Research on Acoustic Properties of Artificial Inhomogeneities in Calibration Samples for Ultrasonic Testing of Polyethylene Pipe Welds
Abstract
1. Introduction
2. Materials and Methods
2.1. Theoretical Analysis of Reflected Wave Fields
- Interference between the incident and multiply reflected waves within the discontinuity volume.
- 2.
- Surface roughness of the reflecting boundary. To evaluate the influence of the reflector’s surface roughness, the Rayleigh parameter was calculated:where —wavenumber; —root mean square (RMS) surface roughness height; —wave entry angle.
- 3.
- Relationship between the ultrasonic beam directivity characteristics and the discontinuity area.
2.2. Analysis of Reflection Coefficients
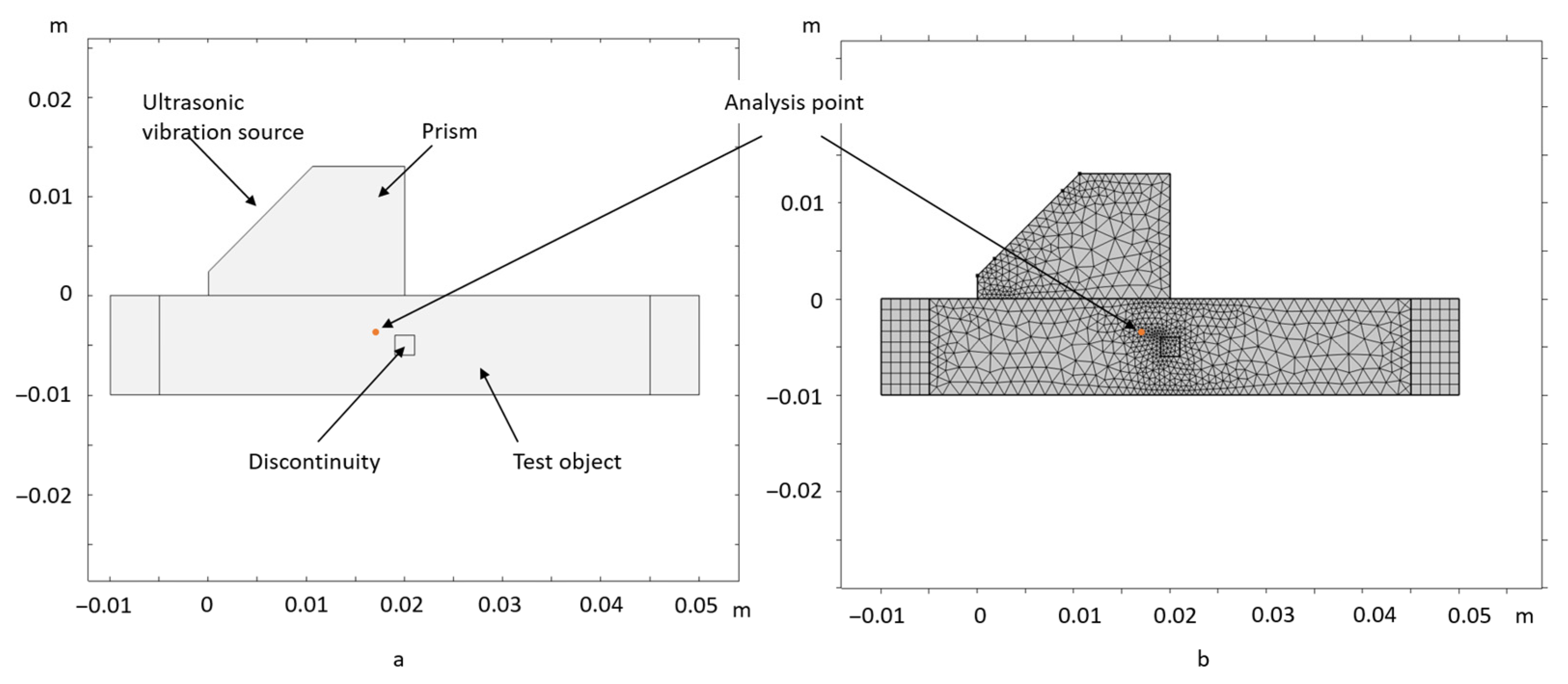
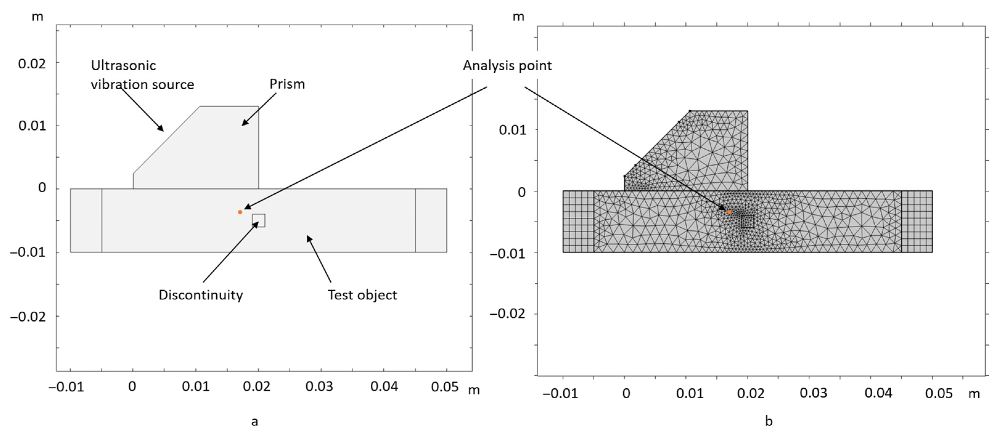
2.3. Sound Field Modeling
2.4. Sample Preparation
2.5. Localization of Inhomogeneities
2.6. Ultrasonic Testing
- Analysis of the reflectivity of embedded discontinuities: The relationship between the amplitude of the reflected signal and the geometric dimensions of the discontinuities was determined.
- Evaluation of defect detectability when calibrating the rejection sensitivity level using different reflector types: Sensitivity levels (in this study, the calibrated sensitivity level was designated as the rejection threshold) were established for reflectors of identical dimensions but with varying filler materials. Subsequently, ultrasonic testing was performed on specimens containing a known quantity of artificially introduced discontinuities in the form of sand inclusions with uniform dimensions.
3. Results
3.1. Radiographic Testing
3.2. Ultrasonic Testing Results
4. Conclusions
- Unlike the acoustic field parameters of signals reflected at the polyethylene/air interface, the acoustic field parameters of signals reflected at the polyethylene/sealant interface are equivalent to those from real defects in welded joints of polyethylene pipelines. At the same time, the reflectivity of air inclusions remains the highest, which enables the detection of all defect types when the rejection sensitivity level is calibrated using sealant-type inhomogeneities.
- When manufacturing sealant-type inhomogeneities, their geometric and physical-mechanical parameters undergo only minor changes, allowing for a preliminary conclusion on the feasibility of confirming metrological characteristics during specimen certification.
- The use of calibration specimens with sealant-type inhomogeneities in pulse-echo testing enables the classification of both gas inclusions and solid inclusions as defects, thereby covering all defect types. This approach enhances the reliability of ultrasonic testing for welded joints in polyethylene pipelines.
Author Contributions
Funding
Institutional Review Board Statement
Informed Consent Statement
Data Availability Statement
Conflicts of Interest
References
- Nasiri, S.; Khosravani, M.R. Failure and fracture in polyethylene pipes: Overview, prediction methods, and challenges. Eng. Fail. Anal. 2023, 152, 107496. [Google Scholar] [CrossRef]
- Bolobov, V.I.; Zhuikov, I.V.; Popov, G.V. The influence of pipe stress state on the pitting corrosion rate of oilfield pipelines. Pet. Eng. 2023, 21, 109–120. [Google Scholar] [CrossRef]
- Kim, J.-S.; Oh, Y.-J.; Choi, S.-W.; Jang, C. Investigation on the thermal butt fusion performance of the buried high density polyethylene piping in nuclear power plant. Nucl. Eng. Technol. 2019, 51, 1142–1153. [Google Scholar] [CrossRef]
- Wang, Q.; Zhou, H.; Xie, J.; Xu, X. Nonlinear ultrasonic evaluation of high-density polyethylene natural gas pipe thermal butt fusion joint aging behavior. Int. J. Press. Vessel. Pip. 2021, 189, 104272. [Google Scholar] [CrossRef]
- Majid, F.; Elghorba, M. HDPE pipes failure analysis and damage modeling. Eng. Fail. Anal. 2017, 71, 157–165. [Google Scholar] [CrossRef]
- Lebedev, A.; Cherepovitsyn, A.E. Waste Management during the Production Drilling Stage in the Oil and Gas Sector: A Feasibility Study. Resources 2024, 13, 26. [Google Scholar] [CrossRef]
- Rivas, E.Y.; Vyacheslavov, A.; Gogolinskiy, K.V.; Sapozhnikova, K.; Taymanov, R. Deformation monitoring systems for hydroturbine head-cover fastening bolts in hydroelectric power plants. Sensors 2025, 25, 2548. [Google Scholar] [CrossRef]
- Pryakhin, E.I.; Azarov, V.A. Comparative analysis of the use of epoxy and fluoroplastic polymer compositions as internal smooth coatings of the inner cavity of steel main gas pipelines. CIS Iron Steel Rev. 2024, 28, 93–98. [Google Scholar] [CrossRef]
- Kuzmin, K.A.; Sultanbekov, R.R.; Khromova, S.M.; Vovk, M.A.; Rudko, V.A. Establishing the influence of recycled used oil on the sedimentation stability of residual marine fuel. Fuel 2025, 389, 134625. [Google Scholar] [CrossRef]
- Popov, G.V.; Bolobov, V.I.; Zhuikov, I.V.; Zlotin, V.V. Development of the kinetic equation of the groove corrosion process for predicting the residual life of oil-field pipelines. Energies 2023, 16, 7067. [Google Scholar] [CrossRef]
- Grigorev, E.G.; Nosov, V.V. Improving quality control methods to test strengthening technologies: A multilevel model of acoustic pulse flow. Appl. Sci. 2022, 12, 4549. [Google Scholar] [CrossRef]
- Cherepovitsyn, A.E.; Lebedev, A. Drill Cuttings Disposal Efficiency in Offshore Oil Drilling. J. Mar. Sci. Eng. 2023, 11, 317. [Google Scholar] [CrossRef]
- Gazprom Group Social Responsibility Report 2023 [Electronic Resource]. Available online: https://sustainability.gazpromreport.ru/2023/ (accessed on 12 January 2025).
- Dai, L.S.; Wang, D.P.; Wang, T.; Feng, Q.S.; Yang, X.Q. Analysis and comparison of long distance pipeline failures. J. Pet. Eng. 2017, 2017, 3174636. [Google Scholar] [CrossRef]
- Pshenin, V.V.; Dzhemilev, E.N.; Rozanova, L.I.; Komarovskiy, M.A. The results of the analysis of accident rates of gas distribution systems. Probl. Gather. Treat. Transp. Oil Prod. 2022, 4, 89–101. [Google Scholar] [CrossRef]
- Shi, J.; Feng, Y.; Tao, Y.; Guo, W.; Yao, R.; Zheng, J. Evaluation of the seismic performance of butt-fusion joint in large diameter polyethylene pipelines by full-scale shaking table test. Nucl. Eng. Technol. 2023, 55, 3342–3351. [Google Scholar] [CrossRef]
- Bowman, J. A review of the electrofusion joining process for polyethylene pipe systems. Polym. Eng. Sci. 1997, 37, 674–691. [Google Scholar] [CrossRef]
- Kafieh, R.; Lotfi, T.; Amirfattahi, R. Automatic detection of defects on polyethylene pipe welding using thermal infrared imaging. Infrared Phys. Technol. 2011, 54, 317–325. [Google Scholar] [CrossRef]
- Chen, S.; Lai, H.S.; Lin, R.; Duan, X.H. Study on the creep properties of butt fusion-welded joints of HDPE pipes using the nanoindentation test. Weld. World 2021, 66, 135–144. [Google Scholar] [CrossRef]
- Kuzmin, K.A.; Ivkin, A.S.; Vovk, M.A.; Rudko, V.A. Pour point depressant efficacy for diesel fuels with different n-paraffin distribution. Fuel 2025, 392, 134885. [Google Scholar] [CrossRef]
- Rao, J.; Zeng, L.; Liu, M.; Fu, H. Ultrasonic defect detection of high-density polyethylene pipe materials using FIR filtering and block-wise singular value decomposition. Ultrasonics 2023, 134, 107088. [Google Scholar] [CrossRef]
- Silva, W.; Lopes, R.; Zscherpel, U.; Meinel, D.; Ewert, U. X-ray imaging techniques for inspection of composite pipelines. Micron 2021, 145, 103033. [Google Scholar] [CrossRef] [PubMed]
- Loseva, E.; Lozovsky, I.; Zhostkov, R. Refining Low Strain Pile Integrity Testing for Minor Flaw Detection with Complex Wavelet Transform. Civ. Eng. J. 2024, 10, 3194–3207. [Google Scholar] [CrossRef]
- Wang, B.; Zhong, S.; Lee, T.-L.; Fancey, K.S.; Mi, J. Non-destructive testing and evaluation of composite materials/structures: A state-of-the-art review. Adv. Mech. Eng. 2020, 12, 1687814020913761. [Google Scholar] [CrossRef]
- Kumpati, R.; Skarka, W.; Ontipuli, S.K. Current trends in integration of nondestructive testing methods for engineered materials testing. Sensors 2021, 21, 6175. [Google Scholar] [CrossRef]
- El-Hawwat, S.; Shah, J.; Wang, H.; Venkiteela, G. Detection of internal cracks in polyethylene pipes using ultrasonic imaging and deep learning. Measurement 2025, 253, 117491. [Google Scholar] [CrossRef]
- Piao, C.; Lee, J.; Kim, S.H.; Kim, Y.Y. Ultrasonic inspection of sludge accumulated in plastic pipes using meta-slab mode-converting wedge transducers. NDT E Int. 2023, 142, 103020. [Google Scholar] [CrossRef]
- Tian, Y.; Palaev, A.G.; Shammazov, I.A.; Ren, Y. Non-destructive testing technology for corrosion wall thickness reduction defects in pipelines based on electromagnetic ultrasound. Front. Earth Sci. 2024, 12, 1432043. [Google Scholar] [CrossRef]
- Said-El Hawwat, S.; Shah, J.K.; Wang, H. Machine learning supported ultrasonic testing for characterization of cracks in polyethylene pipes. Measurement 2025, 240, 115609. [Google Scholar] [CrossRef]
- Piao, C.; Kim, S.H.; Lee, J.K.; Choi, W.G.; Kim, Y.Y. Non-invasive ultrasonic inspection of sludge accumulation in a pipe. Ultrasonics 2022, 119, 106602. [Google Scholar] [CrossRef]
- Pshenin, V.V.; Sleptsov, A.A.; Dukhnevich, L.V. Prospects of improving the vibroacoustic method for locating buried non-metallic pipelines. Eng 2025, 6, 121. [Google Scholar] [CrossRef]
- Zarei, A.; Pilla, S. Laser ultrasonics for nondestructive testing of composite materials and structures: A review. Ultrasonics 2024, 136, 107163. [Google Scholar] [CrossRef]
- GOST R 56510-2015; Metrological Support in the Field of Non-Destructive Testing. Standartinform: Moscow, Russia, 2019; p. 6.
- Mihaljević, M.; Markučič, D.; Runje, B.; Keran, Z. Measurement uncertainty evaluation of ultrasonic wall thickness measurement. Measurement 2019, 137, 179–188. [Google Scholar] [CrossRef]
- Yoshida, T.; Wada, S.; Furuichi, N. A calibration methodology of ultrasonic transducers: Evaluation of spatial propagation characteristics of pulse-echo. Measurement 2023, 214, 112783. [Google Scholar] [CrossRef]
- Van Neer, P.L.M.J.; Matte, G.; Sijl, J.; Borsboom, J.M.G.; de Jong, N. Transfer functions of US transducers for harmonic imaging and bubble responses. Ultrasonics 2007, 46, 336–340. [Google Scholar] [CrossRef] [PubMed]
- Santos, D.S.; Baldini, L.; Vos, H.J.; Verweij, M.D.; de Jong, N.; van Neer, P.L.M.J. Acoustic streaming-based calibration of ultrasound transducers. Appl. Acoust. 2024, 217, 109863. [Google Scholar] [CrossRef]
- Kretov, E.F. Ultrasonic Flaw Detection in Power Engineering; Sven Publishing House: St. Petersburg, Russia, 2014; 312p, ISBN 978-5-91161-014-2. (In Russian) [Google Scholar]
- Mogilner, L.Y.; Syasko, V.A.; Shikhov, A.I. Modeling Defects in Ultrasonic Nondestructive Testing: State-of-the-Art and Prospects. Russ. J. Nondestruct. Test. 2024, 60, 481–500. [Google Scholar] [CrossRef]
- Kusot 180 [Kusot 180]. Constanta-US. Available online: https://constanta-us.com/catalog/nabor_kusot_180/kusot_180_nabor_3/ (accessed on 1 August 2025).
- Aleshin, N.P.; Mogilner, L.Y.; Shchipakov, N.A.; Kusyi, A.G.; Tishkin, V.V.; Degtyarev, M.N. On the use of grooves for crack simulation in ultrasonic testing. Russ. J. Nondestruct. Test. 2022, 58, 3–12. [Google Scholar]
- Mogilner, L.Y.; Smorodinsky, Y.G. Ultrasonic testing: Application of cylindrical drilling for equipment calibration and verification. Russ. J. Nondestruct. Test. 2018, 54, 14–20. [Google Scholar] [CrossRef]
- Reference Specimen, Flat With Notch [Nastroechnyy Obrazets, Ploskiy s Zarubkoy]. Constanta-US. Available online: https://www.constanta-us.com/catalog/nastroechnye_obraztsy_no/nastroechnyy_obrazets_no_ploskiy_s_zarubkoy/ (accessed on 1 August 2025).
- GOST R 8.637-2007; State System for Ensuring the Uniformity of Measurements. Certified Reference Materials for Metrological Maintenance of Pipeline Non-Destructive Testing Equipment. General Requirements. Standartinform: Moscow, Russia, 2008; p. 6.
- ISO 13588:2012; Non-Destructive Testing of Welds—Ultrasonic Testing—Use of Automated Phased Array Technology. International Organization for Standardization: Geneva, Switzerland, 2019; p. 24.
- Xu, X.; Chang, Z.; Dou, R.; Ma, X.; Chen, M.; Wu, H.; Yang, K.; Jin, H. Ultrasonic internal multiple migration: An imaging method for defect characterization in complex-structure welds. Mech. Syst. Signal Process. 2025, 231, 112640. [Google Scholar] [CrossRef]
- Chandler, M.G.; Croxford, A.J.; Wilcox, P.D. Defect detection in the presence of geometrical artefacts. NDT E Int. 2024, 142, 103014. [Google Scholar] [CrossRef]
- Wang, H.; Li, Y.; Wang, F.; Zhang, G.; Xie, J.; Zhang, S. Development of an ultrasonic system for nondestructively detecting flaws in the rail foot of in-service railway. Measurement 2025, 251, 117289. [Google Scholar] [CrossRef]
- GOST R 50.04.07-2022; Conformity Assessment System for the Nuclear Power Use. Conformity Assessment in the Form of Tests. Qualification Tests of Non-Destructive Inspection Systems. Russian Institute for Standardization: Moscow, Russia, 2022; p. 41.
- Isakovich, M.A. General Acoustics: Textbook [Obshchaya Akustika: Uchebnoe Posobie]; Nauka, Chief Editorial Board of Physical and Mathematical Literature: Moscow, Russia, 1973; p. 463. [Google Scholar]
- GOST R 54792-2024; Imperfections in Thermoplastic Welding Joints. Descriptions and Evaluation. Russian Institute for Standardization: Moscow, Russia, 2022; p. 28.
- PULSAR-2.2 Ultrasonic Flaw Detector for Construction Materials Testing//Interpribor: Website. Available online: https://www.interpribor.ru/ultrasonic-flaw-detector-the-pulsar-2.2 (accessed on 11 March 2025). (In Russian).
- Ermolov, I.N.; Vopilkin, A.K.; Badalyan, V.G. Calculations in Ultrasonic Flaw Detection: A Concise Handbook [Raschety v Ul′trazvukovoy Defektoskopii: Kratkiy Spravochnik]; Echo + Scientific & Production Center LLC: Moscow, Russia, 2004; p. 108. [Google Scholar]
- NOVATECH ZHCN-160E Butt Welding Machine. NOVATECH. Available online: https://nowatech.nt-rt.ru/price/product/103133 (accessed on 24 January 2025). (In Russian).
- TRANSKAN Digital Radiography System//Digital X-Ray: Website. Available online: https://digital-xray.ru/product/transkan/ (accessed on 24 January 2025). (In Russian).
- USD-50 IPS Ultrasonic Flaw Detector//Kropus Scientific & Production Center: Website. Available online: https://kropus.com/catalog/ultrazvukovoy-i-akusticheskiy-kontrol/ultrazvukovye-defektoskopy-dlya-kontrolya-svarnykh-soedineniy-i-materiala/ruchnye-defektoskopy/usd-50-ips/ (accessed on 24 January 2025). (In Russian).














| Reflector Type | Frequency (MHz) | Wave Velocity (m/s) | , mm | Incident Angle (Deg) | Rayleigh Parameter |
|---|---|---|---|---|---|
| Flat-bottom hole | 1.8 | 2150 | 0.025 | 45 | 0.26 |
| Sand | 0.027 | 0.29 | |||
| Sealant | 0.018 | 0.19 | |||
| Foil | 0.0004 | 0.004 |
| No. (Type) | Material | Density (g/cm3) | Wave Velocity (m/s) | Interface Type | |
|---|---|---|---|---|---|
| 1 | Air | 0.00122 | 340 | Polyethylene/air | 0.99 |
| 2 | Sand | 2.00000 | 1660 | Polyethylene/sand | 0.25 |
| 3 | Heat-resistant silicate sealant | 2.40000 | 1531 | Polyethylene/sealant | 0.29 |
| 4 | Aluminum foil | 2.70000 | 6250 | Polyethylene/foil | 0.79 |
| 5 | Polyethylene | 0.92000 | 2150 | - | - |
| No. (Type) | Material | Interface Type | (Model) |
|---|---|---|---|
| 1 | Air | Polyethylene/air | 0.86 |
| 2 | Sand | Polyethylene/sand | 0.22 |
| 3 | Heat-resistant silicate sealant | Polyethylene/sealant | 0.26 |
| 4 | Aluminum foil | Polyethylene/foil | 0.76 |
| No. | Inhomogeneity Material | Cross-Sectional Area, mm2 | Linear Dimensions, mm |
|---|---|---|---|
| 1 | Aluminum foil | 4.0 | 2.0 × 2.0 |
| 2 | 8.0 | 4.0 × 2.0 | |
| 3 | 12.0 | 6.0 × 2.0 | |
| 4 | 16.0 | 8.0 × 2.0 | |
| 5 | Heat-resistant silicate sealant | 0.9 | Ø1.1 |
| 6 | 1.3 | Ø1.3 | |
| 7 | 1.7 | Ø1.5 | |
| 8 | 3.1 | Ø2.0 | |
| 9 | 7.1 | Ø3.0 | |
| 10 11 | Sand | 2.5 | Ø1.8 |
| 12 13 | 3.1 | Ø2.0 | |
| 14 15 | 3.8 | Ø2.2 |
| No. | Parameter Name | Value |
|---|---|---|
| 1 | Transducer Type | Chord-type |
| 2 | Beam Entry Angle | 90° “along the chord” |
| 3 | Operating Frequency | 1.8 MHz |
| 4 | Wave Propagation Velocity | 2150 m/s |
| 5 | Wavelength | 1.3 × 10−3 m |
| 6 | Piezoelectric Element Size | Ø1.8 mm |
| 7 | Scanning Zone Width | 35 mm |
| No. | Parameter Name | Value |
|---|---|---|
| 1 | Heater temperature | 220 °C |
| 2 | Bead-up pressure | 15 bar |
| 3 | Heating time | 99 s |
| 4 | Cooling time | 10 min |
Disclaimer/Publisher’s Note: The statements, opinions and data contained in all publications are solely those of the individual author(s) and contributor(s) and not of MDPI and/or the editor(s). MDPI and/or the editor(s) disclaim responsibility for any injury to people or property resulting from any ideas, methods, instructions or products referred to in the content. |
© 2025 by the authors. Licensee MDPI, Basel, Switzerland. This article is an open access article distributed under the terms and conditions of the Creative Commons Attribution (CC BY) license (https://creativecommons.org/licenses/by/4.0/).
Share and Cite
Shikhov, A.; Gogolinskii, K.; Kopytina, D.; Vinogradova, A.; Zubarev, A. Research on Acoustic Properties of Artificial Inhomogeneities in Calibration Samples for Ultrasonic Testing of Polyethylene Pipe Welds. Metrology 2025, 5, 51. https://doi.org/10.3390/metrology5030051
Shikhov A, Gogolinskii K, Kopytina D, Vinogradova A, Zubarev A. Research on Acoustic Properties of Artificial Inhomogeneities in Calibration Samples for Ultrasonic Testing of Polyethylene Pipe Welds. Metrology. 2025; 5(3):51. https://doi.org/10.3390/metrology5030051
Chicago/Turabian StyleShikhov, Aleksandr, Kirill Gogolinskii, Darya Kopytina, Anna Vinogradova, and Aleksei Zubarev. 2025. "Research on Acoustic Properties of Artificial Inhomogeneities in Calibration Samples for Ultrasonic Testing of Polyethylene Pipe Welds" Metrology 5, no. 3: 51. https://doi.org/10.3390/metrology5030051
APA StyleShikhov, A., Gogolinskii, K., Kopytina, D., Vinogradova, A., & Zubarev, A. (2025). Research on Acoustic Properties of Artificial Inhomogeneities in Calibration Samples for Ultrasonic Testing of Polyethylene Pipe Welds. Metrology, 5(3), 51. https://doi.org/10.3390/metrology5030051

