Next Article in Journal
Application of a Bacteriophage–Sanitizer Combination in Post-Harvest Control of E. coli O157:H7 Contamination on Spinach Leaves in the Presence or Absence of a High Organic Load Produce Wash
Next Article in Special Issue
Antimicrobial Properties against Human Pathogens of Medicinal Plants from New Zealand
Previous Article in Journal
Role of the Mn-Catalase in Aerobic Growth of Lactobacillus plantarum ATCC 14431
Previous Article in Special Issue
Encapsulated Plant-Derived Antimicrobial Reduces Enteric Bacterial Pathogens on Melon Surfaces during Differing Contamination and Sanitization Treatment Scenarios
 
 
Font Type:
Arial Georgia Verdana
Font Size:
Aa Aa Aa
Line Spacing:
Column Width:
Background:
Article

Effect of Enterocins A and B on the Viability and Virulence Gene Expression of Listeria monocytogenes in Sliced Dry-Cured Ham

Departamento Tecnología de Alimentos, INIA-CSIC, Carretera de La Coruña Km 7, 28040 Madrid, Spain
*
Author to whom correspondence should be addressed.
Appl. Microbiol. 2022, 2(1), 1-11; https://doi.org/10.3390/applmicrobiol2010001
Submission received: 19 November 2021 / Revised: 15 December 2021 / Accepted: 20 December 2021 / Published: 23 December 2021

Abstract

:
Dry-cured ham can be contaminated with Listeria monocytogenes during its industrial processing. The use of bacteriocins could ensure the safety of such meat products, but their effect on pathogen physiology is unknown. Therefore, the impact of enterocins A and B on the L. monocytogenes population, and the expression patterns of five genes (inlA, inlB, clpC, fbpA and prfA) related to adhesion/invasion and virulence regulation have been monitored in sliced dry-cured ham during 30 d of storage in refrigeration (4 °C) and temperature-abuse conditions (20 °C). L. monocytogenes strains S2 (serotype 1/2a) and S7-2 (serotype 4b) counts were reduced by 0.5 and 0.6 log units immediately after the application of enterocins A and B, a decrease lower than previously reported. Differences in gene expression were found between the two strains. For strain S2, expression tended to increase for almost all genes up to day seven of storage, whereas this increase was observed immediately after application for strain S7-2; however, overall gene expression was repressed from day one onwards, mainly under temperature-abuse conditions. L. monocytogenes strains investigated in the present work exhibited a mild sensitivity to enterocins A and B in sliced dry-cured ham. Bacteriocins caused changes in the expression patterns of virulence genes associated with adhesion and invasion, although the potential virulence of surviving cells was not enhanced.

1. Introduction

Listeria monocytogenes is a food-borne pathogenic bacteria, which causes a serious disease called listeriosis with one of the highest hospitalization rates in developed countries (more than 90% of cases), affecting mainly susceptible groups such as new-born infants, children, pregnant women, elderly and immunocompromised individuals [1]. Listeriosis has been associated with a case-fatality rate of 17.6% in the European Union during 2019 [1]. Contaminated food is the major source of infection, and the gastrointestinal tract is the primary site of entry for the pathogen [2]. After adhesion to the host cell by different factors [3,4], two invasion proteins, internalins A and B (InlA and InlB), are fundamental in the internalization of the bacterium [5]. PrfA, considered the major virulence factor of L. monocytogenes, positively regulates the transcription of several virulence genes, including inlA and inlB [6].
Ready-to-eat (RTE) foods have been most frequently implicated in listeriosis outbreaks [1]. Meat, fish and dairy products are commonly associated with human infections, although foods of plant origin or frozen foods have also been involved [7]. Dry-cured ham is an RTE meat product considered safe due to its reduced water activity (aw) and high salt content [8,9], but can be contaminated with L. monocytogenes during post-processing [10,11]. L. monocytogenes has been detected in dry-cured ham processing environments [12,13] and, despite cleaning and disinfection procedures, the pathogen could persist and reach the final product.
The microbiological criteria for L. monocytogenes in the EU established a maximum of 100 CFU/g for RTE foods, other than those intended for infants and medical purposes, and those that do not support the growth of the pathogen [14]. In contrast, the USA has a “zero tolerance” approach (absence in 25 g) for all RTE foods [15]. Additional control measures, such as high pressure processing or antimicrobial agents, could be necessary to ensure the safety of food products and avoid the economic losses due to the most restrictive regulatory requirements. Furthermore, the study of changes in gene expression upon exposure of L. monocytogenes to post-processing antimicrobial treatments in food could contribute to understand the response of the pathogen to different inactivation strategies. Biopreservatives, such as lactic acid bacteria (LAB) and/or their metabolites, have received considerable interest in the control of food-borne pathogens as an antimicrobial hurdle in foods and food-processing facilities. Bacteriocins produced by Enterococcus spp. exhibit antimicrobial activity against food-borne pathogens and have been explored in the control of L. monocytogenes in different meat products [16,17,18]. Enterocins modified the stress response or adaptation of L. monocytogenes in dry-cured ham, with differences between the responses of serotypes 1/2b and 1/2c [19]. Although the presence of enterocins determined the downregulation of genes involved in acid and osmotic stress, this effect was more pronounced on the serotype 1/2c strain [19]. Nevertheless, the knowledge of the effect of bacteriocins on L. monocytogenes’ relative expression patterns of virulence genes related with adhesion and invasion in foods is scarce. Thus, the purpose of this work was to evaluate the effect of an extract of enterocins A and B produced by E. faecium INIA TAB7 on the viability and the relative expression of genes involved in the virulence of two strains of L. monocytogenes (serotypes 1/2a and 4b) in sliced dry-cured ham, stored under a strict refrigeration temperature (4 °C) and temperature-abuse conditions (20 °C) for 30 days.

2. Materials and Methods

2.1. Microorganisms and Culture Conditions

L. monocytogenes strains S2 and S7-2, obtained from the environment of an Iberian pig processing plant (Spain) and previously characterized by Ortiz et al. [20], were used as target organisms. Strains S2 and S7-2 were serotypes 1/2a and 4b, the most common serotypes from meat industry and clinical samples, respectively. The strains were held as stock cultures at −80 °C in Brain Heart Infusion broth (BHI, Biolife s.r.l., Milano, Italy) supplemented with 20% glycerol. E. faecium INIA TAB7 [21] was used for enterocins A and B production. The strain was preserved as stock culture at −80 °C in De Man, Rogosa and Sharpe broth (MRS, Biolife, Milano, Italy) supplemented with 20% glycerol. Before use in experiments, L. monocytogenes strains or E. faecium INIA TAB7 were sub-cultured twice in BHI broth at 37 °C for 18 h or in MRS broth with Tween® 80 (Biolife) at 30 °C for 18 h, respectively.

2.2. Enterocins Extract

E. faecium INIA TAB7 grown in MRS broth with Tween® 80 for 18 h at 30 °C was used to obtain the enterocins A and B extract as previously described [22]. The antimicrobial activity was determined against the two strains of the pathogen through the agar spot test [23] and was expressed as arbitrary units (AU) per mL.

2.3. Dry-Cured Ham Samples

One large piece (~7 kg) of deboned dry-cured ham was purchased from a commercial supplier in Spain and aseptically sliced in the laboratory. Slices of 5 g were inoculated by adding a cell suspension of L. monocytogenes S2 or S7-2 on the surface of the dry-cured ham to attain a final concentration of ca. 106 CFU/g. Cell suspensions were prepared from overnight cultures in BHI broth and their concentration was evaluated by plating on duplicate plates of CHROMagar Listeria (CH-L, Scharlab S.l., Barcelona, Spain). Enterocins A and B extract was added on the surface of sliced dry-cured ham to achieve a final activity of 1054 AU/g. Dry-cured ham samples were vacuum-packaged in BB325 bags (200 mm × 300 mm, Cryovac Sealed Air Corporation, Milan, Italy) and stored at 4 or 20 °C for 30 d. Sliced dry-cured ham inoculated with either of the two L. monocytogenes strains but without enterocins was used as control. Three independent experiments were carried out.

2.4. L. monocytogenes Enumeration

L. monocytogenes counts were determined immediately after the enterocins A and B extract application and at 1, 7, 14 and 30 d of storage. Samples of dry-cured ham were diluted 10-fold with sterile 0.1% (wt/vol) peptone water solution and homogenized for 120 s using a Silver Masticator homogenizer (IUL Instruments, Barcelona, Spain). L. monocytogenes counts were determined on duplicate plates of CH-L, incubated at 37 °C for 48 h.

2.5. RNA Extraction and Retrotranscription

RNA extraction was carried out at 0 and 6 h and 1, 7 and 30 d after adding the enterocins A and B extract, according to the procedure described by Rantsiou et al. [24] with some modifications. Samples were diluted and homogenized as described in Section 2.4. Four milliliters of the homogenates were centrifuged at 10,000× g for 5 min and 50 µL of RNAlater (Sigma-Aldrich Chemical Co., St. Louis, MO, USA) was added to the pellet. Samples were treated with 50 μL of lysozyme (50 mg/mL; Sigma-Aldrich) and incubated at 37 °C for 20 min in a Thermomixer compact (Eppendorf Scientific, Hamburg, Germany). Total RNA was extracted using the MasterPureTM complete DNA and RNA purification kit (Epicentre, Madison, WI, USA) following the instructions of the manufacturer. Residual DNA was digested using the Turbo DNase (Invitrogen, Thermo Fisher Scientific, Walthman, MA, USA) and complete removal of the DNA was verified by quantitative PCR (qPCR), as described in Section 2.6. Then, RNA quantity and quality were determined using a NanoPhotometer (Implen N60, Thermo Fisher Scientific) and normalized to 100 ng/μL. cDNA was obtained using the GoScriptTM Reverse Transcription Mix, Random Primers (Promega, Madison, WI, USA), according to the manufacturer’s instructions, and was stored at −20 °C until use.

2.6. L. monocytogenes Relative Gene Expression

Five genes (inlA, inlB, clpC, fbpA and prfA), representative of L. monocytogenes virulence and previously used in studies of gene expression [24,25,26,27,28], were amplified by qPCR (Table 1). Further, IGS was selected as a reference gene and internal control. Three biological replicates were analyzed in a 96-well plate (VWR International, Radnor, PA, USA) for each gene of interest and each sample was amplified in duplicate. L. monocytogenes DNA control sample, together with a template-free negative control, were also included in the runs. Plates were sealed with optical adhesive covers (Bio-Rad Laboratories, Hercules, CA, USA). In order to minimize the variance introduced by the instrument between the runs (inter-runs), all the samples belonging to the same strain and temperature were assayed for each gene separately in the same plate. The qPCR assays were carried out using the Mx3000P Real-Time PCR system (Agilent Technologies, Santa Clara, CA, USA), with the use of GoTaq® Probe qPCR Master Mix (Promega, Madison, WI, USA). Reactions (final volume of 25 µL) contained: 12.5 µL of the 2X GoTaq® Probe qPCR Master Mix, 0.9 µM (inlA, inlB, clpC, fbpA and prfA) or 0.4 µM (IGS) of each primer, 0.25 µM (inlA, prfA and IGS) or 0.20 µM (inlB, clpC and fbpA) of the probe and 2 µL of cDNA template. The amplification program consisted of one cycle at 95 °C for 3 min, followed by 40 cycles of 15 s at 95 °C and 30 s at 50 °C (fbpA), 30 s at 60 °C (inlB, clpC) or 1 min at 60 °C (inlA, prfA and IGS). The PCR efficiency of each primer pair was previously determined using 10-fold dilutions of genomic DNA extracted from both L. monocytogenes strains as a template and adequate amplification efficiencies for target and reference genes were obtained. Threshold cycle (CT) values from qPCR were used for relative quantification.

2.7. Data and Statistical Analysis

Relative gene transcription levels (fold changes) were calculated by the 2−ΔΔCT method, where ΔΔCT is: (CTtarget − CTreference gene)test condition − (CTtarget − CTreference gene)control condition [29]. Virulence genes were considered targets, while IGS was considered a reference gene, the expression of which was considered constant regardless of the application of treatments. The test condition was the dry-cured ham inoculated with L. monocytogenes and treated with enterocins A and B, while control condition was the dry-cured ham without enterocins, at five different time points after treatments. Log2 values of relative expression were obtained.
Statistical treatment of log2 values of relative gene expression was carried out by means of SPSS Statistics 22.0 software (IBM Corp., Armonk, NY, USA). The significant differences between L. monocytogenes counts were also evaluated. The Tukey test was applied to detect significant differences between means at α = 0.05.

3. Results and Discussion

3.1. Effect of Enterocins on L. monocytogenes Population

The antimicrobial activity of enterocins A and B, determined against the two strains of the pathogen through the agar spot test, was estimated to be 51,200 AU/mL. L. monocytogenes counts in control and enterocins A- and B-treated sliced dry-cured ham stored at 4 and 20 °C during 30 d are shown in Table 2. Initial counts in the control ham ranged between 6.2 and 6.3 log CFU/g for L. monocytogenes S2 and S7-2. Immediately after the application of enterocins A and B, S2 and S7-2 counts were significantly (p < 0.05) reduced by 0.5 and 0.6 log units, respectively, at both temperatures. During the storage, L. monocytogenes S2 counts in enterocin treated samples decreased by 1.6 and 1.9 log units at 4 and 20 °C, respectively, whereas S7-2 counts were reduced by 1.9 and 1.2 log units. At the end of the storage period at 4 and 20 °C, L. monocytogenes S2 counts were significantly lower in dry-cured ham treated with enterocins A and B than in control samples, whereas this difference was significant (p < 0.05) only for L. monocytogenes S7-2 at 4 °C.
The potential of bacteriocins to control L. monocytogenes has been previously investigated in dry-cured ham. Nisin exhibited a bactericidal effect against L. monocytogenes immediately after its application on the surface of dry-cured ham slices and such antilisterial activity was maintained during 2 months of storage at 8 °C, being more pronounced in dry-cured ham with lower aw [30]. Sakacin K and enterocins A and B also induced significant reductions in the level of the pathogen in dry-cured ham 1 d after application [31]. This antilisterial effect was also observed for enterocins A and B in dry-cured ham against a four-strain cocktail of L. monocytogenes, with reductions higher than 2 log units during 30 d of storage at 4 °C [18]. Our results confirm the activity of enterocins A and B against L. monocytogenes. However, the bactericidal efficacy was lower in the present work, a fact that could be attributed to differences in the sensitivity of the enterocins among different L. monocytogenes strains. Similar results were reported by Montiel et al. [19], with differences between two L. monocytogenes strains belonging to different serotypes (1/2b and 1/2c). Different behavior between different serotypes was also recorded after the application of other antilisterial bacteriocins [32,33].

3.2. Effect of Enterocins on L. monocytogenes Gene Expression

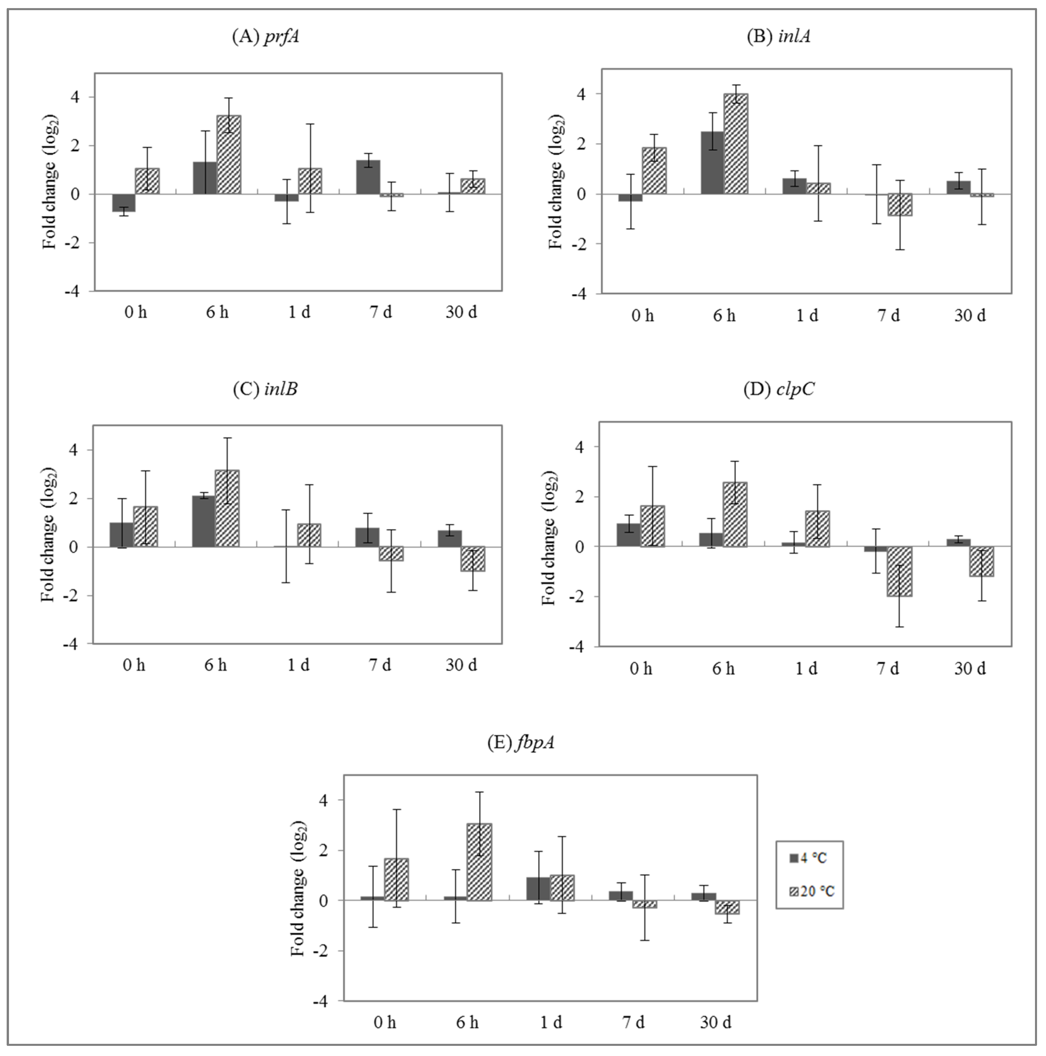
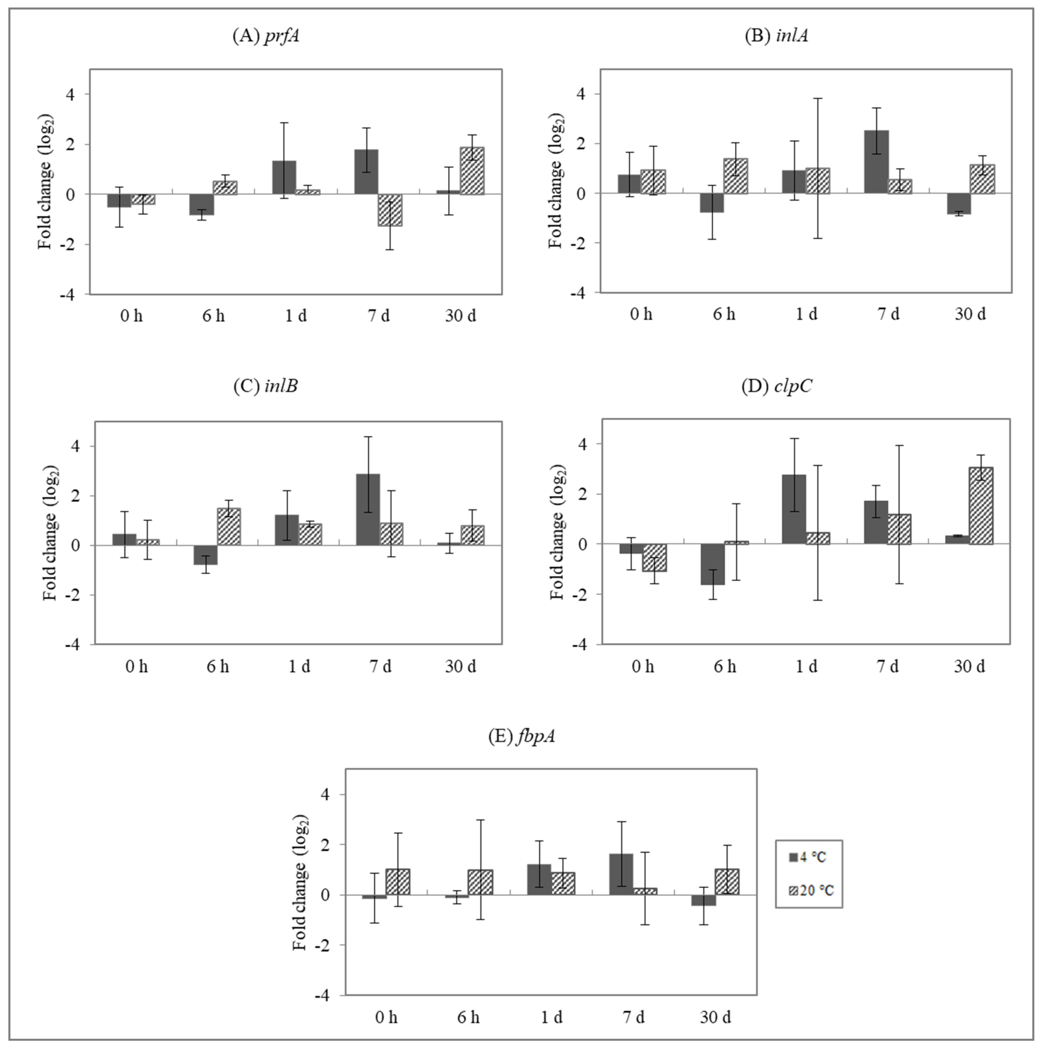
The relative gene transcription profiles of five representative virulence genes (inlA, inlB, clpC, fbpA and prfA) of L. monocytogenes S2 and S7-2 strains, induced by enterocins A and B during 30 d of storage at 4 or 20 °C, are shown in Figure 1 and Figure 2, respectively. Different gene expression profiles between the two strains were detected. Specifically, a slight upregulation for inlA and inlB was observed for strain S2 immediately after the application of the enterocins at both temperatures, whereas a downregulation was recorded for prfA and clpC genes, although differences between control and treated samples were not statistically significant. For strain S7-2, an overall upregulation for almost all target genes was observed immediately after enterocins extract application. Our results point out that changes in the surviving bacteria gene transcription profiles were different between the two strains. This fact was observed after the exposure of the pathogen to enterocins or bacteriocin-producing E. faecalis B1 in dry-cured ham [19]. Differences in gene expression between L. monocytogenes strains have also been reported after high pressure processing [25,34], mild heat shock stress [35], or in the presence of different levels of salt in a simulated cheese medium [36], a dry-cured ham model system [37] or liver pâtés [27]. Further studies would be necessary to elucidate if differences in the cellular response induced by antimicrobial treatments or food conditions could be associated with serotype or with other strain characteristics.
The expression of the target genes fluctuated during refrigerated storage and such changes were affected by temperature. For strain S2, an overall upregulation trend was recorded throughout the storage in treated dry-cured ham. At 4 °C, the upregulation was registered up to day 7, followed by a decrease in expression. At 20 °C, all target genes increased their expression during the 30 d of storage, this increase being statistically significant (p < 0.05) for clpC and fbpA genes, both related to the adhesion and invasion of L. monocytogenes. For strain S7-2, the initial overexpression recorded for all genes was maintained only during the first 6 h of storage and was reduced afterwards, being more pronounced in samples stored at 20 °C after 30 d. Changes to L. monocytogenes gene expression profiles caused as a function of the storage time were also observed in dry-cured ham when an E-beam treatment at 3 kGy was applied [38], or when the pathogen was exposed to enterocins or co-cultured with a bacteriocin-producing E. faecalis for 7 d at 7 °C [19]. Specifically, these authors observed that the expression patterns of strains L. monocytogenes S4-2 and S12-1 fluctuated during the 7 d of storage at 7 °C. Regarding temperature, Rantsiou et al. [24] reported differences in the expression patterns of virulence and stress resistance genes of L. monocytogenes in different foods. Duodu et al. [39] concluded that exposure to temperature abuse conditions could affect potential virulence of low pathogenic L. monocytogenes strains in salmon. In this work, strain S2 tended to increase the expression of the target genes at the end of storage at 20 °C, although the changes recorded were not significant.
The effect of inactivation treatments on the virulence of L. monocytogenes in real food matrices has been barely investigated. Thus, the expression patterns of virulence and stress related genes of L. monocytogenes in dry-cured ham were increased by E-beam treatments [38], whereas they were slightly changed by high pressure treatments [25]. Regarding bacteriocins or bacteriocin-producing microorganisms, the expression patterns of some stress-related genes of L. monocytogenes in co-culture with a nisin producing Lactococcus lactis subsp. lactis in reconstituted skim milk at 20 and 30 °C for 24 h were modified [40]. Ye et al. [41] observed that a bacteriocinogenic E. faecium strain decreased the expression of most of the L. monocytogenes target genes assayed in a liquid culture medium at 4 °C, and Montiel et al. [19] reported the downregulation of some representative genes of stress response (lmo2434, lmo0669, lmo1421 and gbuB) and the virulence regulatory gene prfA by addition of enterocins or enterocinogenic E. faecalis B1 in dry-cured ham inoculated with L. monocytogenes S4-2 and S12-1. On the contrary, in this work, an initial upregulation of inlA and inlB for strain S2 and of almost all target genes (inlA, inlB, clpC and fbpA) for strain S7-2 was observed after the addition of enterocins A and B, followed by a repression. The strains tested by Montiel et al. [19] resulted in being more sensitive to enterocins, suffering greater sublethal damage and, consequently, increasing the expression of cell damage repair genes and reducing the stress response and virulence genes expression, as previously indicated by Bowman et al. [42]. Furthermore, the possible development of resistance by L. monocytogenes in the presence of sublethal concentrations of enterocins should be considered. Laursen et al. [43] concluded that several L. monocytogenes genes known or speculated to be involved in the development of bacteriocin resistance showed increased expression when the pathogen was exposed to a pediocin-containing Lactobacillus plantarum supernatant.
The transcriptional factor PrfA is the major regulator of the pathogen virulence and mediates the transcription of several virulence genes, including inlA and inlB, which encode the two main proteins involved in host cell entry, particularly in non-phagocytic cells [5,6]. The PrfA-dependent expression is regulated by PrfA concentration as well as its affinity for the promoter. In this work, a repression of the prfA gene was observed for strains S2 and S7-2 immediately after treatment. In accordance with our results, an initial downregulation tendency was also observed after the addition of enterocins in dry-cured ham inoculated with L. monocytogenes S4-2 and S12-1 [19]. A downregulation of the prfA gene could result in a lower concentration of the PrfA factor and, consequently, in a minor transcription of inlA and inlB genes. However, an overall upregulation for such genes was detected. The presence of additional PrfA-independent promoters for inlA and inlB genes may contribute to the differential expression of PrfA-dependent genes, despite being controlled by PrfA [6]. At the end of storage period, the expression levels of the prfA and inlA and inlB genes followed a similar trend for strain S2, while for strain S7-2, the expression of the genes coding for the two internalins was more similar to clpC. The ClpC ATPase, encoded by clpC, also regulates the expression of the internalins A and B and is required for adhesion and invasion processes [4]. The expression pattern recorded for this gene is opposite for the two strains tested. Additionally, a different pattern depending on the strain was also recorded for the fbpA gene, coding for another adhesion-related molecule, especially regarding hepatocytes [44].
This paper provides additional information on L. monocytogenes virulence and invasiveness potential in a real food matrix. It is worth mentioning that serotype 1/2a is overrepresented among isolates from food environments, whereas serotype 4b predominates among isolates from human listeriosis cases. Furthermore, many L. monocytogenes serotype 1/2a strains widely characterized from the processing plants’ environments present premature stop codons (PMSCs) in their inlA gene sequence [45], associated with virulence attenuation. In fact, strain S2 used in this work possessed PMSC6, while S7-2 showed a complete internalin sequence [46]. The information obtained in this study might be complemented by data from adhesion and invasion capacity using human intestinal cell lines. This would confirm whether the results obtained at the transcriptome level correlate with cell culture results, and the invasion capacity of the surviving cells would not be affected by the treatments.

4. Conclusions

L. monocytogenes strains S2 and S7-2 artificially inoculated in dry-cured ham exhibited a mild sensitivity to enterocins A and B during 30 d of refrigeration or under temperature-abuse conditions. The addition of enterocins affected the expression pattern of five adhesion/invasion and virulence genes (inlA, inlB, clpC, fbpA and prfA) with differences among the two strains investigated. S2 (serotype 1/2a) exhibited an overall upregulation trend up to day 7 of storage. Gene expression of strain S7-2 (serotype 4b) was initially induced by enterocins A and B, and was repressed from day 1 onwards. This study highlights that gene expression may be influenced by bacteriocins, although the virulence of surviving L. monocytogenes cells was not potentially enhanced by this antimicrobial. Based on all this, it can be concluded that enterocins A and B might be considered an interesting biological strategy to control L. monocytogenes in case of contamination during the post-processing of dry-cured ham even under temperature-abuse conditions. Further studies should combine gene expression with adhesion and invasion capacity of treated L. monocytogenes on intestinal cell lines.

Author Contributions

All of the authors contributed significantly to the research. Conceptualization, M.M. and R.M.; methodology, A.P.-B. and R.M.; data curation, A.P.-B. and R.M.; formal analysis, A.P.-B. and R.M.; funding acquisition, M.M.; project administration, M.M.; resources, M.M.; supervision, M.M. and R.M.; writing—original draft, A.P.-B. and R.M.; and writing—review and editing, A.P.-B., M.M. and R.M. All authors have read and agreed to the published version of the manuscript.

Funding

This research was funded by Spanish Ministry of Economy, Industry and Competitiveness, project RTA2017-00027-C03-01. FPI-SGIT2015-06 grant to A. Pérez-Baltar was funded by INIA.

Institutional Review Board Statement

Not applicable.

Informed Consent Statement

Not applicable.

Conflicts of Interest

The authors declare no conflict of interest.

References

  1. EFSA (European Food Safety Authority); ECDC (European Centre for Disease Prevention and Control). The European Union One Health 2019 Zoonoses Report. EFSA J. 2021, 19, e06406. [Google Scholar]
  2. Vázquez-Boland, J.A.; Domínguez-Bernal, G.; González-Zorn, B.; Kreft, J.; Goebel, W. Pathogenicity islands and virulence evolution in Listeria. Microbes Infect. 2001, 3, 571–584. [Google Scholar] [CrossRef]
  3. Camejo, A.; Carvalho, F.; Reis, O.; Leitão, E.; Sousa, S.; Cabanes, D. The arsenal of virulence factors deployed by Listeria monocytogenes to promote its cell infection cycle. Virulence 2011, 2, 379–394. [Google Scholar] [CrossRef] [PubMed] [Green Version]
  4. Nair, S.; Milohanic, E.; Berche, P. ClpC ATPase Is Required for Cell Adhesion and Invasion of Listeria monocytogenes. Infect. Immun. 2000, 68, 7061–7068. [Google Scholar] [CrossRef] [Green Version]
  5. Pizarro-Cerdá, J.; Kühbacher, A.; Cossart, P. Entry of Listeria monocytogenes in Mammalian Epithelial Cells: An Updated View. Cold Spring Harb. Perspect. Med. 2012, 2, a010009. [Google Scholar] [CrossRef] [PubMed]
  6. De las Heras, A.; Cain, R.J.; Bielecka, M.K.; Vazquez-Boland, J.A. Regulation of Listeria virulence: PrfA master and commander. Curr. Opin. Microbiol. 2011, 14, 118–127. [Google Scholar] [CrossRef] [PubMed]
  7. Ricci, A.; Allende, A.; Bolton, D.; Chemaly, M.; Davies, R.; Fernández Escámez, P.S.; Girones, R.; Herman, L.; Koutsoumanis, K.; Nørrung, B.; et al. Listeria monocytogenes contamination of ready-to-eat foods and the risk for human health in the EU. EFSA J. 2018, 16, 5134. [Google Scholar]
  8. Reynolds, A.; Harrison, M.; Rose-Morrow, R.; Lyon, C. Validation of Dry Cured Ham Process for Control of Pathogens. J. Food Sci. 2001, 66, 1373–1379. [Google Scholar] [CrossRef]
  9. Serra-Castelló, C.; Jofré, A.; Garriga, M.; Bover-Cid, S. Modeling and designing a Listeria monocytogenes control strategy for dry-cured ham taking advantage of water activity and storage temperature. Meat Sci. 2020, 165, 108131. [Google Scholar] [CrossRef]
  10. Lin, C.-M.; Takeuchi, K.; Zhang, L.; Dohm, C.B.; Meyer, J.D.; Hall, P.A.; Doyle, M.P. Cross-Contamination between Processing Equipment and Deli Meats by Listeria monocytogenes. J. Food Prot. 2006, 69, 71–79. [Google Scholar] [CrossRef]
  11. Hadjicharalambous, C.; Grispoldi, L.; Cenci-Goga, B. Quantitative risk assessment of Listeria monocytogenes in a traditional RTE product. EFSA J. 2019, 17, e170906. [Google Scholar] [CrossRef] [Green Version]
  12. Alía, A.; Andrade, M.J.; Rodríguez, A.; Martín, I.; Pérez-Baltar, A.; Medina, M.; Córdoba, J.J. Prevalence and characterization of Listeria monocytogenes in deboning and slicing areas of Spanish dry-cured ham processing. LWT-Food Sci. Technol. 2020, 128, 109498. [Google Scholar] [CrossRef]
  13. D’Arrigo, M.; Mateo-Vivaracho, L.; Guillamón, E.; Fernández-León, M.F.; Bravo, D.; Peirotén, Á.; Medina, M.; García-Lafuente, A. Characterization of persistent Listeria monocytogenes strains from ten dry-cured ham processing facilities. Food Microbiol. 2020, 92, 103581. [Google Scholar] [CrossRef] [PubMed]
  14. EC (European Commission). Commission regulation (EC) No 2073/2005 of 15 November 2005 on microbiological criteria for foodstuffs. Off. J. Eur. Union 2005, L338, 1–29. [Google Scholar]
  15. USDA-FSIS (Food Safety and Inspection Service). FSIS Compliance Guideline: Controlling Listeria Monocytogenes in Post-Lethality Exposed Ready-to-Eat Meat and Poultry Products. Guideline ID: FSIS-GD-2014-0001; 2014. Available online: https://www.fsis.usda.gov/wps/wcm/connect/d3373299-50e6-47d6-a577-e74a1e549fde/Controlling-Lm-RTE-Guideline.pdf?MOD=AJPERES (accessed on 16 June 2021).
  16. Du, L.; Liu, F.; Zhao, P.; Zhao, T.; Doyle, M.P. Characterization of Enterococcus durans 152 bacteriocins and their inhibition of Listeria monocytogenes in ham. Food Microbiol. 2017, 68, 97–103. [Google Scholar] [CrossRef]
  17. Marcos, B.; Jofré, A.; Aymerich, T.; Monfort, J.M.; Garriga, M. Combined effect of natural antimicrobials and high pressure processing to prevent Listeria monocytogenes growth after a cold chain break during storage of cooked ham. Food Control 2008, 19, 76–81. [Google Scholar] [CrossRef] [Green Version]
  18. Pérez-Baltar, A.; Serrano, A.; Bravo, D.; Montiel, R.; Medina, M. Combined Effect of High Pressure Processing with Enterocins or Thymol on the Inactivation of Listeria monocytogenes and the Characteristics of Sliced Dry-cured Ham. Food Bioprocess Technol. 2019, 12, 288–297. [Google Scholar] [CrossRef]
  19. Montiel, R.; Quesille-Villalobos, A.; Alessandria, V.; Medina, M.; Cocolin, L.S.; Rantsiou, K. Antilisterial Effect and Influence on Listeria monocytogenes Gene Expression of Enterocin or Enterococcus faecalis in Sliced Dry-Cured Ham Stored at 7 °C. J. Food Prot. 2019, 82, 1598–1606. [Google Scholar] [CrossRef]
  20. Ortiz, S.; López, V.; Villatoro, D.; López, P.; Dávila, J.C.; Martínez-Suárez, J.V. A 3-year surveillance of the genetic diversity and persistence of Listeria monocytogenes in an Iberian pig slaughterhouse and processing plant. Foodborne Pathog. Dis. 2010, 7, 1177–1184. [Google Scholar] [CrossRef]
  21. Rodríguez, E.; Gonzalez, B.; Gaya, P.; Nuñez, M.; Medina, M. Diversity of bacteriocins produced by lactic acid bacteria isolated from raw milk. Int. Dairy J. 2000, 10, 7–15. [Google Scholar] [CrossRef]
  22. Garriga, M.; Aymerich, T.; Costa, S.; Monfort, J.; Hugas, M. Bactericidal synergism through bacteriocins and high pressure in a meat model system during storage. Food Microbiol. 2002, 19, 509–518. [Google Scholar] [CrossRef]
  23. Barefoot, S.F.; Klaenhammer, T.R. Detection and activity of lactacin B, a bacteriocin produced by Lactobacillus acidophilus. Appl. Environ. Microbiol. 1983, 45, 1808–1815. [Google Scholar] [CrossRef] [PubMed] [Green Version]
  24. Rantsiou, K.; Mataragas, M.; Alessandria, V.; Cocolin, L. Expression of virulence genes of Listeria monocytogenes in food. J. Food Saf. 2012, 32, 161–168. [Google Scholar] [CrossRef]
  25. Pérez-Baltar, A.; Serrano, A.; Medina, M.; Montiel, R. Effect of high pressure processing on the inactivation and the relative gene transcription patterns of Listeria monocytogenes in dry-cured ham. LWT-Food Sci. Technol. 2020, 139, 110555. [Google Scholar] [CrossRef]
  26. Sue, D.; Fink, D.; Wiedmann, M.; Boor, K.J. σB-dependent gene induction and expression in Listeria monocytogenes during osmotic and acid stress conditions simulating the intestinal environment. Microbiology 2004, 150, 3843–3855. [Google Scholar] [CrossRef] [PubMed] [Green Version]
  27. Olesen, I.; Thorsen, L.; Jespersen, L. Relative transcription of Listeria monocytogenes virulence genes in liver pâtés with varying NaCl content. Int. J. Food Microbiol. 2010, 141, S60–S68. [Google Scholar] [CrossRef]
  28. Kazmierczak, M.J.; Wiedmann, M.; Boor, K.J. Contributions of Listeria monocytogenes σB and PrfA to expression of virulence and stress reponse genes during extra- and intracellular growth. Microbiology 2006, 152, 1827–1838. [Google Scholar] [CrossRef] [Green Version]
  29. Livak, K.J.; Schmittgen, T.D. Analysis of relative gene expression data using real-time quantitative PCR and the 2−ΔΔCT method. Methods 2001, 25, 402–408. [Google Scholar] [CrossRef]
  30. Hereu, A.; Bover-Cid, S.; Garriga, M.; Aymerich, T. High hydrostatic pressure and biopreservation of dry-cured ham to meet the Food Safety Objectives for Listeria monocytogenes. Int. J. Food Microbiol. 2011, 154, 107–112. [Google Scholar] [CrossRef]
  31. Jofré, A.; Aymerich, T.; Monfort, J.M.; Garriga, M. Application of enterocins A and B, sakacin K and nisin to extend the safe shelf-life of pressurized ready-to-eat meat products. Eur. Food Res. Technol. 2008, 228, 159–162. [Google Scholar] [CrossRef]
  32. Buncic, S.; Avery, S.M.; Rocourt, J.; Dimitrijevic, M. Can food-related environmental factors induce different behaviour in two key serovars, 4b and 1/2a, of Listeria monocytogenes? Int. J. Food Microbiol. 2001, 65, 201–212. [Google Scholar] [CrossRef]
  33. Moorhead, S.M.; Dykes, G.A. The Role of the sigB gene in the general stress response of Listeria monocytogenes varies between a strain of serotype 1/2a and a strain of serotype 4c. Curr. Microbiol. 2003, 46, 461–466. [Google Scholar] [CrossRef]
  34. Pérez-Baltar, A.; Alía, A.; Rodríguez, A.; Córdoba, J.J.; Medina, M.; Montiel, R. Impact of Water Activity on the Inactivation and Gene Expression of Listeria monocytogenes during Refrigerated Storage of Pressurized Dry-Cured Ham. Foods 2020, 9, 1092. [Google Scholar] [CrossRef] [PubMed]
  35. Wałecka-Zacharska, E.; Gmyrek, R.; Skowron, K.; Kosek-Paszkowska, K.; Bania, J. Duration of heat stress effect on invasiveness of Listeria monocytogenes strains. BioMed. Res. Int. 2018, 2018, 1457480. [Google Scholar] [CrossRef] [PubMed] [Green Version]
  36. Schrama, D.; Helliwell, N.; Neto, L.; Faleiro, M.L. Adaptation of Listeria monocytogenes in a simulated cheese medium: Effects on virulence using the Galleria mellonella infection model. Lett. Appl. Microbiol. 2013, 56, 421–427. [Google Scholar] [CrossRef]
  37. Alía, A.; Rodríguez, A.; Andrade, M.J.; Gómez, F.M.; Córdoba, J.J. Combined effect of temperature, water activity and salt content on the growth and gene expression of Listeria monocytogenes in a dry-cured ham model system. Meat Sci. 2019, 155, 16–19. [Google Scholar] [CrossRef]
  38. Lucas, J.; Alía, A.; Velasco, R.; Selgas, M.; Cabeza, M. Effect of E-beam treatment on expression of virulence and stress-response genes of Listeria monocytogenes in dry-cured ham. Int. J. Food Microbiol. 2021, 340, 109057. [Google Scholar] [CrossRef]
  39. Duodu, S.; Holst-Jensen, A.; Skjerdal, T.; Cappelier, J.-M.; Pilet, M.-F.; Loncarevic, S. Influence of storage temperature on gene expression and virulence potential of Listeria monocytogenes strains grown in a salmon matrix. Food Microbiol. 2010, 27, 795–801. [Google Scholar] [CrossRef]
  40. Miranda, R.O.; Campos-Galvão, M.E.M.; Nero, L.A. Expression of genes associated with stress conditions by Listeria monocytogenes in interaction with nisin producer Lactococcus lactis. Food Res. Int. 2018, 105, 897–904. [Google Scholar] [CrossRef]
  41. Ye, K.; Zhang, X.; Huang, Y.; Liu, J.; Liu, M.; Zhou, G. Bacteriocinogenic Enterococcus faecium inhibits the virulence property of Listeria monocytogenes. LWT-Food Sci. Technol. 2018, 89, 87–92. [Google Scholar] [CrossRef]
  42. Bowman, J.; Bittencourt, C.R.; Ross, T. Differential gene expression of Listeria monocytogenes during high hydrostatic pressure processing. Microbiology 2008, 154, 462–475. [Google Scholar] [CrossRef] [Green Version]
  43. Laursen, M.F.; Bahl, M.I.; Licht, T.R.; Gram, L.; Knudsen, G.M. A single exposure to a sublethal pediocin concentration initiates a resistance-associated temporal cell envelope and general stress response in Listeria monocytogenes. Environ. Microbiol. 2014, 17, 1134–1151. [Google Scholar] [CrossRef] [PubMed]
  44. Osanai, A.; Li, S.-J.; Asano, K.; Sashinami, H.; Hu, D.-L.; Nakane, A. Fibronectin binding protein, FbpA, is an adhesin responsible for pathogenesis of Listeria monocytogenes infection. Microbiol. Immunol. 2013, 57, 253–262. [Google Scholar] [CrossRef] [PubMed]
  45. Chen, Y.; Ross, W.H.; Whiting, R.C.; Van Stelten, A.; Nightingale, K.K.; Wiedmann, M.; Scott, V.N. Variation in Listeria monocytogenes Dose Responses in Relation to Subtypes Encoding a Full-Length or Truncated Internalin A. Appl. Environ. Microbiol. 2011, 77, 1171–1180. [Google Scholar] [CrossRef] [Green Version]
  46. Ortiz, S.; López-Alonso, V.; Rodríguez, P.; Martínez-Suárez, J.V. The Connection between Persistent, Disinfectant-Resistant Listeria monocytogenes Strains from Two Geographically Separate Iberian Pork Processing Plants: Evidence from Comparative Genome Analysis. Appl. Environ. Microbiol. 2016, 82, 308–317. [Google Scholar] [CrossRef] [PubMed] [Green Version]
Figure 1. Relative change in the transcription level for five virulence genes prfA (A), inlA (B), inlB (C), clpC (D) and fbpA (E) of L. monocytogenes strain S2 in sliced dry-cured ham treated with enterocins A and B and stored during 30 d at 4 and 20 °C. Relative gene expression was calculated by the 2−ΔΔCT method and log2 values are reported. Error bars indicate standard deviation of three biological replicates with duplicated samples (n = 6).
Figure 1. Relative change in the transcription level for five virulence genes prfA (A), inlA (B), inlB (C), clpC (D) and fbpA (E) of L. monocytogenes strain S2 in sliced dry-cured ham treated with enterocins A and B and stored during 30 d at 4 and 20 °C. Relative gene expression was calculated by the 2−ΔΔCT method and log2 values are reported. Error bars indicate standard deviation of three biological replicates with duplicated samples (n = 6).
Applmicrobiol 02 00001 g001
Figure 2. Relative change in the transcription level for five virulence genes prfA (A), inlA (B), inlB (C), clpC (D) and fbpA (E) of L. monocytogenes strain S7-2 in sliced dry-cured ham treated with enterocins A and B and stored during 30 d at 4 and 20 °C. Relative gene expression was calculated by the 2−ΔΔCT method and log2 values are reported. Error bars indicate standard deviation of three biological replicates with duplicated samples (n = 6).
Figure 2. Relative change in the transcription level for five virulence genes prfA (A), inlA (B), inlB (C), clpC (D) and fbpA (E) of L. monocytogenes strain S7-2 in sliced dry-cured ham treated with enterocins A and B and stored during 30 d at 4 and 20 °C. Relative gene expression was calculated by the 2−ΔΔCT method and log2 values are reported. Error bars indicate standard deviation of three biological replicates with duplicated samples (n = 6).
Applmicrobiol 02 00001 g002
Table 1. L. monocytogenes genes targeted by qPCR in this study to determine the effect of enterocins A and B on adhesion/invasion and virulence gene expression.
Table 1. L. monocytogenes genes targeted by qPCR in this study to determine the effect of enterocins A and B on adhesion/invasion and virulence gene expression.
Gene NameFunction and Scope of UseSequence (5′→3′)Reference
IGSReference geneIGS1: GGCCTATAGCTCAGCTGGTTA[24]
IGS2: GCTGAGCTAAGGCCCCATAAA
P: HEX-CCATCGACCTCACGCTTATCAGGC-TAMRA[25]
inlAInternalization in the host cellF: GGTCTCACAAACAGATCTAGACCAAGT[26]
R: TCAAGTATTCCACTCCATCGATAGATT
P: HEX-TCCCTAATCTATCCGCCTGAAGCGTTG-TAMRA
inlBInternalization in the host cellF: AAGCAAGATTTCATGGGAGAGT[27]
R: TTACCGTTCCATCAACATCATAACTT
P: HEX-CCACTGAAAGAGGTTTACACA-TAMRA
clpCATPase involved in cell adhesion and invasionF: GCGGCTGTTCAAGGTCAAG[27]
R: TTGCCAATTCGCTTTAGTTTCTT
P: HEX-AAAGCAGCGTCATTACG-TAMRA
fbpAInvolved in efficient colonization of host tissuesF: AAATCAATGAACTATTTCCGGAAAG[27]
R: CATGGAGCTTGCTAAAC
P: HEX-CTAGAGGAGCATAAGGAA-TAMRA
prfATranscriptional regulator, virulence F: CAATGGGATCCACAAGAATATTGTAT[28]
R: AATAAAGCCAGACATTATAACGAAAGC
P: HEX-TGTAAATTCATGATGGTCCCGTTCTCGCT-TAMRA
F, forward; R, reverse; P, probe; HEX, fluorochrome at 5’-end of the probe; TAMRA, quencher of HEX at 3’-end of the probe.
Table 2. L. monocytogenes S2 and S7-2 counts (log CFU/g) in sliced dry-cured ham treated with enterocins A and B and stored during 30 d at 4 and 20 °C.
Table 2. L. monocytogenes S2 and S7-2 counts (log CFU/g) in sliced dry-cured ham treated with enterocins A and B and stored during 30 d at 4 and 20 °C.
Time (d)
StrainTemperature (°C)Treatment0171430
S24Control 6.29 ± 0.18aD5.61 ± 0.16aC5.18 ± 0.14aB5.26 ± 0.20aB4.84 ± 0.32aA
ENT5.80 ± 0.15bE5.20 ± 0.17bD4.90 ± 0.09bC4.59 ± 0.15bB4.16 ± 0.13bA
20Control 6.18 ± 0.09aD5.63 ± 0.20aC5.07 ± 0.09aB4.80 ± 0.27aB4.21 ± 0.25aA
ENT5.67 ± 0.27bC4.84 ± 0.12bB4.63 ± 0.29bB4.08 ± 0.42bA3.81 ± 0.29bA
S7-24Control 6.25 ± 0.11aD5.84 ± 0.08aC5.46 ± 0.17aAB5.51 ± 0.13aB5.26 ± 0.13aA
ENT5.63 ± 0.18bB5.26 ± 0.09bB4.84 ± 0.37bA4.86 ± 0.33bA4.69 ± 0.13bA
20Control 6.25 ± 0.20aC5.72 ± 0.28aBC5.38 ± 0.33aB5.18 ± 0.33aAB4.72 ± 0.53aA
ENT5.67 ± 0.12bB5.27 ± 0.10bB4.35 ± 0.32bA4.27 ± 0.83bA4.49 ± 0.18aA
Control, non-treated. ENT: treated with an enterocins A and B extract produced by E. faecium INIA TAB7. Values are the mean ± SD. a, b Means within the same column with different lowercase letters differ significantly at p < 0.05 for a given strain and temperature. A, B, C, D, E Means within the same row with different uppercase letters differ significantly at p < 0.05.
Publisher’s Note: MDPI stays neutral with regard to jurisdictional claims in published maps and institutional affiliations.

Share and Cite

MDPI and ACS Style

Pérez-Baltar, A.; Medina, M.; Montiel, R. Effect of Enterocins A and B on the Viability and Virulence Gene Expression of Listeria monocytogenes in Sliced Dry-Cured Ham. Appl. Microbiol. 2022, 2, 1-11. https://doi.org/10.3390/applmicrobiol2010001

AMA Style

Pérez-Baltar A, Medina M, Montiel R. Effect of Enterocins A and B on the Viability and Virulence Gene Expression of Listeria monocytogenes in Sliced Dry-Cured Ham. Applied Microbiology. 2022; 2(1):1-11. https://doi.org/10.3390/applmicrobiol2010001

Chicago/Turabian Style

Pérez-Baltar, Aida, Margarita Medina, and Raquel Montiel. 2022. "Effect of Enterocins A and B on the Viability and Virulence Gene Expression of Listeria monocytogenes in Sliced Dry-Cured Ham" Applied Microbiology 2, no. 1: 1-11. https://doi.org/10.3390/applmicrobiol2010001

APA Style

Pérez-Baltar, A., Medina, M., & Montiel, R. (2022). Effect of Enterocins A and B on the Viability and Virulence Gene Expression of Listeria monocytogenes in Sliced Dry-Cured Ham. Applied Microbiology, 2(1), 1-11. https://doi.org/10.3390/applmicrobiol2010001

Article Metrics

Back to TopTop