Response-Surface-Based Optimization of Pyrolysis Parameters for Enhanced Fixed-Carbon Content and High Heating Value of Pili (Canarium ovatum Engl.) Nutshell-Derived Biochar
Abstract
1. Introduction
2. Materials and Methods
2.1. Sample Preparation
2.2. Experimental Setup and Design
2.3. Analytical Methods
3. Results and Discussion
3.1. Pili Nutshell Composition and Characteristics
3.2. Biochar Production Efficiency
3.3. Model Development and Statistical Analysis Using Response Surface Methodology
3.3.1. Model Fitting and Regression Analysis for Fixed Carbon
3.3.2. Model Fitting and Regression Analysis for High Heating Value
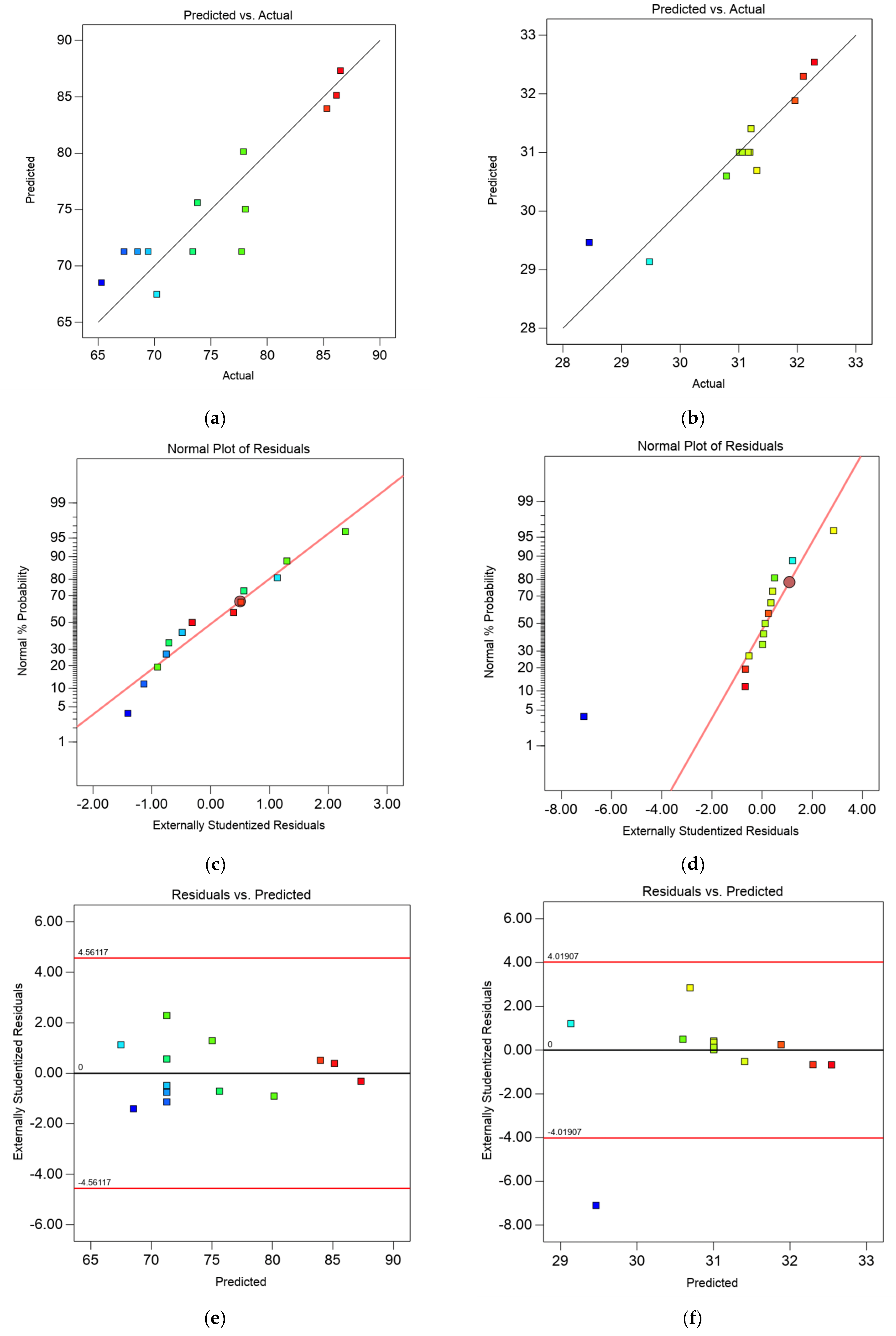
3.3.3. Diagnostic Plots
3.4. Process Analysis
3.4.1. Effect of Process Parameters on Fixed Carbon
3.4.2. Effect of Process Parameters on High Heating Value
3.5. Numerical Optimization
3.6. Characterization of Optimized Biochar
4. Conclusions
Supplementary Materials
Author Contributions
Funding
Data Availability Statement
Acknowledgments
Conflicts of Interest
References
- Rashid, N.A.H.A.; Shamsudin, R.; Arifin, S.H.; Abdullah, W.N.Z.Z. Morphological and quality characteristics of genus of Canarium L.: A review. IOP Conf. Ser. Earth Environ. Sci. 2021, 733, 012015. [Google Scholar] [CrossRef]
- Alguzar, C.V.; Rey, J.D. Canarium ovatum Engl.: The Next Wonder Tree of the Philippines. Diliman Rev. 2022, 66, 97–116. [Google Scholar]
- Millena, C.G.; Baloloy, K.A.V.; Doma, N.G.; Hernan, P.B. Effect of Maturity on Physicochemical and Fatty Acid Profile of Philippine Pili (Canarium ovatum Engl.). Philipp. J. Sci. 2023, 152, 159–171. [Google Scholar] [CrossRef]
- Philippine Statistics Authority. Supply Utilization Accounts (SUA) of Selected Agriculture and Fishery Commodities; Philippine Statistics Authority: Quezon City, Philippines, 2023. [Google Scholar]
- Gallegos, R.K.B.; Suministrado, D.; Amongo, R.M.C.; Madlangbayan, M. Some Physical and Mechanical Properties of Pili (Canarium ovatum Engl. cv. Katutubo) Nut as a Function of Nut Moisture Content. Philipp. Agric. Sci. 2013, 96, 66–74. [Google Scholar]
- Millena, C.G.; Sagum, R.S. Philippine Pili (Canarium ovatum, Engl.) varieties as source of essential minerals and trace elements in human nutrition. J. Food Compos. Anal. 2018, 69, 53–61. [Google Scholar] [CrossRef]
- Dumandan, N.G.; Kagaoan, A.C.T.; Acda, R.D.P.; Tumambing, C.R.; Pham, L.J. Extraction, Profiling, and Characterization of Phytosterols and Triterpenoids from Pili (Canarium ovatum Engl.) Pulp Oil Exhibiting Antioxidant and Antibacterial Properties. Biochem. Res. Int. 2022, 2022, 6604984. [Google Scholar] [CrossRef] [PubMed]
- Arya, G.; Kumar, N.; Gupta, N.; Kumar, A.; Nimesh, S. Antibacterial potential of silver nanoparticles biosynthesised using Canarium ovatum leaves extract. IET Nanobiotechnol. 2017, 11, 506–511. [Google Scholar] [CrossRef]
- EBC. European Biochar Certificate—Guidelines for a Sustainable Production of Biochar. 2024. Available online: http://www.european-biochar.org/media/doc/2/version_en_10_4.pdf (accessed on 30 January 2025).
- Afshar, M.; Mofatteh, S. Biochar for a sustainable future: Environmentally friendly production and diverse applications. Results Eng. 2024, 23, 102433. [Google Scholar] [CrossRef]
- Han, Y.; Luo, Y.; Zhang, L.; Lu, X.; Luo, X.; Wu, X.; Zan, F. Deciphering the mechanistic insight into modified biochar for distinct anaerobic digestion processes: Surface functional groups and electron-transmitting capabilities. J. Environ. Chem. Eng. 2025, 13, 115581. [Google Scholar] [CrossRef]
- He, D.; Luo, Y.; Zhu, B. Feedstock and pyrolysis temperature influence biochar properties and its interactions with soil substances: Insights from a DFT calculation. Sci. Total Environ. 2024, 922, 171259. [Google Scholar] [CrossRef]
- Pap, S.; Gaffney, P.P.J.; Zhao, Q.; Klein, D.; Li, Y.; Kirk, C.; Taggart, M.A. Optimising production of a biochar made from conifer brash and investigation of its potential for phosphate and ammonia removal. Ind. Crops Prod. 2022, 185, 115165. [Google Scholar] [CrossRef]
- Luo, Q.; Deng, Y.; Li, Y.; He, Q.; Wu, H.; Fang, X. Effects of pyrolysis temperatures on the structural properties of straw biochar and its adsorption of tris-(1-chloro-2-propyl) phosphate. Sci. Rep. 2024, 14, 25711. [Google Scholar] [CrossRef]
- Weber, K.; Quicker, P. Properties of biochar. Fuel 2018, 217, 240–261. [Google Scholar] [CrossRef]
- Wood, R.; Mašek, O.; Erastova, V. Developing a molecular-level understanding of biochar materials using public characterization data. Cell Rep. Phys. Sci. 2024, 5, 102036. [Google Scholar] [CrossRef]
- Xiao, X.; Chen, Z.; Chen, B. H/C atomic ratio as a smart linkage between pyrolytic temperatures, aromatic clusters and sorption properties of biochars derived from diverse precursory materials. Sci. Rep. 2016, 6, 22644. [Google Scholar] [CrossRef]
- Shi, W.; Lian, W.; Tian, S.; Gong, X.; Yu, Q.; Guo, Z.; Zhang, X.; Ma, B.; Bian, R.; Zheng, J.; et al. A review of agronomic and environmental properties of inorganic compounds in biochars. Curr. Res. Environ. Sustain. 2023, 5, 100226. [Google Scholar] [CrossRef]
- Rajkovich, S.; Enders, A.; Hanley, K.; Hyland, C.; Zimmerman, A.R.; Lehmann, J. Corn growth and nitrogen nutrition after additions of biochars with varying properties to a temperate soil. Biol. Fertil. Soils 2012, 48, 271–284. [Google Scholar] [CrossRef]
- Deru, J.G.C.; Hoekstra, N.; van Agtmaal, M.; Bloem, J.; de Goede, R.; Brussaard, L.; van Eekeren, N. Effects of Ca:Mg ratio and pH on soil chemical, physical and microbiological properties and grass N yield in drained peat soil. N. Z. J. Agric. Res. 2023, 66, 61–82. [Google Scholar] [CrossRef]
- Roman, A.; Bucura, F.; Botoran, O.R.; Radu, G.-L.; Niculescu, V.-C.; Soare, A.; Ion-Ebrasu, D.; Vagner, I.; Dunca, E.-C.; Șandru, C.; et al. Thermochemical processing of agricultural waste into biochar with potential application for coal mining degraded soils. Results Eng. 2025, 26, 105497. [Google Scholar] [CrossRef]
- Mohit, A.; Remya, N. Optimization of biochar production from greywater grown polyculture microalgae using microwave pyrolysis. Bioresour. Technol. 2023, 388, 129666. [Google Scholar] [CrossRef]
- Egbosiuba, T.C. Biochar and bio-oil fuel properties from nickel nanoparticles assisted pyrolysis of cassava peel. Heliyon 2022, 8, e10114. [Google Scholar] [CrossRef] [PubMed]
- Talib, N.A.A.; Salam, F.; Yusof, N.A.; Alang Ahmad, S.A.; Sulaiman, Y. Optimization of peak current of poly(3,4-ethylenedioxythiophene)/multi-walled carbon nanotube using response surface methodology/central composite design. RSC Adv. 2017, 7, 11101–11110. [Google Scholar] [CrossRef]
- Papa, K.; Lavarias, J.; Denson, M.; Paragas, D.; Tanquilut, M.R.; Morico, A. Characterization, Kinetic Studies, and Thermodynamic Analysis of Pili (Canarium ovatum Engl.) Nutshell for Assessing Its Biofuel Potential and Bioenergy Applications. Fuels 2026, 7, 2. [Google Scholar] [CrossRef]
- PN-EN ISO 18134-2:2017-03E; In Solid Biofuels. Determination of Moisture Content—Oven Dry Method—Part 2: Total Moisture—Simplified Method. European Committee for Standardization: Brussels, Belgium, 2017.
- Świechowski, K.; Rosik, J.; Bednik, M.; Szatkowska, B.; Tomczak-Wandzel, R.; Stegenta-Dąbrowska, S. Heracleum sosnowskyi pyrolysis—Energy and environmental aspects of biochar utilization. Bioresour. Technol. 2024, 408, 131169. [Google Scholar] [CrossRef]
- Premchand, P.; Demichelis, F.; Chiaramonti, D.; Bensaid, S.; Fino, D. Study on the effects of carbon dioxide atmosphere on the production of biochar derived from slow pyrolysis of organic agro-urban waste. Waste Manag. 2023, 172, 308–319. [Google Scholar] [CrossRef]
- Stefanów, J.; Sobieraj, K.; Hejna, M.; Pawęska, K.; Świechowski, K. Fuel Characteristics and Phytotoxicity Assay of Biochar Derived from Rose Pruning Waste. Materials 2024, 17, 1895. [Google Scholar] [CrossRef]
- Torquato, L.D.M.; Crnkovic, P.M.; Ribeiro, C.A.; Crespi, M.S. New approach for proximate analysis by thermogravimetry using CO2 atmosphere: Validation and application to different biomasses. J. Therm. Anal. Calorim. 2017, 128, 1–14. [Google Scholar] [CrossRef]
- PN-EN ISO 16948: 2015-07; Solid Biofuels—Determination of Total Carbon, Hydrogen and Nitrogen Content. European Committee for Standardization: Brussels, Belgium, 2015.
- PN-EN ISO 18125:2017-07; Solid Biofuels—Determination of Calorific Value. European Committee for Standardization: Brussels, Belgium, 2017.
- Rohit Kaushal, R. Experimental investigation of the gasification characteristics of coconut husk and walnut shell blend in an open core downdraft gasifier. Energy Convers. Manag. 2025, 345, 120390. [Google Scholar] [CrossRef]
- Garba, K.; Mohammed, I.Y.; Isa, Y.M.; Abubakar, L.G.; Abakr, Y.A.; Hameed, B.H. Pyrolysis of Canarium schweinfurthii hard-shell: Thermochemical characterisation and pyrolytic kinetics studies. Heliyon 2023, 9, e13234. [Google Scholar] [CrossRef]
- Racero-Galaraga, D.; Rhenals-Julio, J.D.; Sofan-German, S.; Mendoza, J.M.; Bula-Silvera, A. Proximate analysis in biomass: Standards, applications and key characteristics. Results Chem. 2024, 12, 101886. [Google Scholar] [CrossRef]
- Rambhatla, N.; Panicker, T.F.; Mishra, R.K.; Manjeshwar, S.K.; Sharma, A. Biomass pyrolysis for biochar production: Study of kinetics parameters and effect of temperature on biochar yield and its physicochemical properties. Results Eng. 2025, 25, 103679. [Google Scholar] [CrossRef]
- Borges, A.D.S.; Cardoso, M.; Oliveira, M. Thermochemical evaluation of biochars properties from Portuguese agro-forestry residues for solid fuel applications. Sci. Rep. 2025, 16, 1120. [Google Scholar] [CrossRef] [PubMed]
- Rangabhashiyam, S.; Balasubramanian, P. The potential of lignocellulosic biomass precursors for biochar production: Performance, mechanism and wastewater application—A review. Ind. Crops Prod. 2019, 128, 405–423. [Google Scholar] [CrossRef]
- Hejna, M.; Świechowski, K.; Białowiec, A. Study on the Effect of Hydrothermal Carbonization Parameters on Fuel Properties of Sewage Sludge Hydrochar. Materials 2023, 16, 6903. [Google Scholar] [CrossRef] [PubMed]
- Anshariah Imran, A.M.; Widodo, S.; Irvan, U.R. Correlation of fixed carbon content and calorific value of South Sulawesi Coal, Indonesia. IOP Conf. Ser. Earth Environ. Sci. 2020, 473, 012106. [Google Scholar] [CrossRef]
- Ruiz-Aguilar, G.M.L.; Martínez-Martínez, J.H.; Costilla-Salazar, R.; Camarena-Martínez, S. Using Central Composite Design to Improve Methane Production from Anaerobic Digestion of Tomato Plant Waste. Energies 2023, 16, 5412. [Google Scholar] [CrossRef]
- Onu, C.E.; Nweke, C.N.; Nwabanne, J.T. Modeling of thermo-chemical pretreatment of yam peel substrate for biogas energy production: RSM, ANN, and ANFIS comparative approach. Appl. Surf. Sci. Adv. 2022, 11, 100299. [Google Scholar] [CrossRef]
- Ibitoye, S.E.; Loha, C.; Mahamood, R.M.; Olayemi, O.A.; Alam, M.; Jen, T.-C.; Abdullahi, M.J.; Akinlabi, E.T. Optimization of Rice Straw Properties via Torrefaction for Solid Fuel Applications. Bioenergy Res. 2025, 18, 95. [Google Scholar] [CrossRef]
- Ghelich, R.; Jahannama, M.R.; Abdizadeh, H.; Torknik, F.S.; Vaezi, M.R. Central composite design (CCD)-Response surface methodology (RSM) of effective electrospinning parameters on PVP-B-Hf hybrid nanofibrous composites for synthesis of HfB2-based composite nanofibers. Compos. B Eng. 2019, 166, 527–541. [Google Scholar] [CrossRef]
- Wakatuntu, J.; Olupot, P.W.; Jjagwe, J.; Menya, E.; Okure, M. Optimization of pyrolysis conditions for production of rice husk-based bio-oil as an energy carrier. Results Eng. 2023, 17, 100947. [Google Scholar] [CrossRef]
- Ramani, B.; Anjum, A.; Bramer, E.; Dierkes, W.; Blume, A.; Brem, G. A comprehensive study on the effect of the pyrolysis temperature on the products of the flash pyrolysis of waste tires. J. Environ. Chem. Eng. 2025, 13, 115468. [Google Scholar] [CrossRef]
- Singh, C.; Goyal, R.; Saluja, N. Optimization of pyrolysis process parameters for optimal high heating value of biochar produced from rice straw. Biofuels 2025, 16, 706–716. [Google Scholar] [CrossRef]
- Jamaluddin, M.A.; Ismail, K.; Mohd Ishak, M.A.; Ab Ghani, Z.; Abdullah, M.F.; Safian, M.T.-U.; Idris, S.S.; Tahiruddin, S.; Yunus, M.F.M.; Hakimi, N.I.N.M. Microwave-assisted pyrolysis of palm kernel shell: Optimization using response surface methodology (RSM). Renew. Energy 2013, 55, 357–365. [Google Scholar] [CrossRef]
- Rout, T.; Pradhan, D.; Singh, R.K.; Kumari, N. Exhaustive study of products obtained from coconut shell pyrolysis. J. Environ. Chem. Eng. 2016, 4, 3696–3705. [Google Scholar] [CrossRef]
- Bhushan, D.; Tomar, K.; Mondal, P. Multi-parameter optimization and predictive modeling of pyrolysis of walnut shells in fixed bed reactor using response surface methodology and machine learning algorithms. J. Anal. Appl. Pyrolysis 2025, 192, 107242. [Google Scholar] [CrossRef]
- Chen, W.H.; Peng, J.; Bi, X.T. A state-of-the-art review of biomass torrefaction, densification and applications. Renew. Sustain. Energy Rev. 2015, 44, 847–866. [Google Scholar] [CrossRef]
- Pradhan, S.; Shahbaz, M.; Abdelaal, A.; Al-Ansari, T.; Mackey, H.R.; McKay, G. Optimization of process and properties of biochar from cabbage waste by response surface methodology. Biomass Convers. Biorefinery 2022, 12, 5479–5491. [Google Scholar] [CrossRef]
- Amalina, F.; Razak, A.S.A.; Krishnan, S.; Sulaiman, H.; Zularisam, A.W.; Nasrullah, M. Biochar production techniques utilizing biomass waste-derived materials and environmental applications—A review. J. Hazard. Mater. Adv. 2022, 7, 100134. [Google Scholar] [CrossRef]
- Lee, J.; Yang, X.; Song, H.; Ok, Y.S.; Kwon, E.E. Effects of carbon dioxide on pyrolysis of peat. Energy 2017, 120, 929–936. [Google Scholar] [CrossRef]
- Yi, Z.; Li, C.; Zhang, L.; Zhang, S.; Gao, W.; Wang, S.; Li, B.; Hu, X. Impacts of CO2 atmosphere on property of the biochar from pyrolysis of lignin. J. Anal. Appl. Pyrolysis 2022, 167, 105689. [Google Scholar] [CrossRef]
- Bin Mohd Khairulzaim, A.A.; Rahman, M.R.; Roslan, L.; Bin Bakri, M.K.; Khan, A.; Matin, M.M. Analysis of Char Prepared by Pyrolysis of Dabai (Canarium odontophyllum) Nutshells as a Potential Precursor of Biocarbon Used for Wastewater Treatment. Bioresources 2021, 16, 5036–5046. [Google Scholar] [CrossRef]
- Menya, E.; Olupot, P.W.; Storz, H.; Lubwama, M.; Kiros, Y.; John, M.J. Optimization of pyrolysis conditions for char production from rice husks and its characterization as a precursor for production of activated carbon. Biomass Convers. Biorefinery 2020, 10, 57–72. [Google Scholar] [CrossRef]
- Chen, L.; Al-Dhabi, N.A.; Ai, W.; Sun, S.; Peng, Y.; Gao, C.; Zhuo, Y.; Tang, W.; Zhou, Y.; Sun, C. Impact of low-temperature pyrolysis on ash and physicochemical properties of straw biochar: Multivariate analysis and implications for agricultural and environmental use. Ind. Crops Prod. 2025, 224, 120431. [Google Scholar] [CrossRef]
- Tomczyk, A.; Sokołowska, Z.; Boguta, P. Biochar physicochemical properties: Pyrolysis temperature and feedstock kind effects. Rev. Environ. Sci. Biotechnol. 2020, 19, 191–215. [Google Scholar] [CrossRef]






| Independent Variables | Coded Factors | |||||
|---|---|---|---|---|---|---|
| Units | −1 | 0 | +1 | |||
| Temperature (A) | °C | 358.58 | 400 | 500 | 600 | 641.42 |
| Residence time (B) | min | 47.57 | 60 | 90 | 120 | 132.43 |
| Experimental Run | Process Parameters | Response Variables | ||||
|---|---|---|---|---|---|---|
| Fixed Carbon, % | HHV, MJ/kg | |||||
| Temperature, °C | Time, Mins | Experimental | Predicted | Experimental | Predicted | |
| 1 | 600 | 60 | 86.15 ± 0.02 | 85.13 | 32.10 ± 0.06 | 32.30 |
| 2 | 500 | 90 | 67.30 ± 4.75 | 71.27 | 31.01 ± 0.01 | 31.00 |
| 3 | 500 | 47.57 | 73.82 ± 3.69 | 75.62 | 30.79 ± 0.06 | 30.60 |
| 4 | 600 | 120 | 85.30 ± 0.02 | 83.97 | 31.96 ± 0.02 | 31.88 |
| 5 | 500 | 132.43 | 77.90 ± 0.01 | 80.14 | 31.21 ± 0.03 | 31.41 |
| 6 | 500 | 90 | 69.44 ± 4.68 | 71.27 | 31.16 ± 0.02 | 31.00 |
| 7 | 641.42 | 90 | 86.50 ± 0.01 | 87.32 | 32.29 ± 0.01 | 32.54 |
| 8 | 500 | 90 | 68.49 ± 4.81 | 71.27 | 31.06 ± 0.06 | 31.00 |
| 9 | 500 | 90 | 73.40 ± 4.56 | 71.27 | 31.19 ± 0.04 | 31.00 |
| 10 | 358.58 | 90 | 65.30 ± 0.01 | 68.52 | 28.45 ± 0.04 | 29.46 |
| 11 | 400 | 120 | 78.06 ± 0.02 | 75.03 | 31.31 ± 0.11 | 30.69 |
| 12 | 500 | 90 | 77.73 ± 0.01 | 71.27 | 31.03 ± 0.03 | 31.00 |
| 13 | 400 | 60 | 70.20 ± 0.02 | 67.48 | 29.48 ± 0.01 | 29.14 |
| Properties | Measured Values |
|---|---|
| Proximate analysis (wt%) | |
| Moisture content | 2.25 ± 0.01 |
| Volatile matter | 73.93 ± 0.01 |
| Ash content | 1.78 ± 0.00 |
| Fixed carbon | 24.29 ± 0.01 |
| Ultimate analysis (wt%) 1 | |
| Carbon | 50.65 ± 0.60 |
| Hydrogen | 6.46 ± 0.04 |
| Nitrogen | 0.44 ± 0.08 |
| Sulfur | 1.16 ± 0.18 |
| Oxygen | 39.52 ± 0.47 |
| H:C | 1.53 |
| O:C | 0.59 |
| Composition analysis (wt%) 1 | |
| Cellulose | 33.84 ± 0.53 |
| Hemicellulose | 25.95 ± 0.53 |
| Lignin | 36.44 ± 2.21 |
| Extractives | 3.77 ± 0.08 |
| HHV, MJ/kg | 20.27 ± 0.01 |
| pH | 5.34 ± 0.01 |
| Electrical conductivity, mS/cm | 0.15 ± 8.6 × 10−4 |
| Terms | Fixed Carbon | High Heating Value | ||
|---|---|---|---|---|
| F-Value | p-Value Prob > F | F-Value | p-Value Prob > F | |
| Model | 6.61 * | 0.0139 | 18.78 * | 0.0003 |
| A-Temperature | 22.12 * | 0.0022 | 48.08 ** | <0.0001 |
| B- Residence Time | 1.28 | 0.2955 | 3.30 | 0.1025 |
| AB | 1.19 | 0.3120 | 4.94 | 0.0533 |
| A2 | 4.82 | 0.0642 | ||
| B2 | 4.76 | 0.0655 | ||
| Lack of fit | 0.7062 ns | 0.5964 | 54.56 ** | 0.0009 |
| Std. Deviation | 4.00 | 0.4441 | ||
| Mean | 75.35 | 31.00 | ||
| C.V.% | 5.30 | 1.43 | ||
| R2 | 0.8252 | 0.8622 | ||
| Adeq. Precision | 7.3068 | 13.8323 | ||
| Variable | Goal | Lower Limit | Upper Limit | Importance |
|---|---|---|---|---|
| A:Temperature | is in range | 400 | 600 | 3 |
| B:Time | is in range | 60 | 120 | 3 |
| Fixed carbon, % | maximize | 65.3 | 86.15 | 3 |
| HHV, MJ/kg | maximize | 28.448 | 32.2905 | 3 |
| Element | Series | PS-Biomass | Optimized Biochar | ||
|---|---|---|---|---|---|
| Norm. C (wt.%) | Atom. C (at.%) | Norm. C (wt.%) | Atom. C (at.%) | ||
| Magnesium | K-series | 0.07 ± 0.01 | 0.04 ± 0.01 | 0.04 ± 0.04 | 0.02 ± 0.02 |
| Sodium | K-series | 0.39 ± 0.19 | 0.27 ± 0.13 | 0.2 ± 0.14 | 0.12 ± 0.09 |
| Potassium | K-series | 0.22 ± 0.05 | 0.09 ± 0.02 | 0.97 ± 0.32 | 0.35 ± 0.12 |
| Calcium | K-series | 3.06 ± 3.55 | 1.21 ± 1.44 | 1.40 ± 0.39 | 0.49 ± 0.14 |
| Iron | K-series | 0.45 ± 0.07 | 0.12 ± 0.03 | 0.42 ± 0.07 | 0.11 ± 0.02 |
| Cobalt | K-series | 0.23 ± 0.08 | 0.06 ± 0.02 | 0.13 ± 0.02 | 0.03 ± 0.00 |
| Nickel | K-series | 0.16 ± 0.06 | 0.04 ± 0.02 | 0.16 ± 0.02 | 0.04 ± 0.00 |
| Copper | K-series | 0.20 ±0.05 | 0.05 ± 0.02 | 0.2 ± 0.04 | 0.05 ± 0.01 |
| Sulfur | K-series | 0 ± 0.00 | 0 ± 0.00 | 0.01 ± 0.01 | 0.003 ± 0.01 |
| Oxygen | K-series | 51.48 ± 1.07 | 49.42 ± 1.39 | 16.46 ± 1.46 | 14.46 ± 1.30 |
| Chlorine | K-series | 0.22 ± 0.19 | 0.10 ± 0.08 | 0.08 ± 0.03 | 0.03 ± 0.02 |
| Fluorine | K-series | 1.12 ± 0.80 | 0.90 ± 0.63 | 0.45 ± 0.20 | 0.33 ± 0.14 |
| Carbon | K-series | 36.58 ± 3.14 | 46.70 ± 2.18 | 70.92 ± 1.86 | 83 ± 1.55 |
| Silicon | K-series | 0.80 ± 0.33 | 0.43 ± 0.17 | 0.59 ± 0.23 | 0.30 ± 0.12 |
| Phosphorus | K-series | 0.15 ± 0.13 | 0.07 ± 0.06 | 0.06 ± 0.04 | 0.03 ± 0.02 |
| Zinc | K-series | 0.13 ± 0.03 | 0.03 ± 0.01 | 0.19 ± 0.03 | 0.04 ± 0.01 |
| Lead | L-series | 1.96 ± 0.86 | 0.15 ± 0.07 | 4.27 ± 0.68 | 0.29 ± 0.05 |
| Cadmium | L-series | 0.49 ± 0.41 | 0.07 ± 0.05 | 0.21 ± 0.08 | 0.02 ± 0.01 |
| Chromium | K-series | 0.23 ± 0.09 | 0.06 ± 0.03 | 0.17 ± 0.03 | 0.05 ± 0.01 |
| Manganese | K-series | 0.16 ± 0.09 | 0.04 ± 0.03 | 0.10 ± 0.04 | 0.03 ± 0.01 |
| Arsenic | K-series | 0 ± 0.00 | 0 ± 0.00 | 0 ± 0.00 | 0 ± 0.00 |
| Gold | L-series | 1.01 ± 0.40 | 0.08 ± 0.04 | 1.55 ± 0.20 | 0.11 ± 0.02 |
| Mercury | L-series | 0.85 ± 0.42 | 0.06 ± 0.04 | 1.39 ± 0.34 | 0.10 ± 0.03 |
| Molybdenum | L-series | 0.02 ± 0.03 | 0.003 ± 0.01 | 0.03 ± 0.04 | 0.003 ± 0.01 |
| Total: | 100 | 100 | 100 | 100 | |
Disclaimer/Publisher’s Note: The statements, opinions and data contained in all publications are solely those of the individual author(s) and contributor(s) and not of MDPI and/or the editor(s). MDPI and/or the editor(s) disclaim responsibility for any injury to people or property resulting from any ideas, methods, instructions or products referred to in the content. |
© 2026 by the authors. Licensee MDPI, Basel, Switzerland. This article is an open access article distributed under the terms and conditions of the Creative Commons Attribution (CC BY) license.
Share and Cite
Morico, A.; Lavarias, J.; Mateo, W.; Barroga, A.; Denson, M.; Papa, K.; Valentin, M.; Białowiec, A. Response-Surface-Based Optimization of Pyrolysis Parameters for Enhanced Fixed-Carbon Content and High Heating Value of Pili (Canarium ovatum Engl.) Nutshell-Derived Biochar. Biomass 2026, 6, 22. https://doi.org/10.3390/biomass6020022
Morico A, Lavarias J, Mateo W, Barroga A, Denson M, Papa K, Valentin M, Białowiec A. Response-Surface-Based Optimization of Pyrolysis Parameters for Enhanced Fixed-Carbon Content and High Heating Value of Pili (Canarium ovatum Engl.) Nutshell-Derived Biochar. Biomass. 2026; 6(2):22. https://doi.org/10.3390/biomass6020022
Chicago/Turabian StyleMorico, Arly, Jeffrey Lavarias, Wendy Mateo, Antonio Barroga, Melba Denson, Kaye Papa, Marvin Valentin, and Andrzej Białowiec. 2026. "Response-Surface-Based Optimization of Pyrolysis Parameters for Enhanced Fixed-Carbon Content and High Heating Value of Pili (Canarium ovatum Engl.) Nutshell-Derived Biochar" Biomass 6, no. 2: 22. https://doi.org/10.3390/biomass6020022
APA StyleMorico, A., Lavarias, J., Mateo, W., Barroga, A., Denson, M., Papa, K., Valentin, M., & Białowiec, A. (2026). Response-Surface-Based Optimization of Pyrolysis Parameters for Enhanced Fixed-Carbon Content and High Heating Value of Pili (Canarium ovatum Engl.) Nutshell-Derived Biochar. Biomass, 6(2), 22. https://doi.org/10.3390/biomass6020022

