Earthworm (Eisenia andrei)-Mediated Degradation of Commercial Compostable Bags and Potential Toxic Effects
Abstract
1. Introduction
2. Materials and Methods
2.1. Source, Preparation and Characterization of Commercial Compostable Plastic Bags
2.2. Degradation Test
2.3. Lepidium sativum Seedling Emergence Test
2.4. Chronic Toxicity Test with Eisenia andrei
2.5. Statistical Analysis
3. Results
3.1. Characterization of Commercial Plastic Bags
3.2. Degradation of Commercial Plastic Bags
| Short Code ID | Full Code ID | Appearance | Composition According to Supplier | FTIR-ATR Analysis | % Match | Σ Phthalates (µmol/g) | Certification/Labeling |
|---|---|---|---|---|---|---|---|
| 069 | 069-LPB-Bag Pbat | ![]() | PBAT with cornstarch | Terephthalate polyester | 86.60 | 2768 | Certified EN-13432 and “home” compostable by TÜV (Austria) [40] |
| 070 | 070_LBP_BagBioTuf | ![]() | PBAT + PHA | Terephthalate polyester + talc + other esters | 83.37 | 3876 | BPI certified compostable. Conforms to ASTM D6400 Standard [41] |
| 072 | 072_LBP_BagBrown | ![]() | Mater-Bi + cornstarch | Terephthalate polyester + other esters | 84.32 | 2255 | Certified compostable by TÜV (Austria) (S2096) [42] |
| 073 | 073_LBP_BagBio100 | ![]() | PBAT with potato starch | Terephthalate polyester + other esters | 85.18 | 1037 | Certified EN-13432 and “home” compostable by TÜV (Austria) [40] |
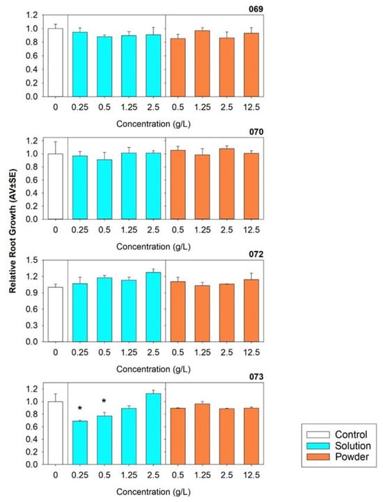
3.3. Response of Lepidium sativum to Microplastics and Leachates from Commercial Plastic Bags
3.4. Earthworm Response to Microplastics from Commercial Plastic Bags
3.5. Multivariate Analysis
4. Discussion
5. Conclusions
Supplementary Materials
Author Contributions
Funding
Institutional Review Board Statement
Informed Consent Statement
Data Availability Statement
Acknowledgments
Conflicts of Interest
References
- Pinto da Costa, J.; Paço, A.; Santos, P.S.M.; Duarte, A.C.; Rocha-Santos, T. Microplastics in Soils: Assessment, Analytics and Risks. Environ. Chem. 2019, 16, 18. [Google Scholar] [CrossRef]
- Prata, J.C.; Silva, A.L.P.; da Costa, J.P.; Mouneyrac, C.; Walker, T.R.; Duarte, A.C.; Rocha-Santos, T. Solutions and Integrated Strategies for the Control and Mitigation of Plastic and Microplastic Pollution. Int. J. Environ. Res. Public Health 2019, 16, 2411. [Google Scholar] [CrossRef] [PubMed]
- Flury, M.; Narayan, R. Biodegradable Plastic as an Integral Part of the Solution to Plastic Waste Pollution of the Environment. Curr. Opin. Green Sustain. Chem. 2021, 30, 100490. [Google Scholar] [CrossRef]
- Witt, U.; Einig, T.; Yamamoto, M.; Kleeberg, I. Biodegradation of Aliphatic-aromatic Copolyesters: Evaluation of the Final Biodegradability and Ecotoxicological Impact of Degradation Intermediates. Chemosphere 2001, 44, 289–299. [Google Scholar] [CrossRef] [PubMed]
- García-Depraect, O.; Bordel, S.; Lebrero, R.; Santos-Beneit, F.; Börner, R.A.; Börner, T.; Muñoz, R. Inspired by Nature: Microbial Production, Degradation and Valorization of Biodegradable Bioplastics for Life-Cycle-Engineered Products. Biotechnol. Adv. 2021, 53, 107772. [Google Scholar] [CrossRef] [PubMed]
- Syberg, K.; Nielsen, M.B.; Westergaard Clausen, L.P.; van Calster, G.; van Wezel, A.; Rochman, C.; Koelmans, A.A.; Cronin, R.; Pahl, S.; Hansen, S.F. Regulation of Plastic from a Circular Economy Perspective. Curr. Opin. Green Sustain. Chem. 2021, 29, 100462. [Google Scholar] [CrossRef]
- Accinelli, C.; Abbas, H.K.; Bruno, V.; Khambhati, V.H.; Little, N.S.; Bellaloui, N.; Shier, W.T. Field Studies on the Deterioration of Microplastic Films from Ultra-Thin Compostable Bags in Soil. J. Environ. Manag. 2022, 305, 114407. [Google Scholar] [CrossRef] [PubMed]
- Xu, Z.; Xiong, X.; Zhao, Y.; Xiang, W.; Wu, C. Pollutants Delivered Every Day: Phthalates in Plastic Express Packaging Bags and Their Leaching Potential. J. Hazard. Mater. 2020, 384, 121282. [Google Scholar] [CrossRef] [PubMed]
- Uribe-Echeverría, T.; Beiras, R. Acute Toxicity of Bioplastic Leachates to Paracentrotus Lividus Sea Urchin Larvae. Mar. Environ. Res. 2022, 176, 105605. [Google Scholar] [CrossRef]
- Rosenboom, J.-G.; Langer, R.; Traverso, G. Bioplastics for a Circular Economy. Nat. Rev. Mater. 2022, 7, 117–137. [Google Scholar] [CrossRef]
- Barbale, M.; Chinaglia, S.; Gazzilli, A.; Pischedda, A.; Pognani, M.; Tosin, M.; Degli-Innocenti, F. Hazard Profiling of Compostable Shopping Bags. Towards an Ecological Risk Assessment of Littering. Polym. Degrad. Stab. 2021, 188, 109592. [Google Scholar] [CrossRef]
- Guo, J.-J.; Huang, X.-P.; Xiang, L.; Wang, Y.-Z.; Li, Y.-W.; Li, H.; Cai, Q.-Y.; Mo, C.-H.; Wong, M.-H. Source, Migration and Toxicology of Microplastics in Soil. Environ. Int. 2020, 137, 105263. [Google Scholar] [CrossRef] [PubMed]
- Weng, Y.-X.; Jin, Y.-J.; Meng, Q.-Y.; Wang, L.; Zhang, M.; Wang, Y.-Z. Biodegradation Behavior of Poly(Butylene Adipate-Co-Terephthalate) (PBAT), Poly(Lactic Acid) (PLA), and Their Blend under Soil Conditions. Polym. Test. 2013, 32, 918–926. [Google Scholar] [CrossRef]
- César, M.E.F.; Mariani, P.D.S.C.; Innocentini-Mei, L.H.; Cardoso, E.J.B.N. Particle Size and Concentration of Poly(ɛ-Caprolactone) and Adipate Modified Starch Blend on Mineralization in Soils with Differing Textures. Polym. Test. 2009, 28, 680–687. [Google Scholar] [CrossRef]
- Wohlleben, W.; Rückel, M.; Meyer, L.; Pfohl, P.; Battagliarin, G.; Hüffer, T.; Zumstein, M.; Hofmann, T. Fragmentation and Mineralization of a Compostable Aromatic–Aliphatic Polyester during Industrial Composting. Environ. Sci. Technol. Lett. 2023, 10, 698–704. [Google Scholar] [CrossRef]
- Ruggero, F.; Onderwater, R.C.A.; Carretti, E.; Roosa, S.; Benali, S.; Raquez, J.-M.; Gori, R.; Lubello, C.; Wattiez, R. Degradation of Film and Rigid Bioplastics during the Thermophilic Phase and the Maturation Phase of Simulated Composting. J. Polym. Environ. 2021, 29, 3015–3028. [Google Scholar] [CrossRef]
- Lwanga, E.H.; Beriot, N.; Corradini, F.; Silva, V.; Yang, X.; Baartman, J.; Rezaei, M.; van Schaik, L.; Riksen, M.; Geissen, V. Review of Microplastic Sources, Transport Pathways and Correlations with Other Soil Stressors: A Journey from Agricultural Sites into the Environment. Chem. Biol. Technol. Agric. 2022, 9, 20. [Google Scholar] [CrossRef]
- Gómez-Brandón, M.; Domínguez, J. Recycling of Solid Organic Wastes Through Vermicomposting: Microbial Community Changes throughout the Process and Use of Vermicompost as a Soil Amendment. Crit. Rev. Environ. Sci. Technol. 2014, 44, 1289–1312. [Google Scholar] [CrossRef]
- Domínguez, J.; Gómez-Brandón, M.; Martínez-Cordeiro, H.; Lores, M. Bioconversion of Scotch Broom into a High-Quality Organic Fertiliser: Vermicomposting as a Sustainable Option. Waste Manag. Res. 2018, 36, 1092–1099. [Google Scholar] [CrossRef]
- Rillig, M.C.; Ziersch, L.; Hempel, S. Microplastic Transport in Soil by Earthworms. Sci. Rep. 2017, 7, 1362. [Google Scholar] [CrossRef]
- Huerta Lwanga, E.; Mendoza Vega, J.; Ku Quej, V.; Chi, J.D.L.A.; Sanchez del Cid, L.; Chi, C.; Escalona Segura, G.; Gertsen, H.; Salánki, T.; van der Ploeg, M.; et al. Field Evidence for Transfer of Plastic Debris along a Terrestrial Food Chain. Sci. Rep. 2017, 7, 14071. [Google Scholar] [CrossRef]
- Ragoobur, D.; Huerta-Lwanga, E.; Somaroo, G.D. Reduction of Microplastics in Sewage Sludge by Vermicomposting. Chem. Eng. J. 2022, 450, 138231. [Google Scholar] [CrossRef]
- Liwarska-Bizukojc, E.; Bernat, P.; Jasińska, A. Effect of Bio-Based Microplastics on Earthworms Eisenia andrei. Sci. Total Environ. 2023, 898, 165423. [Google Scholar] [CrossRef]
- Rodriguez-Seijo, A.; Lourenço, J.; Rocha-Santos, T.A.P.; da Costa, J.; Duarte, A.C.; Vala, H.; Pereira, R. Histopathological and Molecular Effects of Microplastics in Eisenia andrei Bouché. Environ. Pollut. 2017, 220, 495–503. [Google Scholar] [CrossRef] [PubMed]
- Tourinho, P.S.; Loureiro, S.; Talluri, V.S.S.L.P.; Dolar, A.; Verweij, R.; Chvojka, J.; Michalcová, A.; Kočí, V.; van Gestel, C.A.M. Microplastic Fibers Influence Ag Toxicity and Bioaccumulation in Eisenia andrei but Not in Enchytraeus crypticus. Ecotoxicology 2021, 30, 1216–1226. [Google Scholar] [CrossRef] [PubMed]
- Bosker, T.; Bouwman, L.J.; Brun, N.R.; Behrens, P.; Vijver, M.G. Microplastics Accumulate on Pores in Seed Capsule and Delay Germination and Root Growth of the Terrestrial Vascular Plant Lepidium sativum. Chemosphere 2019, 226, 774–781. [Google Scholar] [CrossRef] [PubMed]
- Pflugmacher, S.; Sulek, A.; Mader, H.; Heo, J.; Noh, J.H.; Penttinen, O.-P.; Kim, Y.; Kim, S.; Esterhuizen, M. The Influence of New and Artificial Aged Microplastic and Leachates on the Germination of Lepidium sativum L. Plants 2020, 9, 339. [Google Scholar] [CrossRef] [PubMed]
- Pignattelli, S.; Broccoli, A.; Piccardo, M.; Felline, S.; Terlizzi, A.; Renzi, M. Short-Term Physiological and Biometrical Responses of Lepidium sativum Seedlings Exposed to PET-Made Microplastics and Acid Rain. Ecotoxicol. Environ. Saf. 2021, 208, 111718. [Google Scholar] [CrossRef]
- Liwarska-Bizukojc, E. Effect of Innovative Bio-Based Plastics on Early Growth of Higher Plants. Polymers 2023, 15, 438. [Google Scholar] [CrossRef]
- Okoffo, E.D.; O’Brien, S.; Ribeiro, F.; Burrows, S.D.; Toapanta, T.; Rauert, C.; O’Brien, J.W.; Tscharke, B.J.; Wang, X.; Thomas, K.V. Plastic Particles in Soil: State of the Knowledge on Sources, Occurrence and Distribution, Analytical Methods and Ecological Impacts. Environ. Sci. Process. Impacts 2021, 23, 240–274. [Google Scholar] [CrossRef]
- Yu, M.; van der Ploeg, M.; Lwanga, E.H.; Yang, X.; Zhang, S.; Ma, X.; Ritsema, C.J.; Geissen, V. Leaching of Microplastics by Preferential Flow in Earthworm (Lumbricus terrestris) Burrows. Environ. Chem. 2019, 16, 31. [Google Scholar] [CrossRef]
- ISO 18763:2016; ISO Soil Quality—Determination of the Toxic Effects of Pollutants on Germination and Early Growth of Higher Plants. ISO (International Organization for Standardization): Geneva, Switzerland, 2016.
- OECD. OECD Guidelines for the Testing of Chemicals (222/2016) Earthworms Reproduction Test (Eisenia fetida/Eisenia andrei), Section 2; OECD Publishing: Paris, France, 2016. [Google Scholar] [CrossRef]
- Sanchez-Hernandez, J.C.; Capowiez, Y.; Ro, K.S. Potential Use of Earthworms to Enhance Decaying of Biodegradable Plastics. ACS Sustain. Chem. Eng. 2020, 8, 4292–4316. [Google Scholar] [CrossRef]
- Sáez, J.A.; Pedraza Torres, A.M.; Blesa Marco, Z.E.; Andreu-Rodríguez, F.J.; Marhuenda-Egea, F.C.; Martínez-Sabater, E.; López, M.J.; Suarez-Estrella, F.; Moral, R. The Effects of Agricultural Plastic Waste on the Vermicompost Process and Health Status of Eisenia fetida. Agronomy 2022, 12, 2547. [Google Scholar] [CrossRef]
- Estoppey, N.; Castro, G.; Slinde, G.A.; Hansen, C.B.; Løseth, M.E.; Krahn, K.M.; Demmer, V.; Svenni, J.; Tran, T.-V.-A.T.; Asimakopoulos, A.G.; et al. Exposure Assessment of Plastics, Phthalate Plasticizers and Their Transformation Products in Diverse Bio-Based Fertilizers. Sci. Total Environ. 2024, 918, 170501. [Google Scholar] [CrossRef] [PubMed]
- Moreno Abril, S.I.; Pin, A.O.; Beiras, R. Effects of Primary Leachates of Conventional and Alternative Plastics in Cyprinodon variegatus Fish Larvae: Endocrine Disruption and Toxicological Responses. Environmental Pollution 2024, 347, 123717. [Google Scholar] [CrossRef] [PubMed]
- Almeda, R.; Gunaalan, K.; Alonso-López, O.; Vilas, A.; Clérandeau, C.; Loisel, T.; Nielsen, T.G.; Cachot, J.; Beiras, R. A Protocol for Lixiviation of Micronized Plastics for Aquatic Toxicity Testing. Chemosphere 2023, 333, 138894. [Google Scholar] [CrossRef]
- Domínguez, J.; Aira, M.; Crandall, K.A.; Pérez-Losada, M. Earthworms Drastically Change Fungal and Bacterial Communities during Vermicomposting of Sewage Sludge. Sci. Rep. 2021, 11, 15556. [Google Scholar] [CrossRef]
- CEN EN-13432:2000; Requirements for Packaging Recoverable through Composting and Biodegradation—Test Scheme and Evaluation Criteria for the Final Acceptance of Packaging. European Commission: Brussels, Belgium, 2000.
- ASTM D6400; Standard Specification for Labeling of Plastics Designed to Be Aerobically Composted in Municipal or Industrial Facilities. ASTM International: West Conshohocken, PA, USA, 2012.
- ÖNORM S 2096-1; Material Flow Analysis—Part 1: Application in Waste Management—Concepts. Austrian Standards International: Vienna, Austria, 2005. Available online: https://www.austrian-standards.at/en/shop/onorm-s-2096-1-2005-01-01~p1453654 (accessed on 2 June 2024).
- Mak, S.L.; Wu, M.Y.T.; Tang, W.F.; Li, C.H.; Chan, T.W. A Review on Mechanical Properties Modification of Polymer with Talc Powder. In Proceedings of the 2021 IEEE International Symposium on Product Compliance Engineering-Asia (ISPCE-ASIA), Taipei, Taiwan, 30 November–1 December 2021; pp. 1–5. [Google Scholar] [CrossRef]
- Tolga, S.; Kabasci, S.; Duhme, M. Progress of Disintegration of Polylactide (PLA)/Poly(Butylene Succinate) (PBS) Blends Containing Talc and Chalk Inorganic Fillers under Industrial Composting Conditions. Polymers 2021, 13, 10. [Google Scholar] [CrossRef]
- Surendren, A.; Pal, A.K.; Rodriguez-Uribe, A.; Shankar, S.; Lim, L.-T.; Mohanty, A.K.; Misra, M. Upcycling of Post-Industrial Starch-Based Thermoplastics and Their Talc-Filled Sustainable Biocomposites for Single-Use Plastic Alternative. Int. J. Biol. Macromol. 2023, 253, 126751. [Google Scholar] [CrossRef]
- Pokhrel, S.; Sigdel, A.; Lach, R.; Slouf, M.; Sirc, J.; Katiyar, V.; Bhattarai, D.R.; Adhikari, R. Starch-Based Biodegradable Film with Poly(Butylene Adipate-Co-Terephthalate): Preparation, Morphology, Thermal and Biodegradation Properties. J. Macromol. Sci. Part A 2021, 58, 610–621. [Google Scholar] [CrossRef]
- Imam, S.H.; Gordon, S.H.; Shogren, R.L.; Tosteson, T.R.; Govind, N.S.; Greene, R.V. Degradation of Starch–Poly(β-Hydroxybutyrate-Co-β-Hydroxyvalerate) Bioplastic in Tropical Coastal Waters. Appl. Environ. Microbiol. 1999, 65, 431–437. [Google Scholar] [CrossRef] [PubMed]
- López-Ibáñez, S.; Beiras, R. Is a Compostable Plastic Biodegradable in the Sea? A Rapid Standard Protocol to Test Mineralization in Marine Conditions. Sci. Total Environ. 2022, 831, 154860. [Google Scholar] [CrossRef] [PubMed]
- Mergaert, J.; Anderson, C.; Wouters, A.; Swings, J.; Kersters, K. Biodegradation of Polyhydroxyalkanoates. FEMS Microbiol. Lett. 1992, 103, 317–321. [Google Scholar] [CrossRef] [PubMed]
- Volova, T.G.; Boyandin, A.N.; Vasil’ev, A.D.; Karpov, V.A.; Kozhevnikov, I.V.; Prudnikova, S.V.; Rudnev, V.P.; Xuån, B.B.; Dũng, V.V.; Gitel’zon, I.I. Biodegradation of Polyhydroxyalkanoates (PHAs) in the South China Sea and Identification of PHA-Degrading Bacteria. Microbiology 2011, 80, 252–260. [Google Scholar] [CrossRef]
- Beltrán-Sanahuja, A.; Casado-Coy, N.; Simó-Cabrera, L.; Sanz-Lázaro, C. Monitoring Polymer Degradation under Different Conditions in the Marine Environment. Environ. Pollut. 2020, 259, 113836. [Google Scholar] [CrossRef] [PubMed]
- Madbouly, S.A.; Schrader, J.A.; Srinivasan, G.; Liu, K.; McCabe, K.G.; Grewell, D.; Graves, W.R.; Kessler, M.R. Biodegradation Behavior of Bacterial-Based Polyhydroxyalkanoate (PHA) and DDGS Composites. Green Chem. 2014, 16, 1911–1920. [Google Scholar] [CrossRef]
- Cui, G.; Lü, F.; Hu, T.; Zhang, H.; Shao, L.; He, P. Vermicomposting Leads to More Abundant Microplastics in the Municipal Excess Sludge. Chemosphere 2022, 307, 136042. [Google Scholar] [CrossRef] [PubMed]
- Domínguez, J.; Aira, M.; Kolbe, A.R.; Gómez-Brandón, M.; Pérez-Losada, M. Changes in the Composition and Function of Bacterial Communities during Vermicomposting May Explain Beneficial Properties of Vermicompost. Sci. Rep. 2019, 9, 9657. [Google Scholar] [CrossRef] [PubMed]
- Yuan, J.; Ma, J.; Sun, Y.; Zhou, T.; Zhao, Y.; Yu, F. Microbial Degradation and Other Environmental Aspects of Microplastics/Plastics. Sci. Total Environ. 2020, 715, 136968. [Google Scholar] [CrossRef]
- Martínez-Campos, S.; González-Pleiter, M.; Fernández-Piñas, F.; Rosal, R.; Leganés, F. Early and Differential Bacterial Colonization on Microplastics Deployed into the Effluents of Wastewater Treatment Plants. Sci. Total Environ. 2021, 757, 143832. [Google Scholar] [CrossRef]
- Pignattelli, S.; Broccoli, A.; Piccardo, M.; Terlizzi, A.; Renzi, M. Effects of Polyethylene Terephthalate (PET) Microplastics and Acid Rain on Physiology and Growth of Lepidium sativum. Environ. Pollut. 2021, 282, 116997. [Google Scholar] [CrossRef] [PubMed]
- Liwarska-Bizukojc, E. Phytotoxicity Assessment of Biodegradable and Non-Biodegradable Plastics Using Seed Germination and Early Growth Tests. Chemosphere 2022, 289, 133132. [Google Scholar] [CrossRef] [PubMed]
- Balestri, E.; Menicagli, V.; Ligorini, V.; Fulignati, S.; Raspolli Galletti, A.M.; Lardicci, C. Phytotoxicity Assessment of Conventional and Biodegradable Plastic Bags Using Seed Germination Test. Ecol. Indic. 2019, 102, 569–580. [Google Scholar] [CrossRef]
- Liwarska-Bizukojc, E. Application of a Small Scale-Terrestrial Model Ecosystem (STME) for Assessment of Ecotoxicity of Bio-Based Plastics. Sci. Total Environ. 2022, 828, 154353. [Google Scholar] [CrossRef] [PubMed]
- Rorat, A.; Suleiman, H.; Grobelak, A.; Grosser, A.; Kacprzak, M.; Płytycz, B.; Vandenbulcke, F. Interactions between Sewage Sludge-Amended Soil and Earthworms—Comparison between Eisenia fetida and Eisenia andrei Composting Species. Environ. Sci. Pollut. Res. 2016, 23, 3026–3035. [Google Scholar] [CrossRef] [PubMed]
- Ding, W.; Li, Z.; Qi, R.; Jones, D.L.; Liu, Q.; Liu, Q.; Yan, C. Effect Thresholds for the Earthworm Eisenia Fetida: Toxicity Comparison between Conventional and Biodegradable Microplastics. Sci. Total Environ. 2021, 781, 146884. [Google Scholar] [CrossRef]
- Zimmermann, L.; Dombrowski, A.; Völker, C.; Wagner, M. Are Bioplastics and Plant-Based Materials Safer than Conventional Plastics? In Vitro Toxicity and Chemical Composition. Environ. Int. 2020, 145, 106066. [Google Scholar] [CrossRef] [PubMed]
- Hodson, M.E.; Duffus-Hodson, C.A.; Clark, A.; Prendergast-Miller, M.T.; Thorpe, K.L. Plastic Bag Derived-Microplastics as a Vector for Metal Exposure in Terrestrial Invertebrates. Environ. Sci. Technol. 2017, 51, 4714–4721. [Google Scholar] [CrossRef]
- Sforzini, S.; Oliveri, L.; Chinaglia, S.; Viarengo, A. Application of Biotests for the Determination of Soil Ecotoxicity after Exposure to Biodegradable Plastics. Front. Environ. Sci. 2016, 4, 68. [Google Scholar] [CrossRef]
- Wang, L.; Peng, Y.; Xu, Y.; Zhang, J.; Liu, C.; Tang, X.; Lu, Y.; Sun, H. Earthworms’ Degradable Bioplastic Diet of Polylactic Acid: Easy to Break Down and Slow to Excrete. Environ. Sci. Technol. 2022, 56, 5020–5028. [Google Scholar] [CrossRef]
- Yu, H.; Shi, L.; Fan, P.; Xi, B.; Tan, W. Effects of Conventional versus Biodegradable Microplastic Exposure on Oxidative Stress and Gut Microorganisms in Earthworms: A Comparison with Two Different Soils. Chemosphere 2022, 307, 135940. [Google Scholar] [CrossRef] [PubMed]
- Novo, M.; Verdú, I.; Trigo, D.; Martínez-Guitarte, J.L. Endocrine Disruptors in Soil: Effects of Bisphenol A on Gene Expression of the Earthworm Eisenia Fetida. Ecotoxicol. Environ. Saf. 2018, 150, 159–167. [Google Scholar] [CrossRef] [PubMed]
- Novo, M.; Muñiz-González, A.B.; Trigo, D.; Casquero, S.; Martínez Guitarte, J.L. Applying Sunscreens on Earthworms: Molecular Response of Eisenia fetida after Direct Contact with an Organic UV Filter. Sci. Total Environ. 2019, 676, 97–104. [Google Scholar] [CrossRef] [PubMed]
- Kwak, J.I.; An, Y.-J. Length- and Polymer-Dependent Ecotoxicities of Microfibers to the Earthworm Eisenia andrei. Comp. Biochem. Physiol. Part C Toxicol. Pharmacol. 2022, 257, 109354. [Google Scholar] [CrossRef] [PubMed]
- Kwak, J.I.; An, Y.-J. Microplastic Digestion Generates Fragmented Nanoplastics in Soils and Damages Earthworm Spermatogenesis and Coelomocyte Viability. J. Hazard. Mater. 2021, 402, 124034. [Google Scholar] [CrossRef]
- Meng, K.; Lwanga, E.H.; van der Zee, M.; Munhoz, D.R.; Geissen, V. Fragmentation and Depolymerization of Microplastics in the Earthworm Gut: A Potential for Microplastic Bioremediation? J. Hazard. Mater. 2023, 447, 130765. [Google Scholar] [CrossRef]





| SS | SCGs | |
|---|---|---|
| pH | 5.48 ± 0.12 | 6.76 ± 0.08 |
| EC (µS/cm) | 592 ± 1.7 | 124 ± 11 |
| % OM | 58.1 ± 0.2 | 93.4 ± 3.8 |
| % humidity | 77.3 ± 1.2 | 71.1 ± 2.0 |
Disclaimer/Publisher’s Note: The statements, opinions and data contained in all publications are solely those of the individual author(s) and contributor(s) and not of MDPI and/or the editor(s). MDPI and/or the editor(s) disclaim responsibility for any injury to people or property resulting from any ideas, methods, instructions or products referred to in the content. |
© 2024 by the authors. Licensee MDPI, Basel, Switzerland. This article is an open access article distributed under the terms and conditions of the Creative Commons Attribution (CC BY) license (https://creativecommons.org/licenses/by/4.0/).
Share and Cite
Mendes, L.A.; Beiras, R.; Domínguez, J. Earthworm (Eisenia andrei)-Mediated Degradation of Commercial Compostable Bags and Potential Toxic Effects. Microplastics 2024, 3, 322-338. https://doi.org/10.3390/microplastics3020020
Mendes LA, Beiras R, Domínguez J. Earthworm (Eisenia andrei)-Mediated Degradation of Commercial Compostable Bags and Potential Toxic Effects. Microplastics. 2024; 3(2):322-338. https://doi.org/10.3390/microplastics3020020
Chicago/Turabian StyleMendes, Luís André, Ricardo Beiras, and Jorge Domínguez. 2024. "Earthworm (Eisenia andrei)-Mediated Degradation of Commercial Compostable Bags and Potential Toxic Effects" Microplastics 3, no. 2: 322-338. https://doi.org/10.3390/microplastics3020020
APA StyleMendes, L. A., Beiras, R., & Domínguez, J. (2024). Earthworm (Eisenia andrei)-Mediated Degradation of Commercial Compostable Bags and Potential Toxic Effects. Microplastics, 3(2), 322-338. https://doi.org/10.3390/microplastics3020020





