Performance of Piezoball and Piezo-T Flow Penetrometers Compared with Conventional In Situ Tests in Brazilian Soft Soils
Abstract
1. Introduction
2. Theoretical Background and Interpretation
2.1. Readings and Measurements
2.2. Interpretation of Shear Strength
2.3. Cyclic Test
2.4. Dissipation Test
3. Equipment and Procedures
3.1. General Overview of the Piezoball
3.2. General Overview of the Piezo-T
3.3. Machining Processes, Calibration, and Reading Control
3.4. Site Characterization
3.4.1. Tubarão/SC

3.4.2. Sarapuí/RJ
3.5. Testing Program
3.5.1. Tubarão/SC
3.5.2. Sarapuí/RJ
4. Results and Discussion
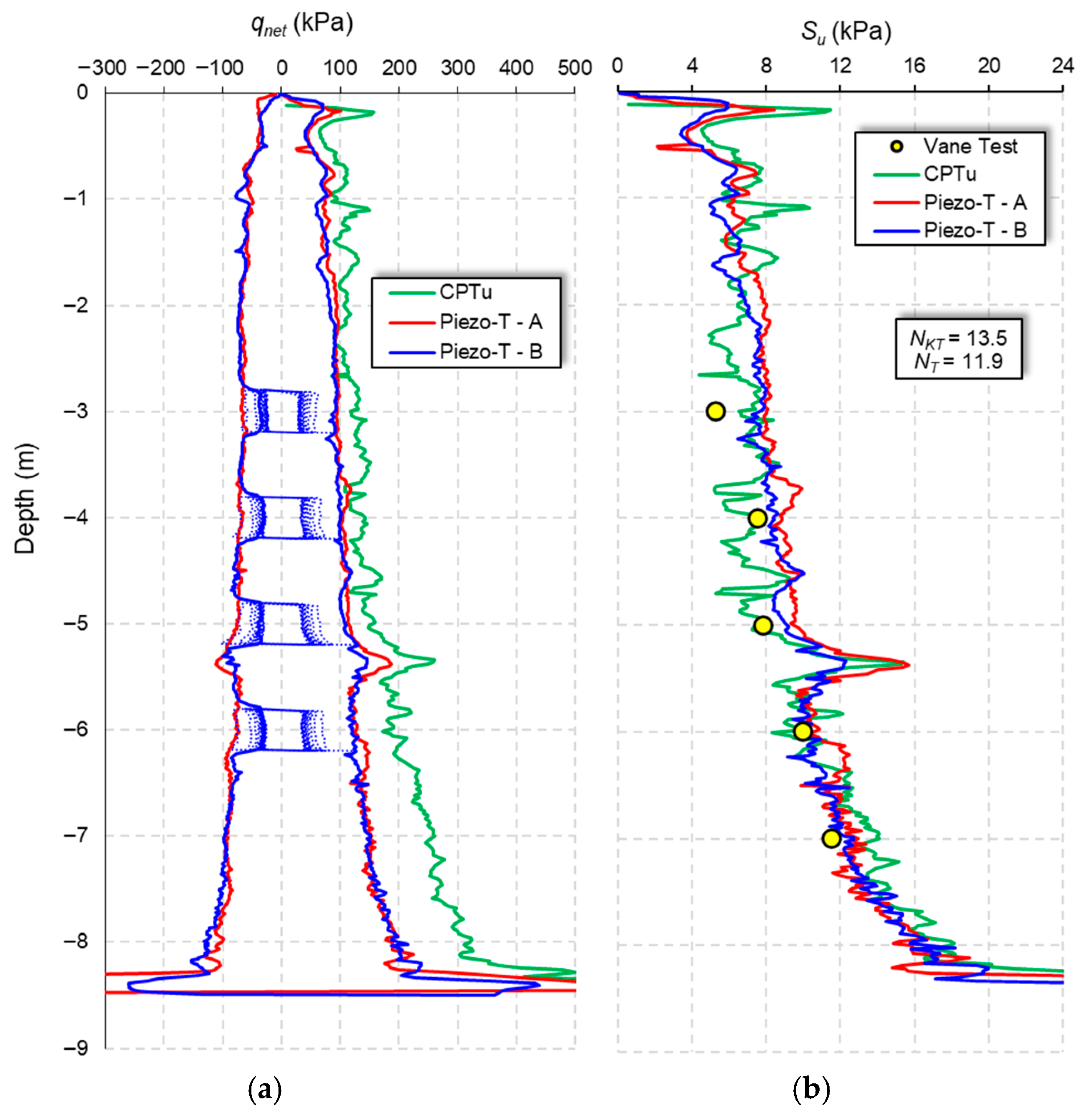
4.1. Soil Behavior Profile with Depth
4.1.1. Tubarão/SC
4.1.2. Sarapuí/RJ
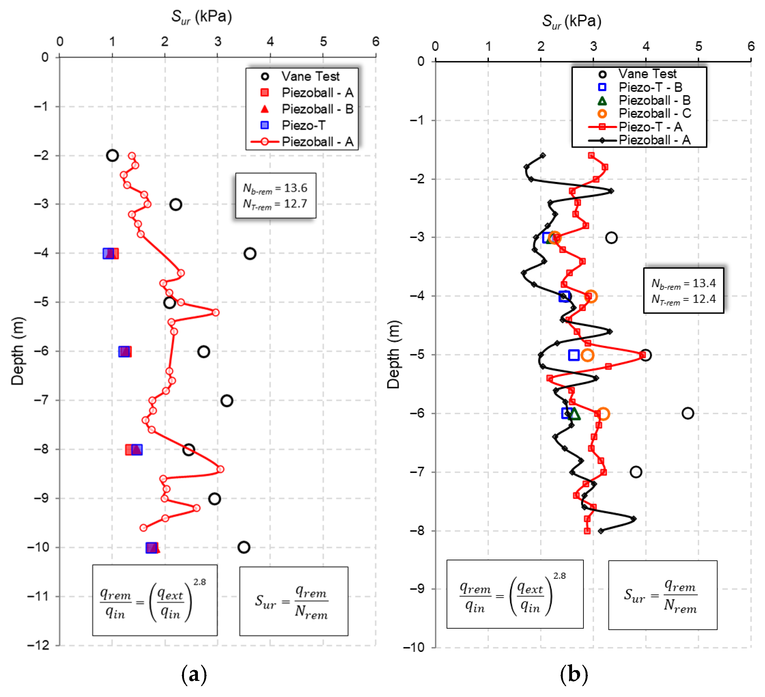
4.2. Degradation and Remolded Shear Strength
4.3. Dissipation
5. Discussion and Conclusions
- 1.
- Equipment performance and saturation: The improvements implemented in the testing devices proved effective, particularly regarding the saturation of the porous element. For the piezoball tests, saturation was well maintained, and data consistency was satisfactory throughout the penetration process. In contrast, during the Sarapuí/RJ campaign, the piezo-T probes exhibited a loss of pore pressure readings during penetration. This issue highlights the need for further refinement of the piezo-T device and reinforces the current absence of a reliable method for estimating ch based on piezo-T tests.
- 2.
- Repeatability and derived parameters: Considering the piezoball test the repeatability of the measured penetration resistance (qₙₑₜ), pore pressure (u), and undrained shear strength (Sᵤ) was evident at both investigated sites. Comparisons with previous field campaigns further supported this consistency. In the evaluation of the profiles obtained from piezo-T tests, good repeatability was observed in the measurements of qnet. However, issues related to saturation and clogging of the porous stones impaired the verification of pore pressure profiles in some cases. In this context, the results from piezo-T tests should be interpreted with caution, and improvements in the transducers are required. Despite these limitations, the derivation of undrained shear strength (Su) values from piezo-T tests proved to be adequate. Notably, good agreement between the measured and interpreted Sᵤ and Sᵤᵣ values was achieved using the bearing capacity factors (Nb, NT, Nb-ᵣₑₘ, and NT-ᵣₑₘ), which were derived from equations incorporating the soil sensitivity. Sensitivity values determined directly from vane shear tests (FVT) were shown to be reliable, whereas estimates obtained from cyclic qᵢₙ and qₑₓₜ measurements proved less appropriate.
- 3.
- Cyclic degradation behavior: The observed degradation pattern in the cyclic tests showed consistent behavior when normalized by the ratio qₙ/qᵢₙ. This normalization enabled the grouping of degradation curves from different depths and test types, providing a coherent assessment of the reduction in strength with repeated penetration. For the Tubarão/SC site, the remolded strength stabilized at qₙ/qᵢn ≈ 0.2, whereas for Sarapuí/RJ, stabilization occurred at qₙ/qᵢₙ ≈ 0.3.
- 4.
- Dissipation response: Dissipation tests conducted with piezoball probes yielded ch values consistent with those interpreted from piezocone tests, demonstrating the potential applicability of the piezoball device for estimating soil drainage characteristics. Considering the data from the Tubarão/SC site, the formulation proposed by Liu et al. [8], derived for the u3 position, generally yielded results closer to those obtained from piezocone tests. In contrast, the analysis of the Sarapuí/RJ dataset indicated that the formulation proposed by Mahmoodzadeh et al. [7], also for the u3 position, provided coefficients more consistent with those derived from piezocone tests when a direct comparison was performed. In this context, no single formulation is recommended over the others. Instead, it is recommended that different formulations be evaluated and that dissipation curves be plotted to analyze the pore pressure–time response. Atypical dissipation curves should be interpreted with caution, and the effects of partial drainage should also be carefully assessed. Additionally, dissipation tests using CPTu tests are recommended in nearby profiles for validation purposes.
Author Contributions
Funding
Institutional Review Board Statement
Informed Consent Statement
Data Availability Statement
Acknowledgments
Conflicts of Interest
Abbreviations
| a | Load cell ratio |
| Ap | Cross-sectional area of the probe |
| As | Cross-section area of the pushing rod |
| Cc | Compressibility coefficient |
| ch | Horizontal consolidation parameter |
| COV | Coefficient of variation |
| CPTu | Piezocone test |
| Cr | Recompression coefficient |
| cv | Vertical consolidation parameter |
| d | Pushing rod diameter |
| D | Probe diameter |
| Db | Piezoball diameter |
| DT | Piezo-T diameter |
| e0 | Initial void ratio |
| FVT | Field Vane Test |
| fs | Sleeve friction |
| G | Specific gravity |
| ICrw | Soil index |
| Ir | Rigidity index |
| kh | Horizontal permeability |
| n | Number of cycles |
| Nb | Piezoball shear strength factor |
| Nb-rem | Piezoball remolded shear strength factor |
| Nkt | Piezocone shear strength factor-total stress |
| Nku | Piezocone shear strength factor-pore pressure |
| NT | Piezo-T shear strength factor |
| NT-rem | Piezo-T remolded shear strength factor |
| OCR | Over consolidation ratio |
| PI | Plasticity index |
| qc | Tip penetration resistance-piezocone |
| qext | Extraction resistance |
| qin | Penetration(insertion) resistance |
| qm | Penetration resistance |
| qn | Penetration resistance of a given cycle |
| qnet | Net penetration resistance |
| qrem | Remolded penetration resistance |
| qt | Total tip penetration resistance-piezocone |
| ST | Sensitivity |
| STD | Standard deviation |
| Su | Undrained shear strength |
| Sur | Remolded undrained shear strength |
| t | Time |
| T | Time factor |
| Tb | Time factor-piezoball |
| Tb50 | Piezoball time factor required for 50% excess pore pressure dissipation |
| t50 | Time required for 50% excess pore pressure dissipation |
| T50 | Time factor required for 50% excess pore pressure dissipation |
| tmax | Maximum excess pore pressure’s time |
| UU | Unconsolidated shear Undrained test |
| u | Hydrostatic pore pressure |
| ueql | Hydrostatic pore pressure-equilibrium pore pressure |
| u1 | Probe’s tip pore pressure |
| u2 | Probe’s mid face pore pressure |
| u3 | Probe’s equator pore pressure |
| w | Water content |
| wl | Liquid limit |
| wn | Natural water content |
| wp | Plastic water content |
| α | Roughness factor |
| γn | Total soil weight |
| Δt | Time gap between measurements |
| Δu | Excess pore pressure |
| Δuini | Initial excess pore pressure |
| Δumax | Maximum excess pore pressure |
| σ | Normal stress |
| σ3 | Confining stress |
| σv0 | Total overburden stress |
References
- Guo, X.; Nian, T.; Wang, D.; Gu, Z. Evaluation of undrained shear strength of surficial marine clays using ball penetration-based CFD modelling. Acta Geotechnica 2022, 17, 1627–1643. [Google Scholar] [CrossRef]
- Schnaid, F. In Situ Testing in Geomechanics: The Main Tests, 1st ed.; Taylor & Francis Group: London, UK, 2009; p. 352. [Google Scholar] [CrossRef]
- Mayne, P.W. Cone Penetration Testing. In NCHRP Synthesis of Highway Practice; Georgia Institute of Technology: Atlanta, GA, USA, 2007. [Google Scholar]
- DeJong, J.T.; Yafrate, N.J.; Randolph, M.F. Use of pore pressure measurements in a ball full-flow penetrometer. In Proceedings of the 3rd International Conference on Site Characterization; Taylor and Francis: London, UK, 2008; pp. 1269–1275. [Google Scholar]
- Randolph, M.; Hefer, P.A.; Geise, J.M.; Watson, P. Improved seabed strenght profiling using T-bar penetrometer. In Proceedings of the International Conference Offshore Site Investigation and Foundation Behaviour; New Frontiers: London, UK, 1998; Volume 1. [Google Scholar]
- Chen, X.; Han, C.; Liu, J.; Hu, Y. Interpreting strength parameters of strain-softening clay from shallow to deep embedment using ball and T-bar penetrometers. Comput. Geotech. 2021, 138, 104331. [Google Scholar] [CrossRef]
- Mahmoodzadeh, H.; Wang, D.; Randolph, M.F. Interpretation of piezoball dissipation testing in clay. Géotechnique 2015, 65, 831–842. [Google Scholar] [CrossRef]
- Liu, K.; Wang, D.; Zheng, J. Numerical study of piezoball dissipation test with penetration under partially drained conditions. Comput. Geotech. 2023, 159, 105469. [Google Scholar] [CrossRef]
- Colreavy, C.; O’Loughlin, C.D.; Randolph, M.F. Estimating consolidation parameters from field piezoball tests. Géotechnique 2016, 66, 333–343. [Google Scholar] [CrossRef]
- Yafrate, N.J.; DeJong, J.T.; DeGroot, D.J.; Randolph, M.F. Evaluation of remolded shear strength and sensitivity of soft clay using full-flow penetrometers. J. Geotech. Geoenviron. Eng. 2009, 135, 1179–1189. [Google Scholar] [CrossRef]
- DeJong, J.T.; Yafrate, N.J.; DeGroot, D.J. Evaluation of undrained shear strength using full-flow penetrometers. J. Geotech. Geoenviron. Eng. 2011, 137, 14–26. [Google Scholar] [CrossRef]
- Qiao, H.; Liu, L.; He, H.; Liu, X.; Liu, X.; Peng, P. The Practice and Development of T-Bar Penetrometer Tests in Offshore Engineering Investigation: A Comprehensive Review. J. Mar. Sci. Eng. 2023, 11, 1160. [Google Scholar] [CrossRef]
- Colreavy, C.; O’Loughlin, C.D.; Randolph, M.F. Experience with a dual pore pressure element piezoball. Int. J. Phys. Model. Geotech. 2015, 16, 101–118. [Google Scholar] [CrossRef]
- O’Loughlin, C.; White, D.; Randolph, M.; Zhou, Z.; Stanier, S. Advances in full flow penetrometer testing. In Proceedings of the 6th International Conference on Geotechnical and Geophysical Site Characterization, Budapest, Hungary, 11 September 2020; Available online: https://www.issmge.org/uploads/publications/25/111/ISC2020-497.pdf (accessed on 27 November 2025).
- Peuchen, J.; Terwindt, J. Critical appraisal of T-bar penetration tests. In Proceedings of the Fifth International Conference on Geotechnical and Geophysical Site Characterization (ISC’5), Gold Coast, Australia, 5–9 September 2016; Available online: https://www.issmge.org/publications/publication/critical-appraisal-of-t-bar-penetration-tests (accessed on 12 January 2026).
- Wang, Y.; Hu, Y.; Hossain, M.S. Soil flow mechanisms of full-flow penetrometers in layered clays through particle image velocimetry analysis in centrifuge test. Can. Geotech. J. 2020, 57, 1719–1732. [Google Scholar] [CrossRef]
- Randolph, M.F.; Martin, C.M.; Hu, Y. Limiting resistance of a spherical penetrometer in cohesive material. Géotechnique 2000, 50, 573–582. [Google Scholar] [CrossRef]
- Yang, Y.; Zhou, X.; Zhou, M.; Zhang, X. The behavior of ball penetrometer in soft-over-stiff soil deposits. Ocean. Eng. 2023, 273, 114011. [Google Scholar] [CrossRef]
- Li, C.; Yu, L.; Kong, X.; Zhang, H. Estimation of undrained shear strength in rate-dependent and strain-softening surficial marine clay using ball penetrometer. Comput. Geotech. 2023, 153, 105084. [Google Scholar] [CrossRef]
- Li, Z.; Yi, P.; Liu, J. Interpreting intact undrained shear strength of nonhomogeneous clay using ball penetrometer. Acta Geotech. 2025, 20, 2943–2964. [Google Scholar] [CrossRef]
- Odebrecht, E.; Schnaid, F. Assessment of the stress history of quaternary clay from Piezocone tests. Soils Rocks 2018, 41, 179–189. [Google Scholar] [CrossRef]
- Jannuzzi, G.M.F.; Danziger, F.A.B.; Martins, I.S.M. Geological-geotechnical characterisation of Sarapuí II clay. Eng. Geol. 2015, 190, 77–86. [Google Scholar] [CrossRef]
- Chung, S.F.; Randolph, M.F.; Schneider, J.A. Effect of penetration rate on penetrometer resistance in clay. J. Geotech. Geoenviron. Eng. 2006, 132, 1188–1196. [Google Scholar] [CrossRef]
- Kelleher, P.J.; Randolph, M.F. Seabed geotechnical characterization with a ball penetrometer deployed from the portable remotely operated drill. Front. Offshore Geotech. 2005, 365–371. [Google Scholar] [CrossRef]
- Colreavy, C.; O’Loughlin, C.; Long, M.; Boylan, N.; Ward, D. Field experience of the piezoball in soft clay. In Proceedings of the Second International Symposium on Cone Penetration Testing—CPT’10, Huntington Beach, CA, USA, 1 May 2010. [Google Scholar]
- Randolph, M.F. Characterization of soft sediments for offshore applications. In Proceedings of the 2nd International Conference on Site Characterization, Porto, Portugal, 19–22 September 2004; pp. 209–232. [Google Scholar]
- Lunne, T.; Andersen, K.H.; Low, H.E.; Randolph, M.F.; Sjursen, M. Guidelines for offshore in situ testing and interpretation in deepwater soft clays. Can. Geotech. J. 2011, 48, 543–556. [Google Scholar] [CrossRef]
- Chung, S.F.; Randolph, M.F. Penetration resistance in soft clay for different shaped penetrometers. In Proceedings of the 2nd International Conference on Geotechnical and Geophysical Site Characterization, Porto, Portugal, 19–22 September 2004; Millpress: Bethlehem, PA, USA, 2004; Volume 1, pp. 671–677. [Google Scholar]
- Yafrate, N.J.; DeJong, J.T. Considerations in evaluating the remoulded undrained shear strength from full-flow penetrometer cycling. In Proceedings of the International Symposium on Frontiers in Offshore Geotechnics, Perth, Australia, 19–21 September 2005; pp. 991–997. [Google Scholar]
- Yubin, R.; Yang, Q.; Wang, Y.; Zhao, W. Experimental study on the undrained shear strength of deep-sea soft soil using improved T-bar penetrometer. Mar. Georesources Geotechnol. 2019, 38, 1199–1208. [Google Scholar] [CrossRef]
- DeJong, J.T.; Yafrate, N.J.; DeGroot, D.J.; Low, H.E.; Randolph, M.F. Recommended Practice for Full-Flow Penetrometer Testing and Analysis. Geotech. Testing J. 2010, 33, 137–149. [Google Scholar] [CrossRef]
- Teh, C.I.; Houlsby, G.T. An Analytical Study of the Cone Penetration Test in Clay. Géotechnique 1991, 41, 17–34. [Google Scholar] [CrossRef]
- Meert, R. Development, Execution, and Validation of T-Bar and Ball Tests. Master’s Thesis, PPGEC, State University of Santa Catarina, Joinville, Brazil, 2022. (In Portuguese) [Google Scholar]
- Sosnoski, J. Characterization of Soft Soils Using Flow Penetrometers. Ph.D. Thesis, UFSC, Federal University of Santa Catarina, Florianópolis, Brazil, 2024. (In Portuguese) [Google Scholar]
- ASTM D5778; Standard Test Method for Electronic Friction Cone and Piezocone Penetration Testing of Soils. ASTM International: West Conshohocken, PA, USA, 2020.
- Carvalho do Amaral, P.G.; Giannini, P.C.F.; Sylvestre, F.; Pessenda, L.C.R. Paleoenvironmental recon struction of a late Quaternary lagoon system in southern Brazil (Jaguaruna region, Santa Catarina state) based on multi-proxy analysis. J. Quat. Sci. 2012, 27, 181–191. [Google Scholar] [CrossRef]
- Dienstmann, G.; Cordeiro, R.F.; Sakamoto, M.Y. Compressibility and stability analysis of an embankment on soft soil: A case study. Proc. Inst. Civ. Eng.-Geotech. Eng. 2022, 175, 570–591. [Google Scholar] [CrossRef]
- Giannini, P.C.F. The Costal Quaternary Depositional System in the Southern Brazil Region of Jaguaruna and Imbituba Region. Ph.D. Thesis, University of São Paulo, São Paulo, Brazil, 1993; p. 439. [Google Scholar]
- Giannini, P.C.F.; Sawakuchi, A.O.; Martinho, C.T.; Tatumi, S.H. Eolian depositional episodes controlled by late Quaternary relative sea level changes on the Imbituba-Laguna coastal zone (southern Brazil). Mar. Geol. 2007, 237, 143–168. [Google Scholar] [CrossRef]
- Mantaras, F.M.B.; Odebrecht, E.; Schnaid, F. Using piezocone dissipation test to estimate the undrained shear strength in cohesive soil. In Proceedings of the 3th International Symposium on the Cone Penetration Testing, Las Vegas, NV, USA, 13–14 May 2014; pp. 323–330. [Google Scholar]
- Schnaid, F.; Odebrecht, E.; Sosnoski, J.; Robertson, P.K. Effects of Test Procedure on Flat Dilatometer Test (DMT) Results in Intermediate Soils. Can. Geotech. J. 2016, 53, 1270–1280. [Google Scholar] [CrossRef]
- ASTM D2573; Standard Test Method for Field Vane Shear Test in Saturated Fine-Grained Soils. ASTM International: West Conshohocken, PA, USA, 2018.
- ABNT NBR 9820; Sampling of Undisturbed Low-Consistency Soils in Boreholes—Procedure. ABNT—Brazilian Association of Technical Standards: Rio de Janeiro, Brazil, 1997; 5p.
- ASTM D1587/D1587M; Standard Practice for Thin-Walled Tube Sampling of Fine-Grained Soils for Geotechnical Purposes. ASTM International: West Conshohocken, PA, USA, 2015.
- Robertson, P.K.; Wride, C.V. Evaluating Cyclic Liquefaction Potential Using the Cone Penetration Test. Can. Geotech. J. 1998, 35, 442–459. [Google Scholar] [CrossRef]
- Sosnoski, J.; Meier, A.L.; Dienstmann, G.; Nierwinski, H.P.; Odebrecht, E.; Mantaras, F.M. Piezoball and T-Bar Application on a Brazilian Soft Soil Deposit. In Proceedings of the 7th International Conference on Geotechnical and Geophysical Site Characterization (ISC7-24), Barcelona, Spain, 18–21 June 2024. [Google Scholar] [CrossRef]
- Lunne, T.; Berre, T.; Strandvik, S. Sample disturbance effects in soft low plastic Norwegian clay. In Proceedings of the Symposium on Recent Developments in Soil and Pavement Mechanics, Rio de Janeiro, Brazil, 25 June 1997. [Google Scholar]
- Coutinho, R.Q. Characterization and engineering properties of Recife soft clays—Brazil. In Characterisation and Engineering Properties of Natural Soils; Taylor & Francis: London, UK, 2007. [Google Scholar]
- Lacerda, W.A.; Costa Filho, L.M.; Coutinho, R.Q. Consolidation characteristics of Rio de Janeiro soft clay. In Proceedings of the Conference on Geotechnical Aspects of Soft Clays, Bangkok, Thailand, 5–7 July 1977; pp. 231–243. [Google Scholar]
- Ortigão, J.A.R.; Werneck, M.L.G.; Lacerda, W.A. Embankment failure on clay near Rio de Janeiro. J. Geotech. Eng. 1983, 109, 1460–1479. [Google Scholar] [CrossRef]
- Cavalcante, E.H.; Coutinho, R.Q.; Danziger, F.A.B.; Giacheti, H.L. Brazilian test sites. Workshop on test sites for foundations. In Proceedings of the XIII Brazilian Conference on Soil Mechanics and Geotechnical Engineering, Curitiba, Brazil, 27 August 2006; pp. 1–90. (In Portuguese) [Google Scholar]
- Jannuzzi, G.M.F. Innovative and Traditional Methods to Characterise the Sarapuí II Soft Clay. Ph.D. Thesis, COPPE, Federal University of Rio de Janeiro, Rio de Janeiro, Brazil, 2013. (In Portuguese) [Google Scholar]
- Alves, A.M.L. The Influence of Soil Viscosity and Time on the Dynamic Pile-Soil Interaction in Clays. Ph.D. Thesis, COPPE, Federal University of Rio de Janeiro, Rio de Janeiro, Brazil, 2004. (In Portuguese) [Google Scholar]
- Alves, A.M.L.; Lopes, F.R.; Randolph, M.F.; Danziger, B.R. Investigations on the dynamic behavior of a small-diameter pile driven in soft clay. Can. Geotech. J. 2009, 46, 1418–1430. [Google Scholar] [CrossRef]
- Francisco, G.M. Time Effect on Piles in Soft Clay. Ph.D. Thesis, COPPE, Federal University of Rio de Janeiro, Rio de Janeiro, Brazil, 2004. (In Portuguese) [Google Scholar]
- Porto, E.C.; Medeiros, C.J., Jr.; Henriques, P.R.D., Jr. The development of the torpedo-piezocone. In Proceedings of the of the 29th International Conference on Ocean, Offshore and Arctic Engineering, OMAE, Shanghai, China, 1 June 2010; American Society of Mechanical Engineers: New York, NY, USA, 2010. [Google Scholar]
- Guimarães, G.V.M. Horizontal load test on instrumented model torpedo-pile in soft clay. Ph.D. Thesis, COPPE, Federal University of Rio de Janeiro, Rio de Janeiro, Brazil, 2015. (In Portuguese) [Google Scholar]
- Danziger, F.A.B.; Jannuzzi, G.M.F.; Martins, I.S. The relationship between sea-level change, soil formation and stress history of a very soft clay deposit. Aims Geosci. 2019, 5, 461–479. [Google Scholar] [CrossRef]
- Vargas, J.W.S.; Danziger, F.A.B.; Lopes, F.R.; Lunne, T. Inflow and outflow permeability tests in a very soft clay under low stresses. J. Rock Mech. Geotech. Eng. 2024, 16, 3270–3283. [Google Scholar] [CrossRef]
- Skempton, A.W. The Effective Stresses in Saturated Clays Strained at Constant Volume. In Proceedings of the 7th International Conference of Applied Mechanics, London, UK, 5–11 September 1948; Volume 1, p. 378. [Google Scholar]
- Lu, Q.; Hu, Y.; Randolph, M.F. FE Analysis for T-Bar and Spherical Penetrometers in Cohesive Soil. In Proceedings of the 10th International Offshore and Polar Engineering Conference, Seattle, WA, USA, 28 May 2000; International Society of Offshore and Polar Engineers: Mountain View, CA, USA, 2000. [Google Scholar]
- Randolph, M.F.; Andersen, K.H. Numerical Analysis of T-Bar Penetration in Soft Clay. Int. J. Geomech. 2006, 6, 411–420. [Google Scholar] [CrossRef]
- Phoon, K.K.; Kulhawy, F.H. Characterization of geotechnical variability. Can. Geotech. J. 1999, 36, 612–624. [Google Scholar] [CrossRef]
- Griffiths, D.V.; Fenton, G.A. Probabilistic slope stability analysis by finite elements. Géotechnique 2004, 54, 513–525. [Google Scholar] [CrossRef]
- Pinheiro, A.V.S. Execution and Interpretation of Tests on a Prototype of the Torpedo Piezocone. Master’s Thesis, Civil Engineering—COPPE, Federal University of Rio de Janeiro, Rio de Janeiro, Brazil, 2019. [Google Scholar]
- Jannuzzi, G.M.F.; Danziger, F.A.B.; Martins, I.S.M. Cyclic T-Bar Tests to Evaluate the Remoulded Undrained Shear Strength of the Sarapuí II Soft Clay. Soils Rocks 2012, 35, 279–294. [Google Scholar] [CrossRef]
- Danziger, F.A.B.; Almeida, M.S.S.; Sills, G.C. The significance of the strain path analysis in the interpretation of piezocone dissipation data. Géotechnique 1997, 47, 901–914. [Google Scholar] [CrossRef]


















| Reference | Equation | Parameters |
|---|---|---|
| DeJong et al. [11] |
| |
| Yafrate et al. [10] | ||
| Reference | Position of Poro pressure Sensor | Equation | Parameters |
|---|---|---|---|
| Mahmoodzadeh et al. [7] | u2 and u3 |
| |
| Colreavy et al. [9] | u3 | ||
| Liu et al. [8] | u3 |
| Average Depth (m) | Nominal Interval Cycled (m) | Number of Cycles | Dissipation Time (s) | ||
|---|---|---|---|---|---|
| Piezoball-A | Piezoball-B | Piezo-T | Piezoball-B | ||
| −4 | 3.8–4.2 | 16 | 16 | 16 | 33,160 * |
| −6 | 5.8–6.2 | 11 | 14 | 16 | 6870 |
| −8 | 7.8–8.2 | 14 | 15 | 18 | 6860 |
| −10 | 9.8–10.2 | 14 | 16 | 15 | 5900 |
| Average Depth (m) | Nominal Interval Cycled (m) | Number of Cycles | Dissipation Time (s) | ||||
|---|---|---|---|---|---|---|---|
| Piezoball | Piezoball | Piezoball | Piezo-T | Piezo-T | Piezoball | ||
| A | B | C | A | B | B | ||
| −3 | 2.8–3.2 | - | 14 | 16 | - | 15 | 9101 |
| −4 | 3.8–4.2 | - | - | 16 | - | 16 | - |
| −5 | 4.8–5.2 | - | - | 15 | - | 12 | - |
| −6 | 5.8–6.2 | - | 17 | 15 | - | 15 | 54,893 |
| Tubarão/SC | ||||||||
|---|---|---|---|---|---|---|---|---|
| Depth (m) | Su (kPa) | Sur (kPa) | ST | Nb | Nb-rem | NT | Nt-rem | Nkt |
| −2.0 | 2.79 | 1.00 | 2.79 | 13.04 | 13.51 | 11.86 | 12.50 | 19.64 |
| −3.0 | 3.95 | 2.21 | 1.79 | 13.16 | 13.28 | 11.96 | 12.14 | 15.33 |
| −4.0 | 6.43 | 3.61 | 1.78 | 13.16 | 13.28 | 11.96 | 12.14 | 12.79 |
| −5.0 | 5.36 | 2.09 | 2.56 | 13.08 | 13.44 | 11.89 | 12.40 | 17.74 |
| −6.0 | 8.00 | 2.73 | 2.93 | 13.02 | 13.55 | 11.84 | 12.57 | 14.35 |
| −7.0 | 10.09 | 3.17 | 3.18 | 12.97 | 13.64 | 11.80 | 12.71 | 13.09 |
| −8.0 | 10.20 | 2.45 | 4.16 | 12.70 | 14.13 | 11.56 | 13.38 | 14.65 |
| −9.0 | 11.07 | 2.94 | 3.77 | 12.82 | 13.91 | 11.67 | 13.09 | 16.22 |
| −10.0 | 12.19 | 3.50 | 3.48 | 12.90 | 13.77 | 11.74 | 12.90 | 16.09 |
| Average | 7.79 | 2.63 | 2.94 | 12.98 | 13.61 | 11.80 | 12.70 | 15.55 |
| STD | 3.33 | 0.81 | 0.82 | 0.15 | 0.28 | 0.13 | 0.42 | 2.19 |
| COV (%) | 42.78 | 30.83 | 27.87 | 1.19 | 2.08 | 1.13 | 3.31 | 14.06 |
| Sarapuí/RJ | ||||||||
|---|---|---|---|---|---|---|---|---|
| Depth (m) | Su (kPa) | Sur (kPa) | ST | Nb | Nb-rem | NT | NT-rem | Nkt |
| −3.0 | 5.30 | 3.34 | 1.59 | 13.17 | 13.26 | 11.74 | 12.10 | 16.90 |
| −4.0 | 7.54 | 2.48 | 3.04 | 12.99 | 13.59 | 11.87 | 12.63 | 12.89 |
| −5.0 | 7.84 | 4.00 | 1.96 | 13.14 | 13.31 | 11.93 | 12.19 | 11.13 |
| −6.0 | 9.96 | 4.80 | 2.08 | 13.13 | 13.33 | 11.36 | 12.22 | 12.80 |
| −7.0 | 11.50 | 3.81 | 3.02 | 13.00 | 13.58 | 11.36 | 12.62 | 12.58 |
| Average | 8.43 | 3.69 | 2.34 | 13.09 | 13.41 | 11.65 | 12.35 | 13.26 |
| STD | 2.38 | 0.86 | 0.66 | 0.08 | 0.16 | 0.27 | 0.26 | 2.16 |
| COV (%) | 28.27 | 23.22 | 28.17 | 0.64 | 1.19 | 2.35 | 2.07 | 16.27 |
| Piezocone | Piezoball | Piezo-T | |||||||||
|---|---|---|---|---|---|---|---|---|---|---|---|
| Mean (kPa) | STD (kPa) | COV (%) | Mean (kPa) | STD (kPa) | COV (%) | Mean (kPa) | STD (kPa) | COV (%) | |||
| Tubarão/SC | 8.23 | 3.21 | 39.07 | 8.40 | 2.90 | 34.58 | 8.59 | 2.78 | 32.30 | 1.021 | 1.044 |
| Sarapuí/RJ | 9.55 | 3.51 | 36.80 | 9.52 | 2.81 | 29.53 | 10.10 | 2.53 | 24.99 | 0.997 | 1.059 |
| Depth (m) | Tubarão ch (cm2/s) | |||||
| Teh & Houlsby [32] | Mahmoodzadeh et al. [7] | Colreavy et al. [9] | Liu et al. [8] | |||
| u2 | u2 | u3 | u2 | u3 | u3 | |
| −6 | 9.99 × 10−3 | 4.77 × 10−3 | 4.62 × 10−3 | 6.12 × 10−3 | 3.62 × 10−3 | 7.53 × 10−3 |
| −8 | 5.89 × 10−3 | 6.78 × 10−3 | 3.73 × 10−3 | 9.33 × 10−3 | 4.13 × 10−3 | 6.08 × 10−3 |
| −10 | - | 1.23 × 10−2 | 4.34 × 10−3 | 1.92 × 10−3 | 5.32 × 10−3 | 7.07 × 10−3 |
| Depth (m) | Sarapuí ch (cm2/s) | |||||
| Teh & Houlsby [32] | Mahmoodzadeh et al. [7] | Colreavy et al. [9] | Liu et al. [8] | |||
| u2 | u2 | u3 | u2 | u3 | u3 | |
| −3 | 3.22 × 10−3 | 5.17 × 10−3 | 3.02 × 10−3 | 6.77 × 10−3 | 4.61 × 10−3 | 4.92 × 10−3 |
| −6 | 1.79 × 10−3 | 2.07 × 10−3 | 1.68 × 10−3 | 2.59 × 10−3 | 2.00 × 10−3 | 2.73 × 10−3 |
Disclaimer/Publisher’s Note: The statements, opinions and data contained in all publications are solely those of the individual author(s) and contributor(s) and not of MDPI and/or the editor(s). MDPI and/or the editor(s) disclaim responsibility for any injury to people or property resulting from any ideas, methods, instructions or products referred to in the content. |
© 2026 by the authors. Licensee MDPI, Basel, Switzerland. This article is an open access article distributed under the terms and conditions of the Creative Commons Attribution (CC BY) license.
Share and Cite
Sosnoski, J.; Dienstmann, G.; Nierwinski, H.P.; Odebrecht, E.; Jannuzzi, G.M.F.; Danziger, F.A.B. Performance of Piezoball and Piezo-T Flow Penetrometers Compared with Conventional In Situ Tests in Brazilian Soft Soils. Geotechnics 2026, 6, 24. https://doi.org/10.3390/geotechnics6010024
Sosnoski J, Dienstmann G, Nierwinski HP, Odebrecht E, Jannuzzi GMF, Danziger FAB. Performance of Piezoball and Piezo-T Flow Penetrometers Compared with Conventional In Situ Tests in Brazilian Soft Soils. Geotechnics. 2026; 6(1):24. https://doi.org/10.3390/geotechnics6010024
Chicago/Turabian StyleSosnoski, Jonatas, Gracieli Dienstmann, Helena Paula Nierwinski, Edgar Odebrecht, Graziella Maria Faquim Jannuzzi, and Fernando Artur Brasil Danziger. 2026. "Performance of Piezoball and Piezo-T Flow Penetrometers Compared with Conventional In Situ Tests in Brazilian Soft Soils" Geotechnics 6, no. 1: 24. https://doi.org/10.3390/geotechnics6010024
APA StyleSosnoski, J., Dienstmann, G., Nierwinski, H. P., Odebrecht, E., Jannuzzi, G. M. F., & Danziger, F. A. B. (2026). Performance of Piezoball and Piezo-T Flow Penetrometers Compared with Conventional In Situ Tests in Brazilian Soft Soils. Geotechnics, 6(1), 24. https://doi.org/10.3390/geotechnics6010024

