Incorporating the Effect of Behavioral States in Multi-Step Ahead Deep Learning Based Multivariate Predictors for Blood Glucose Forecasting in Type 1 Diabetes
Abstract
1. Introduction
2. Materials and Methods
2.1. Experimental Condition
2.2. Physical Activity Intensity Estimation
2.3. Stress State Estimation
2.4. Input-Output Partitioning
2.5. Glucose Predictive Model
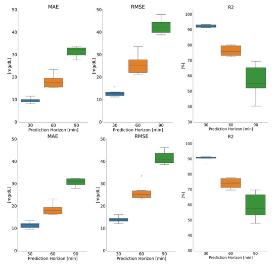
3. Results
3.1. Evaluation Metrics
3.2. Evaluation Scenarios
3.3. Population-Wise Analysis
3.4. Patient-Wise Analysis
3.5. Comparison with Existing Methods
4. Discussion and Conclusions
Author Contributions
Funding
Data Availability Statement
Conflicts of Interest
References
- Cescon, M.; Ståhl, F.; Landin-Olsson, M.; Johansson, R. Subspace-based model identification of diabetic blood glucose dynamics. IFAC Proc. Vol. 2009, 42, 233–238. [Google Scholar] [CrossRef]
- Cescon, M.; Johansson, R. Glycemic trend prediction using empirical model identification. In Proceedings of the 48h IEEE Conference on Decision and Control (CDC) held jointly with 2009 28th Chinese Control Conference, Shanghai, China, 16–18 December 2009; pp. 3501–3506. [Google Scholar]
- Percival, M.W.; Bevier, W.C.; Zisser, H.; Jovanovič, L.; Seborg, D.E.; Doyle, F.J., III. Prediction of dynamic glycemic trends using optimal state estimation. IFAC Proc. Vol. 2008, 41, 4222–4227. [Google Scholar] [CrossRef]
- Cescon, M. Modeling and Prediction in Diabetes Physiology. Ph.D. Thesis, Lund University, Lund, Sweden, 2013. Available online: http://archive.control.lth.se/Research/medicalProjects/diadvisortm.html (accessed on 15 February 2022).
- Bunescu, R.; Struble, N.; Marling, C.; Shubrook, J.; Schwartz, F. Blood glucose level prediction using physiological models and support vector regression. Proceedings of 2013 12th International Conference on Machine Learning and Applications, Washington, DC, USA, 4–7 December 2013; Volume 1, pp. 135–140. [Google Scholar]
- Oviedo, S.; Vehí, J.; Calm, R.; Armengol, J. A review of personalized blood glucose prediction strategies for T1DM patients. Int. J. Numer. Method Biomed. Eng. 2017, 33, e2833. [Google Scholar] [CrossRef] [PubMed]
- Li, K.; Daniels, J.; Liu, C.; Herrero, P.; Georgiou, P. Convolutional recurrent neural networks for glucose prediction. IEEE J. Biomed. Health Inf. 2019, 24, 603–613. [Google Scholar] [CrossRef] [PubMed]
- Kushner, T.; Breton, M.D.; Sankaranarayanan, S. Multi-hour blood glucose prediction in type 1 diabetes: A patient-specific approach using shallow neural network models. Diabetes Technol. 2020, 22, 883–891. [Google Scholar] [CrossRef] [PubMed]
- Jaloli, M.; Cescon, M. Predicting Blood Glucose Levels Using CNN-LSTM Neural Networks. In 2020 Diabetes Technology Meeting Abstracts, 2nd ed.; SAGE Publications: Los Angeles, CA, USA, 2020; Volume 15, p. 432. [Google Scholar]
- ECRI. The Growing Use of Consumer-Grade Medical Devices: Advice for Physicians and Their Patients. Health Devices. 2019. Available online: https://www.ecri.org/components/HDJournal/Pages/Advice-on-consumer-grade-medical-devices.aspx (accessed on 14 November 2022).
- Faccioli, S.; Ozaslan, B.; Garcia-Tirado, J.F.; Breton, M.; del Favero, S. Black-box model identification of physical activity in type-l diabetes patients. Proceedings of 2018 40th Annual International Conference of the IEEE Engineering in Medicine and Biology Society (EMBC), Honolulu, HI, USA, 17–21 July 2018; pp. 3910–3913. [Google Scholar]
- De Canete, J.F.; Gonzalez-Perez, S.; Ramos-Diaz, J.C. Artificial neural networks for closed loop control of in silico and ad hoc type 1 diabetes. Comput. Methods Programs Biomed. 2012, 106, 55–66. [Google Scholar] [CrossRef] [PubMed]
- Fong, S.; Zhang, Y.; Fiaidhi, J.; Mohammed, O.; Mohammed, S. Evaluation of stream mining classifiers for real-time clinical decision support system: A case study of blood glucose prediction in diabetes therapy. Biomed. Res. Int. 2013, 2013, 4193. [Google Scholar] [CrossRef] [PubMed]
- Turksoy, K.; Hajizadeh, I.; Hobbs, N.; Kilkus, J.; Littlejohn, E.; Samadi, S. Multivariable artificial pancreas for various exercise types and intensities. Diabetes Technol. Ther. 2018, 20, 662–671. [Google Scholar] [CrossRef] [PubMed]
- Turksoy, K.; Bayrak, E.S.; Quinn, L.; Littlejohn, E.; Rollins, D.; Cinar, A. Hypoglycemia early alarm systems based on multivariable models. Ind. Eng. Chem. Res. 2013, 52, 12329–12336. [Google Scholar] [CrossRef] [PubMed]
- Zarkogianni, K.; Mitsis, K.; Litsa, E.; Arredondo, M.-T.; Ficο, G.; Fioravanti, A.; Nikita, K.S. Comparative assessment of glucose prediction models for patients with type 1 diabetes mellitus applying sensors for glucose and physical activity monitoring. Med. Biol. Eng. Comput. 2015, 53, 1333–1343. [Google Scholar] [CrossRef] [PubMed]
- Bertachi, A.; Viñals, C.; Biagi, L.; Contreras, I.; Vehí, J.; Conget, I.; Giménez, M. Prediction of nocturnal hypoglycemia in adults with type 1 diabetes under multiple daily injections using continuous glucose monitoring and physical activity monitor. Sensors 2020, 20, 1705. [Google Scholar] [CrossRef] [PubMed]
- Sevil, M.; Rashid, M.; Hajizadeh, I.; Park, M.; Quinn, L.; Cinar, A. Physical activity and psychological stress detection and assessment of their effects on glucose concentration predictions in diabetes management. IEEE Trans. Biomed. Eng. 2021, 68, 2251–2260. [Google Scholar] [CrossRef] [PubMed]
- De Paoli, B.; D’Antoni, F.; Merone, M.; Pieralice, S.; Piemonte, V.; Pozzilli, P. Blood Glucose Level Forecasting on Type-1-Diabetes Subjects during Physical Activity: A Comparative Analysis of Different Learning Techniques. Bioengineering 2021, 8, 72. [Google Scholar] [CrossRef] [PubMed]
- Marling, C.; Bunescu, R. The OhioT1DM dataset for blood glucose level prediction: Update 2020. NIH Public Access 2020, 2675, 71. [Google Scholar]
- Blood Glucose Level Prediction Challenge 2020. Available online: http://smarthealth.cs.ohio.edu/bglp/bglp-results.html (accessed on 8 December 2021).
- Medtronic Insulin Pump Systems. Available online: https://www.medtronic.com/us-en/healthcare-professionals/products/diabetes/insulin-pump-systems.html (accessed on 27 January 2022).
- Medtronic ENLITETM Glucose Sensor. Available online: https://www.medtronic.com/ca-en/diabetes/home/products/cgm-systems/enlite-sensor.html (accessed on 27 January 2022).
- Empatica Embrace. Available online: https://www.empatica.com/index.html (accessed on 27 January 2022).
- Bevan, R.; Coenen, F. Experiments in non-personalized future blood glucose level prediction. CEUR Workshop Proc. 2020, 2675, 100–104. [Google Scholar]
- Hameed, H.; Kleinberg, S. Investigating potentials and pitfalls of knowledge distillation across datasets for blood glucose forecasting. In Proceedings of the 5th Annual Workshop on Knowledge Discovery in Healthcare Data, Santiago de Compostela, Spain and Virtually, 29–30 August 2020. [Google Scholar]
- Rubin-Falcone, H.; Fox, I.; Wiens, J. Deep Residual Time-Series Forecasting: Application to Blood Glucose Prediction. KDH@ ECAI 2020. Available online: https://ceur-ws.org/Vol-2675/paper18.pdf (accessed on 14 November 2022).
- Yang, T.; Wu, R.; Tao, R.; Wen, S.; Ma, N.; Zhao, Y. Multi-Scale Long Short-Term Memory Network with Multi-Lag Structure for Blood Glucose Prediction. KDH@ ECAI 2020, 45, 136–140. [Google Scholar]
- Zhu, T.; Yao, X.; Li, K.; Herrero, P.; Georgiou, P. Blood glucose prediction for type 1 diabetes using generative adversarial networks. CEUR Workshop Proc. 2020, 2675, 90–94. [Google Scholar]
- Cescon, M.; Choudhary, D.; Pinsker, J.E.; Dadlani, V.; Church, M.M.; Kudva, Y.C. Activity detection and classification from wristband accelerometer data collected on people with type 1 diabetes in free-living conditions. Comput. Biol. Med. 2021, 135, 104633. [Google Scholar] [CrossRef] [PubMed]
- Wickramasuriya, D.S.; Qi, C.; Faghih, R.T. A state-space approach for detecting stress from electrodermal activity. Proceedings of 2018 40th Annual International Conference of the IEEE Engineering in Medicine and Biology Society (EMBC), Honolulu, HI, USA, 17–21 July 2018; pp. 3562–3567. [Google Scholar]
- Wickramasuriya, D.S.; Amin, M.; Faghih, R.T. Skin conductance as a viable alternative for closing the deep brain stimulation loop in neuropsychiatric disorders. Front. Neurosci. 2019, 13, 780. [Google Scholar] [CrossRef] [PubMed]
- Choudhary, D.; Cescon, M. EDA-sense: Dynamic Feedback Control of Sympathetic Arousal. IFAC PapersOnLine 2020, 53, 238–243. [Google Scholar] [CrossRef]
- Martín, A.; Paul, B.; Jianmin, C.; Tensorflow, C.Z. A system for largescale machine learning. In Proceedings of the 12th {USENIX} Symposium on Operating Systems Design and Implementation, Savannah, GA, USA, 2–4 November 2016; pp. 265–283. [Google Scholar]




| Scenario | Variables |
|---|---|
| Scenario 1 | CGM, CHO, Insulin |
| Scenario 2 | CGM, CHO, Insulin, EDA |
| Scenario 3 | CGM, CHO, Insulin, ACC |
| Scenario 4 | CGM, CHO, Insulin, SSI |
| Scenario 5 | CGM, CHO, Insulin, PAI |
| Scenario 6 | CGM, CHO, Insulin, ACC, EDA |
| Scenario 7 | CGM, CHO, Insulin, SSI, PAI |
| Scenario | 30 min | 60 min | 90 min | ||||||
|---|---|---|---|---|---|---|---|---|---|
| RMSE [mg/dL] | MAE [mg/dL] | R2 [%] | RMSE [mg/dL] | MAE [mg/dL] | R2 [%] | RMSE [mg/dL] | MAE [mg/dL] | R2 [%] | |
| 1 | 18.32 ± 2.53 | 12.98 ± 1.99 | 91.54 ± 4.32 | 33.26 ± 3.13 | 22.98 ± 2.90 | 66.92 ± 6.83 | 48.76 ± 5.61 | 37.11 ± 3.56 | 49.76 ± 6.93 |
| 2 | 17.64 ± 1.45 | 12.54 ± 1.15 | 92.11 ± 5.11 | 32.12 ± 3.45 | 21.44 ± 2.53 | 69.61 ± 6.13 | 47.21 ± 5.44 | 35.11 ± 3.12 | 52.09 ± 6.42 |
| 3 | 17.98 ± 1.85 | 12.81 ± 1.54 | 91.12 ± 4.21 | 31.07 ± 2.93 | 20.98 ± 1.99 | 69.30 ± 6.12 | 46.98 ± 6.01 | 34.60 ± 3.42 | 53.22 ± 5.94 |
| 4 | 12.47 ± 1.04 | 9.93 ± 0.93 | 94.35 ± 3.45 | 26.27 ± 1.96 | 18.05 ± 1.89 | 77.12 ± 4.56 | 42.90 ± 4.98 | 32.65 ± 2.91 | 55.74 ± 5.30 |
| 5 | 16.88 ± 1.56 | 11.97 ± 1.08 | 93.12 ± 5.12 | 32.15 ± 3.11 | 19.91 ± 2.80 | 70.34 ± 5.11 | 45.65 ± 5.24 | 33.65 ± 4.02 | 54.33 ± 5.65 |
| 6 | 17.11 ± 1.91 | 12.10 ± 1.34 | 92.43 ± 4.11 | 31.11 ± 2.89 | 19.59 ± 2.56 | 71.54 ± 5.67 | 45.11 ± 4.66 | 32.88 ± 3.76 | 55.08 ± 5.11 |
| 7 | 12.35 ± 1.06 | 9.13 ± 0.95 | 95.34 ± 3.34 | 24.71 ± 2.31 | 17.75 ± 1.93 | 78.87 ± 4.35 | 41.64 ± 4.12 | 31.85 ± 2.88 | 60.11 ± 4.76 |
| Scenario | 30 min | 60 min | 90 min | ||||||
|---|---|---|---|---|---|---|---|---|---|
| RMSE [mg/dL] | MAE [mg/dL] | R2 [%] | RMSE [mg/dL] | MAE [mg/dL] | R2 [%] | RMSE [mg/dL] | MAE [mg/dL] | R2 [%] | |
| 1 | 19.35 ± 2.67 | 13.31 ± 189 | 90.87 ± 5.53 | 32.68 ± 3.11 | 22.32 ± 3.11 | 68.82 ± 6.13 | 46.12 ± 5.10 | 34.20 ± 3.11 | 54.12 ± 5.53 |
| 2 | 18.65 ± 2.35 | 13.23 ± 1.82 | 90.98 ± 5.59 | 31.48 ± 2.90 | 21.12 ± 2.66 | 70.02 ± 5.73 | 45.56 ± 5.53 | 33.45 ± 3.21 | 56.34 ± 5.11 |
| 3 | 18.43 ± 2.53 | 13.02 ± 1.89 | 91.21 ± 4.51 | 31.12 ± 2.89 | 20.23 ± 2.11 | 70.34 ± 5.23 | 45.23 ± 5.11 | 33.30 ± 3.09 | 56.72 ± 5.56 |
| 4 | 12.63 ± 1.78 | 10.05 ± 1.01 | 93.75 ± 4.11 | 26.48 ± 2.83 | 18.79 ± 1.90 | 76.50 ± 4.41 | 40.59 ± 4.83 | 30.82 ± 2.20 | 59.82 ± 4.06 |
| 5 | 17.36 ± 2.56 | 12.37 ± 1.61 | 91.82 ± 4.90 | 30.15 ± 3.13 | 19.80 ± 2.22 | 72.34 ± 4.75 | 44.67 ± 4.92 | 31.90 ± 2.53 | 58.34 ± 5.03 |
| 6 | 17.28 ± 2.87 | 12.30 ± 1.53 | 91.90 ± 4.34 | 31.02 ± 3.05 | 19.59 ± 2.27 | 72.14 ± 4.90 | 43.67 ± 4.11 | 30.75 ± 2.90 | 59.12 ± 4.58 |
| 7 | 12.51 ± 1.40 | 9.37 ± 0.88 | 94.65 ± 3.90 | 25.37 ± 2.49 | 17.87 ± 1.67 | 78.37 ± 4.11 | 39.52 ± 3.89 | 29.47 ± 2.13 | 61.12 ± 4.30 |
| Patient ID | 30 min | 60 min | 90 min | ||||||
|---|---|---|---|---|---|---|---|---|---|
| RMSE [mg/dL] | MAE [mg/dL] | R2 [%] | RMSE [mg/dL] | MAE [mg/dL] | R2 [%] | RMSE [mg/dL] | MAE [mg/dL] | R2 [%] | |
| 540 | 15.74 | 11.46 | 88.86 | 33.54 | 23.35 | 72.34 | 41.73 | 31.61 | 56.12 |
| 544 | 11.47 | 8.14 | 93.41 | 21.28 | 15.37 | 79.99 | 38.77 | 29.15 | 68.30 |
| 552 | 11.12 | 8.71 | 92.56 | 21.79 | 15.31 | 79.92 | 39.15 | 27.62 | 69.45 |
| 567 | 12.47 | 9.61 | 91.36 | 27.8 | 18.76 | 73.78 | 47.85 | 33.44 | 40.30 |
| 584 | 13.32 | 10.01 | 91.78 | 27.28 | 19.68 | 73.06 | 44.94 | 32.95 | 51.45 |
| 596 | 12.99 | 9.98 | 93.32 | 22.61 | 16.03 | 78.12 | 42.71 | 32.90 | 53.87 |
| Mean ± (STD) | 12.85 ± 1.50 | 9.65 ± 1.05 | 91.88 ± 1.54 | 25.71 ± 4.37 | 18.08 ± 2.89 | 76.20 ± 3.22 | 42.52 ± 3.17 | 31.27 ± 2.16 | 56.58 ± 9.01 |
| Patient ID | 30 min | 60 min | 90 min | ||||||
|---|---|---|---|---|---|---|---|---|---|
| RMSE [mg/dL] | MAE [mg/dL] | R2 [%] | RMSE [mg/dL] | MAE [mg/dL] | R2 [%] | RMSE [mg/dL] | MAE [mg/dL] | R2 [%] | |
| 540 | 16.12 | 13.45 | 86.76 | 33.45 | 23.11 | 69.56 | 40.12 | 30.61 | 58.11 |
| 544 | 12.98 | 9.98 | 91.65 | 23.65 | 16.11 | 77.67 | 38.56 | 29.11 | 69.35 |
| 552 | 12.12 | 9.56 | 90.56 | 23.11 | 16.23 | 77.34 | 39.05 | 27.88 | 69.65 |
| 567 | 13.98 | 11.34 | 90.36 | 26.44 | 18.87 | 71.12 | 46.11 | 32.41 | 47.89 |
| 584 | 14.56 | 12.18 | 90.78 | 26.87 | 19.54 | 71.76 | 44.35 | 31.66 | 52.41 |
| 596 | 14.06 | 12.01 | 91.32 | 24.11 | 17.05 | 76.54 | 41.12 | 32.40 | 56.57 |
| Mean ± (STD) | 13.97 ± 1.25 | 11.42 ± 1.32 | 90.23 ± 1.61 | 26.27 ± 3.50 | 18.48 ± 2.43 | 73.99 ± 3.26 | 41.55 ± 2.77 | 30.67 ± 1.69 | 58.99± 8.10 |
| 30 Min | 60 Min | ||||
|---|---|---|---|---|---|
| Paper ID | RMSE [mg/dL] | MAE [mg/dL] | RMSE [mg/dL] | MAE [mg/dL] | Overall [mg/dL] |
| 13 | 18.22 | 12.83 | 31.66 | 23.60 | 86.31 |
| 6 | 19.21 | 13.08 | 31.77 | 23.09 | 87.15 |
| 16 | 18.34 | 13.37 | 32.21 | 24.20 | 88.12 |
| 15 | 19.05 | 13.50 | 32.03 | 23.83 | 88.41 |
| 1 | 18.23 | 14.37 | 31.10 | 25.75 | 89.45 |
| CNN-LSTM (Scenario 7) | 12.51 | 9.37 | 25.37 | 17.87 | 65.30 |
| LSTM (Scenario 7) | 12.35 | 9.13 | 24.71 | 17.75 | 63.94 |
Publisher’s Note: MDPI stays neutral with regard to jurisdictional claims in published maps and institutional affiliations. |
© 2022 by the authors. Licensee MDPI, Basel, Switzerland. This article is an open access article distributed under the terms and conditions of the Creative Commons Attribution (CC BY) license (https://creativecommons.org/licenses/by/4.0/).
Share and Cite
Jaloli, M.; Lipscomb, W.; Cescon, M. Incorporating the Effect of Behavioral States in Multi-Step Ahead Deep Learning Based Multivariate Predictors for Blood Glucose Forecasting in Type 1 Diabetes. BioMedInformatics 2022, 2, 715-726. https://doi.org/10.3390/biomedinformatics2040048
Jaloli M, Lipscomb W, Cescon M. Incorporating the Effect of Behavioral States in Multi-Step Ahead Deep Learning Based Multivariate Predictors for Blood Glucose Forecasting in Type 1 Diabetes. BioMedInformatics. 2022; 2(4):715-726. https://doi.org/10.3390/biomedinformatics2040048
Chicago/Turabian StyleJaloli, Mehrad, William Lipscomb, and Marzia Cescon. 2022. "Incorporating the Effect of Behavioral States in Multi-Step Ahead Deep Learning Based Multivariate Predictors for Blood Glucose Forecasting in Type 1 Diabetes" BioMedInformatics 2, no. 4: 715-726. https://doi.org/10.3390/biomedinformatics2040048
APA StyleJaloli, M., Lipscomb, W., & Cescon, M. (2022). Incorporating the Effect of Behavioral States in Multi-Step Ahead Deep Learning Based Multivariate Predictors for Blood Glucose Forecasting in Type 1 Diabetes. BioMedInformatics, 2(4), 715-726. https://doi.org/10.3390/biomedinformatics2040048

