Dynamic Vapor Sorption (DVS) Analysis of the Thermo-Hygroscopic Behavior of Arthrospira platensis Under Varying Environmental Conditions
Abstract
1. Introduction
2. Materials and Methods
2.1. Biomass Cultivation and Preparation
2.2. DVS (Dynamic Vapor Sorption) Apparatus and Experimental Procedure
2.3. Modeling of the Desorption Isotherms
2.4. Statistical Analysis
2.5. Isosteric Heat
- -
- Selection of fixed Xeq values: Several equilibrium moisture contents were selected within the range common to all measured isotherms.
- -
- Extraction of corresponding aw values: For each selected Xeq, the corresponding water activity was obtained at each experimental temperature.
- -
- Application of the Clausius–Clapeyron equation: For each Xeq, ln(aw) was plotted against 1/T (K−1). A linear regression of these points provided the slope, which was used to calculate the net isosteric heat of sorption (Qst,n) according to Equation (4).
2.6. Estimation of Moisture Diffusion Coefficient
3. Results and Discussion
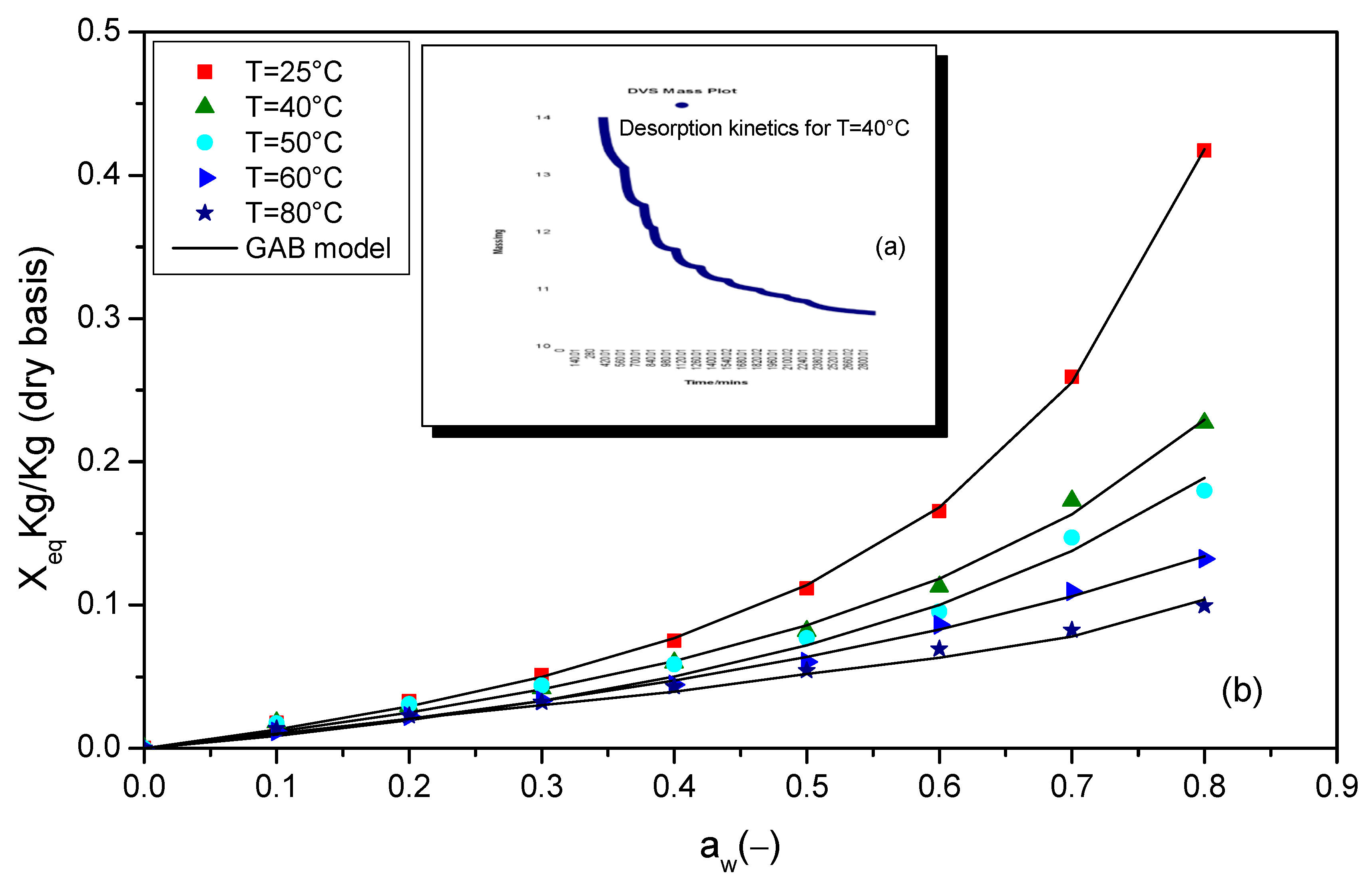
3.1. Desorption Isotherms
3.2. Fitting of Spirulina Platensis Desorption Isotherms
3.3. Calculation of Net Isosteric Heat of Desorption
4. Conclusions
Author Contributions
Funding
Data Availability Statement
Conflicts of Interest
References
- Soni, R.A.; Sudhakar, K.; Rana, R.S. Spirulina: From growth to nutritional product: A review. Trends Food Sci. Technol. 2017, 69, 157–171. [Google Scholar] [CrossRef]
- Vernes, L.; Granvillain, P.; Chemat, F.; Vian, M. Phycocyanin from Arthrospira platensis. Production. extraction and analysis. Curr. Biotechnol. 2015, 4, 481–491. [Google Scholar] [CrossRef]
- Ghnimi, T.; Hassini, L.; Bagane, M. Intensification of the convective drying process of Arthrospira (Spirulina) platensis by capillary draining: Effect of the draining support. J. Appl. Phycol. 2019, 31, 2921–2931. [Google Scholar] [CrossRef]
- Chen, C.; Chang, J.; Lee, D. Dewatering and drying methods for microalgae. Dry. Technol. 2015, 33, 443–454. [Google Scholar] [CrossRef]
- Jimenez, C.; Cossio, B.R.; Labella, D.F.; Niell, X. The feasibility of industrial production of Spirulina (Arthrospira) in Southern Spain. Aquaculture 2003, 217, 179–190. [Google Scholar] [CrossRef]
- Show, K.; Le, D.; Tay, J.; Lee, T.; Chang, J. Microalgal drying and cell disruption: Recent advances. Bioresour. Technol. 2014, 184, 258–266. [Google Scholar] [CrossRef] [PubMed]
- Mariana, D.; de Moraes, J.O.; Ferrari, M.C.; Neves, F.D. Production of Spirulina (Arthrospira platensis) powder by innovative and traditional drying techniques. J. Food Process Eng. 2021, 45, e13919. [Google Scholar]
- Desmorieux, H.; Hernandez, F. Biochemical and Physical Criteria of Spirulina after Different Drying Processes. In Proceedings of the 14th International Drying Symposium (IDS 2004), Sào Paulo, Brazil, 22–25 August 2004; pp. 900–907. [Google Scholar]
- Silva, N.C.; Machado, M.V.C.; Brandão, R.J.; Duarte, C.R.; Barrozo, M.A.S. Dehydration of microalgae Spirulina platensis in a rotary drum with inert bed. Powder Technol. 2019, 351, 178–185. [Google Scholar] [CrossRef]
- Ghnimi, T.; Hassini, L.; Bagane, M. Convective and infrared drying assisted by capillary drainage of spirulina: A real possibility to reduce the energy consumption. J. Heat Mass Transf. 2019, 55, 867–876. [Google Scholar] [CrossRef]
- Leung, H.K. Water Activity and Other Colligate Properties of Foods. In Proceedings of the ASAE Annual Meeting, Chicago, IL, USA, 12–13 December 1983. Paper No. 83-6508. [Google Scholar]
- Rouquerol, F.; Rouquerol, J.; Sing, K. Adsorption by Powders and Porous Solids: Principles, Methodology and Applications; Academic Press: Cambridge, MA, USA, 1999. [Google Scholar]
- Shu, Q.; Liao, L.C.F.; Xu, B.Q.; Zou, W.Q. Recovery of rare earth element ytterbium(III) by dried powdered biomass of spirulina: Adsorption isotherm. kinetic and thermodynamic study. Trans. Nonferrous Met. Soc. China 2021, 31, 1127–1139. [Google Scholar] [CrossRef]
- Pedrosa, M.; Ribeiro, R.S.; Guerra-Rodríguez, S.; Rodríguez-Chueca, J.; Rodríguez, E.; Silva, A.M.; Ðolic, M.; Ribeiro, A.R.L. Spirulina-based carbon bio-sorbent for the efficient removal of metoprolol, diclofenac and other micropollutants from wastewater. Environ. Nanotechnol. Monit. Manag. 2022, 18, 100720. [Google Scholar] [CrossRef]
- Desmorieux, H.; Decaen, N. Convective Drying of Spirulina in Thin Layer. J. Food Eng. 2005, 66, 497–503. [Google Scholar] [CrossRef]
- Oliveira, E.G.; Duarte, J.H.; Moraes, K.; Crexi, V.T.; Pinto, L.A.A. Optimization of Spirulina platensis convective drying: Evaluation on phycocyanin loss and lipid oxidation. Int. J. Food Sci. Technol. 2010, 45, 1572–1578. [Google Scholar] [CrossRef]
- Dissa, A.O.; Compaore, A.; Tiendrebeogo, E.; Koulidiati, J. An Effective Moisture Diffusivity Model Deduced from Experiment and Numerical Solution of Mass Transfer Equations for a Shrinkable Drying Slab of Microalgae Spirulina. Dry. Technol. 2014, 32, 1231–1244. [Google Scholar] [CrossRef]
- Tiendrebeogo, E.S. Characterization of Two Different Stumps of Spirulina platensis Drying: Assessment of Water Transport Coefficient. Food Nutr. Sci. 2015, 6, 1437–1449. [Google Scholar] [CrossRef]
- Pamella, D.C.M.; Ivano, A.D.; Lisboa, C.F.; Pedro, H.T.D. Kinetics drying of Spirulina platensis. Afr. J. Agric. Res. 2016, 11, 4683–4691. [Google Scholar] [CrossRef]
- Heng, Y.Y.J.; Williams, D. Vapour Sorption and Surface Analysis. In Solid State Characterization of Pharmaceuticals; Richard, A., Storey, I.Y.S., Eds.; John Wiley & Sons: Chichester, UK, 2011; pp. 268–276. [Google Scholar]
- Brunauer, S.; Emmett, P.H.; Teller, E. Adsorption of Gases in Multimolecular Layers. J. Am. Chem. Soc. 1938, 60, 309–319. [Google Scholar] [CrossRef]
- Henderson, S.M. A basic concept of equilibrium moisture. Agric. Eng. 1952, 33, 29–32. [Google Scholar]
- Yanniotis, S.; Blahovec, J. Model analysis of sorption isotherms. LWT-Food Sci. Technol. 2009, 42, 1688–1695. [Google Scholar] [CrossRef]
- Guggenheim, V.W.A. Applications of Statistical Mechanics; Clarendon Press/Clarendon University Press: London, UK, 1966. [Google Scholar]
- Oswin, C.R. The kinetics of package life. III. The isotherm. J. Soc. Chem. Ind. 1946, 65, 419–421. [Google Scholar] [CrossRef]
- Smith, S.E. The sorption of water vapor by high polymers. J. Am. Chem. Soc. 1947, 69, 646–651. [Google Scholar] [CrossRef]
- Peleg, M. Assessment of a semi-empirical four parameter general model for sigmoid moisture sorption isotherms. J. Food Process Eng. 1993, 16, 21–37. [Google Scholar] [CrossRef]
- Midilli, A.; Kucuk, H. Mathematical modeling of thin layer drying of pistachio by using solar energy. Energy Convers. Manag. 2003, 44, 1111–1122. [Google Scholar] [CrossRef]
- Rizvi, S.S.H. Thermodynamic properties of foods in dehydration. In Engineering Properties of Foods; Rao, M.A., Rizvi, S.S.H., Eds.; Academic Press: New York, NY, USA, 1995; pp. 223–309. [Google Scholar]
- Wang, N.; Brennan, J.G. Moisture sorption isotherm characteristics of potatoes at four temperatures. J. Food Eng. 1991, 14, 269–287. [Google Scholar] [CrossRef]
- Zielinska, M.; Markowski, M. Air drying characteristics and moisture diffusivity of carrots. Chem. Eng. Process. Intensif. 2010, 49, 212–218. [Google Scholar]
- Toğrul, H.; Arslan, N. Moisture Sorption Behaviour and Thermodynamic Characteristics of Rice stored in a Chamber under Controlled Humidity. Biosyst. Eng. 2006, 95, 181–195. [Google Scholar] [CrossRef]
- McMinn, W.A.M.; Al-Muhtaseb, A.H.; Magee, T.R.A. Enthalpy-entropy compensation in sorption phenomena of starch materials. Food Res. Int. 2005, 38, 505–510. [Google Scholar] [CrossRef]
- Iglesias, H.A.; Chirife, J. Handbook of Food Isotherms, Water Sorption Parameters for Food and Food Components; Academic Press: Cambridge, MA, USA, 1982. [Google Scholar]
- Wolf, W.; Spiess, W.; Jung, G. The water vapor sorption isotherms of foodstuffs. Lebensm. Wiss. Technol. 1973, 6, 94–96. [Google Scholar]
- Timmermann, E.O.; Chirife, J.; Iglesias, H.A. Water sorption isotherms of foods and foodstuffs: BET or GAB parameters? J. Food Eng. 2001, 48, 19–31. [Google Scholar] [CrossRef]
- Vega-Gálvez, A.; Miranda, M.; Vergara, J.; Uribe, E.; Puente, L.; Martínez, E.A. Nutrition facts and functional potential of quinoa (Chenopodium quinoa willd.), an ancient Andean grain: A review. J. Sci. Food Agric. 2010, 90, 2541–2547. [Google Scholar] [CrossRef]
- Goneli, A.L.D.; Corrêa, P.C.; de Oliveira, G.H.H.; Gomes, C.F.; Botelho, F.M. Water sorption isotherms and thermodynamic properties of pearl millet grain. Int. J. Food Sci. Technol. 2010, 45, 828–838. [Google Scholar] [CrossRef]
- Mounir, K.; Kechaou, N.; Fliyou, M. Experimental study of sorption isotherms and drying kinetics of Moroccan Eucalyptus globulus. Dry. Technol. 2002, 20, 2027–2039. [Google Scholar]
- Moreira, F.; Chenlo, J.; Sineiro, S.; Sexto, S.A. Drying temperature effect on powder physical properties and aqueous extract characteristics of Fucus vesiculosus. J. Appl. Phycol. 2016, 28, 2485–2494. [Google Scholar] [CrossRef]
- Moojoong, D.; Yu, K.; Kim, Y.M.; Kwon, G. Moisture sorption characteristics of probiotic-fermented sea tangle powder and its thermodynamic properties. J. Food Process. Preserv. 2019, 43, 13991. [Google Scholar]
- Arlabosse, P.; Rodier, E.; Ferrasse, J.H.; Chavez, S.; Lecomte, D. Comparison Between Static and Dynamic Methods for Sorption Isotherm Measurements. Dry. Technol. 2003, 21, 479–497. [Google Scholar] [CrossRef]
- Zogzas, N.P.; Maroulis, Z.B.; Marinos-Kouris, D. Moisture Diffusivity Data Compilation in Foodstuffs. Dry. Technol. 1996, 14, 2225–2253. [Google Scholar] [CrossRef]
- Goneli, A.L.D.; Corrêa, P.C.; de Oliveira, G.H.H.; Afonso Júnior, P.C. Water sorption properties of coffee fruits, pulped and green coffee. LWT-Food Sci. Technol. 2013, 50, 386–391. [Google Scholar] [CrossRef]
- Jangam, S.V.; Law, C.L.; Mujumdar, A.S. Drying of Food, Vegetables and Fruits, 1st ed.; National University of Singapore: Singapore, 2010; p. 232. [Google Scholar]
- Corrêa Filho, L.C.; Andrade, E.T.; Martinazzo, A.P.; Andrea, E.M.; Sousa, F.A.; Figueira, V.G. Drying kinetics, volumetric contraction and liquid diffusion analysis of fig (Ficus carica L.). Rev. Bras. Eng. Agric. Ambient. 2015, 19, 797–802. [Google Scholar]




| Models | Equation | References |
|---|---|---|
| GAB | [24] | |
| Oswin | [25] | |
| Smith | [26] | |
| Henderson | [22] | |
| Peleg | [27] |
| Models | Temperature (°C) | Models Parameters | R2 | X2 |
|---|---|---|---|---|
| GAB | 25 | Xm = 0.1195 | 0.9997 | 0.0032 |
| C = 1.1509 | ||||
| K = 0.5711 | ||||
| 40 | Xm = 0.1125 | 0.9977 | 0.0059 | |
| C = 1.0234 | ||||
| K = 0.6256 | ||||
| 50 | Xm = 0.1104 | 0.9973 | 0.0053 | |
| C = 0.5313 | ||||
| K = 0.6844 | ||||
| 60 | Xm = 0.0520 | 0.9984 | 0.0029 | |
| C = 0.4081 | ||||
| K = 0.7789 | ||||
| 80 | Xm =0.0284 | 0.9990 | 0.0014 | |
| C = 0.3897 | ||||
| K = 0.9079 | ||||
| OSWIN | 25 | A = 0.1143 | 0.9997 | 0.0032 |
| B = 0.9382 | ||||
| 40 | A = 0.0848 | 0.9965 | 0.0067 | |
| B = 0.7324 | ||||
| 50 | A = 0.0774 | 0.9950 | 0.0063 | |
| B = 0.6335 | ||||
| 60 | A = 0.0607 | 0.9921 | 0.0060 | |
| B = 0.6013 | ||||
| 80 | A = 0.0521 | 0.9946 | 0.0036 | |
| B = 0.4983 | ||||
| SMITH | 25 | A = −0.0298 | 0.9787 | 0.0299 |
| B = 0.2491 | ||||
| 40 | A = −0.0051 | 0.9944 | 0.0085 | |
| B = 0.1406 | ||||
| 50 | A = 0.0028 | 0.9959 | 0.0057 | |
| B = 0.1112 | ||||
| 60 | A = 0.0029 | 0.9965 | 0.0040 | |
| B = 0.0843 | ||||
| 80 | A = 0.0083 | 0.9898 | 0.0050 | |
| B = 0.0608 | ||||
| HENDERSON | 25 | A = 2.8839 | 0.9982 | 0.0086 |
| B = 0.6572 | ||||
| 40 | A = 5.8353 | 0.9971 | 0.0061 | |
| B = 0.8727 | ||||
| 50 | A = 9.3970 | 0.9956 | 0.0059 | |
| B = 1.0333 | ||||
| 60 | A = 14.2460 | 0.9974 | 0.0034 | |
| B = 1.0940 | ||||
| 80 | A = 36.0530 | 0.9993 | 0.0012 | |
| B = 1.3561 | ||||
| PELEG | 25 | A = 1.3354 | 0.9915 | 0.0224 |
| B = 2.7232 | ||||
| C = 0.5994 | ||||
| D = 2.7205 | ||||
| 40 | A = 1.1723 | 0.9899 | 0. 0138 | |
| B = 1.9747 | ||||
| C = 0.8313 | ||||
| D = 1.9891 | ||||
| 50 | A = 1.1235 | 0.9890 | 0.0111 | |
| B = 1.5453 | ||||
| C = 0.8772 | ||||
| D = 1.5416 | ||||
| 60 | A = 1.0912 | 0.9958 | 0.0051 | |
| B = 1.5079 | ||||
| C = 0.9093 | ||||
| D = 15.1630 | ||||
| 80 | A = 1.0621 | 0.9975 | 0.0029 | |
| B = 1.1165 | ||||
| C = 0.9379 | ||||
| D = 1.1155 |
| Effect of Temperature at HR = 60% | Effect of Relative Humidity at T = 50 °C | ||
|---|---|---|---|
| T (°C) | Deff (m2/s) | HR(%), X0 (Kg/Kg Dry Basis) (%) | Deff (m2/s) |
| 40 | 2.75 × 10−8 | 10, X0 = 2.98 | 1.60 × 10−8 |
| 50 | 4.05 × 10−8 | 30, X0 = 5.53 | 3.14 × 10−8 |
| 60 | 7.16 × 10−8 | 50, X0 = 8.71 | 4.01 × 10−8 |
| 80 | 15.7 × 10−8 | 70, X0 = 15.24 | 5.76 × 10−8 |
Disclaimer/Publisher’s Note: The statements, opinions and data contained in all publications are solely those of the individual author(s) and contributor(s) and not of MDPI and/or the editor(s). MDPI and/or the editor(s) disclaim responsibility for any injury to people or property resulting from any ideas, methods, instructions or products referred to in the content. |
© 2025 by the authors. Licensee MDPI, Basel, Switzerland. This article is an open access article distributed under the terms and conditions of the Creative Commons Attribution (CC BY) license (https://creativecommons.org/licenses/by/4.0/).
Share and Cite
Ghnimi, T.; Hassini, L.; Bagane, M. Dynamic Vapor Sorption (DVS) Analysis of the Thermo-Hygroscopic Behavior of Arthrospira platensis Under Varying Environmental Conditions. Thermo 2025, 5, 56. https://doi.org/10.3390/thermo5040056
Ghnimi T, Hassini L, Bagane M. Dynamic Vapor Sorption (DVS) Analysis of the Thermo-Hygroscopic Behavior of Arthrospira platensis Under Varying Environmental Conditions. Thermo. 2025; 5(4):56. https://doi.org/10.3390/thermo5040056
Chicago/Turabian StyleGhnimi, Thouraya, Lamine Hassini, and Mohamed Bagane. 2025. "Dynamic Vapor Sorption (DVS) Analysis of the Thermo-Hygroscopic Behavior of Arthrospira platensis Under Varying Environmental Conditions" Thermo 5, no. 4: 56. https://doi.org/10.3390/thermo5040056
APA StyleGhnimi, T., Hassini, L., & Bagane, M. (2025). Dynamic Vapor Sorption (DVS) Analysis of the Thermo-Hygroscopic Behavior of Arthrospira platensis Under Varying Environmental Conditions. Thermo, 5(4), 56. https://doi.org/10.3390/thermo5040056

