Expression of IFN-γ, TNF-α and Interleukins in the Nasopharyngeal Cells and Mononuclear Cells of Mexican Patients with Influenza or SARS-CoV-2
Abstract
1. Introduction
2. Materials and Methods
2.1. Bioethical Considerations
2.2. Study Design and Participants
2.3. Epidemiological Questionnaire and Anthropometric Assessment
2.4. Clinically Suspected and RT–qPCR–Confirmed Acute Respiratory Viral Infections
2.5. COVID-19 Recovery Cohort: Biological Sample Collection and Handling
2.6. Hematological and Biochemical Analyses
2.7. Cytokine Gene Expression Analysis
2.8. Statistical Analysis
3. Results
3.1. General Characteristics of the Study Population
3.2. Symptoms of the Population with ARIs and Post-COVID-19 Recovery
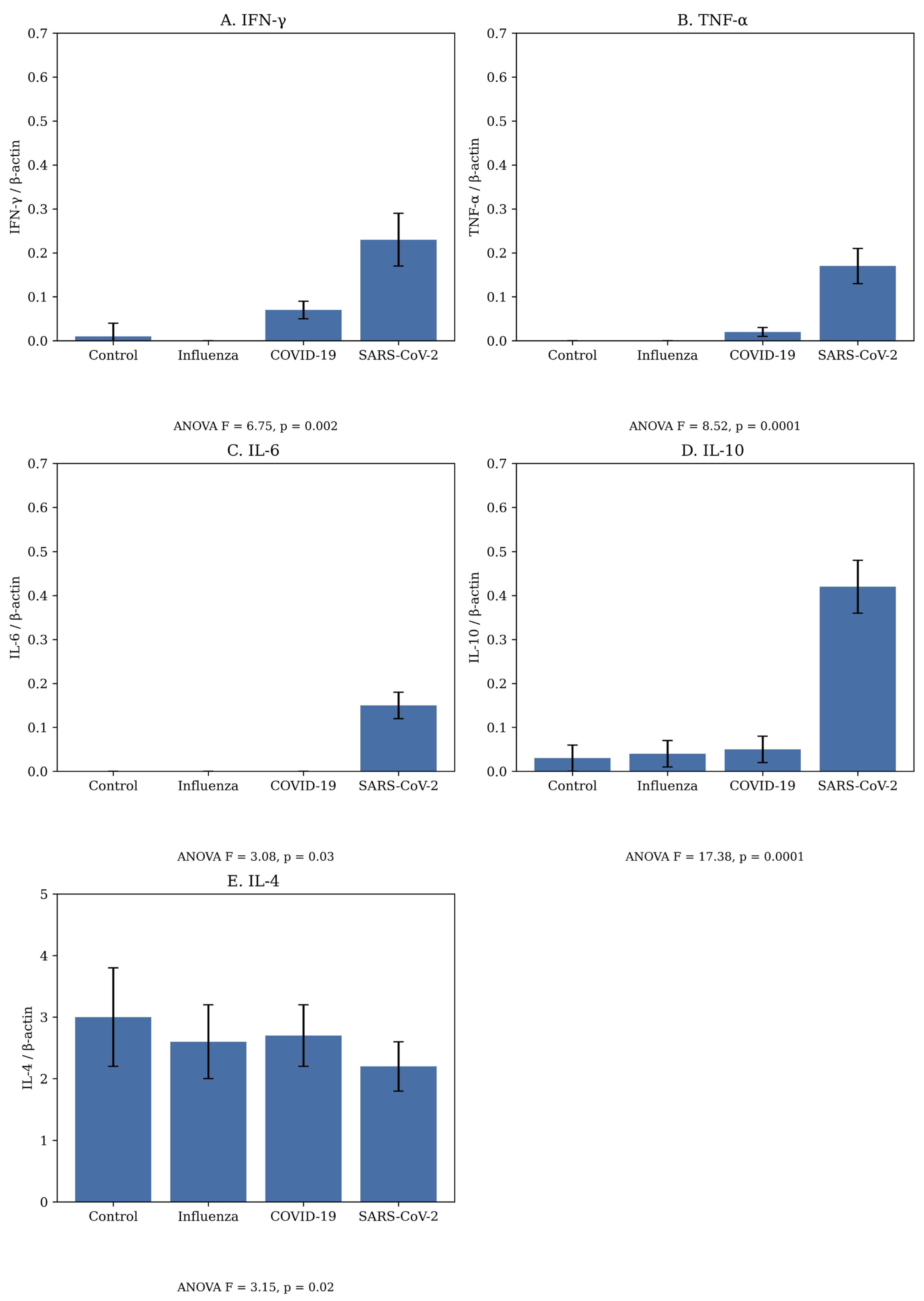
3.3. ARIs and Cytokine Expression in the Nasal Epithelium
3.4. Hematological, Metabolic, and Liver Biomarkers in Patients Recovered from COVID-19
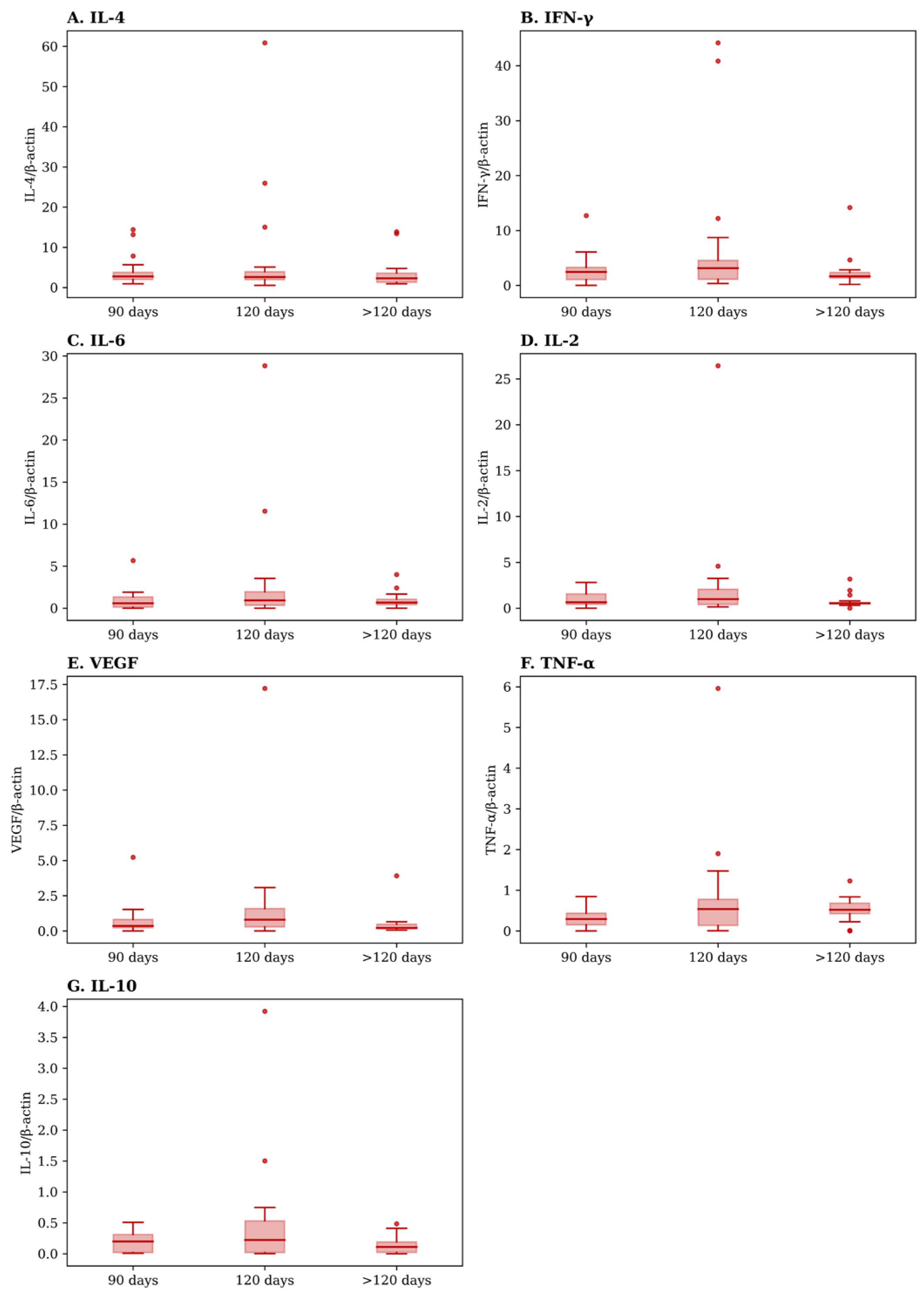
3.5. Cytokine Expression in PBMCs of Patients Recovered from COVID-19
4. Discussion
4.1. Acute Symptoms and Persistence During Post-Infection Recovery
4.2. Role of Comorbidities in Recovery Trajectories
4.3. Local Immune Responses in the Nasal Epithelium During Acute Infection
4.4. Persistent Metabolic and Hematological Alterations After COVID-19
4.5. Systemic Immune Responses in PBMCs During Post-Infection Recovery
4.6. Integration of Mucosal and Systemic Immune Findings
5. Conclusions
Supplementary Materials
Author Contributions
Funding
Institutional Review Board Statement
Informed Consent Statement
Data Availability Statement
Acknowledgments
Conflicts of Interest
Abbreviations
| ALT | Alanine aminotransferase |
| ANOVA | Analysis of variance |
| ARI | Acute respiratory infection |
| AST | Aspartate aminotransferase |
| BMI | Body mass index |
| CBC | Complete blood count |
| COVID-19 | Coronavirus disease 2019 |
| Ct | Cycle threshold |
| GGT | Gamma-glutamyl transferase |
| HbA1c | Glycated hemoglobin |
| HDL | High-density lipoprotein |
| IFN-γ | Interferon gamma |
| IL | Interleukin |
| LDL | Low-density lipoprotein |
| MCV | Mean corpuscular volume |
| MCH | Mean corpuscular hemoglobin |
| MCHC | Mean corpuscular hemoglobin concentration |
| PBMCs | Peripheral blood mononuclear cells |
| qPCR | Quantitative polymerase chain reaction |
| RT–qPCR | Reverse transcription quantitative polymerase chain reaction |
| SARS-CoV-2 | Severe acute respiratory syndrome coronavirus 2 |
| TNF-α | Tumor necrosis factor alpha |
| VEGF | Vascular endothelial growth factor |
| VLDL | Very-low-density lipoprotein |
| WBC | White blood cells |
References
- Bayona, O.Y.; Niederbacher, V.J. Viral respiratory infections in pediatrics: General aspects of pathophysiology, diagnosis, and selected clinical outcomes. Med. UIS 2015, 28, 133–141. [Google Scholar]
- Shi, R.; Xu, W.; Feng, L.; Ye, D.; Luo, B.; Liu, Y.; Cao, H.; Tang, L. Value of Glycemic Dispersion Index in Predicting Major Adverse Cardiovascular Events in Diabetic Patients with Concomitant Acute Coronary Syndrome. Diabetes Metab. Syndr. Obes. 2024, 17, 3433–3445. [Google Scholar] [CrossRef]
- Hodinka, R.L. Respiratory RNA Viruses. Microbiol. Spectr. 2016, 4, DMIH2-0028-2016. [Google Scholar] [CrossRef]
- Manzanares-Meza, L.D.; Medina-Contreras, O. SARS-CoV-2 and influenza: A comparative overview and treatment implications. Boletín Médico Hosp. Infant. México 2020, 77, 262–273. [Google Scholar] [CrossRef]
- Fodor, E.; te Velthuis, A.J.W. Structure and Function of the Influenza Virus Transcription and Replication Machinery. Cold Spring Harb. Perspect. Med. 2020, 10, a038398. [Google Scholar] [CrossRef]
- World Health Organization. Influenza (Seasonal). Available online: https://www.who.int/es/news-room/fact-sheets/detail/influenza-(seasonal) (accessed on 2 January 2025).
- Ye, Q.; West, A.M.V.; Silletti, S.; Corbett, K.D. Architecture and self-assembly of the SARS-CoV-2 nucleocapsid protein. Protein Sci. 2020, 29, 1890–1901. [Google Scholar] [CrossRef] [PubMed]
- Lima, W.G.; Brito, J.C.M.; da Cruz Nizer, W.S. Bee products as a source of promising therapeutic and chemoprophylaxis strategies against COVID-19 (SARS-CoV-2). Phytother. Res. 2021, 35, 743–750. [Google Scholar] [CrossRef]
- Centers for Disease Control and Prevention. Symptoms of COVID-19. Available online: https://www.cdc.gov/covid/signs-symptoms/index.html (accessed on 2 January 2025).
- Struyf, T.; Deeks, J.; Dinnes, J.; Takwoingi, Y.; Davenport, C.; Leeflang, M.; Spijker, R.; Emperador, D.; Domen, J.; Tans, A.; et al. Signs and symptoms to determine if a patient presenting in primary care or hospital outpatient settings has COVID-19. Cochrane Database Syst. Rev. 2022, 5, CD013665. [Google Scholar]
- Gobierno de México. Coronavirus (COVID-19). Available online: https://www.coronavirus.gob.mx (accessed on 3 January 2025).
- Ramesh, S.; Govindarajulu, M.; Parise, R.; Neel, L.; Shankar, T.; Patel, S.; Lowery, P.; Smith, F.; Dhanasekaran, M.; Moore, T. Emerging SARS-CoV-2 Variants: A Review of Its Mutations, Implications, and Vaccine Efficacy. Vaccines 2021, 9, 1195. [Google Scholar] [CrossRef] [PubMed]
- Carabelli, A.M.; Peacock, T.P.; Thorne, L.G.; Harvey, W.T.; Hughes, J. SARS-CoV-2 variant biology: Immune escape, transmission and fitness. Nat. Rev. Microbiol. 2023, 21, 162–177. [Google Scholar] [CrossRef] [PubMed]
- Young, M.; Crook, H.; Scott, J.; Edison, P. Covid-19: Virology, variants, and vaccines. BMJ Med. 2022, 1, e000040. [Google Scholar] [CrossRef]
- Tang, X.; Wu, C.; Li, X.; Song, Y.; Yao, X.; Wu, X.; Duan, Y.; Zhang, H.; Wang, Y.; Qian, Z.; et al. On the origin and continuing evolution of SARS-CoV-2. Natl. Sci. Rev. 2020, 7, 1012–1023. [Google Scholar] [CrossRef]
- Knoll, R.; Schultze, J.L.; Schulte-Schrepping, J. Monocytes and Macrophages in COVID-19. Front. Immunol. 2021, 12, 720109. [Google Scholar] [CrossRef]
- Ahmad, R.; Haque, M. Surviving the Storm: Cytokine Biosignature in SARS-CoV-2 Severity Prediction. Vaccines 2022, 10, 614. [Google Scholar] [CrossRef]
- Loyer, C.; Lapostolle, A.; Urbina, T.; Elabbadi, A.; Lavillegrand, J.R.; Chaigneau, T.; Simoes, C.; Dessajan, J.; Desnos, C.; Morin-Brureau, M.; et al. Impairment of neutrophil functions and homeostasis in COVID-19 patients. Crit. Care 2022, 26, 155. [Google Scholar] [CrossRef] [PubMed]
- Smith, N.; Goncalves, P.; Charbit, B.; Grzelak, L.; Beretta, M.; Planchais, C.; Bruel, T.; Rouilly, V.; Bondet, V.; Hadjadj, J.; et al. Distinct systemic and mucosal immune responses during acute SARS-CoV-2 infection. Nat. Immunol. 2021, 22, 1428–1439. [Google Scholar] [CrossRef] [PubMed]
- Dienz, O.; Rud, J.G.; Eaton, S.M.; Lanthier, P.A.; Burg, E.; Drew, A.; Bunn, J.; Suratt, B.T.; Haynes, L.; Rincon, M. Essential role of IL-6 in protection against H1N1 influenza virus by promoting neutrophil survival in the lung. Mucosal Immunol. 2012, 5, 258–266. [Google Scholar] [CrossRef]
- Abdelrahman, Z.; Li, M.; Wang, X. Comparative Review of SARS-CoV-2, SARS-CoV, MERS-CoV, and Influenza A Respiratory Viruses. Front. Immunol. 2020, 11, 552909. [Google Scholar] [CrossRef] [PubMed]
- Phetsouphanh, C.; Darley, D.R.; Wilson, D.B.; Howe, A.; Munier, C.M.L.; Patel, S.K.; Juno, J.A.; Burrell, L.M.; Kent, S.J.; Dore, G.J.; et al. Immunological dysfunction persists for 8 months following initial mild-to-moderate SARS-CoV-2 infection. Nat. Immunol. 2022, 23, 210–216. [Google Scholar] [CrossRef]
- Schultheiß, C.; Willscher, E.; Paschold, L.; Gottschick, C.; Klee, B.; Henkes, S.S.; Bosurgi, L.; Dutzmann, J.; Sedding, D.; Frese, T.; et al. The IL-1β, IL-6, and TNF cytokine triad is associated with post-acute sequelae of COVID-19. Cell Rep. Med. 2022, 3, 100663. [Google Scholar] [CrossRef]
- WHO. Post COVID-19 Condition (Long COVID). 2024. Available online: https://www.who.int (accessed on 2 January 2025).
- Yao, Q.; Ni, J.; Hu, T.T.; Cai, Z.L.; Zhao, J.H.; Xie, Q.W.; Liu, C.; Wu, Q.Q. Clinical characteristics and outcomes in coronavirus disease 2019 (COVID-19) patients with and without hypertension: A retrospective study. Rev. Cardiovasc. Med. 2020, 21, 615–625. [Google Scholar] [CrossRef]
- Montefusco, L.; Ben Nasr, M.; D’Addio, F.; Loretelli, C.; Rossi, A.; Pastore, I.; Daniele, G.; Abdelsalam, A.; Maestroni, A.; Dell’Acqua, M.; et al. Acute and long-term disruption of glycometabolic control after SARS-CoV-2 infection. Nat. Metab. 2021, 3, 774–785. [Google Scholar] [CrossRef]
- Muus, C.; Luecken, M.D.; Eraslan, G.; Sikkema, L.; Waghray, A.; Heimberg, G.; Kobayashi, Y.; Vaishnav, E.D.; Subramanian, A.; Smillie, C.; et al. Single-cell meta-analysis of SARS-CoV-2 entry genes across tissues and demographics. Nat. Med. 2021, 27, 546–559. [Google Scholar] [CrossRef] [PubMed]
- Noh, H.E.; Rha, M.S. Mucosal Immunity against SARS-CoV-2 in the Respiratory Tract. Pathogens 2024, 13, 113. [Google Scholar] [CrossRef]
- Yin, K.; Peluso, M.J.; Luo, X.; Thomas, R.; Shin, M.G.; Neidleman, J.; Andrew, A.; Young, K.C.; Ma, T.; Hoh, R.; et al. Long COVID manifests with T cell dysregulation, inflammation and an uncoordinated adaptive immune response to SARS-CoV-2. Nat. Immunol. 2024, 25, 218–225. [Google Scholar] [CrossRef]
- Kowalska, K.; Sabatowska, Z.; Forycka, J.; Młynarska, E.; Franczyk, B.; Rysz, J. The Influence of SARS-CoV-2 Infection on Lipid Metabolism—The Potential Use of Lipid-Lowering Agents in COVID-19 Management. Biomedicines 2022, 10, 2320. [Google Scholar] [CrossRef]
- Liang, J.; Liu, J.; Chen, Y.; Ye, B.; Li, N.; Wang, X.; Tang, M.; Shao, J. Characteristics of laboratory findings of COVID-19 patients with comorbid diabetes mellitus. Diabetes Res. Clin. Pract. 2020, 167, 108351. [Google Scholar] [CrossRef] [PubMed]
- Todorović, R.; Whitfield, J. The role of IFN-γ in SARS-CoV-2 disease. Cytokine 2021, 146, 155637. [Google Scholar] [CrossRef] [PubMed]
- Gómez-Carballa, A.; Pischedda, S.; Pardo-Seco, J.; Gómez-Rial, J.; Martinón-Torres, F.; Salas, A. Interferon gene expression declines over time post-COVID infection and in long COVID patients. Infect. Dis. 2025, 57, 35–48. [Google Scholar] [CrossRef]
- Farré, X.; Blay, N.; Iraola-Guzmán, S.; Fernández-Jiménez, F.; Alzate-Piñol, S.; Llucià-Carol, L.; Espinosa, A.; Castaño-Vinyals, G.; Moncunill, G.; Karachaliou, M.; et al. VEGFA sex-specific signature is associated with long COVID symptom persistence. BMC Med. 2025, 23, 552. [Google Scholar] [CrossRef]



| A. Population with ARI Infection | ||||
|---|---|---|---|---|
| Variable | Control Group (n = 30) | Influenza Group (n = 30) | Asymptomatic SARS-CoV-2 Group (n = 30) | Symptomatic COVID-19 Group (n = 30) |
| Age, Q2 (Q1–Q3) | 34 (27–44) | 31 (27–39) | 44 (28–66) | 39 (32–53) |
| Female (%) | 33.3 | 50 | 33.3 | 50 |
| Male (%) | 66.7 | 50 | 66.7 | 50 |
| B. COVID-19 Recovery Cohort (n = 90) | ||||
| Variable | Median (Q1–Q3) | |||
| Age | 42.5 (26–57) | |||
| Body Mass Index | 27.05 (23.4–32.2) | |||
| Post-infection days | 104.5 (88–143) | |||
| n (%) | ||||
| Men | 26 (29) | |||
| Women | 64 (71) | |||
| Obesity | 59 (65.5) | |||
| Hypertension | 13 (14.4) | |||
| Diabetes | 10 (11.1) | |||
| Renal disease | 4 (4.4) | |||
| Smoking | 10 (11.1) | |||
| Alcohol consumption | 37 (41.1) | |||
| Parameter | Median (Q1–Q3) | Normal Reference Value | Percentage Altered |
|---|---|---|---|
| Hematological | |||
| WBC (miles/mm3) | 6.7 (5.7–8.0) | 4.8–10 | 4.88 |
| Lymphocytes (%) | 33.0 (26.0–39.0) | 24–45 | 17.77 |
| Monocytes (%) | 5.0 (3.0–6.0) | 4–8 | 6.55 |
| Neutrophils (%) | 60.0 (53.2–67.0) | 40–75 | 4.44 |
| RBC (mill/mm3) | 4.67 (4.3–5.0) | 3.9–6.2 | 12.22 |
| Hemoglobin (g/dL) | 14.1 (13.3–15.1) | 12–18 | 2.22 |
| Hematocrit (%) | 42.5 (39.9–45.5) | 35–54 | 2.22 |
| MCV (fL) | 92.3 (87.7–95.5) | 80–99 | 5.55 |
| MCH (pg) | 30.3 (29.2–31.9) | 28–33 | 5.55 |
| MCHC (g/dL) | 33.3 (31.8–33.8) | 32–36 | 1.11 |
| Platelets (miles/mm3) | 279.0 (235.2–336.0) | 150–400 | 13.33 |
| Glycosylated hemoglobin (HbA1c, %) | 5.6 (5.3–5.9) | >5.7 | 42.22 |
| Metabolic | |||
| Glucose (mg/dL) | 85 (76.2–90) | >100 | 12.20 |
| Cholesterol (mg/dL) | 143.8 (143.5–172.5) | >200 | 6.00 |
| Triglycerides (mg/dL) | 136 (86.4–198.2) | >150 | 43.30 |
| HDL (mg/dL) | 54.8 (42.1–64) | <40 | 18.80 |
| LDL (mg/dL) | 63.4 (43–84.6) | >130 | 3.30 |
| VLDL (mg/dL) | 27.2 (17.9–39.5) | 20–40 | 23.30 |
| Phospholipids (mg/dL) | 344.5 (324.5–371.7) | 150–380 | 20.00 |
| Total lipids (mg/dL) | 626 (555–740.7) | 400–1000 | 0.00 |
| AST (U/L) | 15.6 (13.1–18.1) | <40 | 2.20 |
| ALT (U/L) | 7.8 (6.5–10.7) | <45 | 0.00 |
| GGT (U/L) | 23.1 (15.6–31.7) | <55 | 11.11 |
Disclaimer/Publisher’s Note: The statements, opinions and data contained in all publications are solely those of the individual author(s) and contributor(s) and not of MDPI and/or the editor(s). MDPI and/or the editor(s) disclaim responsibility for any injury to people or property resulting from any ideas, methods, instructions or products referred to in the content. |
© 2026 by the authors. Licensee MDPI, Basel, Switzerland. This article is an open access article distributed under the terms and conditions of the Creative Commons Attribution (CC BY) license.
Share and Cite
González-Delgado, M.F.; González-Zamora, A.; Alba-Romero, J.J.; Olivas-Calderón, E.H.; Pérez-Morales, R. Expression of IFN-γ, TNF-α and Interleukins in the Nasopharyngeal Cells and Mononuclear Cells of Mexican Patients with Influenza or SARS-CoV-2. COVID 2026, 6, 38. https://doi.org/10.3390/covid6030038
González-Delgado MF, González-Zamora A, Alba-Romero JJ, Olivas-Calderón EH, Pérez-Morales R. Expression of IFN-γ, TNF-α and Interleukins in the Nasopharyngeal Cells and Mononuclear Cells of Mexican Patients with Influenza or SARS-CoV-2. COVID. 2026; 6(3):38. https://doi.org/10.3390/covid6030038
Chicago/Turabian StyleGonzález-Delgado, María F., Alberto González-Zamora, José J. Alba-Romero, Edgar H. Olivas-Calderón, and Rebeca Pérez-Morales. 2026. "Expression of IFN-γ, TNF-α and Interleukins in the Nasopharyngeal Cells and Mononuclear Cells of Mexican Patients with Influenza or SARS-CoV-2" COVID 6, no. 3: 38. https://doi.org/10.3390/covid6030038
APA StyleGonzález-Delgado, M. F., González-Zamora, A., Alba-Romero, J. J., Olivas-Calderón, E. H., & Pérez-Morales, R. (2026). Expression of IFN-γ, TNF-α and Interleukins in the Nasopharyngeal Cells and Mononuclear Cells of Mexican Patients with Influenza or SARS-CoV-2. COVID, 6(3), 38. https://doi.org/10.3390/covid6030038

