Influence of Pt Ultrathin Interlayers on Magnetic Anisotropy in Ni/NiO Multilayers
Abstract
1. Introduction
2. Materials and Methods
3. Results
3.1. Multilayer Structural Characterization
3.2. Multilayer Magnetic Characterization
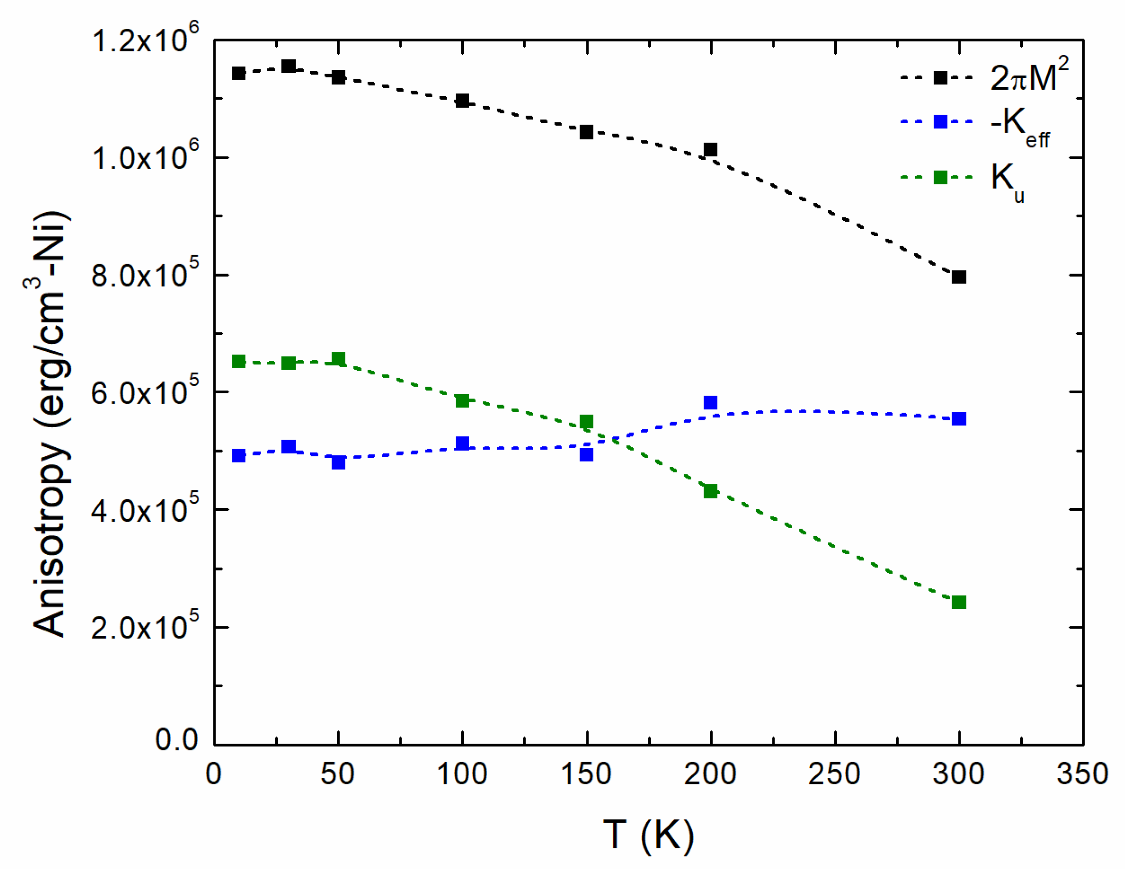
4. Discussion
5. Conclusions
Author Contributions
Funding
Data Availability Statement
Conflicts of Interest
References
- Carcia, P.F.; Meinhaldt, A.D.; Suna, A. Perpendicular magnetic anisotropy in Pd/Co thin film layered structures. Appl. Phys. Lett. 1985, 47, 178–180. [Google Scholar] [CrossRef]
- Hashimoto, S.; Ochiai, Y. Co/Pt and Co/Pd multilayers as magneto-optical recording material. J. Magn. Magn. Mater. 1990, 88, 211–226. [Google Scholar] [CrossRef]
- Chappert, C.; Fert, A.; Van Dau, F.N. The emergence of spin electronics in data storage. Nat. Mater. 2007, 6, 813–823. [Google Scholar] [CrossRef] [PubMed]
- Hirohata, A.; Yamada, K.; Nakatani, Y.; Prejbeanu, I.-L.; Dieny, B.; Pirro, P.; Hillebrands, B. Review on spintronics: Principles and device applications. J. Magn. Magn. Mater. 2020, 509, 166711. [Google Scholar] [CrossRef]
- Krishnan, R.; Lassri, H.; Porte, M.; Tessier, M.; Renaudin, P. Perpendicular magnetization in Ni/Pt multilayers. Appl. Phys. Lett. 1991, 59, 3649–3650. [Google Scholar] [CrossRef]
- Angelakeris, M.; Poulopoulos, P.; Vouroutzis, N.; Nyvlt, M.; Prosser, V.; Visnovsky, S.; Krishnan, R.; Flevaris, N.K. Structural and spectroscopic magneto-optic studies of Pt-Ni multilayers. J. Appl. Phys. 1997, 82, 5640–5645. [Google Scholar] [CrossRef]
- Shin, S.-C.; Srinivas, G.; Kim, Y.-S.; Kim, M.-G. Observation of perpendicular magnetic anisotropy in Ni/Pt multilayers at room temperature. Appl. Phys. Lett. 1998, 73, 393. [Google Scholar] [CrossRef][Green Version]
- Wilhelm, F.; Poulopoulos, P.; Ceballos, G.; Wende, H.; Baberschke, K.; Srivastava, P.; Benea, D.; Ebert, H.; Angelakeris, M.; Flevaris, N.K.; et al. Layer-Resolved Magnetic Moments in Ni/Pt Multilayers. Phys. Rev. Lett. 2000, 85, 413. [Google Scholar] [CrossRef]
- Kim, Y.-S.; Shin, S.-C. Origin of room-temperature perpendicular magnetic anisotropy in Ni/Pt multilayers. Phys. Rev. B 1999, 59, R6597. [Google Scholar] [CrossRef]
- Ohring, M. Materials Science of Thin Films, 2nd ed.; Academic Press: San Diego, CA, USA, 2002. [Google Scholar]
- Krishnan, R.; Lassri, H.; Prasad, S.; Porte, M.; Tessier, M. Magnetic properties of Ni/Pt multilayers. J. Appl. Phys. 1993, 73, 6433. [Google Scholar] [CrossRef]
- Moodera, J.S.; Kinder, L.R.; Wong, T.M.; Meservey, R. Large Magnetoresistance at Room Temperature in Ferromagnetic Thin Film Tunnel Junctions. Phys. Rev. Lett. 1995, 74, 3273. [Google Scholar] [CrossRef]
- Nistor, L.E.; Rodmacq, B.; Auffret, S.; Dieny, B. Pt/Co/oxide and oxide/Co/Pt electrodes for perpendicular magnetic tunnel junctions. Appl. Phys. Lett. 2009, 94, 012512. [Google Scholar] [CrossRef]
- Bibes, M.; Villegas, J.E.; Barthélémy, A. Ultrathin oxide films and interfaces for electronics and spintronics. Adv. Phys. 2011, 60, 5–84. [Google Scholar] [CrossRef]
- Dieny, B.; Chshiev, M. Perpendicular magnetic anisotropy at transition metal/oxide interfaces and applications. Rev. Mod. Phys. 2017, 89, 025008. [Google Scholar] [CrossRef]
- Baltz, V.; Manchon, A.; Tsoi, M.; Moriyama, T.; Ono, T.; Tserkovnyak, Y. Antiferromagnetic spintronics. Rev. Mod. Phys. 2018, 90, 015005. [Google Scholar] [CrossRef]
- Blachowicz, T.; Ehrmann, A. Exchange bias in thin films—An update. Coatings 2021, 11, 122. [Google Scholar] [CrossRef]
- Tsoi, M. Antiferromagnetic spintronics: From metals to functional oxides. Low Temp. Phys. 2023, 49, 786. [Google Scholar] [CrossRef]
- May, F.; Tischer, M.; Arvanitis, D.; Russo, M.; Hunter Dunn, J.; Henneken, H.; Wende, H.; Chauvistré, R.; Mårtensson, N.; Baberschke, K. Modifications of the electronic and magnetic properties of ultrathin Ni/Cu(100) films induced by stepwise oxidation. Phys. Rev. B 1996, 53, 1076. [Google Scholar] [CrossRef]
- Beach, G.S.D.; Berkowitz, A.E.; Parker, F.T.; Smith, D.J. Magnetically soft, high-moment, high-resistivity thin films using discontinuous metal/native oxide multilayers. Appl. Phys. Lett. 2001, 79, 224–226. [Google Scholar] [CrossRef]
- Butler, W.H.; Zhang, X.G.; Schulthess, T.C.; MacLaren, J.M. Spin-dependent tunneling conductance of Fe|MgO|Fe sandwiches. Phys. Rev. B 2001, 63, 054416. [Google Scholar] [CrossRef]
- Mulders, A.M.; Loosvelt, H.; Fraile Rodriguez, A.; Popova, E.; Konishi, T.; Temst, K.; Karis, O.; Arvanitis, D.; Van Haesendonck, C. On the interface magnetism of thin oxidized Co films: Orbital and spin moments. J. Phys. Condens. Matter 2009, 21, 124211. [Google Scholar] [CrossRef] [PubMed]
- Yang, H.X.; Chshiev, M.; Dieny, B.; Lee, J.H.; Manchon, A.; Shin, K.H. First-principles investigation of the very large perpendicular magnetic anisotropy at Fe|MgO and Co|MgO interfaces. Phys. Rev. B 2011, 84, 054401. [Google Scholar] [CrossRef]
- Pappas, S.D.; Kapaklis, V.; Delimitis, A.; Jönsson, P.E.; Papaioannou, E.T.; Poulopoulos, P.; Fumagalli, P.; Trachylis, D.; Velgakis, M.J.; Politis, C. Layering and temperature-dependent magnetization and anisotropy of naturally produced Ni/NiO multilayers. J. Appl. Phys. 2012, 112, 053918. [Google Scholar] [CrossRef]
- Anyfantis, D.I.; Sarigiannidou, E.; Rapenne, L.; Stamatelatos, A.; Ntemogiannis, D.; Kapaklis, V.; Poulopoulos, P. Unexpected development of perpendicular magnetic anisotropy in Ni/NiO multilayers after mild thermal annealing. IEEE Magn. Lett. 2019, 10, 1–5. [Google Scholar]
- Anyfantis, D.I.; Kanistras, N.; Barnasas, A.; Poulopoulos, P.; Papaioannou, E.T.; Conca, A.; Trachylis, D.; Politis, C. Effects of thermal annealing and Ni addition on the magnetic properties of Co–CoO multilayers. SPIN 2020, 40, 2050030. [Google Scholar] [CrossRef]
- Anyfantis, D.I.; Kanistras, N.; Ballani, C.; Barnasas, A.; Kapaklis, V.; Schmidt, G.; Papaioannou, E.T.; Poulopoulos, P. Magnetic aspects and large exchange bias of Ni0.9Co0.1/NiCoO multilayers. Micro 2021, 1, 43–54. [Google Scholar] [CrossRef]
- Anyfantis, D.I.; Ballani, C.; Kanistras, N.; Barnasas, A.; Tsiaoussis, I.; Schmidt, G.; Papaioannou, E.T.; Poulopoulos, P. Magnetic Anisotropies and Exchange Bias of Co/CoO Multilayers with Intermediate Ultrathin Pt Layers. Materials 2023, 16, 1378. [Google Scholar] [CrossRef]
- Hahn, C.; De Loubens, G.; Naletov, V.V.; Ben Youssef, J.; Klein, O.; Viret, M. Conduction of spin currents through insulating antiferromagnetic oxides. Europhys. Lett. 2014, 108, 57005. [Google Scholar] [CrossRef]
- Wang, H.; Du, C.; Hammel, P.C.; Yang, F. Antiferromagnonic spin transport from Y3Fe5O12 into NiO. Phys. Rev. Lett. 2014, 113, 097202. [Google Scholar] [CrossRef]
- Lin, W.; Chen, K.; Zhang, S.; Chien, C.L. Enhancement of thermally injected spin current through an antiferromagnetic insulator. Phys. Rev. Lett. 2016, 116, 186601. [Google Scholar] [CrossRef]
- Kanistras, N.; Scheuer, L.; Anyfantis, D.; Barnasas, A.; Torosyan, G.; Beigang, R.; Crisan, O.; Poulopoulos, P.; Papaioannou, E.T. Magnetic Properties and THz Emission from Co/CoO/Pt and Ni/NiO/Pt Trilayers. Nanomaterials 2024, 14, 215. [Google Scholar] [CrossRef] [PubMed]
- Heinrich, B.; Bland, J.A.C. Ultrathin Magnetic Structures I, 1st ed.; Springer: Berlin/Heidelberg, Germany, 1994; pp. 1–6. [Google Scholar]
- Kiessig, H. Untersuchungen zur totalreflexion von röntgenstrahlen. Ann. Phys. 1931, 402, 715–768. [Google Scholar] [CrossRef]
- Björck, M.; Andersson, G. GenX: An extensible X-ray reflectivity refinement program utilizing differential evolution. J. Appl. Crystallogr. 2007, 40, 1174–1178. [Google Scholar] [CrossRef]
- Kittel, C. Introduction to Solid State Physics, 5th ed.; John Wiley & Sons: New York, NY, USA, 1976. [Google Scholar]
- Bergholz, R.; Gradmann, U. Structure and magnetism of oligatomic Ni(111)-films on Re(0001). J. Magn. Magn. Mater. 1994, 45, 389. [Google Scholar] [CrossRef]
- Den Broeder, F.J.A.; Hoving, W.; Bloemen, P.J.H. Magnetic anisotropy of multilayers. J. Magn. Magn. Mater. 1991, 93, 562–570. [Google Scholar] [CrossRef]
- De Jonge, W.J.M.; Bloemen, P.J.H.; den Broeder, F.J.A. Experimental investigations of magnetic anisotropy. In Ultrathin Magnetic Structures I, 2nd ed.; Springer: Berlin, Germany, 1994; pp. 65–90. [Google Scholar]
- Callen, H.B.; Callen, E. The present status of the temperature dependence of magnetocrystalline anisotropy, and the l(l+1)/2 power law. J. Phys. Chem. Solids 1966, 27, 1271. [Google Scholar]
- Zakeri, K.; Kebe, T.; Lindner, J.; Farle, M. Power-law behavior of the temperature dependence of magnetic anisotropy of uncapped ultrathin Fe Films on GaAs(001). Phys. Rev. B 2006, 73, 052405. [Google Scholar] [CrossRef]
- Hehn, M.; Padovani, S.; Ounadjela, K.; Bucher, J.P. Nanoscale magnetic domain structures in epitaxial cobalt films. Phys. Rev. B 1996, 54, 3428. [Google Scholar] [CrossRef]
- Kashuba, A.B.; Pokrovsky, V.L. Stripe domain structures in a thin ferromagnetic film. Phys. Rev. B 1993, 48, 10335. [Google Scholar] [CrossRef]
- Berger, A.; Hopster, H. Magnetization reversal properties near the reorientation phase transition of ultrathin Fe/Ag(100) films. J. Appl. Phys. 1996, 79, 5619. [Google Scholar] [CrossRef]
- Guo, G.Y.; Ebert, H. On the origins of the enhanced magneto-optical Kerr effect in ultrathin Fe and Co multilayers. J. Magn. Magn. Mater. 1996, 156, 173. [Google Scholar] [CrossRef]
- Goto, T.; Kim, D.H.; Sun, X.; Onbasli, M.C.; Florez, J.M.; Ong, S.P.; Vargas, P.; Ackland, K.; Stamenov, P.; Aimon, N.M.; et al. Magnetism and Faraday Rotation in Oxygen-Deficient Polycrystalline and Single-Crystal Iron-Substituted Strontium Titanate. Phys. Rev. Appl. 2017, 7, 024006. [Google Scholar] [CrossRef]
- Jiles, D. Introduction to Magnetism and Magnetic Materials, 1st ed.; Chapman and Hall: New Delhi, India, 2015. [Google Scholar]
- Algaidi, H.; Zhang, C.; Ma, Y.; Liu, C.; Chen, A.; Zheng, D.; Zhang, X. Fe3GaTe2 with above-room-temperature ferromagnetism. APL Mater. 2024, 12, 011124. [Google Scholar] [CrossRef]
- Allenspach, R.; Bischof, A. Magnetization direction switching in Fe/Cu(100) epitaxial films: Temperature and thickness dependence. Phys. Rev. Lett. 1992, 69, 3385. [Google Scholar] [CrossRef]
- Frömter, R.; Stillrich, H.; Menk, C.; Oepen, H.P. Imaging the cone state of the spin reorientation transition. Phys. Rev. Lett. 2008, 100, 207202. [Google Scholar] [CrossRef]










Disclaimer/Publisher’s Note: The statements, opinions and data contained in all publications are solely those of the individual author(s) and contributor(s) and not of MDPI and/or the editor(s). MDPI and/or the editor(s) disclaim responsibility for any injury to people or property resulting from any ideas, methods, instructions or products referred to in the content. |
© 2024 by the authors. Licensee MDPI, Basel, Switzerland. This article is an open access article distributed under the terms and conditions of the Creative Commons Attribution (CC BY) license (https://creativecommons.org/licenses/by/4.0/).
Share and Cite
Anyfantis, D.I.; Barnasas, A.; Diamantopoulos, N.C.; Tsakiris, C.M.; Schmidt, G.; Papaioannou, E.T.; Poulopoulos, P. Influence of Pt Ultrathin Interlayers on Magnetic Anisotropy in Ni/NiO Multilayers. Micro 2024, 4, 157-169. https://doi.org/10.3390/micro4010011
Anyfantis DI, Barnasas A, Diamantopoulos NC, Tsakiris CM, Schmidt G, Papaioannou ET, Poulopoulos P. Influence of Pt Ultrathin Interlayers on Magnetic Anisotropy in Ni/NiO Multilayers. Micro. 2024; 4(1):157-169. https://doi.org/10.3390/micro4010011
Chicago/Turabian StyleAnyfantis, Dimitrios I., Alexandros Barnasas, Nikolaos C. Diamantopoulos, Constantinos M. Tsakiris, Georg Schmidt, Evangelos Th. Papaioannou, and Panagiotis Poulopoulos. 2024. "Influence of Pt Ultrathin Interlayers on Magnetic Anisotropy in Ni/NiO Multilayers" Micro 4, no. 1: 157-169. https://doi.org/10.3390/micro4010011
APA StyleAnyfantis, D. I., Barnasas, A., Diamantopoulos, N. C., Tsakiris, C. M., Schmidt, G., Papaioannou, E. T., & Poulopoulos, P. (2024). Influence of Pt Ultrathin Interlayers on Magnetic Anisotropy in Ni/NiO Multilayers. Micro, 4(1), 157-169. https://doi.org/10.3390/micro4010011

