Response of Wheat Genotypes to Drought Stress Stimulated by PEG
Abstract
1. Introduction
2. Material and Methods
2.1. Plant Growth and Drought Treatment
2.2. Observations on the Morphological Parameters
2.3. Observations on the Physiological and Biochemical Parameters
2.4. Statistical Analysis
3. Results
3.1. Morphological Responses to Drought Stress
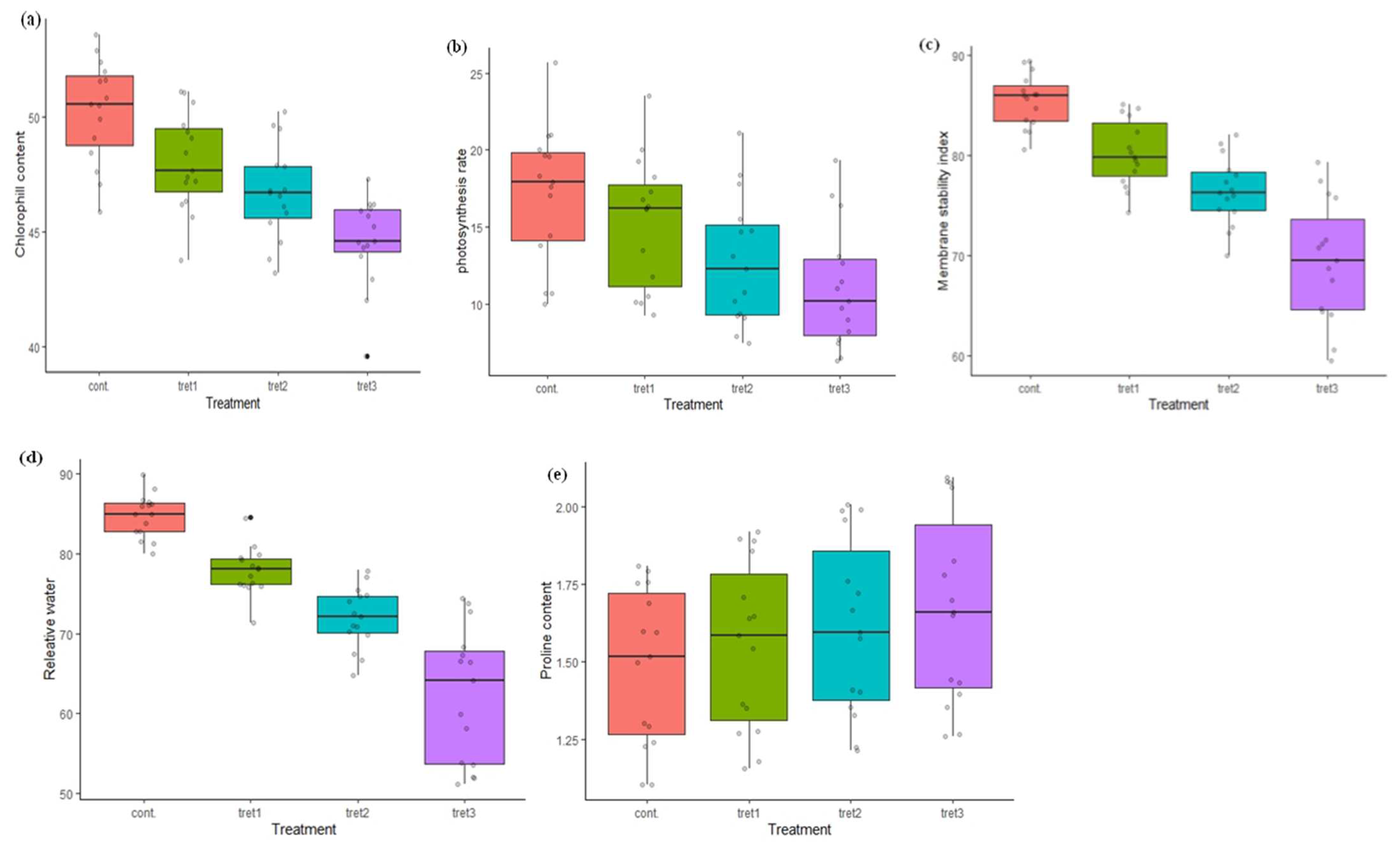
3.2. Physiological and Biochemical Response to Drought Stress
3.3. Correlation of Traits
3.4. Principal Component Analysis (PCA)
4. Discussion
5. Conclusions
Author Contributions
Funding
Institutional Review Board Statement
Informed Consent Statement
Data Availability Statement
Acknowledgments
Conflicts of Interest
References
- Aparna, S.; Patel, K.; Patel, S.; Pinto, S. Wheat and Its Application in Dairy Products: A Review. Research & Reviews. J. Dairy Sci. Technol. 2015, 4, 19–34. [Google Scholar]
- Shewry, P.R. The HEALTHGRAIN programme opens new opportunities for improving wheat for nutrition and health. Nutr. Bullet. 2009, 34, 225–231. [Google Scholar] [CrossRef]
- Kugler, K.G.; Siegwart, G.; Nussbaumer, T.; Ametz, C.; Spannagl, M.; Steiner, B.; Lemmens, M.; Mayer, K.F.; Buerstmayr, H.; Schweiger, W. Quantitative trait loci-dependent analysis of a gene co-expression network associated with Fusarium head blight resistance in bread wheat (Triticum aestivum L.). BMC Genom. 2013, 14, 728. [Google Scholar] [CrossRef] [PubMed]
- FAOSTAT 2020. Available online: http://www.fao.org/faostat/en/#data/QC (accessed on 20 September 2020).
- Allen, A.M.; Winfield, M.O.; Burridge, A.J.; Downie, R.C.; Benbow, H.R.; Barker, G.L.; Wilkinson, P.A.; Coghill1, J.; Waterfall, C.; Davassi, A.; et al. Characterization of a Wheat Breeders’ Array suitable for high-throughput SNP genotyping of global accessions of hexaploid bread wheat (Triticum aestivum). Plant Biotechnol. J. 2017, 15, 390–401. [Google Scholar] [CrossRef] [PubMed]
- Bilal, M.; Iqbal, I.; Rana, R.M.; Shoaib, U.R.; Haidery, Q.; Ahmad, F.; Ijaz, A.; Umar, H.M.I. A comprehensive review of effects of water stress and tolerance in wheat (Triticum aestivum L.). Trop. Plant Res. 2015, 2, 271–275. [Google Scholar]
- Ahmad, I.; Khaliq, I.; Mahmood, N.; Khan, N.; Secretariat, E.F. Morphological and physiological criteria for drought tolerance at seedling stage in wheat. J. Anim. Plant Sci. 2015, 25, 1041–1048. [Google Scholar]
- Prakash, V.; Tiwari, S.; Shukla, R.S.; Tripathi, N.; Sapre, S. Evaluation of Drought Stress Tolerance Efficiency of Wheat (Triticum aestivum L.) Genotypes at Germination and Seedling Stages. Int. J. Bio-Resour. Stress Manag. 2015, 6, 41–46. [Google Scholar] [CrossRef]
- Kajla, M.; Yadav, V.K.; Khokhar, J.; Singh, S.; Chhokar, R.S.; Meena, R.P.; Sharma, R.K. Increase in wheat production through management of abiotic stresses: A review. J. Appl. Nat. Sci. 2015, 7, 1070–1080. [Google Scholar] [CrossRef]
- Peymaninia, Y.; Valizadeh, M.; Shahryari, R.A.M.; Ahmadizadeh, M. Evaluation of morphophysiological responses of wheat genotypes against drought stress in presence of a Leonardite derived humic fertilizer under greenhouse condition. J. Anim. Plant Sci. 2012, 22, 1142–1149. [Google Scholar]
- Chachar, M.H.; Chachar, N.A.; Chachar, Q.; Mujtaba, S.M.; Chachar, S.; Chachar, Z. Physiological characterization of six wheat genotypes for drought tolerance. Int. J. Res. Granthaalayah 2016, 4, 184–196. [Google Scholar]
- Abid, M.; Ali, S.; Qi, L.K.; Zahoor, R.; Tian, Z.; Jiang, D.; Snider, J.L.; Dai, T. Physiological and biochemical changes during drought and recovery periods at tillering and jointing stages in wheat (Triticum aestivum L.). Sci. Rep. 2018, 8, 4615. [Google Scholar] [CrossRef]
- Sallam, A.; Alqudah, A.M.; Dawood, M.F.; Baenziger, P.S.; Borner, A. Drought Stress Tolerance in Wheat and Barley: Advances in Physiology, Breeding and Genetics Research. Int. J. Mol. Sci. 2019, 20, 3137. [Google Scholar] [CrossRef]
- Nadeem, M.; Li, J.; Yahya, M.; Sher, A.; Ma, C.; Wang, X.; Qiu, L. Research progress and perspective on drought stress in legumes: A review. Int. J. Mol. Sci. 2019, 20, 2541. [Google Scholar] [CrossRef] [PubMed]
- Marchin, R.M.; Ossola, A.; Leishman, M.R.; Ellsworth, D.S. A simple method for simulating drought effects on plants. Front. Plant Sci. 2020, 10, 1715. [Google Scholar] [CrossRef] [PubMed]
- Dong, B.; Zheng, X.; Liu, H.; Able, J.A.; Yang, H.; Zhao, H.; Liu, M. Effects of Drought Stress on Pollen Sterility, Grain Yield, Abscisic Acid and Protective Enzymes in Two Winter Wheat Cultivars. Front. Plant Sci. 2017, 8, 1008. [Google Scholar] [CrossRef] [PubMed]
- Tong, S.; Ni, Z.; Peng, H.; Dong, G.; Sun, Q. Ectopic overexpression of wheat TaSrg6 gene confers water stress tolerance in Arabidopsis. Plant Sci. 2007, 172, 1079–1086. [Google Scholar] [CrossRef]
- Djibril, S.; Mohamed, O.K.; Diaga, D.; Diegane, D.; Abaya, B.F.; Maurice, S.; Alain, B. Growth and development of date palm (Phoenix dactylifera L.) Seedlings under drought and salinity stresses. Afr. J. Biotechnol. 2005, 4, 968–972. [Google Scholar]
- Bayoumi, T.Y.; Eid, M.H.; Metwali, E.M. Application of physiological and biochemical indices as a screening technique for drought tolerance in wheat genotypes. Afr. J. Biotechnol. 2008, 7, 2341–2352. [Google Scholar]
- Rana, M.S.; Hasan, M.A.; Bahadur, M.M.; Islam, M.R. Effect of polyethylene glycol induced water Stress on germination and seedling growth of wheat (Triticum aestivum). Agriculturists 2017, 15, 81–91. [Google Scholar] [CrossRef][Green Version]
- Datir, S.S.; Inamdar, A. Biochemical Responses of Wheat Cultivars to PEG-Induced Drought Stress. Russ. Agric. Sci. 2019, 45, 5–12. [Google Scholar] [CrossRef]
- Flexas, J.; Bota, J.; Loreto, F.; Cornic, G.; Sharkey, T.D. Diffusive and metabolic limitations to photosynthesis under drought and salinity in C3 plants. Plant Biol. 2004, 6, 269–279. [Google Scholar] [CrossRef] [PubMed]
- Wang, J.Y.; Turner, N.C.; Liu, Y.X.; Siddique, K.H.; Xiong, Y.C. Effects of drought stress on morphological, physiological and biochemical characteristics of wheat species differing in ploidy level. Funct. Plant Biol. 2017, 44, 219–234. [Google Scholar] [CrossRef] [PubMed]
- Plaut, Z.; Butow, B.J.; Blumenthal, C.S.; Wrigley, C.W. Transport of dry matter into developing wheat kernels and its contribution to grain yield under post-anthesis water deficit and elevated temperature. Field Crop. Res. 2004, 86, 185–198. [Google Scholar] [CrossRef]
- Blum, A. Mitigation of Drought Stress by Crop Management. 2005. Available online: https://plantstress.com/drought/ (accessed on 8 September 2020).
- Mwadzingeni, L.; Shimelis, H.; Tesfay, S.; Tsilo, T.J. Screening of bread wheat genotypes for drought tolerance using phenotypic and proline analyses. Front. Plant Sci. 2016, 7, 1276. [Google Scholar] [CrossRef] [PubMed]
- Arjenaki, F.G.; Jabbari, R.; Morshedi, A. Evaluation of drought stress on relative water content, chlorophyll content and mineral elements of wheat (Triticum aestivum L.) varieties. Int. J. Agric. Crop Sci. 2012, 4, 726–729. [Google Scholar]
- Kadam, S.; Shukla, Y.; Subhash, N.; Singh, C.; Suthar, K. Screening of Wheat Genotypes (Triticum durum L.) in Response to Drought Stress by Some Physiological and Biochemical Indices. Int. J. Pure App. Biosci. 2017, 5, 969–977. [Google Scholar]
- Stickler, F.C.; Wearden, S.; Pauli, A.W. Leaf area determination in grain sorghum. Agron. J. 1961, 53, 178–188. [Google Scholar] [CrossRef]
- Schonfeld, M.A.; Johnson, R.C.; Carver, B.F.; Mornhinweg, D.W. Water relations in winter wheat as drought resistance indicators. Crop. Sci. 1988, 28, 526–531. [Google Scholar] [CrossRef]
- Almeselmani, M.; Deshmukh, P.S.; Sairam, R.K.; Kushwaha, S.R.; Singh, T.P. Protective role of antioxidant enzymes under high temperature stress. Plant Sci. 2006, 171, 382–388. [Google Scholar] [CrossRef]
- Bates, L.; Waldren, R.P.; Teare, I.D. Rapid determination of free proline for water-stress studies. Plant Soil 1973, 39, 205–207. [Google Scholar] [CrossRef]
- Duncan, D.B. Multiple range and multiple F tests. Biometrics 1955, 11, 1–42. [Google Scholar] [CrossRef]
- Venables, W.N.; Ripley, B.D. Modern Applied Statistics with S-PLUS; Springer: New York, NY, USA, 2002. [Google Scholar]
- Duan, H.; Zhu, Y.; Li, J.; Ding, W.; Wang, H.; Jiang, L.; Zhou, Y. Effects of Drought Stress on Growth and Development of Wheat Seedlings. Int. J. Agric. Biol. 2017, 19, 1119–1124. [Google Scholar] [CrossRef]
- Jajarmi, V. Effect of water stress on germination indices in seven wheat cultivar. World Acad. Sci. Eng. Technol. 2009, 49, 105–106. [Google Scholar]
- Rauf, M.; Munir, M.; ul Hassan, M.; Ahmad, M.; Afzal, M. Performance of wheat genotypes under osmotic stress at germination and early seedling growth stage. Afr. J. Biotechnol. 2007, 6, 8. [Google Scholar]
- Almaghrabi, O.A. Impact of drought stress on germination and seedling growth parameters of some wheat cultivars. Life Sci. J. 2012, 9, 590–598. [Google Scholar]
- Fraser, T.; Silk, W.; Rosr, T. Effect of low water potential on cortical cell length in growing region on maize roots. Plant Physiol. 1990, 93, 648–651. [Google Scholar] [CrossRef]
- Khan, N.; Naqvi, F.N. Effect of water stress in bread wheat hexaploids. Curr. Res. J. Biol. Sci. 2011, 3, 487–498. [Google Scholar]
- Khakwani, A.A.; Dennett, M.D.; Munir, M. Drought tolerance screening of wheat varieties by inducing water stress conditions. Songklanakarin J. Sci. Technol. 2011, 33, 135–142. [Google Scholar]
- Bazzaz, M.M.; Mahmud, A.A.; Khan, M.S.A. Effects of Water Stress on Morpho-Phenological Changes in Wheat Genotypes. Glob. J. Sci. Front. Res. D Agric. Vet. 2014, 14, 91–99. [Google Scholar]
- Manivannan, P.; Jaleel, C.A.; Sankar, B.; Kishorekumar, A.; Somasundaram, R.; Lakshmanan, G.A.; Panneerselvam, R. Growth, biochemical modifications and proline metabolism in Helianthus annuus L. as induced by drought stress. Colloids Surf. B Biointerfaces 2007, 59, 141–149. [Google Scholar] [CrossRef]
- Alves, A.A.; Setter, T.L. Response of cassava leaf area expansion to water deficit: Cell proliferation, cell expansion and delayed development. Ann. Bot. 2004, 94, 605–613. [Google Scholar] [CrossRef] [PubMed]
- Sial, M.A.; Dahot, M.U.; Arain, M.A.; Markhand, G.S.; Mangrio, S.M.; Naqvi, M.H.; Laghari, K.A.; Mirbahar, A.A. Effect of water stress on yield and yield components of semi-dwarf bread wheat (Triticum aestivum L.). Pak. J. Bot. 2009, 41, 1715–1728. [Google Scholar]
- Khakwani, A.A.; Dennett, M.D.; Munir, M.; Abid, M. Growth and yield response of wheat varieties to water stress at booting and anthesis stages of development. Pak. J. Bot 2012, 44, 879–886. [Google Scholar]
- Lopes, M.S.; Reynolds, M.P.; Jalal-Kamali, M.R.; Moussa, M.; Feltaous, Y.; Tahir, I.S.A.; Baum, M. The yield correlations of selectable physiological traits in a population of advanced spring wheat lines grown in warm and drought environments. Field Crop. Res. 2012, 128, 129–136. [Google Scholar] [CrossRef]
- Mansouri, A.; Oudjehih, B.; Benbelkacem, A.; Fellahi, Z.E.A.; Bouzerzour, H. Variation and Relationships among Agronomic Traits in Durum Wheat [Triticum turgidum (L.) Thell. ssp. turgidum conv. durum (Desf.) MacKey] under South Mediterranean Growth Conditions: Stepwise and Path Analyses. Int. J. Agron. 2018, 2018, 8191749. [Google Scholar] [CrossRef]
- Eid, M.H. Estimation of heritability and genetic advance of yield traits in wheat (Triticum aestivum L.) under drought condition. Int. J. Genet. Mol. Biol. 2009, 1, 115–120. [Google Scholar]
- Kilic, H.; Yagbasanlar, T. The effect of drought stress on grain yield, yield components and some quality traits of durum wheat (Triticum turgidum ssp. durum) cultivars. Not. Bot. Horti Agrobot. 2010, 38, 164–170. [Google Scholar]
- Liu, Y.; Bowman, B.C.; Hu, Y.G.; Liang, X.; Zhao, W.; Wheeler, J.; Chen, J. Evaluation of Agronomic Traits and Drought Tolerance of Winter Wheat Accessions from the USDA-ARS National Small Grains Collection. Agronomy 2017, 7, 51. [Google Scholar] [CrossRef]
- Pireivatlou, S.A.; Yazdansepas, A. Evaluation of wheat (Triticum aestivum L.) genotypes under pre-and post-anthesis drought stress conditions. J. Agric. Sci. Technol. 2010, 10, 109–121. [Google Scholar]
- Noreen, S.; Fatima, K.; Athar, H.U.R.; Ahmad, S.; Hussain, K. Enhancement of physio-biochemical parameters of wheat through exogenous application of salicylic acid under drought stress. J. Anim. Plant Sci. 2017, 27, 153–163. [Google Scholar]
- Ding, J.; Huang, Z.; Zhu, M.; Li, C.; Zhu, X.; Guo, W. Does cyclic water stress damage wheat yield more than a single stress. PLoS ONE 2018, 13, e0195535. [Google Scholar] [CrossRef]
- Muhammad, K.N.; Ahmad, M.; Muhammad, K.; Muhammad, K.; Nawaz, S.; Muhammad, S.I. Physiological Responses of Wheat (Triticum aestivum L.) to Drought Stress. Int. J. Plant Soil Sci. 2015, 6, 1–9. [Google Scholar]
- Saeidi, M.; Abdoli, M. Effect of drought stress during grain filling on yield and its components, gas exchange variables, and some physiological traits of wheat cultivars. J. Agric. Sci. Technol. 2015, 17, 885–898. [Google Scholar]
- Shamsi, K. The effects of drought stress on yield, relative water content, proline, soluble carbohydrates and chlorophyll of bread wheat cultivars. J. Anim. Plant Sci. 2010, 8, 1051–1060. [Google Scholar]
- Ashraf, M.A.; Ashraf, M. Salt-induced variation in some potential physiochemical attributes of two genetically diverse spring wheat (Triticum aestivum L.) cultivars: Photosynthesis and photosystem II efficiency. Pak. J. Bot. 2012, 44, 53–64. [Google Scholar]
- Chaves, M.M.; Flexas, J.; Pinheiro, C. Photosynthesis under drought and salt stress: Regulation mechanisms from whole plant to cell. Ann. Bot. 2009, 103, 551–560. [Google Scholar] [CrossRef] [PubMed]
- Lugojan, C.; Ciulca, S. Evaluation of relative water content in winter wheat. J. Hortic. For. Biotechnol. 2011, 15, 173–177. [Google Scholar]
- Siddique, M.R.B.; Hamid, A.; Islam, M.S. Drought stress effects on water relations of wheat. Bot. Bull. Acad. Sin. 2000, 41, 35–39. [Google Scholar]
- Buchanan, B.B.; Gruissem, W.; Jones, R.L. Biochemistry and Molecular Biology of Plants; Wiley: Hoboken, NJ, USA, 2015. [Google Scholar]
- Gupta, S.; Gupta, N.K.; Arora, A.; Agarwal, V.P.; Purohit, A.K. Effect of water stress on photosynthetic attributes, membrane stability and yield in contrasting wheat genotypes. Indian J. Plant Physiol. 2012, 17, 22–27. [Google Scholar]
- Vendruscolo, E.C.G.; Schuster, I.; Pileggi, M.; Scapim, C.A.; Molinari, H.B.C.; Marur, C.J.; Vieira, L.G.E. Stress-induced synthesis of proline confers tolerance to water deficit in transgenic wheat. J. Plant Physiol. 2007, 164, 1367–1376. [Google Scholar] [CrossRef]
- Zhan, H.X.; Chang, Z.J.; Wei, A.L.; Zhang, X.J.; Li, X. Impact of drought to wheat physiological index. J. Shanxi Agric. Sci. 2011, 39, 1049–1051. [Google Scholar]
- Singh, N.P.; Pal, P.K.; Vaishali, S.K. Morpho-physiological characterization of Indian wheat genotypes and their evaluation under drought condition. Afr. J. Biotechnol. 2014, 13, 20. [Google Scholar]
- Dodig, D.; Zorić, M.; Kandić, V.; Perović, D.; Šurlan-Momirović, G. Comparison of responses to drought stress of 100 wheat accessions and landraces to identify opportunities for improving wheat drought resistance. Plant Breed. 2012, 131, 369–379. [Google Scholar] [CrossRef]
- Sareen, S.; Tyagi, B.S.; Sarial, A.K.; Tiwari, V.; Sharma, I. Trait analysis, diversity, and genotype x environment interaction in some wheat landraces evaluated under drought and heat stress conditions. Chil. J. Agric. Res. 2014, 74, 135–142. [Google Scholar] [CrossRef][Green Version]
- Farshadfar, E.; Mohammadi, M.; Haghparast, R. Diallel analysis of agronomic, physiological and metabolite indicators of drought tolerance in bread wheat (Triticum aestivum L.). Int. J. Plant Breed. 2011, 1, 42–47. [Google Scholar]
- Khamssi, N.N.; Najaphy, A. Physiological and biochemical responses of durum wheat under mild terminal drought stress. Cell Mol. Biol. 2018, 64, 59–63. [Google Scholar] [CrossRef]
- Parchin, R.A.; Najaphy, A.; Farshadfar, E.; Hokmalipour, S. Assessment of drought tolerance in genotypes of wheat by multivariate analysis. World Appl. Sci. J. 2013, 22, 594–600. [Google Scholar]
- Shivramakrishnan, R.; Vinoth, R.; Arora, A.; Singh, G.P.; Kumar, B.; Singh, V.P. Characterization of wheat genotypes for stay green and physiological traits by principal component analysis under drought condition. Int. J. Agric. Sci. 2016, 12, 245–251. [Google Scholar] [CrossRef]
- Kaya, Y.; Palta, C.; Taner, S. Additive main effects and multiplicative interactions analysis of yield performances in bread wheat genotypes across environments. Turk. J. Agric. For. 2002, 26, 275–279. [Google Scholar]
- Dadbakhsh, A.; Yazdansepas, A.; Ahmadizadeh, M. Study drought stress on yield of wheat (Triticum aestivum L.) genotypes by drought tolerance indices. Adv. Environ. Biol. 2011, 5, 1804–1810. [Google Scholar]
- Alshahi, R.A.; Omidi, M.; Talei, A.R.; YazdiSamadi, B. Evaluation of bread wheat genotypes for drought tolerance. Electron. J. Crop Prod. 2010, 3, 159–171. [Google Scholar]




| S. No. | Name of Variety | Pedigree | Centre | Release Year | Zone | Production Condition |
|---|---|---|---|---|---|---|
| 1 | DBW17 | CMH 79A.95/3* CNO 79//Raj 3777 | IIWBR (DWR), Karnal | 2006 | NWPZ | Irrigated, timely sown |
| 2 | DBW71 | Prinia/UP 2425 | IIWBR (DWR), Karnal | 2013 | NWPZ | Irrigated, late sown |
| 3 | HD2733 | ATTILA/3/TUI/CARC//CHEN/CHTO/4/ATTILA | IARI, New Delhi | 2001 | NEPZ | Irrigated, timely sown |
| 4 | HD2864 | DL 509-2/DL 377-8 | IARI New Delhi. | 2008 | CZ | Irrigated, late sown |
| 5 | HD2888 | C 306/T. sphaerococcum//HW 2004 | IARI, New Delhi | 2006 | NEPZ | Rainfed, timely sown |
| 6 | HD3086 | DBW 14/HD 2733// HUW 468 | IARI, New Delhi | 2014 | NWPZ | Irrigated, timely sown |
| 7 | HUW468 | CPAN-1962/TONI//LIRA’S“/PRL’S’ | BHU, Varanasi | 1997 | NEPZ | Irrigated, timely sown |
| 8 | K9423 | HP1633/KAL/UP262 | CSAUAT, Kanpur | 2004 | NEPZ | Irrigated, late sown |
| 9 | PBW343 | ND/VG 7944//KAL/BB3YACO S/4/VEE# 5S | PAU, Ludhiana | 2000 | NEPZ | Irrigated, timely sown |
| 10 | PBW396 | CN067/MFD//M0N ‘S73/SERI | PAU, Ludhiana | 2000 | NWPZ | Rainfed, timely sown |
| 11 | PBW590 | 594/RAJ3814//W 485 | PAU, Ludhiana | 2009 | NWPZ | Irrigated, late sown |
| 12 | RAJ3765 | HD 2402/VL 639 | RAU, Durgapura | 1995 | NWPZ | Irrigated, late sown |
| 13 | UP2425 | HD2320/UP2263 | GBPUAT, Pantnagar | 1999 | NWPZ | Irrigated, timely sown |
| 14 | WH711 | ALD ‘S’HUAC//HD 2285/3/HFW-17 | CCSHAU, Hissar | 2002 | NWPZ | Irrigated, timely sown, |
| 15 | WH1021 | NYOT95/SONAK | CCSHAU, Hisar | 2007 | NWPZ | Irrigated, late sown |
| df | GP | ShL | RL | NT | DOH | PH | FLA | DOM | SL | ||
|---|---|---|---|---|---|---|---|---|---|---|---|
| Control | Between Groups | 14 | 10.492 * | 2.953 * | 3.247 * | 1.475 * | 48.248 * | 37.545 * | 90.971 * | 207.438 * | 7.119 * |
| Within Groups | 30 | 0.442 | 0.670 | 1.137 | 0.506 | 0.644 | 6.874 | 9.098 | 3.322 | 0.559 | |
| Total | 34 | ||||||||||
| 5% PEG | Between Groups | 14 | 93.853 * | 3.957 * | 2.239 * | 1.363 * | 49.029 * | 43.955 * | 69.977 * | 188.046 * | 6.797 * |
| Within Groups | 30 | 19.946 | 0.641 | 0.450 | 0.322 | 0.350 | 7.242 | 7.545 | 0.622 | 0.789 | |
| Total | 34 | ||||||||||
| 10% PEG | Between Groups | 14 | 212.329 * | 5.579 * | 2.141 * | 1.106 | 55.637 * | 67.307 * | 64.085 * | 171.427 * | 4.732 * |
| Within Groups | 30 | 14.479 | 0.804 | 0.307 | 0.428 | 0.233 | 5.310 | 4.547 | 0.294 | 1.100 | |
| Total | 34 | ||||||||||
| 15% PEG | Between Groups | 14 | 562.567 * | 7.602 * | 2.381 * | 0.887 * | 36.389 * | 69.697 * | 61.616 * | 115.958 * | 5.817 * |
| Within Groups | 30 | 9.679 | 0.311 | 0.320 | 0.225 | 0.306 | 11.381 | 4.659 | 0.611 | 1.118 | |
| Total | 34 | ||||||||||
| df | SPS | GPS | TW | Pn | CHL | MSI | RWC | PROLINE | |||
| Control | Between Groups | 14 | 12.422 * | 78.527 * | 21.977 * | 59.308 * | 14.999 * | 21.019 | 22.444 | 0.192 * | |
| Within Groups | 30 | 0.933 | 7.190 | 1.492 | 1.975 | 3.382 | 11.713 | 22.264 | 0.000 | ||
| Total | 34 | ||||||||||
| 5% PEG | Between Groups | 14 | 10.200 * | 45.032 * | 18.122 * | 53.947 * | 13.406 * | 33.404 | 25.960 | 0.221 * | |
| Within Groups | 30 | 0.867 | 4.406 | 0.390 | 1.000 | 7.723 | 14.676 | 18.650 | 0.000 | ||
| Total | 34 | ||||||||||
| 10% PEG | Between Groups | 14 | 6.413 * | 72.541 * | 20.797 * | 51.654 * | 12.708 | 34.150 | 43.407 | 0.244 * | |
| Within Groups | 30 | 1.156 | 3.333 | 0.134 | 0.358 | 6.396 | 11.038 | 15.873 | 0.000 | ||
| Total | 34 | ||||||||||
| 15% PEG | Between Groups | 14 | 7.533 * | 76.962 * | 16.663 * | 47.622 * | 11.258 | 109.792 * | 212.793 * | 0.282 * | |
| Within Groups | 30 | 0.978 | 3.028 | 0.181 | 0.123 | 8.267 | 5.271 | 12.105 | 0.000 | ||
| Total | 34 | ||||||||||
| Traits | Genotypes | Control | 5% PEG | 10% PEG | 15% PEG |
|---|---|---|---|---|---|
| Mean ± SE | Mean ± SE | Mean ± SE | Mean ± SE | ||
| GP | DBW17 | 98.44 ± 0.54 bc | 76.53 ± 1.76 d | 63.43 ± 1.47 c | 42.60 ± 0.98 e |
| DBW71 | 99.28 ± 0.02 ab | 75.10 ± 2.60 d | 62.50 ± 2.14 c | 38.53 ± 1.36 e | |
| HD2733 | 98.88 ± 0.53 ab | 89.23 ± 4.13 abc | 79.50 ± 3.70 ab | 71.00 ± 3.29 b | |
| HD2864 | 95.37 ± 0.08 efg | 83.20 ± 1.44 bcd | 75.17 ± 1.30 b | 64.97 ± 1.13 c | |
| HD2888 | 96.32 ± 0.54 def | 89.70 ± 2.08 ab | 83.63 ± 1.93 a | 79.97 ± 1.82 a | |
| HD3086 | 98.60 ± 0.54 b | 75.50 ± 2.19 d | 64.03 ± 1.88 c | 44.23 ± 1.30 e | |
| HUW468 | 95.26 ± 0.41 fg | 78.30 ± 2.71 d | 61.57 ± 2.11 c | 53.00 ± 1.85 d | |
| K9423 | 94.66 ± 0.12 g | 81.57 ± 1.88 cd | 76.23 ± 1.76 b | 53.03 ± 1.24 d | |
| PBW343 | 100.0 ± 0.00 a | 75.50 ± 3.46 d | 63.50 ± 2.94 c | 41.00 ± 1.91 e | |
| PBW396 | 95.90 ± 0.07 ef | 79.40 ± 1.39 d | 68.23 ± 1.18 c | 55.03 ± 0.95 d | |
| PBW590 | 96.56 ± 0.50 de | 78.57 ± 1.82 d | 64.77 ± 1.47 c | 43.50 ± 0.98 e | |
| RAJ3765 | 99.52 ± 0.01 ab | 91.50 ± 2.66 a | 85.57 ± 2.45 a | 81.97 ± 2.34 a | |
| UP2425 | 100.0 ± 0.00 a | 78.13 ± 3.15 d | 63.70 ± 2.60 c | 51.17 ± 2.05 d | |
| WH711 | 97.35 ± 0.78 cd | 79.70 ± 3.70 d | 61.37 ± 2.86 c | 55.10 ± 2.54 d | |
| WH1021 | 95.84 ± 0.10 efg | 74.43 ± 1.70 d | 65.23 ± 1.53 c | 61.00 ± 1.39 c | |
| ShL | DBW17 | 12.30 ± 0.61 a | 8.50 ± 0.06 abc | 6.53 ± 0.62 bcd | 5.27 ± 0.12 bc |
| DBW71 | 12.13 ± 0.47 a | 8.73 ± 0.62 ab | 5.77 ± 0.30 cde | 4.83 ± 0.37 cd | |
| HD2733 | 10.23 ± 0.47 c | 8.97 ± 0.12 a | 8.10 ± 0.20 ab | 7.17 ± 0.41 a | |
| HD2864 | 10.50 ± 0.61 bc | 7.37 ± 0.34 bcde | 5.73 ± 0.22 cde | 3.07 ± 0.61 e | |
| HD2888 | 9.57 ± 0.41 c | 8.37 ± 0.09 abcd | 7.33 ± 0.22 abc | 6.17 ± 0.28 b | |
| HD3086 | 9.20 ± 0.50 c | 7.17 ± 0.37 cde | 5.17 ± 0.74 def | 3.13 ± 0.03 e | |
| HUW468 | 9.30 ± 0.21 c | 6.23 ± 0.90 ef | 4.90 ± 0.67 def | 3.93 ± 0.22 de | |
| K9423 | 10.13 ± 0.26 c | 6.13 ± 0.43 ef | 3.67 ± 0.30 f | 3.07 ± 0.09 e | |
| PBW343 | 11.73 ± 0.83 ab | 7.80 ± 0.40 abcd | 4.83 ± 0.95 def | 3.37 ± 0.09 e | |
| PBW396 | 9.47 ± 0.13 c | 5.63 ± 0.35 f | 4.33 ± 0.66 ef | 3.17 ± 0.24 e | |
| PBW590 | 10.03 ± 0.03 c | 5.87 ± 0.63 ef | 4.40 ± 0.59 ef | 3.30 ± 0.20 e | |
| RAJ3765 | 10.60 ± 0.66 bc | 9.13 ± 0.39 a | 8.17 ± 0.38 a | 7.63 ± 0.59 a | |
| UP2425 | 10.07 ± 0.09 c | 7.23 ± 0.64 bcde | 5.40 ± 0.64 de | 3.03 ± 0.29 e | |
| WH711 | 9.53 ± 0.49 c | 6.87 ± 0.18 def | 4.53 ± 0.15 ef | 3.43 ± 0.34 e | |
| WH1021 | 10.07 ± 0.50 c | 7.80 ± 0.52 abcd | 5.90 ± 0.26 cde | 3.10 ± 0.29 e | |
| RL | DBW17 | 9.40 ± 0.26 abc | 7.43 ± 0.12 abc | 5.33 ± 0.19 abc | 3.60 ± 0.25 bc |
| DBW71 | 8.10 ± 0.29 abcde | 6.60 ± 0.15 bcde | 5.43 ± 0.33 abc | 3.70 ± 0.31 bc | |
| HD2733 | 6.73 ± 0.72 e | 4.80 ± 0.31 f | 4.40 ± 0.32 cd | 3.27 ± 0.39 bcde | |
| HD2864 | 8.03 ± 0.57 abcde | 7.20 ± 0.30 abcd | 5.20 ± 0.36 abc | 2.97 ± 0.15 cdef | |
| HD2888 | 7.03 ± 0.47 e | 5.90 ± 0.72 ef | 4.73 ± 0.12 cd | 4.07 ± 0.09 b | |
| HD3086 | 8.77 ± 0.24 abcde | 6.33 ± 0.45 cde | 4.47 ± 0.15 cd | 2.27 ± 0.09 ef | |
| HUW468 | 7.63 ± 0.74 bcde | 6.20 ± 0.44 cde | 5.23 ± 0.15 abc | 3.30 ± 0.62 bcde | |
| K9423 | 7.40 ± 1.72 cde | 6.87 ± 0.58 abcde | 4.93 ± 0.26 c | 3.07 ± 0.09 bcdef | |
| PBW343 | 9.93 ± 0.19 a | 8.00 ± 0.29 a | 6.17 ± 0.54 ab | 3.50 ± 0.23 bcd | |
| PBW396 | 9.57 ± 0.48 ab | 6.03 ± 0.35 de | 5.13 ± 0.28 bc | 2.93 ± 0.24 cdef | |
| PBW590 | 9.17 ± 0.20 abcd | 5.57 ± 0.37 ef | 2.8 ± 0.12 e | 2.50 ± 0.26 def | |
| RAJ3765 | 6.93 ± 0.47 e | 6.60 ± 0.15 bcde | 6.20 ± 0.25 a | 5.57 ± 0.29 a | |
| UP2425 | 7.17 ± 0.43 de | 6.70 ± 0.46 bcde | 3.77 ± 0.32 de | 2.00 ± 0.36 f | |
| WH711 | 8.63 ± 0.26 abcde | 5.73 ± 0.27 ef | 5.10 ± 0.06 c | 2.07 ± 0.33 f | |
| WH1021 | 8.67 ± 0.37 abcde | 7.77 ± 0.35 ab | 5.17 ± 0.70 abc | 3.07 ± 0.59 bcdef | |
| NT | DBW17 | 4.33 ± 0.44 c | 3.67 ± 0.17 d | 3.50 ± 0.29 c | 3.33 ± 0.33 cd |
| DBW71 | 6.50 ± 0.76 a | 5.00 ± 0.29 b | 4.53 ± 0.32 bc | 4.33 ± 0.17 b | |
| HD2733 | 5.67 ± 0.73 abc | 4.67 ± 0.17 bcd | 4.17 ± 0.60 bc | 3.83 ± 0.17 bcd | |
| HD2864 | 5.83 ± 0.17 ab | 5.00 ± 0.00 b | 4.67 ± 0.17 abc | 4.33 ± 0.33 b | |
| HD2888 | 5.83 ± 0.33 ab | 4.67 ± 0.17 bcd | 4.33 ± 0.17 bc | 3.67 ± 0.33 bcd | |
| HD3086 | 6.67 ± 0.17 a | 5.00 ± 0.58 b | 4.50 ± 0.29 bc | 4.00 ± 0.29 bcd | |
| HUW468 | 5.67 ± 0.33 abc | 5.33 ± 0.33 ab | 4.50 ± 0.76 bc | 4.17 ± 0.17 bc | |
| K9423 | 6.33 ± 0.17 a | 5.33 ± 0.33 ab | 5.00 ± 0.29 ab | 4.50 ± 0.29 b | |
| PBW343 | 6.17 ± 0.33 a | 5.17 ± 0.44 ab | 4.67 ± 0.17 abc | 3.67 ± 0.17 bcd | |
| PBW396 | 5.83 ± 0.33 ab | 4.83 ± 0.17 bc | 4.33 ± 0.17 bc | 3.83 ± 0.17 bcd | |
| PBW590 | 5.83 ± 0.33 ab | 4.50 ± 0.58 bcd | 4.00 ± 0.50 bc | 3.83 ± 0.17 bcd | |
| RAJ3765 | 6.50 ± 0.58 a | 6.17 ± 0.44 a | 5.80 ± 0.35 a | 5.33 ± 0.17 a | |
| UP2425 | 5.67 ± 0.17 abc | 5.00 ± 0.29 b | 4.17 ± 0.33 bc | 3.90 ± 0.21 bcd | |
| WH711 | 4.67 ± 0.17 bc | 3.67 ± 0.17 d | 3.50 ± 0.00 c | 3.33 ± 0.60 cd | |
| WH1021 | 4.67 ± 0.44 bc | 3.83 ± 0.17 cd | 3.50 ± 0.50 c | 3.17 ± 0.17 e | |
| DTH | DBW17 | 98.50 ± 0.50 a | 94.17 ± 0.33 a | 88.83 ± 0.44 b | 84.00 ± 0.29 b |
| DBW71 | 93.83 ± 0.33 d | 88.83 ± 0.33 e | 84.33 ± 0.33 f | 78.83 ± 0.33 e | |
| HD2733 | 97.50 ± 0.00 ab | 93.67 ± 0.44 ab | 90.33 ± 0.17 a | 85.83 ± 0.33 a | |
| HD2864 | 89.50 ± 0.29 e | 85.33 ± 0.17 f | 80.17 ± 0.17 h | 75.83 ± 0.33 g | |
| HD2888 | 95.83 ± 0.33 c | 93.33 ± 0.44 ab | 90.17 ± 0.44 a | 86.00 ± 0.00 a | |
| HD3086 | 93.67 ± 0.44 d | 88.83 ± 0.33 e | 84.67 ± 0.17 f | 80.00 ± 0.50 d | |
| HUW468 | 89.17 ± 0.67 e | 84.17 ± 0.33 g | 78.50 ± 0.29 j | 75.83 ± 0.33 g | |
| K9423 | 88.83 ± 0.73 e | 84.17 ± 0.33 g | 79.00 ± 0.29 ij | 75.67 ± 0.44 g | |
| PBW343 | 96.50 ± 0.58 bc | 91.83 ± 0.33 cd | 88.00 ± 0.00 c | 81.83 ± 0.33 c | |
| PBW396 | 88.00 ± 0.00 e | 82.83 ± 0.33 h | 79.33 ± 0.17 hij | 76.33 ± 0.33 g | |
| PBW590 | 97.50 ± 0.00 ab | 90.83 ± 0.33 d | 86.17 ± 0.44 e | 80.00 ± 0.29 d | |
| RAJ3765 | 88.83 ± 0.33 e | 85.33 ± 0.44 f | 79.50 ± 0.00 hi | 77.33 ± 0.17 f | |
| UP2425 | 96.50 ± 0.76 bs | 91.83 ± 0.33 cd | 87.00 ± 0.29 d | 80.83 ± 0.33 d | |
| WH711 | 97.67 ± 0.17 ab | 92.67 ± 0.17 bc | 87.50 ± 0.29 cd | 81.83 ± 0.33 c | |
| WH1021 | 89.17 ± 0.67 e | 84.83 ± 0.33 fg | 81.67 ± 0.17 g | 79.00 ± 0.00 e | |
| PH | DBW17 | 81.90 ± 0.60 cd | 79.03 ± 0.93 cde | 72.57 ± 2.53 g | 69.23 ± 1.36 e |
| DBW71 | 79.53 ± 0.87 de | 76.83 ± 0.45 de | 75.67 ± 1.07 efg | 72.77 ± 0.49 cde | |
| HD2733 | 85.87 ± 1.20 bc | 85.57 ± 0.54 b | 83.07 ± 1.77 bc | 70.73 ± 2.75 de | |
| HD2864 | 81.80 ± 0.87 cd | 81.57 ± 3.22 bcd | 79.90 ± 1.71 cde | 73.07 ± 1.13 cde | |
| HD2888 | 83.03 ± 2.00 cd | 80.00 ± 1.29 cde | 79.40 ± 1.71 cde | 77.10 ± 0.66 bcd | |
| HD3086 | 82.47 ± 0.32 cd | 81.30 ± 0.66 cd | 80.40 ± 0.53 cd | 77.33 ± 3.24 bc | |
| HUW468 | 81.27 ± 1.25 cde | 76.67 ± 0.52 de | 73.80 ± 0.85 fg | 77.47 ± 1.96 bc | |
| K9423 | 84.90 ± 1.07 bc | 81.67 ± 0.55 bcd | 80.53 ± 0.66 cd | 77.80 ± 1.62 bc | |
| PBW343 | 85.43 ± 0.88 bc | 79.93 ± 1.68 cde | 76.93 ± 1.54 def | 72.40 ± 2.91 cde | |
| PBW396 | 84.60 ± 2.44 bcd | 81.63 ± 1.69 bcd | 79.10 ± 0.61 cde | 73.67 ± 1.37 cde | |
| PBW590 | 76.90 ± 0.75 e | 76.10 ± 2.08 e | 73.70 ± 1.20 fg | 72.73 ± 0.68 cde | |
| RAJ3765 | 91.00 ± 2.31 a | 90.77 ± 1.24 a | 89.57 ± 0.15 a | 89.17 ± 2.75 a | |
| UP2425 | 89.43 ± 2.37 ab | 85.40 ± 2.14 b | 85.27 ± 0.87 b | 80.30 ± 1.67 b | |
| WH711 | 82.80 ± 0.60 cd | 81.23 ± 0.73 bcd | 78.07 ± 0.37 de | 74.80 ± 1.14 bcde | |
| WH1021 | 83.70 ± 2.37 cd | 83.07 ± 2.28 bc | 84.70 ± 1.88 b | 73.53 ± 2.47 cde | |
| FLA | DBW17 | 14.57 ± 1.11 e | 14.39 ± 0.47 f | 12.51 ± 2.61 g | 9.85 ± 0.15 e |
| DBW71 | 19.03 ± 0.87 de | 17.77 ± 0.42 def | 16.87 ± 0.40 def | 13.99 ± 1.59 cd | |
| HD2733 | 20.86 ± 1.14 cd | 16.51 ± 1.10 ef | 15.42 ± 0.36 efg | 14.89 ± 0.60 cd | |
| HD2864 | 26.60 ± 3.25 bc | 24.11 ± 1.27 b | 21.84 ± 1.14 bc | 17.74 ± 1.33 c | |
| HD2888 | 23.70 ± 3.49 cd | 21.84 ± 3.58 bcde | 20.35 ± 0.96 bcd | 16.56 ± 1.28 cd | |
| HD3086 | 25.96 ± 1.48 bc | 18.37 ± 1.86 cdef | 17.01 ± 1.02 def | 15.81 ± 0.43 cd | |
| HUW468 | 21.29 ± 1.23 cd | 22.92 ± 2.18 bcd | 18.75 ± 1.87 cde | 14.25 ± 1.21 cd | |
| K9423 | 24.93 ± 1.18 bc | 19.09 ± 0.17 bcdef | 17.84 ± 0.81 def | 16.52 ± 1.17 cd | |
| PBW343 | 18.22 ± 0.88 de | 16.93 ± 0.64 ef | 13.75 ± 1.00 fg | 13.35 ± 0.52 de | |
| PBW396 | 23.31 ± 2.32 cd | 19.92 ± 2.58 bcde | 18.00 ± 1.24 cde | 17.43 ± 1.37 cd | |
| PBW590 | 21.02 ± 1.77 cd | 19.21 ± 1.50 bcdef | 16.92 ± 1.80 def | 15.94 ± 0.87 cd | |
| RAJ3765 | 25.64 ± 0.68 bc | 23.60 ± 1.58 bc | 22.61 ± 0.19 b | 21.74 ± 0.62 cd | |
| UP2425 | 37.47 ± 1.48 a | 34.73 ± 1.01 a | 32.05 ± 0.69 a | 30.06 ± 2.04 a | |
| WH711 | 29.94 ± 0.91 b | 20.57 ± 0.79 bcde | 17.50 ± 1.35 def | 18.10 ± 1.63 c | |
| WH1021 | 19.03 ± 1.29 de | 17.09 ± 0.08 ef | 15.87 ± 0.26 efg | 14.70 ± 1.97 b | |
| DTM | DBW17 | 120.50 ± 0.50 e | 111.83 ± 0.33 h | 107.83 ± 0.33 i | 105.0 ± 0.29 h |
| DBW71 | 119.50 ± 0.50 e | 112.67 ± 0.17 h | 107.50 ± 0.58 i | 103.50 ± 0.58 i | |
| HD2733 | 130.50 ± 0.50 c | 123.83 ± 0.33 d | 120.33 ± 0.33 d | 116.00 ± 0.29 d | |
| HD2864 | 130.33 ± 1.20 c | 118.83 ± 0.33 f | 115.83 ± 0.17 f | 107.00 ± 0.29 g | |
| HD2888 | 110.33 ± 1.48 f | 105.17 ± 0.17 i | 102.00 ± 0.00 j | 100.17 ± 0.33 j | |
| HD3086 | 142.00 ± 1.53 a | 135.83 ± 0.60 a | 128.83 ± 0.17 a | 119.00 ± 0.58 b | |
| HUW468 | 129.00 ± 1.53 c | 120.83 ± 0.33 e | 115.33 ± 0.33 f | 109.0 ± 0.29 f | |
| K9423 | 130.17 ± 1.17 c | 121.17 ± 0.73 e | 110.83 ± 0.44 h | 107.17 ± 0.33 g | |
| PBW343 | 130.33 ± 1.20 c | 118.50 ± 0.58 f | 114.0 ± 0.00 g | 108.83 ± 0.33 f | |
| PBW396 | 137.50 ± 0.50 b | 128.50 ± 0.50 c | 121.17 ± 0.17 d | 114.33 ± 0.67 e | |
| PBW590 | 125.50 ± 0.50 d | 115.83 ± 0.33 g | 114.00 ± 0.00 g | 109.83 ± 0.17 f | |
| RAJ3765 | 136.17 ± 1.30 b | 130.00 ± 0.76 b | 127.67 ± 0.17 b | 122.83 ± 0.33 a | |
| UP2425 | 128.33 ± 0.67 cd | 123.00 ± 0.50 d | 118.50 ± 0.50 e | 110.00 ± 1.00 f | |
| WH711 | 138.83 ± 1.42 b | 128.17 ± 0.44 c | 122.50 ± 0.50 c | 117.33 ± 0.17 c | |
| WH1021 | 122.0 ± 0.29 e | 117.00 ± 0.00 g | 110.00 ± 0.00 h | 107.33 ± 0.33 g | |
| SL | DBW17 | 15.43 ± 0.52 e | 15.07 ± 0.07 efef | 14.07 ± 0.29 e | 13.23 ± 0.28 de |
| DBW71 | 15.73 ± 0.32 e | 15.40 ± 0.20 def | 14.73 ± 0.87 cde | 14.40 ± 0.31 cde | |
| HD2733 | 18.13 ± 0.55 b | 17.27 ± 0.29 bc | 16.03 ± 0.23 cde | 15.23 ± 0.09 bcd | |
| HD2864 | 17.50 ± 0.31 bcd | 16.80 ± 0.92 cd | 16.33 ± 0.87 bcd | 15.43 ± 1.07 bc | |
| HD2888 | 17.27 ± 0.55 bcd | 16.73 ± 0.24 cde | 16.27 ± 0.64 bcd | 15.70 ± 0.06 bc | |
| HD3086 | 16.73 ± 0.33 bcde | 16.63 ± 0.55 cde | 15.83 ± 0.67 cde | 14.07 ± 0.87 cde | |
| HUW468 | 17.80 ± 0.58 bc | 16.33 ± 0.07 cde | 15.97 ± 0.23 cde | 14.73 ± 0.68 cde | |
| K9423 | 20.03 ± 0.42 a | 18.67 ± 0.37 ab | 16.60 ± 1.10 bc | 14.00 ± 0.23 cde | |
| PBW343 | 16.63 ± 0.38 cde | 14.53 ± 0.85 f | 14.43 ± 0.69 de | 12.80 ± 0.53 e | |
| PBW396 | 16.80 ± 0.45 bcde | 16.43 ± 0.15 cde | 15.97 ± 0.23 cde | 15.57 ± 0.58 bc | |
| PBW590 | 17.30 ± 0.55 bcd | 16.53 ± 0.84 cde | 15.93 ± 0.24 cde | 15.73 ± 0.57 bc | |
| RAJ3765 | 19.80 ± 0.12 a | 19.13 ± 0.44 a | 18.57 ± 0.79 a | 18.13 ± 0.88 a | |
| UP2425 | 20.53 ± 0.47 a | 19.90 ± 0.61 a | 18.00 ± 0.31 ab | 17.07 ± 0.60 ab | |
| WH711 | 16.47 ± 0.32 cde | 16.23 ± 0.30 cde | 15.37 ± 0.43 cde | 15.27 ± 0.55 bc | |
| WH1021 | 16.30 ± 0.36 de | 15.33 ± 0.60 def | 14.30 ± 0.49 de | 13.93 ± 0.78 cde | |
| SPS | DBW17 | 16.00 ± 0.58 efg | 15.67 ± 0.33 cde | 15.33 ± 0.33 cde | 15.00 ± 1.00 bcd |
| DBW71 | 16.67 ± 0.33 defg | 16.33 ± 0.33 bcde | 16.00 ± 0.58 cd | 15.33 ± 0.33 bc | |
| HD2733 | 21.67 ± 0.33 a | 20.67 ± 0.33 a | 19.00 ± 1.00 a | 18.33 ± 0.33 a | |
| HD2864 | 22.00 ± 0.00 a | 21.33 ± 0.67 a | 18.67 ± 0.33 a | 18.33 ± 0.33 a | |
| HD2888 | 18.00 ± 0.00 bcd | 17.33 ± 0.33 bc | 17.00 ± 0.58 bc | 16.67 ± 0.33 ab | |
| HD3086 | 15.00 ± 0.00 g | 14.67 ± 0.33 e | 13.67 ± 0.67 e | 13.33 ± 0.88 de | |
| HUW468 | 19.00 ± 1.00 bc | 17.00 ± 0.58 bcd | 16.67 ± 0.33 cd | 14.67 ± 0.33 cd | |
| K9423 | 17.33 ± 0.33 bcde | 16.00 ± 1.00 bcde | 15.33 ± 0.88 cde | 14.67 ± 0.88 cd | |
| PBW343 | 17.67 ± 0.33 bcde | 16.67 ± 0.67 bcd | 14.67 ± 0.33 de | 12.67 ± 0.33 e | |
| PBW396 | 19.33 ± 1.33 b | 17.67 ± 0.33 b | 17.00 ± 0.58 bc | 16.33 ± 0.33 bc | |
| PBW590 | 15.67 ± 0.33 fg | 15.33 ± 0.33 de | 15.33 ± 0.33 cde | 14.67 ± 0.33 cd | |
| RAJ3765 | 19.33 ± 0.88 b | 17.33 ± 0.67 bc | 17.00 ± 0.58 bc | 16.33 ± 0.33 bc | |
| UP2425 | 18.00 ± 0.00 bcd | 16.33 ± 0.33 bcde | 16.00 ± 0.58 cd | 15.33 ± 0.33 bc | |
| WH711 | 17.33 ± 0.33 bcde | 15.67 ± 0.88 cde | 15.00 ± 0.58 cde | 14.67 ± 0.67 cd | |
| WH1021 | 16.33 ± 0.33 defg | 16.00 ± 0.00 bcde | 15.00 ± 1.00 cde | 14.67 ± 0.88 cd | |
| GPS | DBW17 | 45.17 ± 0.17 fg | 44.50 ± 1.00 b | 43.83 ± 1.09 b | 36.50 ± 0.58 cd |
| DBW71 | 45.53 ± 0.50 efg | 44.17 ± 0.60 bc | 39.67 ± 1.20 c | 33.33 ± 0.33 de | |
| HD2733 | 40.83 ± 1.36 g | 39.17 ± 0.33 d | 36.67 ± 0.60 cd | 33.67 ± 1.17 de | |
| HD2864 | 49.83 ± 3.59 cdef | 41.00 ± 0.29 bcd | 38.83 ± 1.09 cd | 38.33 ± 0.44 c | |
| HD2888 | 53.83 ± 0.33 bc | 52.17 ± 0.88 a | 52.00 ± 0.58 a | 50.83 ± 0.44 a | |
| HD3086 | 48.33 ± 3.18 def | 43.50 ± 0.58 bc | 39.00 ± 0.87 cd | 36.50 ± 1.15 cd | |
| HUW468 | 41.17 ± 0.83 g | 40.33 ± 1.42 cd | 36.50 ± 0.50 cd | 35.00 ± 1.32 cd | |
| K9423 | 52.00 ± 1.73 bcd | 41.83 ± 0.44 bcd | 39.00 ± 0.50 cd | 36.00 ± 2.08 cd | |
| PBW343 | 55.17 ± 0.33 ab | 44.00 ± 0.50 bc | 36.00 ± 0.76 e | 31.67 ± 1.45 e | |
| PBW396 | 52.50 ± 0.58 bcd | 42.67 ± 1.30 bcd | 38.67 ± 1.17 cd | 35.17 ± 1.30 cd | |
| PBW590 | 49.00 ± 1.15 cdef | 42.83 ± 1.92 bcd | 36.33 ± 2.60 cd | 34.33 ± 0.93 de | |
| RAJ3765 | 59.33 ± 1.33 a | 52.50 ± 1.04 a | 50.67 ± 0.17 a | 46.67 ± 0.44 b | |
| UP2425 | 46.33 ± 1.01 ef | 40.67 ± 3.17 bcd | 37.50 ± 0.76 cd | 35.33 ± 0.60 cd | |
| WH711 | 50.33 ± 1.45 bcde | 42.67 ± 0.60 bcd | 39.33 ± 0.83 cd | 36.33 ± 0.44 cd | |
| WH1021 | 45.50 ± 0.58 efg | 41.33 ± 0.17 bcd | 38.67 ± 0.93 cd | 36.33 ± 0.33 cd | |
| TW | DBW17 | 42.02 ± 0.49 a | 33.51 ± 0.35 c | 30.78 ± 0.07 c | 27.52 ± 0.32 d |
| DBW71 | 37.29 ± 0.56 cde | 29.91 ± 0.17 e | 27.58 ± 0.12 h | 24.43 ± 0.23 hi | |
| HD2733 | 40.15 ± 0.66 ab | 34.23 ± 0.16 bc | 32.40 ± 0.22 b | 29.25 ± 0.38 b | |
| HD2864 | 39.42 ± 0.79 bc | 34.05 ± 1.16 bc | 28.87 ± 0.36 fg | 24.78 ± 0.32 gh | |
| HD2888 | 42.37 ± 0.36 a | 39.48 ± 0.22 a | 35.50 ± 0.23 a | 32.15 ± 0.15 a | |
| HD3086 | 38.89 ± 0.25 bcd | 31.97 ± 0.22 d | 27.72 ± 0.19 h | 25.75 ± 0.20 f | |
| HUW468 | 37.02 ± 0.64 de | 30.08 ± 0.17 e | 26.25 ± 0.36 i | 23.77 ± 0.29 i | |
| K9423 | 42.25 ± 0.29 a | 34.79 ± 0.39 b | 30.37 ± 0.25 cd | 26.77 ± 0.13 e | |
| PBW343 | 42.38 ± 0.71 a | 34.92 ± 0.15 b | 29.87 ± 0.17 de | 27.10 ± 0.18 de | |
| PBW396 | 35.22 ± 1.39 e | 30.40 ± 0.13 e | 25.40 ± 0.21 j | 23.05 ± 0.18 j | |
| PBW590 | 35.65 ± 1.18 e | 31.78 ± 0.24 d | 27.72 ± 0.11 h | 25.38 ± 0.26 fg | |
| RAJ3765 | 36.28 ± 0.17 e | 34.17 ± 0.12 bc | 32.12 ± 0.19 b | 28.56 ± 0.31 bc | |
| UP2425 | 39.50 ± 0.29 bc | 32.02 ± 0.16 d | 29.44 ± 0.19 ef | 25.96 ± 0.24 f | |
| WH711 | 41.93 ± 0.92 a | 31.77 ± 0.08 d | 28.75 ± 0.13 g | 25.79 ± 0.17 f | |
| WH1021 | 35.83 ± 0.60 e | 34.39 ± 0.12 bc | 31.78 ± 0.14 b | 28.35 ± 0.15 c |
| Traits | Genotypes | Control | 5% PEG | 10% PEG | 15% PEG |
|---|---|---|---|---|---|
| Mean ± SE | Mean ± SE | Mean ± SE | Mean ± SE | ||
| CHL | DBW17 | 47.08 ± 0.37 fg | 45.65 ± 1.22 ab | 44.53 ± 1.45 b | 42.93 ± 0.95 ab |
| DBW71 | 49.90 ± 1.73 bcdef | 47.37 ± 1.27 ab | 45.83 ± 0.77 ab | 44.34 ± 1.89 ab | |
| HD2733 | 49.10 ± 0.35 cdefg | 48.42 ± 0.21 ab | 47.87 ± 0.68 ab | 46.03 ± 0.29 a | |
| HD2864 | 48.43 ± 1.20 defg | 47.65 ± 0.58 ab | 46.80 ± 3.42 ab | 45.68 ± 0.79 a | |
| HD2888 | 51.55 ± 0.99 abcd | 51.03 ± 0.44 a | 49.62 ± 0.26 a | 47.30 ± 1.08 a | |
| HD3086 | 51.98 ± 0.98 abcd | 47.22 ± 1.80 ab | 47.87 ± 0.92 ab | 44.57 ± 1.44 ab | |
| HUW468 | 52.37 ± 0.17 abc | 49.65 ± 0.87 a | 49.50 ± 0.81 a | 46.20 ± 0.65 a | |
| K9423 | 47.63 ± 0.99 efg | 46.33 ± 2.90 ab | 45.40 ± 0.33 ab | 45.23 ± 0.26 a | |
| PBW343 | 50.55 ± 1.46 abcdef | 46.22 ± 2.31 ab | 43.83 ± 1.77 b | 39.62 ± 1.60 b | |
| PBW396 | 51.60 ± 0.45 abcd | 47.18 ± 0.35 ab | 46.12 ± 2.12 ab | 43.97 ± 3.51 ab | |
| PBW590 | 50.52 ± 0.87 abcdef | 50.63 ± 0.35 a | 46.85 ± 1.60 ab | 46.18 ± 1.56 a | |
| RAJ3765 | 50.80 ± 2.02 abcde | 49.10 ± 1.32 ab | 46.57 ± 1.33 ab | 45.93 ± 0.91 a | |
| UP2425 | 45.88 ± 0.95 g | 43.78 ± 2.16 b | 43.23 ± 1.65 b | 42.02 ± 2.35 ab | |
| WH711 | 52.87 ± 1.09 ab | 49.33 ± 0.25 a | 46.68 ± 0.57 ab | 44.60 ± 1.47 ab | |
| WH1021 | 53.57 ± 0.16 a | 51.08 ± 3.23 a | 50.23 a ± 0.68 a | 44.40 ± 2.58 ab | |
| Pn | DBW17 | 17.04 ± 0.15 d | 16.37 ± 1.02 d | 13.12 ± 0.45 d | 10.17 ± 0.19 f |
| DBW71 | 19.62 ± 0.79 bcd | 18.25 ± 0.40 bc | 10.77 ± 0.27 e | 9.73 ± 0.15 f | |
| HD2733 | 20.92 ± 0.59 b | 20.00 ± 0.35 b | 18.35 ± 0.08 b | 16.38 ± 0.10 c | |
| HD2864 | 18.31 ± 0.04 cd | 16.23 ± 0.02 d | 14.68 ± 0.43 c | 11.48 ± 0.24 e | |
| HD2888 | 21.00 ± 0.46 b | 19.28 ± 0.69 b | 17.78 ± 0.20 b | 17.03 ± 0.22 b | |
| HD3086 | 19.58 ± 0.89 bcd | 16.77 ± 0.09 cd | 15.52 ± 0.34 c | 13.13 ± 0.33 d | |
| HUW468 | 17.63 ± 0.40 cd | 13.50 ± 0.85 e | 10.20 ± 0.06 ef | 8.97 ± 0.02 g | |
| K9423 | 14.47 ± 0.85 e | 10.50 ± 0.15 fg | 9.22 ± 0.47 fg | 7.72 ± 0.26 hi | |
| PBW343 | 10.68 ± 1.52 f | 10.07 ± 0.64 fg | 7.48 ± 0.20 h | 6.33 ± 0.12 j | |
| PBW396 | 17.95 cd ± 0.40 cd | 16.17 ± 1.02 d | 12.30 ± 0.44 d | 11.02 ± 0.13 e | |
| PBW590 | 13.82 ± 0.48 e | 11.80 ± 0.12 f | 9.38 ± 0.31 fg | 8.22 ± 0.12 h | |
| RAJ3765 | 25.67 ± 1.58 a | 23.48 ± 0.97 a | 21.12 ± 0.23 a | 19.35 ± 0.43 a | |
| UP2425 | 10.72 ± 0.67 f | 10.10 ± 0.00 fg | 9.08 ± 0.34 g | 7.43 ± 0.04 i | |
| WH711 | 10.00 ± 0.41 f | 9.27 ± 0.12 g | 7.93 ± 0.35 h | 6.50 ± 0.09 j | |
| WH1021 | 20.02 ± 1.10 bc | 17.27 ± 0.19 cd | 14.75 ± 0.57 c | 12.65 ± 0.18 d | |
| MSI | DBW17 | 82.45 ± 1.90 bc | 79.48 ± 1.84 abcde | 75.95 ± 1.00 abcd | 64.75 ± 1.13 cde |
| DBW71 | 86.03 ± 2.98 abc | 79.08 ± 2.74 abcde | 74.37 ± 1.61 bcd | 59.54 ± 1.69 f | |
| HD2733 | 88.64 ± 2.65 ab | 84.41 ± 2.03 ab | 80.50 ± 1.23 ab | 77.48 ± 0.42 a | |
| HD2864 | 89.28 ± 0.19 a | 84.73 ± 1.47 ab | 81.20 ± 1.41 a | 76.19 ± 1.32 a | |
| HD2888 | 89.42 ± 0.24 a | 85.14 ± 1.00 a | 82.09 ± 1.17 a | 79.29 ± 1.11 a | |
| HD3086 | 87.50 ± 2.53 ab | 82.35 ± 2.38 abcd | 76.27 ± 1.16 abcd | 67.58 ± 0.50 bcd | |
| HUW468 | 85.67 ± 0.50 abc | 80.31 ± 2.78 abcde | 76.53 ± 2.65 abc | 69.55 ± 1.35 b | |
| K9423 | 86.10 ± 0.77 abd | 84.07 ± 1.94 abc | 78.56 ± 1.81 abc | 70.79 ± 1.63 b | |
| PBW343 | 84.72 ± 2.53 abc | 76.29 ± 2.07 de | 72.85 ± 1.78 cd | 60.60 ± 1.05 ef | |
| PBW396 | 86.13 ± 1.21 abc | 78.41 ± 2.22 abcde | 75.73 ± 1.31 abcd | 68.70 ± 1.19 bc | |
| PBW590 | 83.57 ± 1.93 abc | 76.91 ± 0.91 cde | 74.60 ± 1.72 bcd | 64.38 ± 1.49 de | |
| RAJ3765 | 86.48 ± 1.63 abc | 80.76 ± 2.33 abcde | 77.39 ± 2.23 abc | 75.75 ± 1.09 a | |
| UP2425 | 80.55 ± 3.26 c | 77.50 ± 3.13 bcde | 72.27 ± 2.92 cd | 64.10 ± 2.59 de | |
| WH711 | 82.38 ± 1.78 bc | 74.30 ± 3.43 e | 69.99 ± 3.23 d | 71.54 ± 0.85 b | |
| WH1021 | 83.33 ± 1.92 abc | 79.77 ± 0.98 abcde | 78.04 ± 1.80 abc | 71.14 ± 1.00 b | |
| RWC | DBW17 | 84.97 ± 1.96 ab | 75.93 ± 1.75 bc | 67.46 ± 1.56 cde | 51.86 ± 1.20 fg |
| DBW71 | 81.45 ± 2.82 ab | 78.19 ± 2.71 abc | 64.74 ± 2.24 e | 53.49 ± 1.85 fg | |
| HD2733 | 82.75 ± 3.82 ab | 77.21 ± 3.57 abc | 74.61 ± 3.45 abc | 72.66 ± 3.36 ab | |
| HD2864 | 86.14 ± 1.49 ab | 79.26 ± 1.37 abc | 72.44 ± 1.25 abcd | 68.26 ± 1.18 abc | |
| HD2888 | 88.16 ± 2.04 ab | 84.52 ± 1.95 a | 77.06 ± 1.78 ab | 74.34 ± 1.72 a | |
| HD3086 | 81.28 ± 2.35 ab | 78.51 ± 2.27 abc | 70.78 ± 2.04 abcde | 53.85 ± 1.55 efg | |
| HUW468 | 86.24 ± 2.99 ab | 75.81 ± 2.63 bc | 70.17 ± 2.43 abcde | 66.45 ± 2.30 bc | |
| K9423 | 84.92 ± 1.96 ab | 76.00 ± 1.76 bc | 72.04 ± 1.66 abcde | 66.51 ± 1.54 bc | |
| PBW343 | 86.67 ± 4.00 ab | 76.26 ± 3.52 abc | 69.89 ± 3.23 bcde | 51.14 ± 2.36 g | |
| PBW396 | 85.99 ± 1.49 ab | 79.90 ± 1.38 abc | 75.36 ± 1.31 ab | 59.88 ± 1.04 de | |
| PBW590 | 80.00 ± 1.85 b | 76.34 ± 1.76 abc | 74.74 ± 1.73 abc | 52.00 ± 1.20 fg | |
| RAJ3765 | 86.43 ± 2.49 ab | 79.44 ± 2.29 abc | 77.89 ± 2.25 a | 73.73 ± 2.13 a | |
| UP2425 | 83.79 ± 3.39 ab | 78.07 ± 3.16 abc | 70.90 ± 2.87 abcde | 58.10 ± 2.35 def | |
| WH711 | 89.92 ± 4.15 a | 80.87 ± 3.74 ab | 74.05 ± 3.42 abcd | 67.23 ± 3.11 bc | |
| WH1021 | 82.81 ± 1.91 ab | 71.39 ± 1.65 c | 66.67 ± 1.54 de | 64.07 ± 1.48 cd | |
| PROLINE | DBW17 | 1.50 ± 0.00 e | 1.54 ± 0.01 g | 1.58 ± 0.01 i | 1.66 ± 0.00 g |
| DBW71 | 1.24 ± 0.01 a | 1.27 ± 0.01 i | 1.33 ± 0.00 k | 1.36 ± 0.01 j | |
| HD2733 | 1.81 ± 0.01 g | 1.92 ± 0.01 c | 2.01 ± 0.00 c | 2.08 ± 0.01 ab | |
| HD2864 | 1.30 ± 0.00 f | 1.35 ± 0.01 h | 1.41 ± 0.00 i | 1.44 ± 0.01 h | |
| HD2888 | 1.75 ± 0.01 b | 1.89 ± 0.00 b | 1.99 ± 0.00 b | 2.09 ± 0.00 a | |
| HD3086 | 1.29 ± 0.01 f | 1.36 ± 0.01 h | 1.40 ± 0.01 i | 1.43 ± 0.01 h | |
| HUW468 | 1.69 ± 0.01 c | 1.71 ± 0.01 d | 1.76 ± 0.01 d | 1.82 ± 0.01 d | |
| K9423 | 1.10 ± 0.01 h | 1.18 ± 0.01 j | 1.22 ± 0.00 l | 1.26 ± 0.01 k | |
| PBW343 | 1.23 ± 0.01 g | 1.27 ± 0.01 i | 1.35 ± 0.01 j | 1.40 ± 0.00 i | |
| PBW396 | 1.52 ± 0.00 e | 1.58 ± 0.00 f | 1.59 ± 0.01 g | 1.65 ± 0.00 g | |
| PBW590 | 1.60 ± 0.01 d | 1.64 ± 0.01 e | 1.66 ± 0.01 f | 1.70 ± 0.01 f | |
| RAJ3765 | 1.76 ± 0.00 b | 1.86 ± 0.01 c | 1.96 ± 0.00 c | 2.06 ± 0.00 c | |
| UP2425 | 1.10 ± 0.00 h | 1.15 ± 0.01 j | 1.21 ± 0.00 l | 1.27 ± 0.00 k | |
| WH711 | 1.59 ± 0.01 d | 1.64 ± 0.01 e | 1.72 ± 0.01 e | 1.78 ± 0.00 e | |
| WH1021 | 1.79 ± 0.01 a | 1.90 ± 0.00 ab | 1.99 ± 0.00 b | 2.08 ± 0.00 b |
| Control | 5%PEG | |||||||||||||||||
| GP | ShL | RL | NT | DTH | PH | FLA | DTM | SL | SPS | GPS | TW | Pn | CHL | MSI | RWC | PROLINE | ||
| GP | 1 | 0.347 * | −0.348 * | 0.282 | 0.075 | .405 ** | 0.162 | −0.003 | 0.341 * | 0.416 ** | 0.454 ** | 0.421 ** | 0.434 ** | 0.380 * | 0.648 ** | 0.721 ** | 0.423 ** | |
| ShL | 0.429 ** | 1 | 0.034 | −0.079 | 0.357 * | 0.266 | −0.121 | −0.21 | −0.07 | 0.189 | 0.371 * | 0.348 * | 0.538 ** | 0.158 | 0.249 | 0.169 | 0.25 | |
| RL | 0.036 | 0.25 | 1 | 0.074 | −0.193 | 0.03 | 0.012 | −0.193 | −0.192 | −0.15 | 0.057 | 0.127 | −0.125 | −0.253 | −0.142 | −0.263 | −0.335 * | |
| NT | 0.146 | −0.075 | −0.228 | 1 | −0.364 * | 0.19 | 0.216 | 0.226 | 0.446 ** | 0.17 | 0.284 | −0.015 | 0.216 | −0.163 | 0.162 | 0.129 | −0.178 | |
| DTH | 0.507 ** | 0.199 | 0.08 | −0.234 | 1 | −0.092 | −0.083 | −0.317 * | −0.138 | −0.09 | 0.111 | 0.277 | −0.114 | −0.093 | −0.121 | 0.183 | 0.054 | |
| PH | 0.321 * | 0.009 | −0.349 * | 0.088 | −0.187 | 1 | 0.343 * | 0.430 ** | 0.468 ** | 0.279 | 0.202 | 0.222 | 0.342 * | 0.027 | 0.136 | 0.057 | 0.198 | |
| FLA | 0.074 | −0.387 ** | −0.263 | 0.115 | −0.04 | 0.267 | 1 | 0.143 | 0.611 ** | 0.117 | −0.019 | −0.07 | −0.192 | −0.196 | 0.016 | 0.196 | −0.226 | |
| DTM | 0.091 | −0.272 | 0.158 | 0.157 | −0.235 | 0.247 | 0.362 * | 1 | 0.319 * | −0.037 | −0.181 | −0.427 ** | −0.03 | −0.122 | −0.121 | −0.011 | −0.086 | |
| SL | 0.003 | −0.226 | −0.473 ** | 0.148 | −0.239 | 0.474 ** | 0.565 ** | 0.204 | 1 | 0.11 | 0.109 | 0.087 | 0.059 | −0.29 | 0.056 | 0.07 | −0.099 | |
| SPS | −0.132 | −0.132 | −0.299 * | 0.106 | −0.269 | 0.304 * | 0.208 | 0.133 | 0.299 * | 1 | −0.178 | 0.167 | 0.361 * | 0.066 | 0.341 * | 0.094 | 0.195 | |
| GPS | 0.054 | 0.043 | 0.003 | 0.316 * | −0.197 | 0.316 * | 0.156 | 0.169 | 0.172 | −0.007 | 1 | 0.454 ** | 0.457 ** | 0.201 | 0.148 | 0.423 ** | 0.285 | |
| TW | 0.12 | 0.139 | −0.052 | −0.173 | 0.471 ** | 0.075 | 0.018 | −0.165 | 0.003 | −0.063 | 0.052 | 1 | 0.232 | 0.145 | 0.355 * | 0.131 | 0.287 | |
| Pn | −0.039 | −0.082 | −0.28 | 0.202 | −0.404 ** | 0.106 | −0.248 | −0.14 | −0.017 | 0.268 | 0.053 | −0.352 * | 1 | 0.203 | 0.343 * | 0.116 | 0.555 ** | |
| CHL | −0.206 | −0.352 * | 0.165 | −0.078 | −0.193 | −0.19 | −0.188 | 0.112 | −0.380 * | −0.165 | 0.125 | −0.265 | 0.204 | 1 | 0.323 * | 0.336 * | 0.535 ** | |
| MSI | −0.06 | −0.148 | −0.204 | 0.292 | −0.19 | −0.092 | −0.079 | −0.049 | −0.013 | 0.305 * | 0.084 | 0.007 | 0.457 ** | 0.126 | 1 | 0.531 ** | 0.114 | |
| RWC | 0.047 | −0.08 | 0.152 | −0.07 | −0.046 | 0.109 | 0.119 | 0.016 | −0.029 | 0.191 | 0.21 | 0.212 | −0.013 | 0.223 | 0.512 ** | 1 | 0.043 | |
| PROLINE | −0.178 | −0.247 | −0.132 | −0.298 * | −0.018 | −0.029 | −0.282 | −0.163 | −0.17 | 0.185 | −0.101 | −0.282 | 0.507 ** | 0.476 ** | 0.119 | 0.091 | 1 | |
| 10%PEG | 15%PEG | |||||||||||||||||
| GP | ShL | RL | NT | DTH | PH | FLA | DTM | SL | SPS | GPS | TW | Pn | CHL | MSI | RWC | PROLINE | ||
| GP | 1 | 0.589 ** | 0.460 ** | 0.283 | 0.12 | 0.430 ** | 0.28 | 0.203 | 0.485 ** | 0.597 ** | 0.738 ** | 0.598 ** | 0.778 ** | 0.355 * | 0.878 ** | 0.915 ** | 0.690 ** | |
| ShL | 0.478 ** | 1 | 0.596 ** | 0.236 | 0.445 ** | 0.264 | −0.071 | 0.171 | 0.281 | 0.413 ** | 0.496 ** | 0.597 ** | 0.738 ** | 0.245 | 0.397 ** | 0.470 ** | 0.600 ** | |
| RL | 0.168 | 0.168 | 1 | 0.413 ** | −0.007 | 0.403 ** | −0.095 | −0.005 | 0.175 | 0.253 | 0.489 ** | 0.400 ** | 0.580 ** | 0.063 | 0.233 | 0.333 * | 0.398 ** | |
| NT | 0.357 * | 0.151 | 0.212 | 1 | −0.426 ** | 0.442 ** | 0.262 | 0.258 | 0.362 * | 0.244 | 0.28 | −0.103 | 0.278 | 0.196 | 0.173 | 0.306 * | −0.109 | |
| DTH | −0.06 | 0.287 | −0.258 | −0.363 * | 1 | −0.281 | −0.147 | −0.141 | −0.113 | 0.042 | 0.182 | 0.668 ** | 0.218 | −0.035 | 0.095 | 0.007 | 0.355 * | |
| PH | 0.457 ** | 0.392 ** | 0.097 | 0.198 | −0.185 | 1 | 0.547 ** | 0.386 ** | 0.424 ** | 0.054 | 0.481 ** | 0.147 | 0.345 * | 0.119 | 0.217 | 0.385 ** | 0.106 | |
| FLA | 0.18 | 0.033 | −0.204 | 0.261 | −0.152 | 0.460 ** | 1 | 0.275 | 0.691 ** | 0.205 | 0.197 | −0.027 | 0.022 | 0.003 | 0.084 | 0.239 | −0.161 | |
| DTM | 0.019 | 0.002 | 0.017 | 0.208 | −0.232 | 0.410 ** | 0.209 | 1 | 0.351 * | −0.003 | −0.039 | −0.15 | 0.256 | 0.032 | 0.185 | 0.167 | 0.181 | |
| SL | 0.452 ** | 0.207 | −0.067 | 0.425 ** | −0.239 | 0.430 ** | 0.632 ** | 0.379 * | 1 | 0.430 ** | 0.388 ** | 0.058 | 0.366 * | 0.122 | 0.323 * | 0.370 * | 0.236 | |
| SPS | 0.568 ** | 0.366 * | 0.031 | 0.091 | −0.081 | 0.201 | 0.247 | −0.009 | 0.361 * | 1 | 0.278 | 0.17 | 0.502 ** | 0.363 * | 0.571 ** | 0.554 ** | 0.323 * | |
| GPS | 0.607 ** | 0.466 ** | 0.253 | 0.234 | 0.076 | 0.276 | 0.158 | −0.155 | 0.239 | 0.156 | 1 | 0.611 ** | 0.669 ** | 0.336 * | 0.609 ** | 0.582 ** | 0.492 ** | |
| TW | 0.629 ** | 0.606 ** | 0.094 | 0.034 | 0.448 ** | 0.389 ** | 0.022 | −0.345 * | 0.088 | 0.174 | 0.603 ** | 1 | 0.590 ** | 0.126 | 0.485 ** | 0.445 ** | 0.566 ** | |
| Pn | 0.689 ** | 0.732 ** | 0.153 | 0.237 | −0.011 | 0.510 ** | 0.062 | 0.187 | 0.265 | 0.419 ** | 0.615 ** | 0.556 ** | 1 | 0.336 * | 0.660 ** | 0.570 ** | 0.681 ** | |
| CHL | 0.068 | 0.215 | −0.096 | −0.122 | −0.112 | −0.017 | −0.141 | −0.062 | −0.057 | 0.069 | 0.101 | 0.183 | 0.354 * | 1 | 0.383 ** | 0.380 ** | 0.331 * | |
| MSI | 0.727 ** | 0.272 | 0.035 | 0.197 | −0.115 | 0.118 | −0.003 | −0.205 | 0.118 | 0.544 ** | 0.337 * | 0.407 ** | 0.537 ** | 0.149 | 1 | 0.867 ** | 0.618 ** | |
| RWC | 0.707 ** | 0.09 | −0.018 | 0.149 | 0.007 | 0.184 | 0.209 | 0.289 | 0.429 ** | 0.410 ** | 0.354 * | 0.206 | 0.288 | −0.085 | 0.516 ** | 1 | 0.576 ** | |
| PROLINE | 0.398 ** | 0.543 ** | 0.053 | −0.114 | 0.129 | 0.225 | −0.194 | 0.007 | 0.01 | 0.298 * | 0.407 ** | 0.488 ** | 0.625 ** | 0.501 ** | 0.304 * | 0.311 * | 1 | |
| CONTROL | 5% PEG | ||||||
|---|---|---|---|---|---|---|---|
| Traits | PC-1 | PC-2 | PC-3 | Traits | PC-1 | PC-2 | PC-3 |
| SL | 0.788 | 0.403 | 0.034 | GP | 0.938 | 0.107 | −0.095 |
| RL | −0.697 | −0.036 | −0.384 | Pn | 0.749 | −0.222 | −0.090 |
| PH | 0.661 | 0.406 | 0.029 | MSI | 0.639 | 0.004 | 0.053 |
| SPS | 0.618 | −0.102 | 0.201 | GPS | 0.612 | −0.201 | 0.286 |
| FLA | 0.594 | 0.493 | −0.392 | TW | 0.603 | −0.337 | 0.438 |
| DTH | −0.548 | 0.480 | 0.135 | PH | 0.602 | 0.466 | 0.099 |
| CHL | −0.069 | −0.709 | −0.468 | ShL | 0.565 | −0.334 | 0.467 |
| PRO | 0.029 | −0.682 | −0.026 | PRO | 0.558 | −0.494 | −0.522 |
| Pn | 0.354 | −0.650 | 0.527 | SL | 0.424 | 0.781 | 0.023 |
| MSI | 0.456 | −0.500 | 0.415 | FLA | 0.138 | 0.717 | 0.139 |
| ShL | −0.485 | 0.318 | 0.601 | DTM | −0.034 | 0.633 | −0.392 |
| DTM | 0.371 | 0.117 | −0.504 | NT | 0.377 | 0.626 | 0.080 |
| RWC | 0.276 | 0.093 | −0.408 | RL | −0.346 | −0.050 | 0.640 |
| NT | 0.506 | 0.021 | 0.324 | CHL | 0.336 | −0.540 | −0.594 |
| TW | −0.109 | 0.555 | 0.065 | DTH | 0.049 | −0.411 | 0.383 |
| GPS | 0.361 | 0.125 | −0.177 | RWC | 0.520 | 0.104 | 0.056 |
| GP | −0.109 | 0.545 | 0.362 | SPS | 0.535 | 0.111 | −0.088 |
| Explained variance (eigenvalue) | 3.778 | 3.197 | 2.084 | Explained variance (eigenvalue) | 4.715 | 3.191 | 1.894 |
| Proportion of total variance (%) | 22.22 | 18.81 | 12.26 | Proportion of total variance (%) | 27.73 | 18.77 | 11.14 |
| Cumulative variance (%) | 22.22 | 41.03 | 53.29 | Cumulative variance (%) | 27.73 | 46.51 | 57.65 |
| 10% PEG | 15% PEG | ||||||
|---|---|---|---|---|---|---|---|
| Traits | PC-1 | PC-2 | PC-3 | Traits | PC-1 | PC-2 | PC-3 |
| GP | 0.930 | 0.051 | −0.035 | GP | 0.959 | −0.019 | −0.160 |
| Pn | 0.889 | −0.176 | −0.110 | Pn | 0.873 | −0.151 | 0.173 |
| ShL | 0.793 | −0.316 | 0.121 | RWC | 0.862 | 0.026 | −0.312 |
| GPS | 0.711 | −0.168 | 0.001 | MSI | 0.855 | −0.117 | −0.394 |
| MSI | 0.709 | −0.294 | −0.242 | GPS | 0.818 | −0.042 | 0.127 |
| TW | 0.679 | −0.436 | 0.281 | ShL | 0.760 | −0.278 | 0.401 |
| PH | 0.653 | 0.409 | 0.084 | PRO | 0.711 | −0.430 | −0.060 |
| RWC | 0.632 | 0.297 | 0.259 | CHL | 0.672 | −0.016 | −0.345 |
| SPS | 0.619 | 0.043 | −0.027 | SPS | 0.658 | −0.037 | −0.434 |
| PRO | 0.616 | −0.497 | 0.017 | SL | 0.653 | 0.569 | −0.138 |
| SL | 0.578 | 0.750 | 0.227 | TW | 0.608 | −0.564 | 0.205 |
| FLA | 0.277 | 0.682 | 0.401 | DTH | 0.148 | −0.740 | 0.055 |
| NT | 0.474 | 0.585 | −0.430 | FLA | 0.240 | 0.693 | −0.214 |
| DTH | −0.041 | −0.499 | 0.730 | NT | 0.432 | 0.682 | 0.369 |
| RL | 0.160 | −0.065 | −0.711 | PH | 0.550 | 0.675 | 0.314 |
| CHL | 0.390 | −0.452 | −0.234 | RL | 0.632 | −0.081 | 0.666 |
| DTM | 0.118 | 0.623 | −0.014 | DTM | 00.244 | 0.464 | 0.060 |
| Explained variance (eigenvalue) | 6.171 | 3.158 | 1.731 | Explained variance (eigenvalue) | 7.62 | 3.12 | 1.59 |
| Proportion of total variance (%) | 36.30 | 18.58 | 10.18 | Proportion of total variance (%) | 44.80 | 18.32 | 9.35 |
| Cumulative variance (%) | 36.30 | 54.88 | 65.06 | Cumulative variance (%) | 44.80 | 63.12 | 72.47 |
Publisher’s Note: MDPI stays neutral with regard to jurisdictional claims in published maps and institutional affiliations. |
© 2022 by the authors. Licensee MDPI, Basel, Switzerland. This article is an open access article distributed under the terms and conditions of the Creative Commons Attribution (CC BY) license (https://creativecommons.org/licenses/by/4.0/).
Share and Cite
Sharma, V.; Kumar, A.; Chaudhary, A.; Mishra, A.; Rawat, S.; B., B.Y.; Shami, V.; Kaushik, P. Response of Wheat Genotypes to Drought Stress Stimulated by PEG. Stresses 2022, 2, 26-51. https://doi.org/10.3390/stresses2010003
Sharma V, Kumar A, Chaudhary A, Mishra A, Rawat S, B. BY, Shami V, Kaushik P. Response of Wheat Genotypes to Drought Stress Stimulated by PEG. Stresses. 2022; 2(1):26-51. https://doi.org/10.3390/stresses2010003
Chicago/Turabian StyleSharma, Vandana, Ashwini Kumar, Astha Chaudhary, Anurag Mishra, Suniti Rawat, Basavaraj Y. B., Vaishali Shami, and Prashant Kaushik. 2022. "Response of Wheat Genotypes to Drought Stress Stimulated by PEG" Stresses 2, no. 1: 26-51. https://doi.org/10.3390/stresses2010003
APA StyleSharma, V., Kumar, A., Chaudhary, A., Mishra, A., Rawat, S., B., B. Y., Shami, V., & Kaushik, P. (2022). Response of Wheat Genotypes to Drought Stress Stimulated by PEG. Stresses, 2(1), 26-51. https://doi.org/10.3390/stresses2010003

