Setting the Emissivity of an Imaging Bolometer in the Surface Temperature Profile Measurement of SiC-Based MEMS Heaters
Abstract
1. Introduction
2. Materials and Methods
3. Complications of a Bandwidth-Limited Bolometer
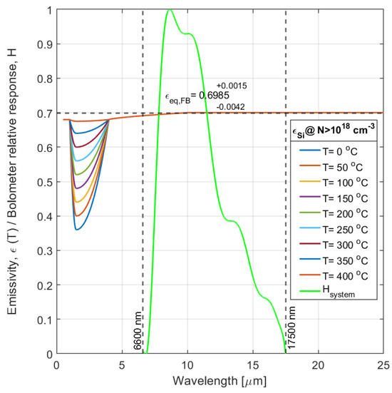
3.1. Comparison Between Si and SiC
3.2. Options for Modeling
4. Analyzing by Deduction
5. Experimental Validation of
6. Discussion and Conclusions
- The variations of () within the sensitivity band of the bolometer do affect the optimum instrument setting for the non-contact temperature measurement on a SiC sample.
- The Wien shift of the peak in the spectral radiance to shorter wavelengths with increasing emitter temperature, and thus out of the sensitivity band of the bolometer for 80 °C, does result in a apparent temperature dependence of the optimum instrument setting for emissivity, which is expressed in terms of an apparent temperature coefficient of emissivity, 2 × 10−4 °C−1.
- The measurements are performed in air and not in vacuum. Although the combined calibration–bolometer characterization in a sequence of two measurements is in principle a ratiometric measurement in which this effect, if time-invariant, is in a first approximation canceled out, a residual dependency cannot be ruled out. We have taken measures to ensure a repeatable measurement.
- The sample is suspended using clamps during measurement; therefore, there is heat flow due to thermal conduction. However, this effect is also in first approximation canceled out in the ratiometric measurement.
- The effect of material properties, such as the SiC layer doping concentration, its vertical profile, and surface roughness, are not considered in this study. The typical spatial wavelength of the surface roughness is significantly smaller than the IR wavelength range considered and the amount of scattering is small. In this work the emitting layer is of a sufficiently high doping concentration and thickness to ensure compliance with Kirchhoff’s law of thermal radiation.
Author Contributions
Funding
Data Availability Statement
Acknowledgments
Conflicts of Interest
Abbreviations
| SiC | Silicon-Carbide |
| MEMS | Micro Electro Mechanical System |
| TCE | Temperature Coefficient of Emissivity |
| LED | Light Emitting Diode |
| FOV | Field of View |
| IFOV | Instantaneous Field of View |
| FWHM | Full Width Half Magnitude |
| SMU | Source Measure Unit |
| pcb | printed circuit board |
| LPCVD | Low-Pressure Chemical Vapor Deposition |
| TCR | Temperature Coefficient of Resistivity |
References
- Michalski, L.; Eckersdorf, K.; McGee, J. Temperature Measurement; Wiley: Hoboken, NJ, USA, 1991. [Google Scholar]
- Richards, P.L. Bolometers for infrared and millimeter waves. J. Appl. Phys. 1994, 76, 1–24. [Google Scholar] [CrossRef]
- Afridi, M.; Beming, D.; Hefner, A.; Suehle, J.; Zaghloul, M.; Kelley, A.; Parrilla, Z.; Ellenwood, C. Transient heating study of microhotplates by using a high-speed thermal imaging system. In Proceedings of the IEEE 18th SEMI-THERM Symposium, San Jose, CA, USA, 12–14 March 2002; pp. 92–98. [Google Scholar]
- Peterson, B.J. Infrared imaging video bolometer. Rev. Sci. Instrum. 2000, 71, 3696–3701. [Google Scholar] [CrossRef]
- Grujić, K. A Review of thermal spectral imaging methods for monitoring high-temperature molten material streams. Sensors 2023, 23, 1130. [Google Scholar] [CrossRef] [PubMed]
- The Ultimate Infrared Handbook for R&D Professionals. Available online: https://www.flir.eu/discover/rd-science/the-ultimate-infrared-handbook-for-rnd-professionals/ (accessed on 10 June 2024).
- Meijer, G.; van Herwaarden, A. Thermal Sensors; IOP Publishing: Bristol, UK, 1994. [Google Scholar]
- Saunders, P.; Fischer, J.; Sadli, M.; Battuello, M.; Park, C.; Yuan, Z.; Yoon, H.; Li, W.; Van Der Ham, A.; Sakuma, F.; et al. Uncertainty budgets for calibration of radiation thermometers below the silver point. Int. J. Thermophys. 2008, 29, 1066–1083. [Google Scholar] [CrossRef]
- Budzier, H.; Gerlach, G. Calibration of uncooled thermal infrared cameras. J. Sens. Sens. Syst. 2015, 4, 187–197. [Google Scholar] [CrossRef]
- Musto, M.; Rotondo, G.; De Cesare, M.; Vecchio, A.D.; Savino, L.; De Filippis, F. Error analysis on measurement temperature by means dual-color thermography technique. Measurement 2016, 90, 265–277. [Google Scholar] [CrossRef]
- Martinez, I.; Otamendi, U.; Olaizola, I.G.; Solsona, R.; Maiza, M.; Viles, E.; Fernandez, A.; Arzua, I. A novel method for error analysis in radiation thermometry with application to industrial furnaces. Measurement 2022, 190, 110646. [Google Scholar] [CrossRef]
- Stewart, J.E.; Richmond, J.C. Infrared Emission Spectrum of silicon carbide heating elements. J. Res. Natl. Bur. Stand. 1957, 59, 405–409. [Google Scholar] [CrossRef]
- Cagran, C.P.; Hanssen, L.M.; Noorma, M.; Gura, A.V.; Mekhontsev, S.N. Temperature-resolved infrared spectral emissivity of SiC and Pt–10Rh for temperatures up to 900 °C. Int. J. Thermophys. 2007, 28, 581–597. [Google Scholar] [CrossRef]
- van Oudheusden, B.W.; Huijsing, J.H. Integrated silicon flow-direction sensor. Sens. Actuators 1989, 16, 109–119. [Google Scholar] [CrossRef]
- de Graaf, G.; Abarca Prouza, A.; Ghaderi, M.A.; Wolffenbuttel, R.F. Micro thermal conductivity detector with flow compensation using a dual-MEMS device. Sens. Actuators A Phys. 2016, 249, 186–198. [Google Scholar] [CrossRef]
- Briand, D.; Krauss, A.; Van der Schoot, B.; Weimar, U.; Barsan, N.; Göpel, W.; De Rooij, N.F. Design and fabrication of high-temperature micro-hotplates for drop-coated gas sensors. Sens. Actuators B Chem. 2000, 68, 223–233. [Google Scholar] [CrossRef]
- Martinelli, E.; Polese, D.; Catini, A.; D’Amico, A.; Di Natale, C. Self-adapted temperature modulation in metal-oxide semiconductor gas sensors. Sens. Actuators B Chem. 2012, 161, 534–541. [Google Scholar] [CrossRef]
- Illyaskutty, N.; Knoblauch, J.; Schwotzer, M.; Kohler, H. Thermally modulated multi sensor arrays of SnO2/additive/electrode combinations for enhanced gas identification. Sens. Actuators B Chem. 2015, 217, 2–12. [Google Scholar] [CrossRef]
- Hildenbrand, J.; Korvink, J.; Wöllenstein, J.; Peter, C.; Kürzinger, A.; Naumann, F.; Elbert, M.; Lamprecht, F. Micromachined mid-infrared emitter for fast transient temperature operation for optical gas sensing systems. IEEE Sens. J. 2010, 10, 353–362. [Google Scholar] [CrossRef]
- Liao, J.H.; Chen, C.J.; Yu, C.J.; Wu, M.C. MEMS-based planar incandescent microfilaments with low voltage operation. IEEE J. Electron. Devices Soc. 2020, 8, 640–643. [Google Scholar] [CrossRef]
- Lochbaum, A.; Fedoryshyn, Y.; Dorodnyy, A.; Koch, U.; Hafner, C.; Leuthold, J. On-Chip narrowband thermal emitter for mid-IR optical gas sensing. ACS Photonics 2017, 4, 1371–1380. [Google Scholar] [CrossRef]
- Kimoto, T.; Cooper, J.A. Fundamentals of Silicon Carbide Technology: Growth, Characterization, Devices and Applications; Wiley: Hoboken, NJ, USA, 2014. [Google Scholar]
- Wijesundara, M.; Azevedo, R. Silicon Carbide Microsystems for Harsh Environments; Springer: New York, NY, USA, 2011. [Google Scholar]
- Wright, N.G.; Horsfall, A.B. SiC sensors: A review. J. Phys. D Appl. Phys. 2007, 40, 6345. [Google Scholar] [CrossRef]
- Middelburg, L.M.; Ghaderi, M.A.; Bilby, D.; Visser, J.H.; Zhang, G.Q.; Lundgren, P.; Enoksson, P.; Wolffenbuttel, R.F. Maintaining transparency of a heated MEMS membrane for enabling long-term optical measurements on soot-containing exhaust gas. Sensors 2020, 20, 3. [Google Scholar] [CrossRef]
- Liu, H.; Zhang, X.; Xu, N.; Han, C.; Wu, N.; Wang, B.; Wang, Y. Progress of one-dimensional SiC Nanomaterials: Design, fabrication and sensing applications. Nanomaterials 2024, 14, 187. [Google Scholar] [CrossRef]
- Sun, K.; Wang, T.; Gong, W.; Lu, W.; He, X.; Eddings, E.G.; Fan, M. Synthesis and potential applications of silicon carbide nanomaterials. Nanocomposites Ceram. Int. 2022, 48, 32571–32587. [Google Scholar] [CrossRef]
- Sato, K. Spectral emissivity of silicon. Jpn. J. Appl. Phys. 1967, 6, 339–347. [Google Scholar] [CrossRef]
- Ravindra, N.M.; Abedrabbo, S.; Chen, W.; Tong, F.M.; Nanda, A.K.; Speranza, A.C. Temperature-dependent emissivity of silicon-related materials and structures. IEEE Trans. Semicond. Manuf. 1998, 11, 30–39. [Google Scholar] [CrossRef]
- Ravindra, N.M.; Sopori, B.; Gokce, O.H.; Cheng, S.X.; Shenoy, A.; Jin, L.; Abedrabbo, S.; Chen, W.; Zhang, Y. Emissivity measurements and modeling of silicon-related materials: An overview. Int. J. Thermophys. 2001, 22, 1593–1611. [Google Scholar] [CrossRef]
- Lehman, J.; Theocharous, E.; Eppeldauer, G.; Pannell, C. Gold-black coatings for freestanding pyroelectric detectors. Meas. Sci. Technol. 2003, 14, 916. [Google Scholar] [CrossRef]
- Kats, M.A.; Capasso, F. Optical absorbers based on strong interference in ultra-thin films. Laser Photonics Rev. 2016, 10, 735–749. [Google Scholar] [CrossRef]
- Gheitaghya, A.M.; Ghaderi, M.A.; Vollebregt, S.; Ahmadi, M.; Wolffenbuttel, R.F.; Zhan, G.Q. Infrared absorbance of vertically aligned multi-walled CNT forest as a function of synthesis temperature and time. Mat. Res. Bull. 2020, 126, 110821. [Google Scholar] [CrossRef]
- Lee, Y.P.; Rhee, J.Y.; Yoo, Y.J.; Kim, K.W. Metamaterials for Perfect Absorption; Springer Series in Materials Science; Springer: Singapore, 2016; Volume 236. [Google Scholar]
- Li, A.; Singh, S.; Sievenpiper, D. Metasurfaces and their applications. Nanophotonics 2018, 7, 989–1011. [Google Scholar] [CrossRef]
- Ghaderi, M.A.; Shahmarvandi, E.K.; Wolffenbuttel, R.F. CMOS-compatible mid-IR metamaterial absorbers for out-of-band suppression in optical MEMS. Opt. Mater. Express 2018, 8, 1696–1707. [Google Scholar] [CrossRef]
- Rousseau, B.; Brun, J.F.; Meneses, D.; Echegut, P. Temperature measurement: Christiansen wavelength and blackbody reference. Int. J. Thermophys. 2005, 26, 1277–1286. [Google Scholar] [CrossRef]
- Guo, Y.M.; Pang, S.J.; Luo, Z.J.; Shuai, Y.; Tan, H.P.; Qi, H. Measurement of directional spectral emissivity at high temperatures. Int. J. Thermophys. 2019, 40, 10. [Google Scholar] [CrossRef]









Disclaimer/Publisher’s Note: The statements, opinions and data contained in all publications are solely those of the individual author(s) and contributor(s) and not of MDPI and/or the editor(s). MDPI and/or the editor(s) disclaim responsibility for any injury to people or property resulting from any ideas, methods, instructions or products referred to in the content. |
© 2025 by the authors. Licensee MDPI, Basel, Switzerland. This article is an open access article distributed under the terms and conditions of the Creative Commons Attribution (CC BY) license (https://creativecommons.org/licenses/by/4.0/).
Share and Cite
Wolffenbuttel, R.; Bilby, D.; Visser, J. Setting the Emissivity of an Imaging Bolometer in the Surface Temperature Profile Measurement of SiC-Based MEMS Heaters. Metrology 2025, 5, 36. https://doi.org/10.3390/metrology5020036
Wolffenbuttel R, Bilby D, Visser J. Setting the Emissivity of an Imaging Bolometer in the Surface Temperature Profile Measurement of SiC-Based MEMS Heaters. Metrology. 2025; 5(2):36. https://doi.org/10.3390/metrology5020036
Chicago/Turabian StyleWolffenbuttel, Reinoud, David Bilby, and Jaco Visser. 2025. "Setting the Emissivity of an Imaging Bolometer in the Surface Temperature Profile Measurement of SiC-Based MEMS Heaters" Metrology 5, no. 2: 36. https://doi.org/10.3390/metrology5020036
APA StyleWolffenbuttel, R., Bilby, D., & Visser, J. (2025). Setting the Emissivity of an Imaging Bolometer in the Surface Temperature Profile Measurement of SiC-Based MEMS Heaters. Metrology, 5(2), 36. https://doi.org/10.3390/metrology5020036

