quast, C.; Pruesse, E.; Yilmaz, P.; Gerken, J.; Schweer, T.; Yarza, P.; Peplies, J.; Glockner, F.O. The SILVA ribosomal RNA gene database project: Improved data processing and web-based tools. Nucleic Acids Res. 2013, 41, D590–D596. [Google Scholar] [CrossRef]
- Bokulich, N.A.; Kaehler, B.D.; Rideout, J.R.; Dillon, M.; Bolyen, E.; Knight, R.; Huttley, G.A.; Gregory Caporaso, J. Optimizing taxonomic classification of marker-gene amplicon sequences with QIIME 2’s q2-feature-classifier plugin. Microbiome 2018, 6, 90. [Google Scholar] [CrossRef]
- Lozupone, C.; Knight, R. UniFrac: A new phylogenetic method for comparing microbial communities. Appl. Environ. Microbiol. 2005, 71, 8228–8235. [Google Scholar] [CrossRef] [PubMed]
- Anderson, M.J.; Gorely, R.N.; Clarke, K.R. PERMANOVA+ PRIMER: Guide to Software and Statistical Methods; Primer-E: Plymouth, UK, 2008. [Google Scholar]
- Mandal, S.; Van Treuren, W.; White, R.A.; Eggesbø, M.; Knight, R.; Peddada, S.D. Analysis of composition of microbiomes: A novel method for studying microbial composition. Microb. Ecol. Health Dis. 2015, 26, 27663. [Google Scholar] [CrossRef] [PubMed]
- Weiss, S.; Xu, Z.Z.; Peddada, S.; Amir, A.; Bittinger, K.; Gonzalez, A.; Lozupone, C.; Zaneveld, J.R.; Vazquez-Baeza, Y.; Birmingham, A.; et al. Normalization and microbial differential abundance strategies depend upon data characteristics. Microbiome 2017, 5, 27. [Google Scholar] [CrossRef]
- Douglas, J.L.; Worgan, H.J.; Easton, G.L.; Poret, L.; Wolf, B.T.; Edwards, A.; Davies, E.; Ross, D.; McEwan, N.R. Microbial diversity in the digestive tract of two different breeds of sheep. J. Appl. Microbiol. 2016, 120, 1382–1389. [Google Scholar] [CrossRef] [PubMed]
- Moore, R.J.; Stanley, D. Experimental design considerations in microbiota/inflammation studies. Clin. Transl. Immunol. 2016, 5, e92. [Google Scholar] [CrossRef]
- Andrews, A. Some aspects of coccidiosis in sheep and goats. Small Rumin. Res. 2013, 110, 93–95. [Google Scholar] [CrossRef]
- Stiverson, J.; Morrison, M.; Yu, Z. Populations of select cultured and uncultured bacteria in the rumen of sheep and the effect of diets and ruminal fractions. Int. J. Microbiol. 2011, 2011, 750613. [Google Scholar] [CrossRef]
- Turroni, F.; van Sinderen, D.; Ventura, M. Genomics and ecological overview of the genus Bifidobacterium. Int. J. Food Microbiol. 2011, 149, 37–44. [Google Scholar] [CrossRef]
- Milani, C.; Mangifesta, M.; Mancabelli, L.; Lugli, G.A.; James, K.; Duranti, S.; Turroni, F.; Ferrario, C.; Ossiprandi, M.C.; van Sinderen, D.; et al. Unveiling bifidobacterial biogeography across the mammalian branch of the tree of life. ISME J. 2017, 11, 2834–2847. [Google Scholar] [CrossRef]
- Bunesova, V.; Vlková, E.; Killer, J.; Rada, V.; Ročková, S. Identification of Bifidobacterium strains from faeces of lambs. Small Rumin. Res. 2012, 105, 355–360. [Google Scholar] [CrossRef]
- Vlková, E.; Grmanová, M.; Rada, V.; Homutová, I.; Dubná, S. Selection of probiotic Bifidobacteria for lambs. Czech J. Anim. Sci. 2009, 54, 552–565. [Google Scholar] [CrossRef]
- Cortés, A.; Wills, J.; Su, X.; Hewitt, R.E.; Robertson, J.; Scotti, R.; Price, D.R.G.; Bartley, Y.; McNeilly, T.M.; Krause, L.; et al. Infection with the sheep gastrointestinal nematode Teladorsagia circumcincta increases luminal pathobionts. Microbiome 2020, 8, 60. [Google Scholar] [CrossRef] [PubMed]
- Lee, S.C.; Tang, M.S.; Lim, Y.A.; Choy, S.H.; Kurtz, Z.D.; Cox, L.M.; Gundra, U.M.; Cho, I.; Bonneau, R.; Blaser, M.J.; et al. Helminth colonization is associated with increased diversity of the gut microbiota. PLoS Negl. Trop. Dis. 2014, 8, e2880. [Google Scholar] [CrossRef] [PubMed]
- Holm, J.B.; Sorobetea, D.; Kiilerich, P.; Ramayo-Caldas, Y.; Estelle, J.; Ma, T.; Madsen, L.; Kristiansen, K.; Svensson-Frej, M. Chronic Trichuris muris Infection Decreases Diversity of the Intestinal Microbiota and Concomitantly Increases the Abundance of Lactobacilli. PLoS ONE 2015, 10, e0125495. [Google Scholar] [CrossRef] [PubMed]
- Houlden, A.; Hayes, K.S.; Bancroft, A.J.; Worthington, J.J.; Wang, P.; Grencis, R.K.; Roberts, I.S. Chronic Trichuris muris Infection in C57BL/6 Mice Causes Significant Changes in Host Microbiota and Metabolome: Effects Reversed by Pathogen Clearance. PLoS ONE 2015, 10, e0125945. [Google Scholar] [CrossRef] [PubMed]
- Preidis, G.A.; Hotez, P.J. The newest “omics”—metagenomics and metabolomics--enter the battle against the neglected tropical diseases. PLoS Negl. Trop. Dis. 2015, 9, e0003382. [Google Scholar] [CrossRef]
- Brestoff, J.R.; Artis, D. Commensal bacteria at the interface of host metabolism and the immune system. Nat. Immunol. 2013, 14, 676–684. [Google Scholar] [CrossRef]
- Broadhurst, M.J.; Ardeshir, A.; Kanwar, B.; Mirpuri, J.; Gundra, U.M.; Leung, J.M.; Wiens, K.E.; Vujkovic-Cvijin, I.; Kim, C.C.; Yarovinsky, F.; et al. Therapeutic helminth infection of macaques with idiopathic chronic diarrhea alters the inflammatory signature and mucosal microbiota of the colon. PLoS Pathog. 2012, 8, e1003000. [Google Scholar] [CrossRef]
- Ubeda, C.; Djukovic, A.; Isaac, S. Roles of the intestinal microbiota in pathogen protection. Clin. Transl. Immunol. 2017, 6, e128. [Google Scholar] [CrossRef] [PubMed]
Publisher’s Note: MDPI stays neutral with regard to jurisdictional claims in published maps and institutional affiliations. |
© 2021 by the authors. Licensee MDPI, Basel, Switzerland. This article is an open access article distributed under the terms and conditions of the Creative Commons Attribution (CC BY) license (https://creativecommons.org/licenses/by/4.0/).



