Enzymatic Screening of β-Amyloid Precursor Protein-Based Substrates
Abstract
1. Introduction
2. Materials and Methods
2.1. General Methods
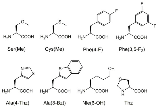
2.2. Peptide Synthesis
2.3. Peptide Library Preparation
2.4. Digestion of the Peptide Libraries with BACE1
3. Results
3.1. Digestion of P3 Library
3.2. Digestion of P4 Library
3.3. Digestion of P3, P4-Modified Peptide
4. Discussion
5. Conclusions
Supplementary Materials
Author Contributions
Funding
Acknowledgments
Conflicts of Interest
References
- Tomasselli, A.G.; Oahwash, I.; Emmons, T.L.; Lu, Y.; Leone, J.W.; Lull, J.M.; Fok, K.F.; Bannow, C.A.; Smith, C.W.; Bienkowski, M.J.; et al. Employing a superior BACE1 cleavage sequence to probe cellular APP processing. J. Neurochem. 2003, 84, 1006–1017. [Google Scholar] [CrossRef] [PubMed]
- Grüninger-Leitch, F.; Schlatter, D.; Küng, E.; Nelböck, P.; Döbeli, H. Substrate and inhibitor profile of BACE (beta-secretase) and comparison with other mammalian aspartic proteases. J. Biol. Chem. 2002, 277, 4687–4693. [Google Scholar] [CrossRef] [PubMed]
- Turner, R.T., III; Koelsch, G.; Hong, L.; Castanheira, P.; Ghosh, A.; Tang, J. Subsite specificity of memapsin 2 (β-secretase): Implications for inhibitor design. Biochemistry 2001, 40, 10001–10006. [Google Scholar] [CrossRef] [PubMed]
- Kakizawa, T.; Sanjoh, A.; Kobayashi, A.; Hattori, Y.; Teruya, K.; Akaji, K. Evaluation of superior BACE1 cleavage sequences containing unnatural amino acids. Bioorg. Med. Chem. 2011, 19, 2785–2789. [Google Scholar] [CrossRef] [PubMed]
- Selkoe, D.J. Translating cell biology into therapeutic advances in Alzheimer’s disease. Nature 1999, 399, A23–A31. [Google Scholar] [CrossRef] [PubMed]
- Sinha, S.; Lieberburg, I. Cellular mechanisms of β-amyloid production and secretion. Proc. Natl. Acad. Sci. USA 1999, 96, 11049–11053. [Google Scholar] [CrossRef] [PubMed]
- Stachel, S.J. Progress toward the development of a viable BACE-1 inhibitor. Drug Dev. Res. 2009, 70, 101–110. [Google Scholar] [CrossRef]
- Ziora, Z.; Kimura, T.; Kiso, Y. Small-sized BACE1 inhibitors. Drugs Future 2006, 31, 53–63. [Google Scholar] [CrossRef]
- Hills, I.D.; Vacca, J.P. Progress toward a practical BACE inhibitor. Curr. Opin. Drug Discov. Dev. 2007, 10, 383–391. [Google Scholar]
- Fisha, P.V.; Steadmana, D.; Baylea, E.D.; Whiting, P. New approaches for the treatment of Alzheimer’s disease. Bioorg. Med. Chem. Lett. 2019, 29, 125–133. [Google Scholar] [CrossRef] [PubMed]
- Kakizawa, T.; Hidaka, K.; Hamada, D.; Yamaguchi, R.; Uemura, T.; Kitamura, H.; Tagad, H.D.; Hamada, T.; Ziora, Z.; Hamada, Y.; et al. Tetrapeptides, as small-sized peptidic inhibitors; synthesis and their inhibitory activity against BACE1. J. Pept. Sci. 2010, 16, 257–262. [Google Scholar] [CrossRef] [PubMed]
- Kimura, T.; Shuto, D.; Hamada, Y.; Igawa, N.; Kasai, S.; Liu, P.; Hidaka, K.; Hamada, T.; Hayashi, Y.; Kiso, Y. Design and synthesis of highly active Alzheimer’s β-secretase (BACE1) inhibitors, KMI-420 and KMI-429, with enhanced chemical stability. Bioorg. Med. Chem. Lett. 2005, 15, 211–215. [Google Scholar] [CrossRef] [PubMed]
- Kimura, T.; Shuto, D.; Kasai, S.; Liu, P.; Hidaka, K.; Hamada, T.; Hayashi, Y.; Hattori, C.; Asai, M.; Kitazume, S.; et al. KMI-358 andKMI-370, highly potent and small-sized BACE1 inhibitors containing phenylnorstatine. Bioorg. Med. Chem. Lett. 2004, 14, 1527–1531. [Google Scholar] [CrossRef] [PubMed]
- Shuto, D.; Kasai, S.; Kimura, T.; Liu, P.; Hidaka, K.; Hamada, T.; Shibakawa, S.; Hayashi, Y.; Hattori, C.; Szabo, B.; et al. KMI-008, a novel β-secretase inhibitor containing a hydroxymethylcarbonyl isostere asa transition-state mimic: Design and synthesis of substrate-based octapeptides. Bioorg. Med. Chem. Lett. 2003, 13, 4273–4276. [Google Scholar] [CrossRef] [PubMed]
- Rut, W.; Groborz, K.; Zhang, L.; Sun, X.; Zmudzinski, M.; Pawlik, B.; Wang, X.; Jochmans, D.; Neyts, J.; Młynarski, W.; et al. SARS-CoV-2 Mpro inhibitors and activity-based probes for patient-sample imaging. Nat. Chem. Biol. 2021, 17, 222–228. [Google Scholar] [CrossRef] [PubMed]
- Uddin, M.J.; Akhter, H.; Chowdhury, U.; Mawah, J.; Karim, S.T.; Jomel, M.; Islam, M.S.; Islam, M.R.; Onin, L.A.B.; Ali, M.A.; et al. Large scale peptide screening against main protease of SARS CoV-2. J. Comput. Chem. 2023, 44, 887–901. [Google Scholar] [CrossRef] [PubMed]
- Meng, J.; Lai, M.-T.; Munshi, V.; Grobler, J.; McCauley, J.; Zuck, P.; Johnson, E.N.; Uebele, V.N.; Hermes, J.D.; Adam, G.C. Screening of HIV-1 protease using a combination of an ultra-high-throughput fluorescent-based assay and RapidFire mass spectrometry. J. Biomol. Screen. 2015, 20, 606–615. [Google Scholar] [CrossRef] [PubMed]






| Peptides | Sequences | Peak Area Reductions (%) 1 |
|---|---|---|
| 1 | H-Ser-Glu-Ile-Thi-Thi↓Nva-Ala-Glu-Phe-Arg-OH | −10.5 |
| P3-Ser(Me) | H-Ser-Glu-Ser(Me)-Thi-Thi↓Nva-Ala-Glu-Phe-Arg-OH | +20.3 2 |
| P4-Thz | H-Ser-Thz-Ile-Thi-Thi↓Nva-Ala-Glu-Phe-Arg-OH | −72.5 |
| 2 | H-Ser-Thz-Ser(Me)-Thi-Thi↓Nva-Ala-Glu-Phe-Arg-OH | −32.2 |
Disclaimer/Publisher’s Note: The statements, opinions and data contained in all publications are solely those of the individual author(s) and contributor(s) and not of MDPI and/or the editor(s). MDPI and/or the editor(s) disclaim responsibility for any injury to people or property resulting from any ideas, methods, instructions or products referred to in the content. |
© 2023 by the authors. Licensee MDPI, Basel, Switzerland. This article is an open access article distributed under the terms and conditions of the Creative Commons Attribution (CC BY) license (https://creativecommons.org/licenses/by/4.0/).
Share and Cite
Yamada, R.; Midorikawa, M.; Asai, A.; Takasu, N.; Fujii, R.; Kakizawa, T. Enzymatic Screening of β-Amyloid Precursor Protein-Based Substrates. Compounds 2023, 3, 341-347. https://doi.org/10.3390/compounds3020026
Yamada R, Midorikawa M, Asai A, Takasu N, Fujii R, Kakizawa T. Enzymatic Screening of β-Amyloid Precursor Protein-Based Substrates. Compounds. 2023; 3(2):341-347. https://doi.org/10.3390/compounds3020026
Chicago/Turabian StyleYamada, Reo, Masaki Midorikawa, Ayu Asai, Norimasa Takasu, Ren Fujii, and Taeko Kakizawa. 2023. "Enzymatic Screening of β-Amyloid Precursor Protein-Based Substrates" Compounds 3, no. 2: 341-347. https://doi.org/10.3390/compounds3020026
APA StyleYamada, R., Midorikawa, M., Asai, A., Takasu, N., Fujii, R., & Kakizawa, T. (2023). Enzymatic Screening of β-Amyloid Precursor Protein-Based Substrates. Compounds, 3(2), 341-347. https://doi.org/10.3390/compounds3020026
