Wood-Vinegar-Added Biochar as a Soil Conditioner Enhances Safflower Performance in the Brazilian Semi-Arid Northeast
Abstract
1. Introduction
2. Materials and Methods
2.1. Local, Soil, and Climate
2.2. Biochar and Wood Vinegar
2.3. Organization of the Experimental Area
2.4. Crop Management
2.5. Determinations Made
- Average height of the plants (HEIGHT—cm).
- Average number of capitula per plant (NCAP).
- Number of seeds per capitulum (NSEED).
- Average mass of 1000 seeds (THSEED).
- Grain yield (YIELD—kg ha−1) at 13% moisture.
- Oil content (OIL—%): the oil was extracted from 10 g of seeds, by means of a Soxhlet system with an oil bath in a cycle of 95 °C and 3 h. 150 mL of N-hexane solvent was used, which was subsequently separated from the oil using a rotary evaporator.
2.6. Statistical Procedures
3. Results
3.1. Descriptive Statistics
3.2. Linear Mixed Models with Harvest as a Random Effect
3.3. Comparison of Response Curves
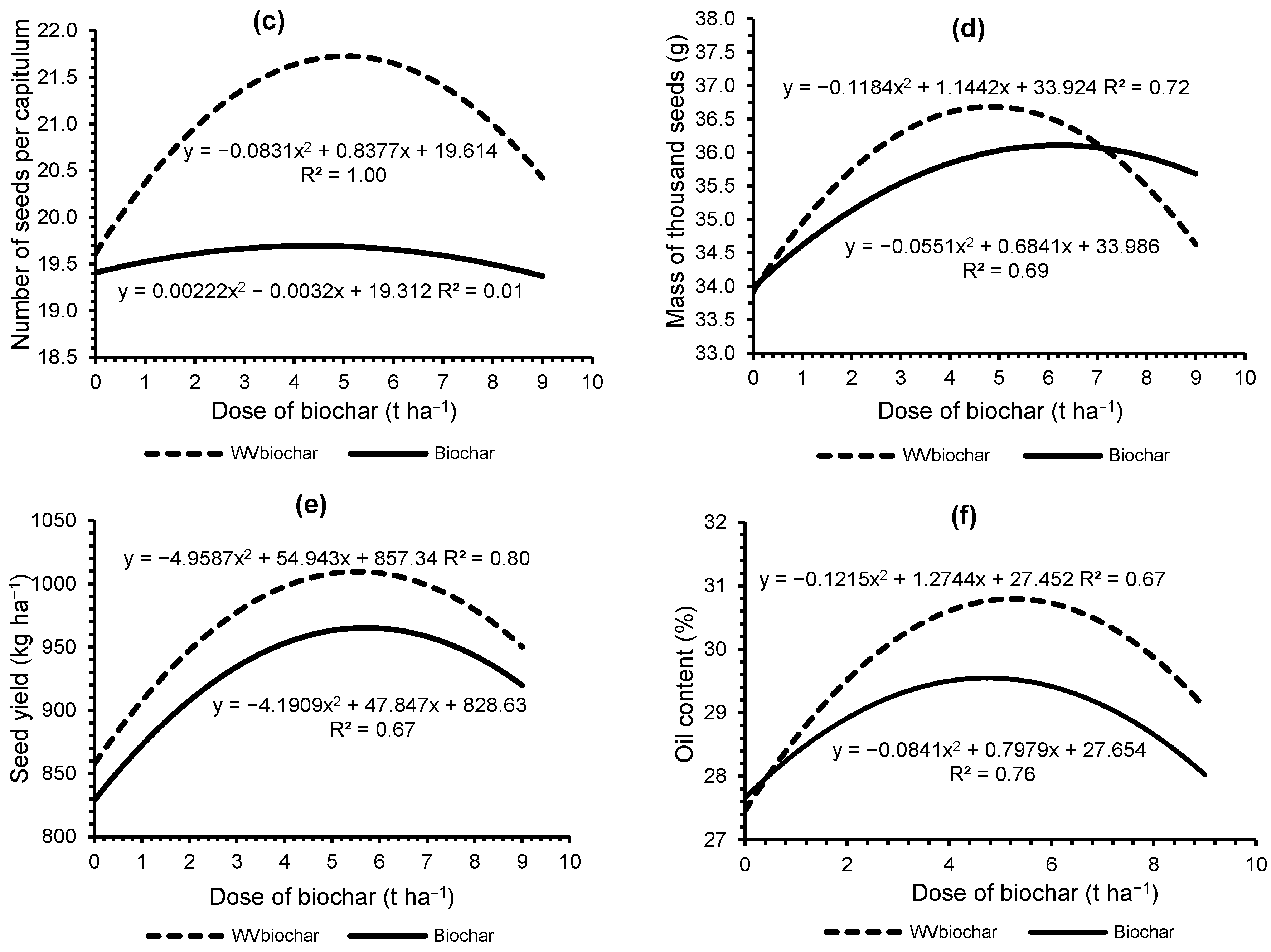
3.4. Dose-Adjusted Quadratic Regressions
3.5. Gains Provided by Doses and Types of Biochar in Relation to Controls
4. Discussion
4.1. General Data Behavior
4.2. Effects of Biochar and of Wood-Vinegar-Added Biochar on Safflower
4.3. Effects of the Dose of Biochar and Wv-Biochar
5. Conclusions
Author Contributions
Funding
Data Availability Statement
Acknowledgments
Conflicts of Interest
Abbreviations
| WV | Wood Vinegar |
| Wv-biochar | WV-added Biochar |
| GHG | Greenhouse Gases |
| CEC | Cation Exchange Capacity |
| UFERSA | Universidade Federal Rural do Semi-Árido |
| NCAP | Number of Capitula per Plant |
| NSEED | Number of Seedlings per Capitulum |
| THSEED | Mass of a thousand Seeds |
| SISVAR | Computational System for Statistical Analysis |
References
- El Bilali, H.; Bassolé, I.; Dambo, L.; Berjan, S. Climate change and food security. Agric. For. 2020, 66, 197–210. [Google Scholar] [CrossRef]
- FAO. The State of the World’s Land and Water Resources for Food and Agriculture—Systems at Breaking Point: Main Report; FAO: Rome, Italy, 2022. [Google Scholar] [CrossRef]
- Castro Oliveira, G.; Francelino, M.R.; Arruda, D.M.; Fernandes-Filho, E.I.; Schaefer, C.E.G.R. Climate and soils at the Brazilian semiarid and the forest-Caatinga problem: New insights and implications for conservation. Environ. Res. Lett. 2019, 14, 104007. [Google Scholar] [CrossRef]
- Marengo, J.A.; Galdos, M.V.; Challinor, A.; Cunha, A.P.; Marin, F.R.; Vianna, M.S.; Alvala, R.C.S.; Alves, L.M.; Moraes, O.L.; Bender, F. Drought in Northeast Brazil: A review of agricultural and policy adaptation options for food security. Clim. Resil. Sustain. 2022, 1, e17. [Google Scholar] [CrossRef]
- Macedo, R.S.; Moro, L.; Lambais, É.O.; Lambais, G.R.; Bakker, A.P. Effects of degradation on soil attributes under caatinga in the Brazilian semi-arid. Rev. Árvore 2023, 47, e4702. [Google Scholar] [CrossRef]
- Guidorizzi, F.V.C.; Soratto, R.P.; Silva, M.M.; Pinto, L.O.G.; Fernandes, A.M.; Souza, E.F.C. Biomass and nutrient accumulation and partitioning of fall-winter safflower in a double-cropping system of southeastern Brazil. Agron. J. 2020, 113, 451–463. [Google Scholar] [CrossRef]
- Yadav, S.P.S.; Bhandari, S.; Bhatta, D.; Poudel, A.; Bhattarai, S.; Yadav, P.; Ghimire, N.; Paudel, P.; Paudel, P.; Shrestha, J.; et al. Biochar application: A sustainable approach to improve soil health. J. Agric. Food Res. 2023, 11, 100498. [Google Scholar] [CrossRef]
- He, L.; Geng, K.; Li, B.; Li, S.; Gustave, W.; Wang, J.; Jeyakumar, P.; Zhang, X.; Wang, H. Enhancement of nutrient use efficiency with biochar and wood vinegar: A promising strategy for improving soil productivity. J. Sci. Food Agric. 2025, 105, 465–472. [Google Scholar] [CrossRef]
- Jindo, K.; Goron, T.L.; Kurebito, S.; Matsumoto, K.; Masunaga, T.; Mori, K.; Miyakawa, K.; Nagao, S.; Tokunari, T. Sustainable plant growth promotion and chemical composition of pyroligneous acid when applied with biochar as a soil amendment. Molecules 2022, 27, 3397. [Google Scholar] [CrossRef] [PubMed]
- Yang, L.; Tang, G.; Xu, W.; Zhang, Y.; Ning, S.; Yu, P.; Zhu, J.; Wu, Q.; Yu, P. Effect of combined application of wood vinegar solution and biochar on saline soil properties and cotton stress tolerance. Plants 2024, 13, 2427. [Google Scholar] [CrossRef]
- Lehmann, J.; Cowie, A.; Masiello, C.A.; Kammann, C.; Woolf, D.; Amonette, J.E.; Cayuela, M.L.; Camps-Arbestain, M.; Whitman, T. Biochar in climate change mitigation. Nat. Geosci. 2021, 14, 883–893. [Google Scholar] [CrossRef]
- Xia, F.; Zhang, Z.; Zhang, Q.; Huang, H.; Zhao, X. Life cycle assessment of greenhouse gas emissions for various feedstocks-based biochars as soil amendment. Sci. Total Environ. 2024, 911, 168734. [Google Scholar] [CrossRef] [PubMed]
- Qi, S.; Degen, A.; Wang, W.; Huang, M.; Li, D.; Luo, B.; Xu, J.; Dang, Z.; Guo, R.; Shang, Z. Systemic review for the use of biochar to mitigate soil degradation. GCB Bioenergy 2024, 16, e13147. [Google Scholar] [CrossRef]
- Idowu, O.; Ndede, E.O.; Kurebito, S.; Tokunari, T.; Jindo, K. Effect of the interaction between wood vinegar and biochar feedstock on tomato plants. J. Soil Sci. Plant Nutr. 2023, 23, 1599–1610. [Google Scholar] [CrossRef]
- Zanutel, M.; Garré, S.; Sanglier, P.; Bielders, C. Biochar modifies soil physical properties mostly through changes in soil structure rather than through its internal porosity. Vadose Zone J. 2024, 23, e20301. [Google Scholar] [CrossRef]
- Soil Survey Staff. Keys to Soil Taxonomy, 13th ed.; USDA Natural Resources Conservation Service: Washington, DC, USA, 2022.
- Da Silva Rêgo, L.G.; Martins, C.M.; Da Silva, E.F.; Da Silva, J.J.A.; Da Silva Lima, R.N. Pedogenesis and soil classification of an experimental farm in Mossoró, State of Rio Grande do Norte, Brazil. Rev. Caatinga 2016, 29, 1036–1042. [Google Scholar] [CrossRef][Green Version]
- Pimenta, A.S.; Fasciotti, M.; Monteiro, T.V.C.; Lima, K.M.G. Chemical composition of pyroligneous acid obtained from eucalyptus GG100 clone. Molecules 2018, 23, 426. [Google Scholar] [CrossRef]
- StatSoft, Inc. STATISTICA (Data Analysis Software System), version 13; StatSoft, Inc.: Tulsa, OK, USA, 2018.
- R Core Team. R: A Language and Environment for Statistical Computing; R Foundation for Statistical Computing: Vienna, Austria, 2017; Available online: http://www.R-project.org (accessed on 27 May 2017).
- Sampaio, M.; Santos, R.; Oliveira, P.S.; Bassegio, D.; Rego, C.A.M.; Silveira, L.; Costa, B.; Mattei, E.; Herrera, J. Comparison of safflower cultivation in two seasons in the south of Brazil. J. Agric. Sci. 2018, 10, 92–99. [Google Scholar] [CrossRef][Green Version]
- Silva, L.M.; Sanglard, D.A.; Nogueira, A.S.; Dourado, L.R.; Silva, L.S.; Lessa, M.F.G. Agronomic and bromatological characteristics of genotypes of Carthamus tinctorius L. Potential for the cerrado region. Braz. J. Prod. Eng. 2024, 10, 340–348. [Google Scholar] [CrossRef]
- Mosupiemang, M.; Emongor, V.E.; Malambane, G.; Mapitse, R. Growth, development and yield of safflower genotypes in response to environmental variations. J. Phytol. 2023, 15, 145–154. [Google Scholar] [CrossRef]
- Santos, R.F.; Silva, M.A.; Klar, A.E.; Zanotto, M.D.; Bassegio, D. Comportamento morfológico no período de crescimento de genótipos de Carthamus tinctorius L. em cultivo sob sequeiro e irrigado. Rev. Bras. Energ. Renov. 2015, 4, 146–167. [Google Scholar] [CrossRef]
- Oshima, R.; Dagallier, B.; Kômoto, N.; Kearns, P.W.E. Consensus Document on the Biology of Safflower (Carthamus tinctorius L.); OECD: Organisation for Economic Co-Operation and Development: Paris, France, 2020. [Google Scholar]
- Pavlov, D.C.; Tadorov, N.A. Safflower (Carthamus tinctorius L.). In Food and Feed from Legumes and Oilseeds; Nwokolo, E., Smartt, J., Eds.; Springer: Boston, MA, USA, 1996; pp. 245–257. [Google Scholar] [CrossRef]
- Quiroga, A.R.; Díaz-Zorita, M.; Buschiazzo, D.E. Safflower productivity as related to soil water storage and management practices in semiarid regions. Commun. Soil Sci. Plant Anal. 2001, 32, 2851–2862. [Google Scholar] [CrossRef]
- Lovelli, S.; Perniola, M.; Ferrara, A.; Di Tommaso, T. Yield response factor to water (Ky) and water use efficiency of Carthamus tinctorius L. and Solanum melongena L. Agric. Water Manag. 2007, 92, 73–80. [Google Scholar] [CrossRef]
- Yeilaghi, H.; Arzani, A.; Ghaderian, M.; Fotovat, R.; Feizi, M.; Pourdad, S.S. Effect of salinity on seed oil content and fatty acid composition of safflower (Carthamus tinctorius L.) genotypes. Food Chem. 2012, 130, 618–625. [Google Scholar] [CrossRef]
- Sampaio, P.R.F.; Miranda, N.O.; Medeiros, J.F.; José, J.V.; Lira, J.F.B.; Mendonça, J.D.J. Spatial variability of sunn hemp under residual effect of nitrogen and water salinity. Acta Sci. Technol. 2015, 37, 313–322. [Google Scholar] [CrossRef]
- Medeiros, J.L.F. Manejo da Vegetação de Cobertura, Quantificação da Fitomassa e Variabilidade da Resistência do solo em Plantio Direto Irrigado no Semiárido Potiguar. Master’s Thesis, Universidade Federal Rural do Semiárido, Mossoró, RN, Brazil, 2019. [Google Scholar]
- Liu, X.; Zhang, A.; Ji, C.; Joseph, S.; Bian, R.; Li, L.; Pan, G.; Paz-Ferreiro, J. Biochar’s effect on crop productivity and the dependence on experimental conditions—A meta-analysis of literature data. Plant Soil 2013, 373, 583–594. [Google Scholar] [CrossRef]
- Ghaedi, M.; Bijanzadeh, E.; Behpouri, A.; Najafi-Ghiri, M. Biochar application affected biochemical properties, yield and nutrient content of safflower under water stress. Sci. Rep. 2024, 14, 20228. [Google Scholar] [CrossRef]
- Golezani, K.G.; Farhangi-Abriz, S. Biochar alleviates fluoride toxicity and oxidative stress in safflower (Carthamus tinctorius L.) seedlings. Chemosphere 2019, 223, 406–415. [Google Scholar] [CrossRef] [PubMed]
- Najafi-Ghiri, M.; Bijanzadeh, E.; Bahadori, F. Effect of wheat-derived biochar on soil nutrients availability and nutrients uptake by two safflower (Carthamus tinctorius L.) cultivars under water stress. Commun. Soil Sci. Plant Anal. 2022, 53, 1592–1606. [Google Scholar] [CrossRef]
- Du, H.G.; Mori, E.; Terao, H.; Tsuzuki, E. Effect of the mixture of charcoal with pyroligneous acid on shoot and root growth of sweet potato [Ipomoea batatas]. Jpn. J. Crop Sci. 1998, 67, 149–152. [Google Scholar] [CrossRef][Green Version]
- Kadota, M.; Niimi, Y. Effects of charcoal with pyroligneous acid and barnyard manure on bedding plants. Sci. Hortic. 2004, 101, 327–332. [Google Scholar] [CrossRef]
- da Silva, D.W.; Canepelle, E.; Writzl, T.C.; Steffler, A.D.; Stein, J.E.S.; Guerra, D.; Silva, D.M.; Redin, M. Efeito do extrato pirolenhoso no desenvolvimento inicial de plantas de milho e feijão. Rev. Eletrônica Cient. UERGS 2021, 7, 93–102. [Google Scholar] [CrossRef]


| August | September | October | November | December | January | February | |
|---|---|---|---|---|---|---|---|
| Tave (°C) | 27.97 ± 0.36 | 28.57 ± 0.19 | 29.06 ± 0.19 | 29.24 ± 0.18 | 28.62 ± 0.23 | 28.81 ± 0.15 | 28.85 ± 0.19 |
| Tmax (°C) | 35.22 ± 0.90 | 36.47 ± 0.47 | 36.63 ± 0.45 | 36.00 ± 0.47 | 35.83 ± 0.47 | 34.87 ± 0.28 | 35.17 ± 0.31 |
| Tmin (°C) | 21.75 ± 0.80 | 22.58 ± 0.47 | 23.46 ± 0.42 | 24.49 ± 0.38 | 24.60 ± 0.36 | 24.73 ± 0.18 | 24.57 ± 0.17 |
| RUmax (%) | 85.28 ± 2.20 | 83.68 ± 1.66 | 85.03 ± 1.66 | 86.06 ± 1.66 | 86.84 ± 1.70 | 89.89 ± 1.05 | 92.55 ± 0.88 |
| RUmin (%) | 35.89 ± 4.06 | 33.33 ± 1.82 | 34.66 ± 2.35 | 39.19 ± 2.25 | 39.94 ± 2.16 | 46.14 ± 1.52 | 46.58 ± 1.61 |
| Rac (mm) | 2.77 | 0.25 | 1.46 | 5.84 | 31.81 | 55.43 | 141.77 |
| ET0 (mm day−1) | 4.79 ± 0.53 | 5.82 ± 0.27 | 6.05 ± 0.23 | 5.79 ± 0.25 | 5.49 ± 0.28 | 4.77 ± 0.18 | 4.71 ± 0.19 |
| Insol (h day−1) | 10.10 ± 0.74 | 11.21 ± 0.02 | 11.32 ± 0.07 | 11.42 ± 0.05 | 11.44 ± 0.08 | 11.40 ± 0.08 | 11.33 ± 0.05 |
| Harvest | N | Mean | SD | SE | Minimum | Maximum | |
|---|---|---|---|---|---|---|---|
| HEIGHT | 1 | 34 | 48.2 | 5.35 | 0.92 | 38.80 | 58.25 |
| 2 | 25 | 40.6 | 5.12 | 1.05 | 29.65 | 48.05 | |
| 3 | 35 | 47.6 | 4.17 | 0.7 | 38.29 | 57.12 | |
| NCAP | 1 | 34 | 8.4 | 1.90 | 0.33 | 5.05 | 10.05 |
| 2 | 25 | 7.00 | 1.52 | 0.32 | 3.55 | 10.25 | |
| 3 | 35 | 8.00 | 2.10 | 0.35 | 4.06 | 13.92 | |
| NSEED | 1 | 34 | 12.2 | 2.01 | 0.35 | 8.30 | 18.50 |
| 2 | 25 | 25.3 | 4.17 | 0.87 | 16.40 | 33.32 | |
| 3 | 35 | 24.2 | 3.15 | 0.53 | 18.75 | 29.80 | |
| THSEED | 1 | 34 | 38.0 | 4.73 | 0.81 | 28.89 | 46.06 |
| 2 | 25 | 34.2 | 2.99 | 0.62 | 30.8 | 42.8 | |
| 3 | 35 | 34.1 | 2.90 | 0.49 | 30.80 | 39.70 | |
| YIELD | 1 | 34 | 1109 | 325 | 55.75 | 576 | 1818 |
| 2 | 25 | 839 | 193 | 39.07 | 467 | 1218 | |
| 3 | 35 | 866 | 178 | 30.07 | 478 | 1315 | |
| OIL | 1 | 21 | 21.9 | 1.40 | 0.33 | 18.45 | 24.00 |
| 2 | 21 | 37.2 | 8.56 | 0.47 | 26.63 | 56.99 | |
| 3 | 21 | 29.9 | 6.53 | 0.97 | 18.45 | 45.50 |
| Dose t ha−1 | HEIGHT | NCAP | NSEED | THSEED | YIELD | OIL | ||||||
|---|---|---|---|---|---|---|---|---|---|---|---|---|
| B | WV | B | WV | B | WV | B | WV | B | WV | B | WV | |
| 0 | 45.76 | 45.76 | 7.28 | 7.28 | 19.63 | 19.63 | 34.23 | 34.23 | 844.61 | 844.61 | 27.85 | 27.84 |
| 3 | 44.45 | 45.83 | 7.54 | 8.18 | 18.38 | 21.34 | 34.82 | 35.38 | 886.52 | 1015.75 | 28.71 | 28.99 |
| 6 | 45.65 | 45.18 | 7.96 | 7.78 | 20.31 | 21.69 | 36.83 | 37.43 | 1012.78 | 970.28 | 29.99 | 31.91 |
| 9 | 47.04 | 47.05 | 7.51 | 8.19 | 19.15 | 20.41 | 35.44 | 34.32 | 903.81 | 962.92 | 27.83 | 28.68 |
Disclaimer/Publisher’s Note: The statements, opinions and data contained in all publications are solely those of the individual author(s) and contributor(s) and not of MDPI and/or the editor(s). MDPI and/or the editor(s) disclaim responsibility for any injury to people or property resulting from any ideas, methods, instructions or products referred to in the content. |
© 2025 by the authors. Licensee MDPI, Basel, Switzerland. This article is an open access article distributed under the terms and conditions of the Creative Commons Attribution (CC BY) license.
Share and Cite
Souza, W.M.A.T.d.; Pimenta, A.S.; Miranda, N.d.O.; Lichston, J.E.; Gonçalves, F.d.C.; Medeiros, P.L.d.; Melo, R.R.d.; Azevedo, T.K.B.d. Wood-Vinegar-Added Biochar as a Soil Conditioner Enhances Safflower Performance in the Brazilian Semi-Arid Northeast. Crops 2026, 6, 3. https://doi.org/10.3390/crops6010003
Souza WMATd, Pimenta AS, Miranda NdO, Lichston JE, Gonçalves FdC, Medeiros PLd, Melo RRd, Azevedo TKBd. Wood-Vinegar-Added Biochar as a Soil Conditioner Enhances Safflower Performance in the Brazilian Semi-Arid Northeast. Crops. 2026; 6(1):3. https://doi.org/10.3390/crops6010003
Chicago/Turabian StyleSouza, Wendy Mattos Andrade Teixeira de, Alexandre Santos Pimenta, Neyton de Oliveira Miranda, Juliana Espada Lichston, Francisco das Chagas Gonçalves, Priscila Lira de Medeiros, Rafael Rodolfo de Melo, and Tatiane Kelly Barbosa de Azevedo. 2026. "Wood-Vinegar-Added Biochar as a Soil Conditioner Enhances Safflower Performance in the Brazilian Semi-Arid Northeast" Crops 6, no. 1: 3. https://doi.org/10.3390/crops6010003
APA StyleSouza, W. M. A. T. d., Pimenta, A. S., Miranda, N. d. O., Lichston, J. E., Gonçalves, F. d. C., Medeiros, P. L. d., Melo, R. R. d., & Azevedo, T. K. B. d. (2026). Wood-Vinegar-Added Biochar as a Soil Conditioner Enhances Safflower Performance in the Brazilian Semi-Arid Northeast. Crops, 6(1), 3. https://doi.org/10.3390/crops6010003

